Non-Newtonian Convective Heat Transfer in Annuli: Numerical Investigation on the Effects of Staggered Helical Fins
Abstract
1. Introduction
2. Materials and Methods
2.1. Finned Geometry
2.2. Mathematical Formulation
- Incompressible, fully developed, steady-state, laminar and axis-symmetric forced flow;
- Negligible viscous dissipations;
- Constant thermal properties;
- Negligible axial conduction.
- Fluid 1: m = 22.43 Pa sn, n = 0.46;
- Fluid 2: m = 76.15 Pa sn, n = 0.28.
2.3. Analytical Approach
2.4. Numerical Approach
3. Results
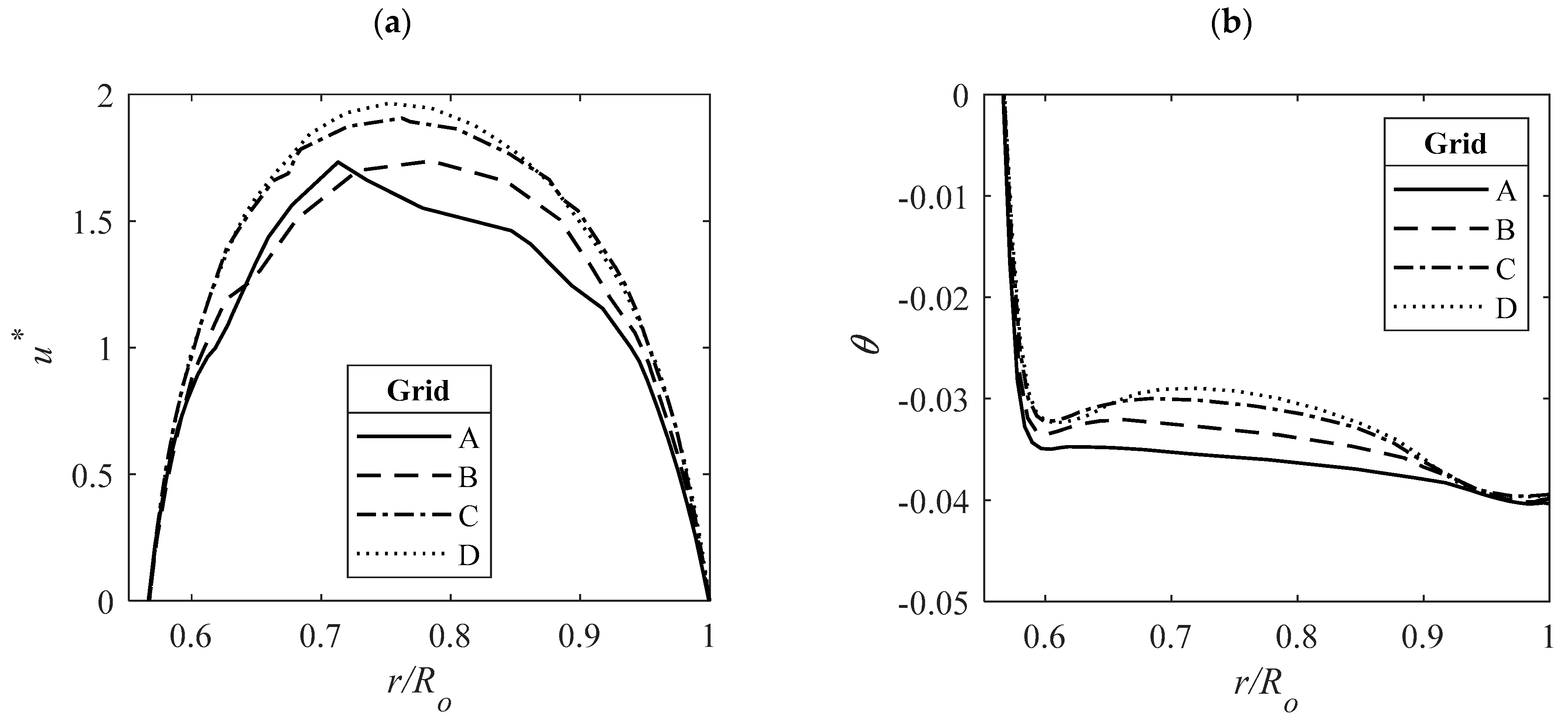
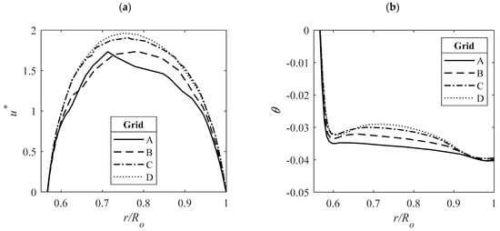
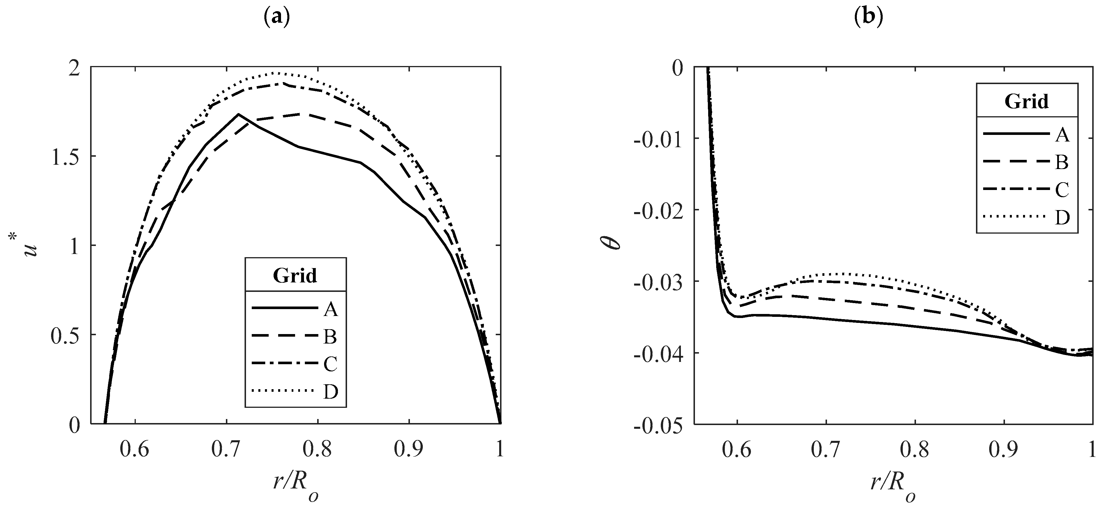
3.1. Grid Independence Analysis and Numerical Approach Validation
3.2. Fluid Flow Characteristics
3.3. Thermal Characteristics
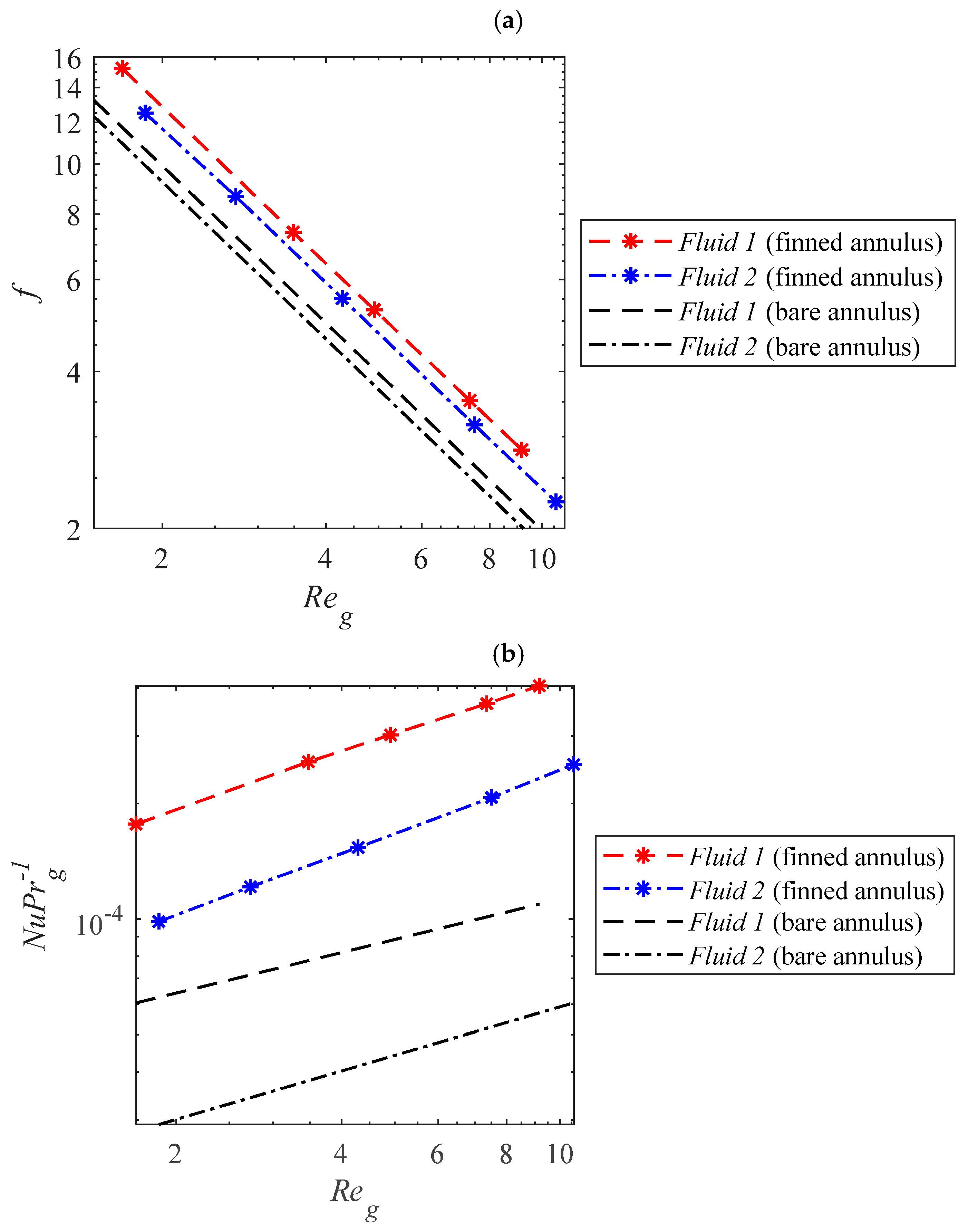
3.4. Performance Augmentation of the Finned Heat Exchanger Module
4. Discussion
- While the high pitch of the helical fins induced limited radial accelerations, the layout interruption resulted in higher velocity non-uniformity, which allowed for improved boundary layer disruption. Such a remark was confirmed by the better fluid thermalization achieved after the layout interruption.
- The heat exchanged at the extended surfaces played a negligible role in the overall convective heat transfer; for deep laminar flows that involved non-Newtonian, high-Prandtl fluids, the finned solutions solely behaved as stationary passive disruptors.
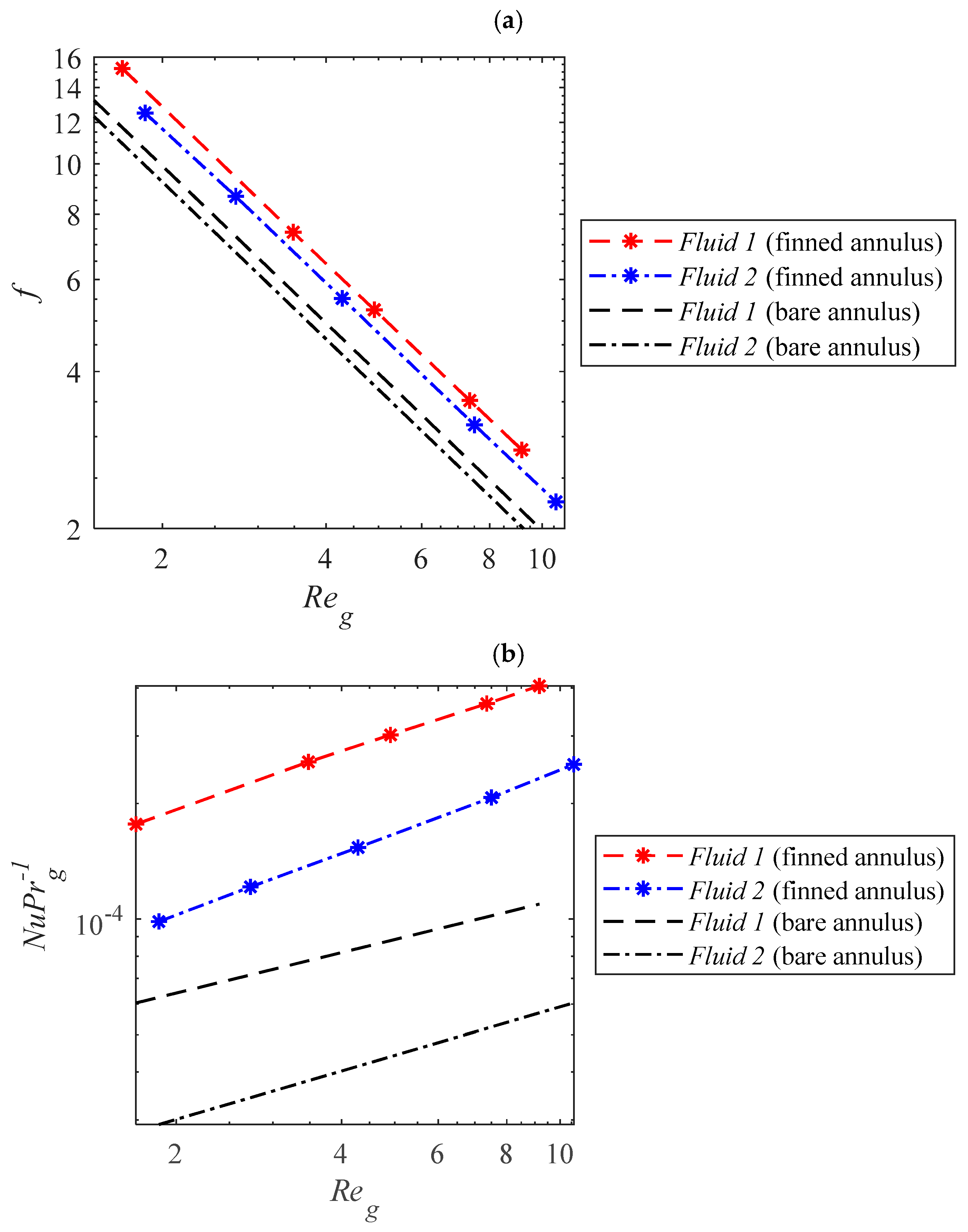
- The finned geometry highlighted an increase in the friction factor of about 30% with respect to the bare annulus. On the other hand, the Nusselt number, in the NuPrg−1 form, exhibited a more significant rise of about 200% with respect to the reference geometry.
Author Contributions
Funding
Data Availability Statement
Conflicts of Interest
Nomenclature
| Symbol | Quantity | SI Unit |
| Unit normal vector | - | |
| A | Heat transfer area | m2 |
| cp | Specific heat | J/kgK |
| D | Diameter | m |
| f | Fanning friction factor | - |
| k | Thermal conductivity | W/mK |
| L | Length | m |
| m | Consistency index | Pa sn |
| n | Flow behavior index | - |
| Nu | Nusselt number | - |
| p | Pressure | Pa |
| Pr | Prandtl number | - |
| q | Heat flux | W/m2 |
| Qm | Mass flow rate | kg/s |
| Qv | Volumetric flow rate | m3/s |
| R | Radius | m |
| r | Radial coordinate | - |
| Re | Reynolds number | - |
| u | Velocity vector | m/s |
| u* | Dimensionless velocity | - |
| W | Average velocity | m/s |
| x | Axial coordinate | - |
| η | Apparent viscosity | Pa s |
| Thermal diffusivity | m2/s | |
| Dimensionless temperature | - | |
| Radial location of maximum velocity | - | |
| Density | kg/m3 | |
| Geometrical parameter | - | |
| Radius ratio | - | |
| Stress tensor | Pa | |
| Subscripts, superscripts | ||
| g | Generalized | |
| b | Bulk | |
| e | Entrance | |
| h | Hydraulic | |
| o | Outer | |
| i | Inner | |
| w | Wall | |
| s | Solid | |
| f | Fluid | |
| fin | Finned domain (solid) | |
References
- Dincer, I. Renewable energy and sustainable development: A crucial review. Renew. Sustain. Energy Rev. 2000, 4, 157–175. [Google Scholar] [CrossRef]
- Li, H.; Wang, Y.; Han, Y.; Li, W.; Yang, L.; Guo, J.; Liu, Y.; Zhang, J.; Zhang, M.; Jiang, F. A comprehensive review of heat transfer enhancement and flow characteristics in the concentric pipe heat exchanger. Powder Technol. 2022, 397, 117037. [Google Scholar] [CrossRef]
- Bhattacharyya, S.; Vishwakarma, D.K.; Srinivasan, A.; Soni, M.K.; Goel, V.; Sharifpur, M.; Ahmadi, M.H.; Issakhov, A.; Meyer, J. Thermal performance enhancement in heat exchangers using active and passive techniques: A detailed review. J. Therm. Anal. Calorim. 2022, 147, 9229–9281. [Google Scholar] [CrossRef]
- Tavousi, E.; Perera, N.; Flynn, D.; Hasan, R. Heat transfer and fluid flow characteristics of the passive method in double tube heat exchangers: A critical review. Int. J. Thermofluids 2023, 17, 100282. [Google Scholar] [CrossRef]
- Marzouk, S.A.; Al-Sood, M.M.A.; El-Said, E.M.S.; Younes, M.M.; El-Fakharany, M.K. A comprehensive review of methods of heat transfer enhancement in shell and tube heat exchangers. J. Therm. Anal. Calorim. 2023, 148, 7539–7578. [Google Scholar] [CrossRef]
- Ghanbari, S.; Javaherdeh, K. Thermal performance enhancement in perforated baffled annuli by nanoporous graphene non-Newtonian nanofluid. Appl. Therm. Eng. 2020, 167, 114719. [Google Scholar] [CrossRef]
- Vishkaei, M.Y.; Javaherdeh, K. Evaluating the efficiency and effectiveness of non-Newtonian fluid flow in a double-pipe heat exchanger with porous medium via numerical simulation. Numer. Heat Transf. Part A Appl. 2024, 1–22. [Google Scholar] [CrossRef]
- Vishkaei, M.Y.; Javaherdeh, K. Experimental investigation of the effects of metal foam porous rings on non-Newtonian fluid flow in a double pipe heat exchanger. Int. Commun. Heat Mass Transf. 2024, 158, 107950. [Google Scholar] [CrossRef]
- Poursharif, Z.; Salarian, H.; Javaherdeh, K.; Nimvari, M.E. Numerical simulation of heat transfer on nanofluid flow in an annular pipe with simultaneous embedding of porous discs and triangular fins. J. Chin. Inst. Eng. 2021, 44, 158–169. [Google Scholar] [CrossRef]
- Wang, Y.; Oon, C.S.; Foo, J.-J.; Tran, M.-V.; Nair, S.R.; Low, F.W. Numerical investigation of thermo-hydraulic performance utilizing clove-treated graphene nanoplatelets nanofluid in an annular passage with perforated curve fins. Results Eng. 2022, 17, 100848. [Google Scholar] [CrossRef]
- Hadidi, H.; Mousavi, S.M.; Ghalambaz, M. Numerical study of MHD natural heat transfer of non-Newtonian, carbon nanotube-water nanofluid inside an internally finned annulus. Eur. Phys. J. Plus 2021, 136, 960. [Google Scholar] [CrossRef]
- Mozafarie, S.S.; Javaherdeh, K.; Ghanbari, O. Numerical simulation of nanofluid turbulent flow in a double-pipe heat exchanger equipped with circular fins. J. Therm. Anal. Calorim. 2020, 143, 4299–4311. [Google Scholar] [CrossRef]
- Gnanavel, C.; Saravanan, R.; Chandrasekaran, M. Heat transfer augmentation by nano-fluids and circular fin insert in double tube heat exchanger—A numerical exploration. Mater. Today Proc. 2020, 21, 934–939. [Google Scholar] [CrossRef]
- Vaisi, A.; Moosavi, R.; Lashkari, M.; Soltani, M.M. Experimental investigation of perforated twisted tapes turbulator on thermal performance in double pipe heat exchangers. Chem. Eng. Process.—Process. Intensif. 2020, 154, 108028. [Google Scholar] [CrossRef]
- Awais, M.; Bhuiyan, A.A. Recent advancements in impedance of fouling resistance and particulate depositions in heat exchangers. Int. J. Heat Mass Transf. 2019, 141, 580–603. [Google Scholar] [CrossRef]
- Mozafarie, S.S.; Javaherdeh, K. Numerical design and heat transfer analysis of a non-Newtonian fluid flow for annulus with helical fins. Eng. Sci. Technol. Int. J. 2019, 22, 1107–1115. [Google Scholar] [CrossRef]
- Karimi, A.; Al-Rashed, A.A.; Afrand, M.; Mahian, O.; Wongwises, S.; Shahsavar, A. The effects of tape insert material on the flow and heat transfer in a nanofluid-based double tube heat exchanger: Two-phase mixture model. Int. J. Mech. Sci. 2019, 156, 397–409. [Google Scholar] [CrossRef]
- El Maakoul, A.E.; Laknizi, A.; Saadeddine, S.; Abdellah, A.B.; Meziane, M.; Metoui, M.E. Numerical design and investigation of heat transfer enhancement and performance for an annulus with continuous helical baffles in a double-pipe heat exchanger. Energy Convers. Manag. 2017, 133, 76–86. [Google Scholar] [CrossRef]
- Shah, R.K.; London, A.L. Laminar Flow Forced Convection in Ducts: A Source Book for Compact Heat Exchanger Analytical Data; Academic Press: Cambridge, MA, USA, 2014. [Google Scholar]
- Yu, D.; Jeon, W.; Kim, S.J. Analytic study on pressure drop and heat transfer characteristics for low reynolds number flow in spirally finned tubes. Int. J. Heat Mass Transf. 2020, 158, 119849. [Google Scholar] [CrossRef]
- Mohsen, O.A.; Muhammed, M.A.R.; Hasan, B.O. Heat Transfer Enhancement in a Double Pipe Heat Exchanger Using Different Fin Geometries in Turbulent Flow. Iran. J. Sci. Technol. Trans. Mech. Eng. 2021, 45, 461–471. [Google Scholar] [CrossRef]
- El Maakoul, A.; Feddi, K.; Saadeddine, S.; Ben Abdellah, A.; El Metoui, M. Performance enhancement of finned annulus using surface interruptions in double-pipe heat exchangers. Energy Convers. Manag. 2020, 210, 112710. [Google Scholar] [CrossRef]
- Wang, L.; Lei, Y.; Jing, S. Performance of a Double-Tube Heat Exchanger with Staggered Helical Fins. Chem. Eng. Technol. 2022, 45, 953–961. [Google Scholar] [CrossRef]
- Bergman, T.L.; Lavine, A.S.; Incropera, F.P.; Dewitt, D.P. Fundamentals of Heat and Mass Transfer; John Wiley & Sons: Hoboken, NJ, USA, 2011. [Google Scholar]
- Schlichting, H.; Gersten, K. Boundary-Layer Theory; Springer: Berlin/Heidelberg, Germany, 2016. [Google Scholar]
- Barbana, C.; El-Omri, A. Viscometric Behavior of Reconstituted Tomato Concentrate. Food Bioprocess Technol. 2009, 5, 209–215. [Google Scholar] [CrossRef]
- Kubo, M.T.K.; Baicu, A.; Erdogdu, F.; Poças, M.F.; Silva, C.L.M.; Simpson, R.; Vitali, A.A.; Augusto, P.E.D. Thermal processing of food: Challenges, innovations and opportunities. A position paper. Food Rev. Int. 2023, 39, 3344–3369. [Google Scholar] [CrossRef]
- Hanks, R.W.; Larsen, K.M. The Flow of Power-Law Non-Newtonian Fluids in Concentric Annuli. Ind. Eng. Chem. Fundam. 1979, 18, 33–35. [Google Scholar] [CrossRef]
- Reynolds, W.; Lundberg, R.; McCuen, P. Heat transfer in annular passages. General formulation of the problem for arbitrarily prescribed wall temperatures or heat fluxes. Int. J. Heat Mass Transf. 1963, 6, 483–493. [Google Scholar] [CrossRef]
- Lundberg, R.E.; Reynolds, W.C.; Kays, W.M. Heat Transfer with Laminar Flow in Concentric Annuli with Constant and Variable Wall Temperature with Heat Flux; National Aeronautics and Space Administration: Washington, DC, USA, 1963.
- Metzner, A.B.; Reed, J.C. Flow of non-newtonian fluids—Correlation of the laminar, transition, and turbulent-flow regions. AIChE J. 1955, 1, 434–440. [Google Scholar] [CrossRef]
- Shahsavar, A.; Bakhshizadeh, M.A.; Arici, M.; Afrand, M.; Rostami, S. Numerical study of the possibility of improving the hydrothermal performance of an elliptical double-pipe heat exchanger through the simultaneous use of twisted tubes and non-Newtonian nanofluid. J. Therm. Anal. Calorim. 2021, 143, 2825–2840. [Google Scholar] [CrossRef]
- Taheran, E.; Javaherdeh, K. Experimental investigation on the effect of inlet swirl generator on heat transfer and pressure drop of non-Newtonian nanofluid. Appl. Therm. Eng. 2019, 147, 551–561. [Google Scholar] [CrossRef]
- Wang, Q.-W.; Lin, M.; Zeng, M.; Tian, L. Computational analysis of heat transfer and pressure drop performance for internally finned tubes with three different longitudinal wavy fins. Heat Mass Transf. 2008, 45, 147–156. [Google Scholar] [CrossRef]
- Karimi, J.R.C.G. Review and Assessment of Pulsating Heat Pipe Mechanism for High Heat Flus Electronic Cooling. In Proceedings of the Ninth Intersociety Conference on Thermal and Thermomechanical Phenomena in Electronic Systems, Las Vegas, NV, USA, 1–4 June 2004; pp. 1–18. [Google Scholar]
- Metzner, A.B.; Friend, P.S. Heat Transfer to Turbulent Non-Newtonian Fluids. Ind. Eng. Chem. 1959, 51, 879–882. [Google Scholar] [CrossRef]
- Zaffora, A.; Di Franco, F.; Santamaria, M. Corrosion of stainless steel in food and pharmaceutical industry. Curr. Opin. Electrochem. 2021, 29, 100760. [Google Scholar] [CrossRef]
- Mousa, M.H.; Miljkovic, N.; Nawaz, K. Review of heat transfer enhancement techniques for single phase flows. Renew. Sustain. Energy Rev. 2021, 137, 110566. [Google Scholar] [CrossRef]
- Farajzadeh, M.; Tohidi, A. Mixing and heat transfer enhancement of power-law fluids inside helically coiled tube by chaotic advection. J. Non-Newtonian Fluid Mech. 2019, 274, 104202. [Google Scholar] [CrossRef]
- Rennie, T.J.; Raghavan, G.V. Thermally dependent viscosity and non-Newtonian flow in a double-pipe helical heat exchanger. Appl. Therm. Eng. 2007, 27, 862–868. [Google Scholar] [CrossRef]
- Ayas, M.; Skocilas, J.; Jirout, T. Friction factor of shear thinning fluids in non-circular ducts—A simplified approach for rapid engineering calculation. Chem. Eng. Commun. 2021, 208, 1209–1217. [Google Scholar] [CrossRef]
- Delplace, F.; Leuliet, J. Generalized Reynolds number for the flow of power law fluids in cylindrical ducts of arbitrary cross-section. Chem. Eng. J. Biochem. Eng. J. 1995, 56, 33–37. [Google Scholar] [CrossRef]
- Mahulikar, S.P.; Herwig, H. Fluid friction in incompressible laminar convection: Reynolds’ analogy revisited for variable fluid properties. Eur. Phys. J. B 2008, 62, 77–86. [Google Scholar] [CrossRef]













| Bare Annulus | Finned Annulus | ||
|---|---|---|---|
| Grid | Number of Elements | Grid | Number of Elements |
| A | 281,483 | A | 522,437 |
| B | 552,797 | B | 1,796,547 |
| C | 1,224,531 | C | 4,391,979 |
| D | 2,303,367 | D | 8,919,136 |
| Analytical Solution | Numerical Solution | Relative Error [%] | |
|---|---|---|---|
| f | 4.031 | 4.032 | 0.2 |
| Nu | 6.107 | 6.290 | 3.0 |
Disclaimer/Publisher’s Note: The statements, opinions and data contained in all publications are solely those of the individual author(s) and contributor(s) and not of MDPI and/or the editor(s). MDPI and/or the editor(s) disclaim responsibility for any injury to people or property resulting from any ideas, methods, instructions or products referred to in the content. |
© 2024 by the authors. Licensee MDPI, Basel, Switzerland. This article is an open access article distributed under the terms and conditions of the Creative Commons Attribution (CC BY) license (https://creativecommons.org/licenses/by/4.0/).
Share and Cite
Pagliarini, L.; Bozzoli, F.; Fallahzadeh, R.; Rainieri, S. Non-Newtonian Convective Heat Transfer in Annuli: Numerical Investigation on the Effects of Staggered Helical Fins. Fluids 2024, 9, 272. https://doi.org/10.3390/fluids9120272
Pagliarini L, Bozzoli F, Fallahzadeh R, Rainieri S. Non-Newtonian Convective Heat Transfer in Annuli: Numerical Investigation on the Effects of Staggered Helical Fins. Fluids. 2024; 9(12):272. https://doi.org/10.3390/fluids9120272
Chicago/Turabian StylePagliarini, Luca, Fabio Bozzoli, Rasoul Fallahzadeh, and Sara Rainieri. 2024. "Non-Newtonian Convective Heat Transfer in Annuli: Numerical Investigation on the Effects of Staggered Helical Fins" Fluids 9, no. 12: 272. https://doi.org/10.3390/fluids9120272
APA StylePagliarini, L., Bozzoli, F., Fallahzadeh, R., & Rainieri, S. (2024). Non-Newtonian Convective Heat Transfer in Annuli: Numerical Investigation on the Effects of Staggered Helical Fins. Fluids, 9(12), 272. https://doi.org/10.3390/fluids9120272

