A Nonlinear Approach in the Quantification of Numerical Uncertainty by High-Order Methods for Compressible Turbulence with Shocks
Abstract
1. Introduction
1.1. Central Issues
1.2. Treating Fluid Dynamics Equations as Dynamical Systems
1.3. Isolation of the Sources of Numerical Uncertainties
- Stability and well-posedness of the governing PDEs;
- Type, order of accuracy, nonlinear stability and convergence of finite discretizations as functions of finite grid spacing, time steps and system parameters;
- Limits and barriers of existing finite discretizations for highly nonlinear stiff problems with source terms and forcing, and/or for long-time wave propagation phenomena;
- Numerical boundary condition (BC) treatments;
- Finite representation of infinite domains;
- Solution strategies in solving the nonlinear discretized equations;
- Procedures for obtaining the steady-state numerical solutions;
- Grid quality and grid adaptations;
- Multigrids;
- Domain decomposition (zonal or multicomponent approach) in solving large problems.
1.4. Lack of Unique Nonlinear Model for Nonlinear Hyperbolic and Parabolic PDEs
1.5. Objective and Outline
2. Background, Motivation and Integrated Approach
2.1. Quantification of Numerical Uncertainty in the 1980s and 1990s
2.2. Interaction of Dynamical Systems and Numerical Methods
3. Sources of Nonlinearities and Knowledge Gained from Nonlinear Model Problems
3.1. Nonlinearities Due to the Governing Equations vs. Nonlinearity Due to the Numerics
- Nonlinearities due to time discretizations: The discretized counterpart is nonlinear in the time step. Examples of this type are Runge–Kutta methods. If fixed time steps are used, spurious steady-state or spurious asymptotic numerical solutions can occur, depending on the initial condition (IC). Linear multistep methods (LMMs) [89] are linear in the time step; they do not exhibit spurious steady states, but implicit LMMs can stabilize unstable steady states. See Yee and Sweby [1,6,7,23,62,90] and the references cited therein for the dynamics of numerics of standard time discretizations. However, unconditionally stable LMMs can stabilize unstable steady states and much more.
- Nonlinearities due to spatial discretizations: The discretized counterpart can be nonlinear in the grid spacing and/or the scheme. Examples of nonlinear schemes are the total variation diminishing (TVD), essentially nonoscillatory (ENO) and weighted ENO (WENO) schemes and spatial schemes consisting of flux limiters. The resulting discretized counterparts are nonlinear (in the dependent variables) even though the governing equation is linear. See Yee [21] and the references cited therein for some forms of these nonlinear schemes.
- Nonlinearities due to complex geometries, boundary interfaces, grid generation, grid refinements and grid adaptations [59]: Each of these procedures can introduce nonlinearities even though the governing equation is linear.
3.2. Discrete Dynamical Systems and CFD
3.2.1. Nonlinear Numerical Methods
3.2.2. Dynamical Behavior of Numerical Approximations of ODEs vs. Time-Dependent PDEs
3.2.3. Dynamics of Time-Marching Approaches to Obtain Steady-State Solutions
3.2.4. Non-Unique Steady-State Solutions of Nonlinear DEs vs. Spurious Asymptotes of the Numerical Methods
3.3. Dynamics of Numerics via Tools from Bifurcation Theory
3.4. A Primary Step to Minimize Spurious Numerics via Knowledge Gained from Nonlinear Model Problems
- Strong dependence of numerical solutions on initial data (numerical basins of attraction);
- Global asymptotic behavior of super-stable time discretizations;
- Occurrence of stable and unstable spurious asymptotes above the linearized stability limit of the scheme (for constant time steps);
- Occurrence of stable and unstable spurious steady states below the linearized stability limit of the scheme (for constant time steps);
- Stabilization of unstable physical steady states by implicit and semi-implicit methods;
- Interplay of initial data and time steps on the occurrence of spurious numerical asymptotes;
- Interference with the dynamics of the underlying implicit scheme by procedures in solving the nonlinear algebraic equations (resulting from implicit discretizations of the continuum equations);
- Dynamics of the linearized implicit Euler scheme solving the time-dependent equations to obtain steady states vs. Newton’s method solving the steady equation;
- Spurious numerics independently introduced by spatial and time discretizations;
- Convergence problems and spurious behavior of high-resolution shock-capturing methods;
- Numerically induced and suppressed (spurious) chaos, and numerically induced chaotic transients;
- Spurious numerics generated by grid adaptations;
- Effect of spurious numerical standing wave in unsteady computations;
- Wrong propagation speed of discontinuities for problems containing stiff source terms.
4. Dynamics of Numerics of Time Discretizations and Representative Examples
4.1. Basin of Attraction of the Continuum vs. Basin of Attractions of the Discretized Counterparts
4.2. Strong Dependence of Solutions on Initial Data by Examining Their Corresponding Basin of Attraction
5. Adaptive Numerical Methods in Space and Time
6. Numerical Source Term Treatments in Reacting Flows
- It was shown in LeVeque and Yee [8] that, for stiff reactions containing shock waves, it is possible to obtain stable solutions that look reasonable and yet are completely wrong because the discontinuities are in the wrong locations. Stiff reaction waves move at nonphysical wave speeds, often at the rate of one grid cell per time step, regardless of their proper speed. There exist several methods that can overcome this difficulty for a single reaction term. For more than a single reaction term in fully coupled nonlinear systems, more research is needed. One impractical way of minimizing the wrong speed of propagation of discontinuities is to demand orders of magnitude grid size reduction compared with what appears to be a reasonable grid spacing in practice.
7. Spurious Numerics Relevant to Turbulent Flow Computations [1,2]
7.1. Chaotic Transients near the Onset of Turbulence in Direct Numerical Simulations of Channel Flow (Keefe 1988, Keefe and Yee 1997 (Unpublished))
7.2. Temporal and Spatial Refinement Studies of 2D Incompressible Flow over a Backward-Facing Step
7.2.1. Grid Refinement Study of Torczynski (1993) [140]
7.2.2. Temporal Refinement Studies Using Knowledge from Dynamical Systems Theory
- Uniform: ;
- Shear layer: ;
- Solution from solving the steady Stokes equation (with no convection terms);
- Torczynski (1993) [140]: ;
- Channel flow both upstream and downstream of step: Same as previous initial data except the boundary conditions.
7.2.3. Spurious Bifurcation by Different Time Integrators (Henderson and Yee 1998, Unpublished)
7.2.4. Minimization of Spurious Bifurcation by a Suitable Filter (Fischer 2001, Unpublished)
8. Entropy-Violating Numerical Methods and Nonlinearity-Induced Spurious Numerics by Shock-Capturing Methods
8.1. Avoidance of Spurious Numerics, and Enhancement of Stability and Convergence Rate for Hypersonic Flows Simulations
8.2. Inviscid Blunt Body Steady Computations for a Real Gas
8.3. Inviscid Blunt Body with an Impinging Shock Steady Computations for a Perfect Gas
8.4. Viscous Steady and Unsteady Hypersonic Perfect Gas Computations with Impinging Shock
9. Numerical Examples: Spurious Numerics Related to Problems with Stiff Source Terms and Methods to Overcome the Issues
9.1. One-Dimensional Scalar Reaction-Convection Test Case
9.2. Minimization of Wrong Propagation Speed of Discontinuities for Problems Containing Stiff Source and Discontinuities
9.3. One-Dimensional Chapman–Joguet (C-J) Detonation Containing Stiff Source Terms and Discontinuities
9.4. Two-Dimensional Chapman–Joguet (C-J) Detonation Containing Stiff Source Terms and Discontinuities [42]
9.5. One-Dimensional and Two-Dimensional 13 Species EAST Simulations
10. How Numerical Dissipation Affects the Predictability and Reliability of Simulation of Compressible Turbulence with Shock Waves
10.1. Short Overview of Hybrid Methods
10.2. Overview of Nonlinear Filter
10.2.1. Base Scheme Step
10.2.2. Nonlinear Filter Step—A Post-Processing Step
10.2.3. A Historical Note on Nonlinear Filter Approaches
10.3. The Need for Efficient High-Order Physics-Preserving Methods Blending with High-Order Shock-Capturing Methods
10.4. SPM Finite Difference Formulation in Split Form: Skew-Symmetric Splittings of the Compressible Euler Flux Derivatives
10.5. Ducros et al. Type Conservative Splitting
10.6. Special Class of Entropy Conserving SPM—Entropy Split Method (Entropy Splitting Approach)
Other Entropy Conserving Methods for the Compressible Euler and Ideal MHD Equations
10.7. Newer Class of Entropy Split Methods in Numerical Flux Form: Not Relying on Homogeneous Property of the Inviscid Flux and Symmetrizable Inviscid Flux Derivatives
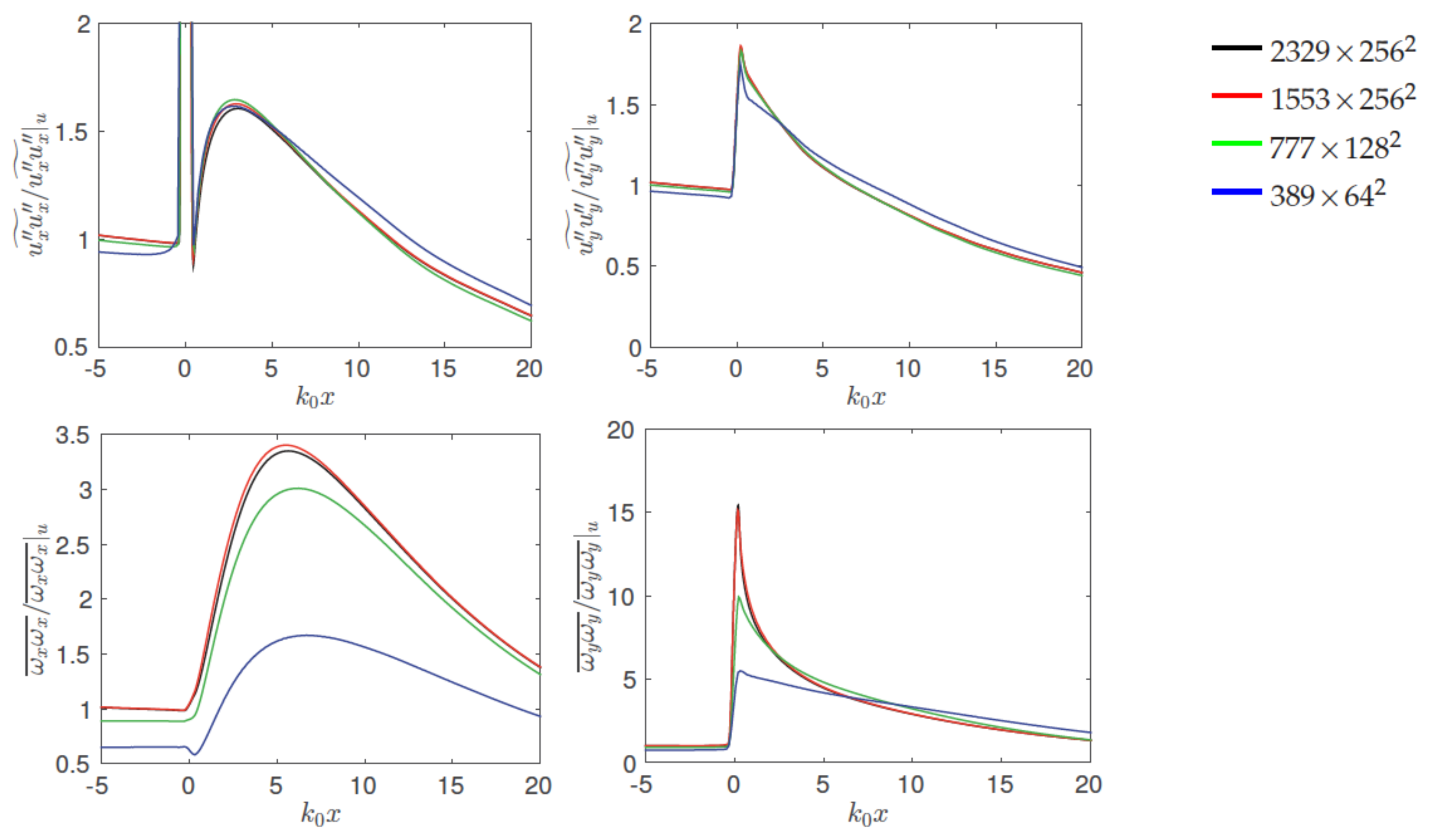
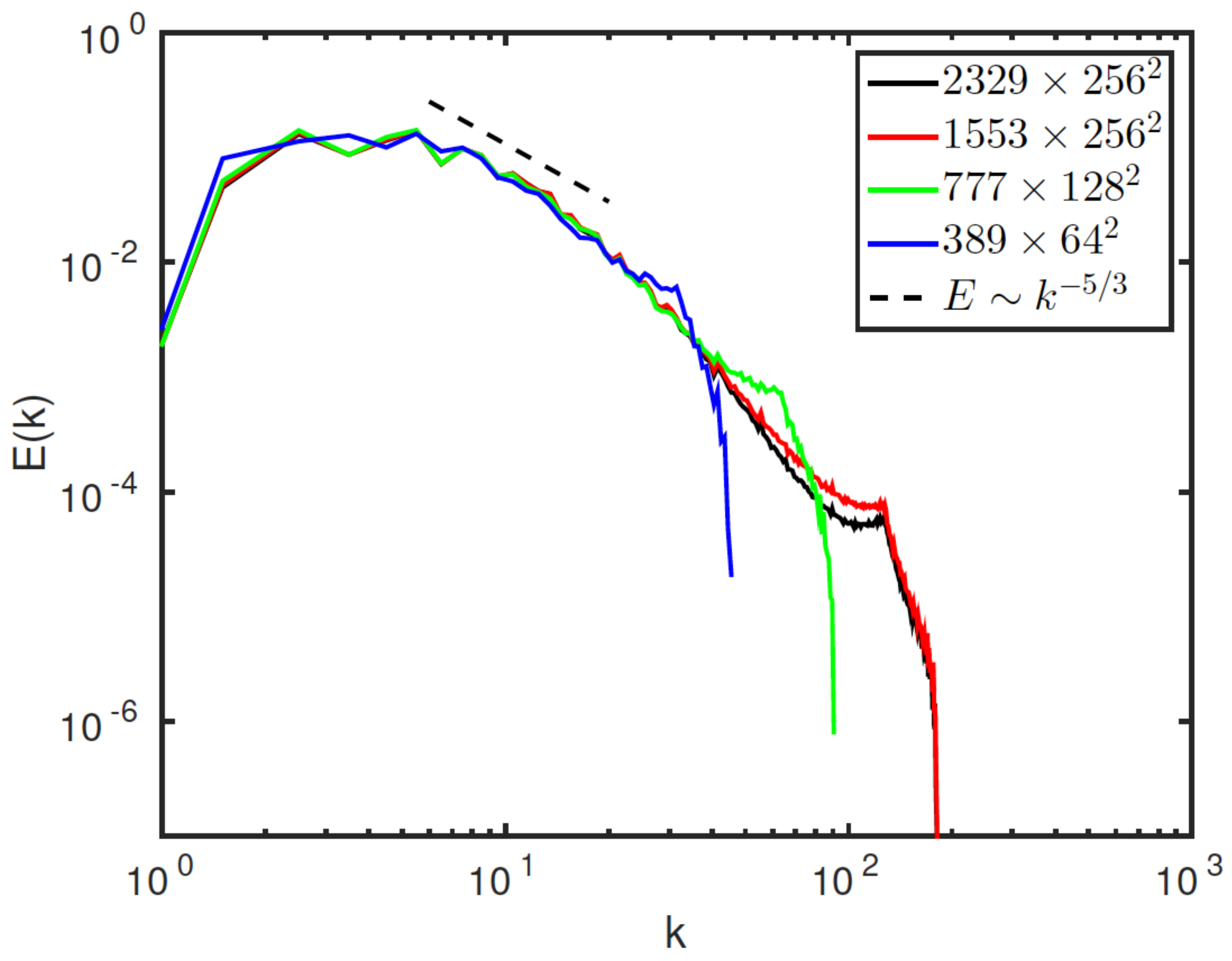
10.8. A Complex 3D Supersonic Shock-Turbulence Interaction by a Physics-Preserving Nonlinear Filter Method [4]
11. High-Order Skew-Symmetric Physical-Preserving Methods (SPM) Comparison for Gas Dynamics
11.1. Various Structure-Preserving Properties Nomenclature
- ECLOG: Tadmor-type entropy-conserving method using the Tadmor entropy function .
- DS: Momentum-conserving Ducros et al. skew-symmetric split of the inviscid flux derivative [158].
- ESDS: Entropy split with Ducros et al. splitting [12].
- ESSW: Entropy split with Ducros et al. splitting but switch to regular central near discontinuities [15].
- ECLOGKP: Tadmor-type entropy conserving method using the Tadmor entropy function with Ranocha’s kinetic energy preserving modification [46].
- DSKP: Ducros split with KEP.
11.2. A Smooth Flow Gas Dynamics Test Case: 2D Isotropic Vortex Convection
11.3. A Well-Known 3D Shock-Free Compressible Turbulence Gas Dynamics Test Case—3D Taylor–Green Vortex
11.4. A Short Summary of Comparative Performance of High-Order Skew-Symmetric SPM
12. Concluding Remark
Funding
Conflicts of Interest
References
- Yee, H.C.; Sweby, P.K. Dynamics of Numerics & Spurious Behaviors in CFD Computations; RIACS Technical Report 97.06; NASA AMES Research Center: Mountain View, CA, USA, 1997.
- Yee, H.C. Building Blocks for Reliable Complex Nonlinear Numerical Simulations. In Turbulent Flow Computation; Drikakis, D., Geurts, B., Eds.; Springer: New York, NY, USA, 2002. [Google Scholar]
- Yee, H.C.; Sjögreen, B.; Kotov, D.V. Numerical Dissipation Control in High Order Methods for Compressible Turbulence: Recent Development. Fluids 2024, 9, 127. [Google Scholar] [CrossRef]
- Kotov, D.V.; Yee, H.C.; Wray, A.A.; Hadjadj, A.; Sjögreen, B. High Order Numerical Methods for the Dynamic SGS Model of Turbulent Flows with Shocks. Commun. Comput. Phys. 2016, 19, 273–300. [Google Scholar] [CrossRef]
- Kotov, D.V.; Yee, H.C.; Wray, A.A.; Sjögreen, B.; Kritsuk, A.G. Numerical dissipation control in high order shock-capturing schemes for LES of low speed flows. J. Comput. Phys. 2016, 307, 189–202. [Google Scholar] [CrossRef]
- Lafon, A.; Yee, H.C. Dynamical Approach Study of Spurious Steady-State Numerical Solutions for Nonlinear Differential Equations, Part III: The Effects of Nonlinear Source Terms in Reaction-Convection Equations. Comp. Fluid Dyn. 1996, 6, 1–36. [Google Scholar] [CrossRef]
- Lafon, A.; Yee, H.C. Dynamical Approach Study of Spurious Steady-State Numerical Solutions of Nonlinear Differential Equations, Part IV: Stability vs. Numerical Treatment of Nonlinear Source Terms. Comput. Fluid Dyn. 1996, 6, 89–123. [Google Scholar] [CrossRef]
- LeVeque, R.J.; Yee, H.C. A Study of Numerical Methods for Hyperbolic Conservation Laws with Stiff Source Terms. J. Comp. Phys. 1990, 86, 187–210. [Google Scholar] [CrossRef]
- Sandham, N.D.; Li, Q.; Yee, H.C. Entropy Splitting for High-Order Numerical Simulation of Compressible Turbulence. J. Comput. Phys. 2002, 23, 307–322. [Google Scholar]
- Sjögreen, B.; Yee, H.C. Multiresolution Wavelet Based Adaptive Numerical Dissipation Control for Shock-Turbulence Computation. J. Sci. Comput. 2004, 20, 211–255. [Google Scholar] [CrossRef]
- Sjögreen, B.; Yee, H.C. Accuracy Consideration by DRP Schemes for DNS and LES of Compressible Flow Computations. Comput. Fluids 2017, 159, 123–136. [Google Scholar] [CrossRef]
- Sjögreen, B.; Yee, H.C. Entropy Stable Method for the Euler Equations Revisited: Central Differencing via Entropy Splitting and SBP. Sci. Comput. 2019, 81, 1359–1385. [Google Scholar] [CrossRef]
- Sjögreen, B.; Yee, H.C.; Kotov, D.V.; AKritsuk, A.G. Skew-Symmetric Splitting for Multiscale Gas Dynamics and MHD Turbulence Flows. Sci. Comput. 2020, 83, 43. [Google Scholar] [CrossRef]
- Sjögreen, B.; Yee, H.C. High Order Compact Central Spatial Discretization Under the Framework of Entropy Split Methods. In Proceedings of the ICOSAHOM21, Vienna, Austria, 12–16 July 2021. [Google Scholar]
- Sjögreen, B.; Yee, H.C. Construction of Conservative Numerical Fluxes for the Entropy Split Method. Comm. Appl. Math. Comput. 2021, 5, 653–678. [Google Scholar] [CrossRef]
- Sjögreen, B.; Yee, H.C. Generalization to a Wider Class of Entropy Split Methods for Compressible Ideal MHD. Comput. Fluids 2024, 268, 106087. [Google Scholar] [CrossRef]
- Vinokur, M.; Yee, H.C. Extension of Efficient Low Dissipation High-Order Schemes for 3D Curvilinear Moving Grids. In Frontiers of Computational Fluid Dynamics, Proceedings of the Robert MacCormack 60th Birthday Conference, 26–28 June 2000; NASA/TM-2000-209598; World Scientific: Half Moon Bay, CA, USA, 2002. [Google Scholar]
- Wang, W.; Yee, H.C.; Shu, C.-W.; Yee, H.C.; Sjögreen, B. High-Order well-balanced schemes and applications to non-equilibrium flow. J. Comput. Phys. 2009, 228, 6682–6702. [Google Scholar] [CrossRef]
- Wang, W.; Yee, H.C.; Sjögreen, B.; Magin, T.; Shu, C.W. Construction of Low Dissipative High-Order Well-Balanced Filter Schemes for Nonequilibrium Flows. J. Comput. Phys. 2011, 230, 4316–4335. [Google Scholar] [CrossRef]
- Wang, W.; Shu, C.W.; Yee, H.C.; Sjögreen, B. High Order Finite Difference Methods with Subcell Resolution for Advection Equations with Stiff Source Terms. J. Comput. Phys. 2012, 231, 190–214. [Google Scholar] [CrossRef]
- Yee, H.C. A Class of High-Resolution Explicit and Implicit Shock-Capturing Methods; VKI Lecture Series 1989-04; NASA: Washington, DC, USA, 1989.
- Yee, H.C.; Klopfer, G.H.; Mongtagné, J.-L. High-Resolution Shock-Capturing Schemes for Inviscid and Viscous Hypersonic Flows. J. Comput. Phys. 1990, 88, 31–61. [Google Scholar] [CrossRef]
- Yee, H.C.; Sweby, P.K.; Griffiths, D.F. Dynamical Approach Study of Spurious Steady-State Numerical Solutions for Nonlinear Differential Equations, Part I: The Dynamics of Time Discretizations and Its Implications for Algorithm Development in Computational Fluid Dynamics, NASA TM-102820, April 1990. J. Comput. Phys. 1991, 97, 249–310. [Google Scholar]
- Yee, H.C.; Sweby, P.K. Dynamical Approach Study of Spurious Steady-State Numerical Solutions for Nonlinear Differential Equations, Part II: Global Asymptotic Behavior of Time Discretizations. Int. J. Fluid Dyn. 1995, 4, 219–283. [Google Scholar] [CrossRef]
- Yee, H.C.; Sandham, N.D.; Djomehri, M.J. Low-Dissipative High Order Shock-Capturing Methods Using Characteristic-Based Filters. J. Comput. Phys. 1999, 150, 199–238. [Google Scholar] [CrossRef]
- Yee, H.C.; Vinokur, M.; Djomehri, M.J. Entropy Splitting and Numerical Dissipation. J. Comp. Phys. 2000, 162, 33–81. [Google Scholar] [CrossRef]
- Yee, H.C.; Sjögreen, B. Development of Low Dissipative High Order Filter Schemes for Multiscale Navier-Stokes and MHD Systems. J. Comput. Phys. 2007, 225, 910–934. [Google Scholar] [CrossRef]
- Yee, H.C.; Sjögreen, B. High Order Filter Methods for Wide Range of Compressible Flow Speeds. In Proceedings of the ICOSAHOM09, Trondheim, Norway, 22–26 June 2009. [Google Scholar]
- Yee, H.C.; Sjögreen, B. Comparative Study on a Variety of Structure-Preserving High Order Spatial Discretizations with the Entropy Split Methods for MHD. In Proceedings of the ICOSAHOM21, Virtual, 12–16 July 2021. [Google Scholar]
- Yee, H.C.; Sjögreen, B. Recent Advancement of Entropy Split Methods for Compressible Gas Dynamics and MHD. J. Appl. Math. Comput. 2023, 463, 127545. [Google Scholar] [CrossRef]
- Glimm, J.; Cheng, B.; Sharp, D.H.; Kaman, T. A Crisis for the Verification and Validation of Turbulence Simulations. Phys. D Nonlinear Phenom. 2020, 404, 132346. [Google Scholar] [CrossRef]
- Doedel, E.J.; Beyn, W.-J. Stability and Multiplicity of Solutions to Discretizations of Nonlinear Ordinary Differential Equations. SIAM J. Sci. Stat. Comput. 1981, 2, 107–120. [Google Scholar]
- Ehrenstein, U.; Koch, W. Nonlinear bifurcation study of plane Poiseuille flow. J. Fluid Mech. 1991, 228, 111–148. [Google Scholar]
- Feigenbaum, M.J. Quantitative Universality for a Class of Nonlinear Transformations. J. Stat. Phys. 1978, 19, 25–52. [Google Scholar] [CrossRef]
- Griffiths, D.G.; Stuart, A.M.; Yee, H.C. Numerical Wave Propagation in Hyperbolic Problems with Nonlinear Source Terms. SIAM J. Numer. Anal. 1992, 29, 1244–1260. [Google Scholar] [CrossRef]
- Jackson, E.A. Perspectives of Nonlinear Dynamics; Cambridge University Press: New York, NY, USA, 1989; Volume I. [Google Scholar]
- Mitchell, A.R.; Griffiths, D.F. Beyond the Linearized Stability Limit in Non Linear Problems; Report NA/88; Department of Mathematical Sciences, University of Dundee: Scotland, UK, 1985. [Google Scholar]
- Stewart, I. Bifurcation Theory Old and New. In Proceedings of the IMA Conferences on Dynamics of Numerics and Numerics of Dynamics, Bristol, UK, 31 July–2 August 1990. [Google Scholar]
- Stuart, A.M. Numerical Analysis of Dynamical Systems; Cambridge University Press: Cambridge, UK, 1994. [Google Scholar]
- Kotov, D.V.; Yee, H.C.; Pansei, M.; Prabhu, D.K.; Wray, A.A. Computational Challenges for Simulations Related to the NASA Electric Arc Shock Tube (EAST) Experiments. J. Comput. Phys. 2014, 269, 215–233. [Google Scholar] [CrossRef]
- Wang, W.; Shu, C.W.; Yee, H.C.; Kotov, D.V.; Sjögreen, B. High order finite difference methods with subcell resolution for stiff multispecies detonation capturing. Comm. Comput. Phys. 2015, 17, 317–336. [Google Scholar] [CrossRef]
- Yee, H.C.; Kotov, D.V.; Wang, W.; Shu, C.H. Spurious behavior of shock-capturing methods by the fractional step approach: Problems containing stiff source terms and discontinuities. J. Comput. Phys. 2013, 241, 266–291. [Google Scholar] [CrossRef]
- Azevedo, J.; Ramalho, M.; Azevedo, J. An Investigation into the Origin of the Carbuncle Phenomenon in High Speed CFD Calculations. In Proceedings of the COBEM, Natal, RN, Brazil, 24–28 October 2011. [Google Scholar]
- Humphries, A.R. Numerical Analysis of Dynamical Systems. Ph.D. Thesis, University of Bath, Bath, UK, 1993. [Google Scholar]
- Kennedy, C.A.; Gruber, A. Reduced Aliasing Formulations of the Convective Terms Within the Navier-Stokes Equations. J. Comput. Phys. 2008, 227, 1676–1700. [Google Scholar] [CrossRef]
- Ranocha, H. Entropy Conserving and Kinetic Energy Preserving Numerical Methods for the Euler Equations Using Summation-by-Parts Operators. In Proceedings of the ICOSAHOM-2018, Imperial College, London, UK, 9–13 July 2018. [Google Scholar]
- Yee, H.C.; Shinn, J.L. Semi-Implicit and Fully Implicit Shock-Capturing Methods for Nonequilibrium Flows. In Proceedings of the A/AA 8th Computational Fluid Dynamics Conference, Honolulu, HI, USA, 9–11 June 1987; McCroskey, W.J., Ed.; AIAA-87-1116-CP. AIAA: Washington, DC, USA, 1987; p. 159. [Google Scholar]
- Quirk, J.J. A contribution to the great Riemann solver debate, Intern. J. Num. Meth. Fluids 1994, 18, 55–574. [Google Scholar]
- Sanders, R.; Morano, E.; Druguet, M.-C. Multidimensional Dissipation for Upwind Schemes: Stability and Applications to Gas Dynamics. J. Comput. Phys. 1998, 145, 511–537. [Google Scholar] [CrossRef]
- Fleischmann, N.; Adami, S.; Hu, X.Y.; Adams, N.A. A low dissipation method to cure the grid-aligned shock instability. J. Comput. Phys. 2020, 401, 109004. [Google Scholar] [CrossRef]
- Hu, L.; Feng, Z. Development of a Carbuncle-free and low-dissipation Roe-type Scheme: Applications to Multidimensional Euler Flows. Commun. Nonlinear Sci. Num. Simul. 2023, 116, 106798. [Google Scholar] [CrossRef]
- Kemm, F. Heuristical and Numerical Considerations for the Carbuncle Phenomenon. arXiv 2017, arXiv:1507.00666v2. [Google Scholar] [CrossRef]
- Montagne, J.-L.; Yee, H.C.; Klopfer, G.H.; Vinokur, M. Hypersonic blunt body computations including real gas effects. In Nonlinear Hyperbolic Equations—Theory, Computation Methods, and Applications, Proceedings of the 2nd International Conference in Hyperbolic Problems, Aachen, Germany, 14–18 March 1988; Ballmann, J., Jeltsch, R., Eds.; Vieweg+Teubner Verlag: Wiesbaden, Germany, 1989. [Google Scholar]
- Shearer, M.; Schaeffer, D.G.; Marchesin, D.; Paes-Leme, P. Solution of the Riemann Problem for a Prototype 2 × 2 System of Non-Strictly Hyperbolic Conservation Laws. Arch. Rat. Mech. Anal. 1987, 97, 299–320. [Google Scholar] [CrossRef]
- Sullivan, P.P.; Banner, M.L.; Morison, R.P. Turbulent Flow over Steep Steady and Unseady Waves under Strong Wind Forcing. J. Phys. Ocean. 2018, 48, 3–27. [Google Scholar] [CrossRef]
- Olsson, P. Summation by Parts, Projections, and Stability. I. Math. Comp. 1995, 64, 1035–1065. [Google Scholar] [CrossRef]
- Sjögreen, B.; Yee, H.C. On Tenth-Order Central Spatial Schemes. In Proceedings of the TSFP-5, Munich, Germany, 27–29 August 2007. [Google Scholar]
- Strand, B. Summation by Parts for Finite Difference Approximations for d/dx. J. Comput. Phys. 1996, 110, 47–97. [Google Scholar] [CrossRef]
- Sweby, P.K.; Yee, H.C. On the Dynamics of Some Grid Adaptation Schemes. In Proceedings of the 4th International Conference on Numerical Grid Generation in CFD and Related Fields, Swansea, UK, 6–8 April 1994; RIACS Technical Report 94.02. University College of Swansea: Swansea, UK, 1994. [Google Scholar]
- Sweby, P.K.; Lafon, A.; Yee, H.C. On the Dynamics of Computing a Chemically Relaxed Nonequilibrium Flow. In Proceedings of the ICFD Conference on Numerical Methods for Fluid Dynamics, Oxford, UK, 3–6 April 1995. [Google Scholar]
- Yee, H.C.; Sweby, P.K. Global Asymptotic Behavior of Iterative Implicit Schemes; RIACS Technical Report 93.11; NASA AMES Research Center: Mountain View, CA, USA, 1994.
- Yee, H.C.; Sweby, P.K. Dynamical Approach Study of Spurious Steady-State Numerical Solutions for Nonlinear Differential Equations, II. The Dynamics of Numerics of Systems of 2 × 2 ODEs and Its Connection to Finite Discretizations of Nonlinear PDEs; RNR-92-008; NASA Ames Research Center: Mountain View, CA, USA, 1992.
- Yee, H.C.; Torczynski, J.R.; Morton, S.A.; Visbal, M.R.; Sweby, P.K. On Spurious Behavior of CFD Simulations, AIAA 97-1869. In Proceedings of the 13th AIAA Computational Fluid Dynamics Conference, Snowmass, CO, USA, 29 June–2 July 1997. Int. J. Num. Meth. Fluids 1999, 30, 675–711. [Google Scholar] [CrossRef]
- Sjögreen, B.; Yee, H.C. An entropy stable method revisited: Central differencing via entropy splitting and SBP. In Proceedings of the ICOSAHOM-2018, London, UK, 9–13 July 2018. [Google Scholar]
- Sjögreen, B.; Yee, H.C. High order entropy conservative central schemes for wide ranges of compressible gas dynamics and MHD flows. J. Comput. Phys. 2018, 364, 153–185. [Google Scholar] [CrossRef]
- Yee, H.C.; Sweby, P.K. On Spurious Behavior of Super-Stable Implicit Methods. Intern. J. CFD 1997, 8, 265–286. [Google Scholar] [CrossRef]
- Oberkampf, W.L.; Roy, C.J. Verification and Validation in Scientific Computing; Cambridge University Press: Cambridge, UK, 2010. [Google Scholar]
- Beyn, W.-J.; Lorenz, J. Spurious Solutions for Discrete Superlinear Boundary Value Problems. Computing 1982, 28, 43–51. [Google Scholar] [CrossRef]
- Doedel, E. AUTO: Software for Continuation and Bifurcation Problems in Ordinary Differential Equations; California Institute of Technology: Pasadena, CA, USA, 1986. [Google Scholar]
- Doedel, E. AUTO: Software for Continuation and Bifurcation Problems in Ordinary Differential Equations; Concordia University: Montreal, QC, Canada; California Institute of Technology: Pasadena, CA, USA, 2000. [Google Scholar]
- Kellogg, R.B.; Shubin, G.R.; Stephens, A.B. Uniqueness and the Cell Reynolds Number. SIAM J. Numer. Anal. 1980, 17, 733–739. [Google Scholar] [CrossRef]
- Peitgen, H.-O.; Saupe, D.; Schmitt, K. Nonlinear Elliptic Boundary Value Problems versus Their Finite Difference Approximations: Numerically Irrelevant Solutions. J. Reine Angew. Mathematik 1981, 322, 74–117. [Google Scholar]
- Schreiber, R.; Keller, H.B. Spurious Solution in Driven Cavity Calculations. J. Comput. Phys. 1983, 49, 310–333. [Google Scholar] [CrossRef]
- Shubin, G.R.; Stephens, A.B.; Glaz, H.M. Steady Shock Tracking and Newton’s Method Applied to One-Dimensional Duct Flow. J. Comput. Phys. 1981, 39, 364–374. [Google Scholar] [CrossRef]
- Griffiths, D.F.; Mitchell, A.R. Stable Periodic Solutions of a Nonlinear Partial Difference Equation in Reaction Diffusion; Report NA/113; Department of Mathematics and Computer Science, University of Dundee: Scotland, UK, 1988. [Google Scholar]
- Iserles, A. Stability and Dynamics of Numerical Methods for Nonlinear Ordinary Differential Equations; DAMTP 1988/NAI; University of Cambridge: Cambridge, UK, 1988. [Google Scholar]
- Lorenz, E.N. Computational Chaos—A Prelude to Computational Instability. Physica D 1989, 35, 299–317. [Google Scholar] [CrossRef]
- Prüfer, M. Turbulence in Multistep Methods for Initial Value Problems. SIAM J. Appl. Math. 1985, 45, 32–69. [Google Scholar] [CrossRef]
- Sanz-Serna, J.M.; Vadillo, F. Nonlinear Instability, the Dynamic Approach; Watson, G.A., Griffiths, D.F., Eds.; Pitman: London, UK, 1985. [Google Scholar]
- Sanz-Serna, J.M. Studies in Numerical Nonlinear Instability I: Why do leapfrog schemes go unstable? SIAM J. Sci. Stat. Comput. 1985, 6, 923–938. [Google Scholar] [CrossRef]
- Sanz-Serna, J.M. Numerical Ordinary Differential Equations vs. Dynamical Systems; Applied Mathematics and Computation Report 1990/3; Universidad de Valladolid: Valladolid, Spain, 1990. [Google Scholar]
- Aves, M.A.; Griffiths, D.F.; Higham, D.J. Does Error Control Suppress Spuriosity? SIAM J. Num. Anal. 1995, 34, 756–778. [Google Scholar] [CrossRef]
- Corless, R.M. Error Backward. Contemp. Math. 1994, 172, 31–62. [Google Scholar]
- Corless, R.M. What Good Are Numerical Simulations of Chaotic Dynamical Systems? Comput. Math. Appl. 1994, 28, 107–121. [Google Scholar] [CrossRef]
- Dieci, L.; Estep, D. Some Stability Aspects of Schemes for the Adaptive Integration of Stiff Initial Value Problems. SIAM J. Sci. Stat. Comput. 1991, 12, 1284–1303. [Google Scholar] [CrossRef]
- Hairer, E.; Iserles, A.; Sanz-Serna, J.M. Equilibria of Runge-Kutta Methods. Numer. Math. 1989, 58, 243–254. [Google Scholar] [CrossRef]
- Poloashenko, M.; Aidun, C.K. A direct method for computation of simple bifurcations. J. Comput. Phys. 1995, 121, 246–260. [Google Scholar] [CrossRef]
- Stuart, A.M. Probabilistic and Deterministic Convergence Proofs for Software for Initial Value Problems. Numer. Algorithms 1997, 14, 227–260. [Google Scholar] [CrossRef]
- Butcher, J.C. Numerical Analysis of Ordinary Differential Equations; John Wiley & Son: Chichester, UK, 1987. [Google Scholar]
- Yee, H.C.; Sweby, P.K. Nonlinear Dynamics & Numerical Uncertainties in CFD; NASA Technical Memorandum; NASA Ames Research Center: Mountain View, CA, USA, 1996; p. 110398.
- Bhattacharyya, B. Uncertainty qantification of dynamical systems by a POD-Kriging surrogate model. J. Comput. Sci. 2022, 60, 101602. [Google Scholar] [CrossRef]
- Frohlich, B.; Hose, D.; Dieterich, O.; Hanss, M.; Eberhard, P. Uncertainty quantification of large-scale dynamical systems using parametric model order reducion. Mech. Syst. Signal Process. 2022, 171, 108855. [Google Scholar] [CrossRef]
- Engquist, B.; Sjögreen, B. High Order Shock Capturing Methods. In CFD Reviews; Hafez, M., Oshima, K., Eds.; John Wiley: New York, NY, USA, 1995; pp. 210–233. [Google Scholar]
- Moujaes, P.; Kuzmin, D. Monolithic convex limiting and implicit pseudo-time stepping for calculating stead-state solutions of the Euler Equations. arXiv 2024, arXiv:2407.03746v1. [Google Scholar]
- Zhu, J.; Shu, C.-W.; Qiu, J. RKDG Methods with Multi-resolution WENO Limiters for Solving Steady-State Problems on Triangular Meshes. Comm. Appl. Math. Comput. 2023, 6, 1575–1599. [Google Scholar] [CrossRef]
- Toro, E.F.; Hidalgo, A. ADER finite volume schemes for nonlinear reaction-diffusion equations. Appl. Numer. Math. 2009, 59, 73–100. [Google Scholar] [CrossRef]
- Toro, E.F. Riemann Solver & Numerical Methods for Fluid Dynamics; Springer: Berlin/Heidelberg, Germany, 1997; ISBN 978-3-662-03492-7. [Google Scholar]
- Crocco, L. A Suggestion for the Numerical Solution of the Steady Navier-Stokes Equations. AIAA J. 1965, 3, 1824–1832. [Google Scholar] [CrossRef]
- Moretti, G.; Abbett, M. A Time-Dependent Computational Method for Blunt Body Flows. AIAA J. 1966, 4, 2136–2141. [Google Scholar] [CrossRef]
- MacCormack, R.W. The Effect of Viscosity in Hypervelocity Impact Cratering; AIAA Paper No. 69–354; American Institute of Aeronautics and Astronautics (AIAA): Cincinnati, OH, USA, 1969. [Google Scholar]
- Beam, R.M.; Warming, R.F. An implicit Factored Scheme for the Compressible Navier-Stokes Equations. AIAA J. 1978, 16, 293–402. [Google Scholar] [CrossRef]
- Briley, W.R.; McDonald, H. Solution of the multidimensional compressible Navier-Stokes equations by a generalized implicit method. J. Comp. Phys. 1977, 24, 372–397. [Google Scholar] [CrossRef]
- Steger, J. Implicit Finite-Difference Simulation of Flow about Arbitrary Two Dimensional Geometries. AIAA J. 1978, 16, 679–686. [Google Scholar] [CrossRef]
- Yee, H.C.; Sweby, P.K. On Super-Stable Implicit Methods and Time-Marching Approaches; RIACS Technical Report 95.12; NASA AMES Research Center: Mountain View, CA, USA, 1995; also, Proceedings of the Conference on Numerical Methods for Euler and Navier-Stokes Equations, Montreal, QC, Canada, 14–16 September 1995. Int. J. Comput. Fluid Dyn. 1997, 8, 265–286. [Google Scholar]
- Gimperlain, H.; Grinfeld, M.; Knops, R.J.; Slemrod, M. Non-Uniqueness in Plan Fluid Flows. arXiv 2023, arXiv:2301.09122v2. [Google Scholar]
- Keller, H.B. Numerical Solution of Bifurcation and Nonlinear Eigenvalue Problems. In Applications of Bifurcation Theory; Rabinowitz, P.H., Ed.; Academic Press: Cambridge, MA, USA, 1977; pp. 359–384. [Google Scholar]
- Shroff, G.M.; Keller, H.B. Stabilisation of unstable procedures: The RPM. SIAM J. Numer. Analy. 1993, 30, 1099–1120. [Google Scholar] [CrossRef]
- Davidson, B. Large Scale Continuation and Numerical Bifurcation for PDE’s. SIAM J. Numer. Anal. 1997, 34, 2008–2027. [Google Scholar] [CrossRef]
- Stephens, A.B.; Shubin, G.R. Multiple Solutions and Bifurcation of Finite Difference Approximations to Some Steady Problems of Fluid Dynamics. SIAM J. Sci. Stat. Comput. 1981, 2, 404–415. [Google Scholar] [CrossRef]
- Fortin, A.; Jardak, M.; Gervais, J.J.; Pierre, R. Localization of Hopf Bifurcations in Fluid Flow Problems. Intern. J. Numer. Meth. Fluids 1997, 24, 1185–1210. [Google Scholar] [CrossRef]
- Thompson, J.M.T. and Stewart, H.B. Nonlinear Dynamics and Chaos; John Wiley: Hoboken, NJ, USA, 1986. [Google Scholar]
- Hoppensteadt, F.C. Analysis and Simulation of Chaotic Systems; Springer: New York, NY, USA, 1993. [Google Scholar]
- De Markus, A.S.; Mickens, R.E. Suppression of Numerically Induced Chaos with Nonstandard Finite Difference Schemes. J. Comput. Appl. Math. 1999, 106, 317–324. [Google Scholar] [CrossRef]
- de Markus, A.S.; Mickens, R.E. Reduction of Computational Errors Using Nonstandard Finite Difference Models. Differ. Eqn. Appl. 2005, 1, 83–91. [Google Scholar] [CrossRef]
- Seydel, R. From Equilibrium to Chaos; Elsevier: New York, NY, USA, 1988. [Google Scholar]
- Hsu, C.S. Cell-to-Cell Mapping; Springer: New York, NY, USA, 1987. [Google Scholar]
- Friedman, M. On Computing Connecting Orbits. In Proceedings of the Conference on Dynamical Numerical Analysis, Atlanta, GA, USA, 14–16 December 1995; Georgia Institute of Technology: Atlanta, GA, USA, 1995. [Google Scholar]
- Higham, D.J.; Stuart, A.M. Analysis of the Dynamics of Local Error Control via a Piecewise Continuous Residual. BIT Numer. Math. 1998, 38, 44–57. [Google Scholar] [CrossRef]
- Yee, H.C.; Sweby, P.K. Dynamics of Numerics & Spurious Behaviors in CFD Computations, Proceedings of the 7th ISCFD Conference, Beijing, China, 15–19 September 1997; RIACS Technical Report 97.06; NASA: Washington, DC, USA, 1997.
- Sjögreen, B.; Yee, H.C. On Entropy Splitting, Linear and Nonlinear Numerical Dissipations and Long-Time Integrations. In Proceedings of the 5th Internattional Conference on Spectral and High Order Methods, Uppsala, Sweden, 11–15 June 2001. [Google Scholar]
- Yee, H.C.; Sjögreen, B. Adaptive Numerical-Dissipation/Filter Controls for High Order Numerical Methods. In Proceedings of the 3rd International Conference on DNS/LES, Arlington, TX, USA, 4–9 August 2001. [Google Scholar]
- Yee, H.C.; Sjögreen, B. Designing Adaptive Low Dissipative High Order Schemes for Long-Time Integrations. In Turbulent Flow Computation; Drikakis, D., Geurts, B., Eds.; Springer: New York, NY, USA, 2001; also RIACS Technical Report, Dec. (2001). [Google Scholar]
- Pirozzoli, S. Numerical Methods for High-Speed Flows. Annu. Rev. Fluid Mech. 2011, 43, 163–194. [Google Scholar] [CrossRef]
- Griffiths, D.F.; Sweby, P.K.; Yee, H.C. On Spurious Asymptotes Numerical Solutions of Explicit Runge-Kutta Schemes. IMA J. Numer. Anal. 1992, 12, 319–338. [Google Scholar] [CrossRef]
- Bao, W.; Jin, S. The random projection method for hyperbolic conservation laws with stiff reaction terms. J. Comput. Phys. 2000, 163, 216–248. [Google Scholar] [CrossRef]
- Bao, W.; Jin, S. The random projection method for stiff detonation capturing. SIAM J. Sci. Comput. 2001, 23, 1000–1026. [Google Scholar] [CrossRef]
- Bao, W.; Jin, S. The random projection method for stiff multispecies detonation capturing. J. Comput. Phys. 2002, 178, 37–57. [Google Scholar] [CrossRef]
- Chertock, A.; Chu, A.; Kurganov, A. Accurate Deterministic Projection Methods for Stiff Detonation Waves. Commun. Math. Sci. 2024, 22, 871–910. [Google Scholar] [CrossRef]
- Keefe, L.; Moin, P.; Kim, J. The Dimension of Attractors Underlying Periodic Turbulent Poiseuille Flow. J. Fluid Mech. 1992, 242, 1–29. [Google Scholar] [CrossRef]
- Keefe, L. Private communication. 1997; unpublished. [Google Scholar]
- Moura, A.F.; Gibbons, N.; Wheatley, V.; McIntyre, T.; Jahn, I. Characterization of Supersonic Turbulent Combustion in a Mach-10 Scramjet Combustor. AIAA J. 2020, 58, 2180–2196. [Google Scholar] [CrossRef]
- Grebogi, C.; Ott, E.; Yorke, J.A. Crises, Sudden Changes in Chaotic Attractors, and Transient Chaos. Physica D 1983, 7, 181–200. [Google Scholar] [CrossRef]
- Moore, D.R.; Weiss, N.O.; Wilkins, J.M. The Reliability of Numerical Experiments: Transitions to Chaos in Thermo solutal Convection. Nonlinearity 1990, 3, 997–1014. [Google Scholar] [CrossRef]
- Spalart, P.R.; Moser, R.D.; Rogers, M.M. Spectral methods for the Navier-Stokes equations with one infinite and two periodic directions. J. Comput. Phys. 1991, 96, 297. [Google Scholar] [CrossRef]
- Orszag, S. Accurate solution of the Orr-Sommerfeld stability equation. J. Fluid Mech. 1971, 50, 689–703. [Google Scholar] [CrossRef]
- Herbert, T. Lecture Notes in Physics 59; Springer: Berlin/Heidelberg, Germany, 1976; p. 235. [Google Scholar]
- Kim, J.; Moin, P.; Moser, R. Turbulence statistics in fully developed channel flow at low Reynolds number. J. Fluid Mech. 1987, 177, 133–166. [Google Scholar] [CrossRef]
- Gresho, P.M.; Gartling, D.K.; Torczynski, J.R.; Cliffe, K.A.; Winters, K.H.; Garratt, T.J.; Spence, A.; Goodrich, J.W. Is the Steady Viscous Incompressible Two?Dimensional Flow Over a Backward-Facing Step at Re = 800 Stable? Intern. J. Numer. Meth. Fluids 1993, 17, 501–541. [Google Scholar] [CrossRef]
- Kaiktsis, L.; Karniadakis, G.E.; Orszag, S.A. Onset of Three-Dimensionality, Equilibria, and Early Transition in Flow Over a Backward-Facing Step. J. Fluid Mech. 1991, 231, 501–528. [Google Scholar] [CrossRef]
- Torczynski, J.R. A Grid Refinement Study of Two-Dimensional Transient Flow Over a Backward-Facing Step Using a Spectral-Element Method; Separated Flows; Dutton, J.C., Purtell, L.P., Eds.; ASME: New York, NY, USA, 1993; Volume 149. [Google Scholar]
- Kaiktsis, L.; Karniadakis, G.E.; Orszag, S.A. Unsteadiness and Convective Instabilities in Two-Dimensional Flow Over a Backward-Facing Step. J. Fluid Mech. 1996, 321, 157–187. [Google Scholar] [CrossRef]
- Henderson, R.D. Adaptive Spectral Element Methods for Turbulence and Transition. In High-Order Methods for Computational Physics; Barth, T.J., Deconinck, H., Eds.; Springer: Berlin/Heidelberg, Germany, 1999. [Google Scholar]
- Fischer, P.F.; Mullen, J.S. Filter-Based Stabilization of Spectral Element Methods. C. R. L’AcadéMie Sci. Ser. I Math. 2001, 332, 265–270. [Google Scholar] [CrossRef]
- Maday, Y.; Patera, T.; Rønquist, E.M. An operator-integration-factor splitting method for time-dependent problems: Application to incompressible fluid flow. J. Sci. Comput. 1990, 5, 263–292. [Google Scholar] [CrossRef]
- Harten, A.; Hyman, J.M. Gui-Qiang Chen1 and Philippe G. LeFloch2. J. Comput. Phys. 1983, 50, 235. [Google Scholar] [CrossRef]
- Edney, B.E. FFA Report 115; The Aeronautical Research Institute of Sweden: Stockholm, Sweden, 1968; unpublished. [Google Scholar]
- Wei, L.; Xia, Y. Steady-state simulations of Euler equations by the discontinuous Galerkin method with the hybrid limiter. J. Comput. Phys. 2024, 515, 113288. [Google Scholar] [CrossRef]
- Berkenbosch, A.; Kaasschieter, E.; Klein, R. Detonation Capturing for Stiff Combustion Chemistry. Combust. Theory Model 1998, 2, 313–348. [Google Scholar] [CrossRef]
- Bihari, B.; Schwendeman, D. Multiresolution Schemes for the Reactive Euler Equations. J. Comput. Phys. 1999, 154, 197–230. [Google Scholar] [CrossRef]
- Bourlioux, A.; Majda, A.J.; Roytburd, V. Theoretical and Numerical Structure for Unstable One-Dimensional Detonations. SIAM J. Appl. Math. 1991, 51, 303–343. [Google Scholar] [CrossRef]
- Helzel, C.; LeVeque, R.; Warneke, G. A Modified Fractional Step Method for the Accurate Approximation of Detonation Waves. SIAM J. Sci. Stat. Comp. 1999, 22, 1489–1510. [Google Scholar] [CrossRef]
- Jeltsch, R.; Klingenstein, P. Error Estimators for the Position of Discontinuities in Hyperbolic Conservation Laws with Source Term Which are Solved Using Operator Splitting. Comput. Vis. Sci. 1999, 1, 231–249. [Google Scholar] [CrossRef]
- LeVeque, R.J.; Shyue, K.-M. One-Dimensional Front Tracking Based on High Resolution Wave Propagation Methods. SIAM J. Sci. Comput. 1995, 16, 348–377. [Google Scholar] [CrossRef]
- Pember, R. Numerical Methods for Hyperbolic Conservation Laws with Stiff Relaxation, I. Spurious Solutions. SIAM J. Appl. Math. 1993, 53, 1293–1330. [Google Scholar] [CrossRef]
- Tosatto, L.; Vigevano, L. Numerical Solution of Under-Resolved Detonations. J. Comp. Phys. 2008, 227, 2317–2343. [Google Scholar] [CrossRef]
- Colella, P.; Majda, A.; Roytburd, V. Theoretical and Numerical Structure for Numerical Reacting Waves. SIAM J. Sci. Stat. Comput. 1986, 7, 1059–1080. [Google Scholar] [CrossRef]
- Strang, G. On the Construction and Comparison of Difference Schemes. SIAM J. Numer. Anal. 1968, 5, 506–517. [Google Scholar] [CrossRef]
- Ducros, F.; Laporte, F.; Soulères, T.; Guinot, V.; Moinat, P.; Caruelle, B. High-Order Fluxes for Conservative Skew-Symmetric-Like Schemes in Structured Meshes: Application to Compressible. Flows J. Comput. Phys. 2000, 161, 114–139. [Google Scholar] [CrossRef]
- Kailasanath, K.; Oran, E.; Boris, J.; Young, T. A computational method for determining detonation cell size. In Proceedings of the 23rd Aerospace Sciences Meeting, Reno, NV, USA, 14–17 January 1985. [Google Scholar]
- Zhang, X.; Shu, C.-W. Positivity-Preserving High Order Finite Difference WENO Schemes for Compressible Euler Equations. J. Comput. Phys. 2012, 231, 2245–2258. [Google Scholar] [CrossRef]
- Yee, H.C.; Sjögreen, B. Efficient Low Dissipative High Order Schemes for Multiscale MHD Flows, II: Minimization of div B Numerical Error. J. Sci. Comput. 2006, 29, 115–164. [Google Scholar] [CrossRef]
- Yee, H.C.; Sjögreen, B. Adaptive Filtering and Limiting in Compact High Order Methods for Multiscale Gas Dynamics and MHD Systems. Comput. Fluid 2008, 37, 593–619. [Google Scholar] [CrossRef]
- Yee, H.C.; Warming, R.F.; Harten, A. Implicit total variation diminishing (TVD) schemes for steady-state calculations. J. Comput. Phys. 1985, 57, 327–360. [Google Scholar] [CrossRef]
- Ching, E.J.; Johnson, R.F.; Kercher, A.D. Postitivity-preserving and entropy-bounded discontinuous Galerkin method for the chemically reating, compressible Euler equations. Part I: The one-dimensional case. J. Comput. Phys. 2024, 505, 112881. [Google Scholar] [CrossRef]
- Corcos, L.P.; Saye, R.I.; Sethian, J.A. A hybrid finite difference level set-implicit mesh discontinuous Galerkin method for multi-layer coating flows. J. Comput. Phys. 2024, 507, 112960. [Google Scholar] [CrossRef]
- Maltsev, V.; Yuan, D.; Jenkins, K.W.; Skote, M.; Tsoutscanis, P. Hybrid discontinuous Galerkin-finite volume techniques for compressible flows on unstructured meshes. J. Comput. Phys. 2023, 473, 111755. [Google Scholar] [CrossRef]
- Sjögreen, B.; Yee, H.C.; Kotov, D.V. Skew-symmetric Splitting and Stability of High Order Central Schemes. J. Phys. Conf. Ser. 2017, 837, 012019. [Google Scholar] [CrossRef]
- Harten, A. The Artificial Compression Method for Computation of Shocks and Contact Discontinuities: (III). Self-Adjusting Hybrid Schemes. Math. Comput. 1978, 32, 363–389. [Google Scholar]
- Roe, P.L. Approximate Riemann Solvers, Parameter Vectors, and Difference Schemes. J. Comput. Phys. 1981, 43, 357–372. [Google Scholar] [CrossRef]
- Ducros, F.; Ferrand, V.; Nicoud, F.; Weber, C.; Darracq, D.; Gacherieu, C.; Poinsot, T. Large-Eddy Simulation of the Shock/Turbulence Interaction. J. Comput. Phys. 1999, 152, 517–549. [Google Scholar] [CrossRef]
- Johnsen, E.; Larsson, J.; Bhagatwala, A.; Cabot, W.; Moin, P.; Olson, B.; Rawat, P.; Shankar, S.; Sjgreen, B.; Yee, H.; et al. Assessment of high-resolution methods for numerical simulations of compressible turbulence with shock waves. J. Comput. Phys. 2010, 229, 1213–1237. [Google Scholar] [CrossRef]
- Palha, A.; Gerritsma, M. A Mass Energy, Enstrophy and Vorticity Conserving (MEEVC) Mimetic Spectral Element Discretization for the 2D Incompressible Navier-Stokes Equations. J. Comput. 2017, 328, 200–220. [Google Scholar] [CrossRef]
- Gassner, G.; Winters, A.R. A Novel Robust Strategy for Discontinuous Galerkin Methods in Computational Fluid Mechanics: Why? When? What? Where? Front. Phys. 2021, 8, 500690. [Google Scholar] [CrossRef]
- Harten, A. On the Symmetric Form of Systems for Conservation Laws with Entropy. J. Comput. Phys. 1983, 49, 151. [Google Scholar] [CrossRef]
- Tadmor, E. Entropy Stability Theory for Difference Approximations of Nonlinear Conservation Laws and Related Time-Dependent Problems. Acta Numer. 2003, 12, 451–512. [Google Scholar] [CrossRef]
- Cano, B.; Sanz-Serna, M.J. Error growth in the numerical integration of periodic orbits, with application to Hamiltonian and reversible systems. SIAM J. Numer. Anal. 1997, 34, 1391–1417. [Google Scholar] [CrossRef]
- Blaisdell, G.A.; Spyropoulos, E.T.; Qin, J.H. The Effect of the Formulation of Nonlinear Terms on Aliasing Errors in Spectral Methods. Appl. Num. Math. 1996, 21, 207–219. [Google Scholar] [CrossRef]
- Gerritsen, M.; Olsson, P. Designing an Efficient Solution Strategy for Fluid Flows. I. A Stable High Order Finite Difference Scheme and Sharp Shock Resolution for the Euler Equations. J. Comput. Phys. 1996, 129, 245–262. [Google Scholar] [CrossRef]
- Coppola, G.; Capuano, F.; Pirozzoli, S.; de Luca, L. Numerically Stable Formulations of Convective Terms for Turbulent Compressible Flows. J. Comput. Phys. 2019, 382, 86–104. [Google Scholar] [CrossRef]
- Pirozzoli, S. Generalized conservative approximations of split convective derivative operators. J. Comput. Phys. 2010, 219, 7180–7190. [Google Scholar] [CrossRef]
- Olsson, P.; Oliger, J. Energy and Maximum Norm Estimates for Nonlinear Conservation Laws; RIACS Technical Report 94.01; NASA: Washington, DC, USA, 1994.
- Johansson, S. High Order Summation by Parts Operator Based on a DRP Scheme Applied to 2D; Technical Report 2004-050; Uppsala University: Uppsala, Sweden, 2004. [Google Scholar]
- Yee, H.C.; Sjögreen, B. Recent Developments in Accuracy and Stability Improvement of Nonlinear filter Methods for DNS and LES of Compressible Flows. Comput. Fluids 2018, 169, 331–348. [Google Scholar] [CrossRef]
- Sjögreen, B.; Yee, H.C.; Vinokur, M. On high order finite-difference metric discretizations satifying GCL on mmoving and deforming grids. J. Comput. Phys. 2014, 265, 211–220. [Google Scholar] [CrossRef]
- Bogey, C.; Bailly, C. A Family of Low dispersive and Low Dissipative Explicit Schemes for Computing the Aerodynamic Noise. In Proceedings of the AIAA-Paper 2002-2509, 8th ARAA/CEAS Aeroacoustics Conference & Exhibit, Breckenridge, CO, USA, 17–19 June 2002. [Google Scholar]
- Brambley, E.J. Optimized finite-difference (DRP) schemes perform poorly for decaying or growing oscillations. J. Comput. Phys. 2015, 324, 258–274. [Google Scholar] [CrossRef]
- Tam, C.K.W. A CAA Primer for Practicing Engineers; AEDC-TR-08-2; Arnold Engineering Development Center: Arnold Air Force Base, TN, USA, 2008. [Google Scholar]
- Tam, C.K.W. Computational Aeroacoustics: A Wave Number Approach; Cambridge Aerospace Series; Cambridge University Press: New York, NY, USA, 2012; Volume 33. [Google Scholar]
- Sjögreen, B.; Yee, H.C. A New Approach for a Wider Class of Entropy Split Methods for Compressible Gas Dynamics and MHD. In Proceedings of the ICCFD11 Conference, Maui, HI, USA, 11–15 July 2022. [Google Scholar]
- Tadmor, E. Numerical Viscosity and the Entropy Condition for Conservative Difference Schemes. Math. Comput. 1984, 43, 369–381. [Google Scholar] [CrossRef]
- Bermejo-Moreno, I.; Larsson, J.; Lele, S.K. LES of canonical shock-turbulence interaction. In Annual Research Briefs, Center for Turbulence Research; Stanford University: Stanford, CA, USA, 2010; pp. 209–222. [Google Scholar]
- Larsson, J.; Lele, S.K. Direct numerical simulation of canonical shock/turbulence interaction. Phys. Fluids 2009, 21, 101–114. [Google Scholar] [CrossRef]
- Lee, S.; Lele, S.K.; Moin, P. Interaction of isotropic turbulence with shock waves: Effect of shock strength. J. Fluid Mech. 1997, 340, 225–247. [Google Scholar] [CrossRef]
- Ristorcelli, J.R.; Blaisdell, G.A. Consistent initial conditions for the DNS of compressible turbulence. Phys. Fluids 1997, 9, 4–6. [Google Scholar] [CrossRef][Green Version]
- Taylor, G.; Green, A. Mechanism of the Production of Small Eddies from Large Ones. Proc. R. Soc. Lond. A 1937, 158, 499–521. [Google Scholar]
- Yee, H.C.; Sjögreen, B. Simulation of Richtmyer-Meshkov Instability by Sixth-order Filter Methods. Shock Waves J. 2007, 17, 185–193. [Google Scholar] [CrossRef]
- Castro, M.J.; Gallardo, J.M.; Marquina, A. Jacobian-Free Incomplete Riemann Solvers. In Theory, Numerics and Application Problems I: Aachen Germany; Springer: Berlin/Heidelberg, Germany, 2016; pp. 292–307. [Google Scholar]
- Flash Manual–UserManual.wiki; University of Chicago: Chicago, IL, USA, 2021.
- Colella, P.; Woodward, P.R. The Piecewise Parabolic Method (PPM) for Gas-Dynamical Simulations. J. Comput. Phys. 1984, 54, 174–201. [Google Scholar] [CrossRef]
- Gurski, K.F. An HLLC-Type Approximate Riemann Solver for Ideal Magnetohydrodynamics. SIAM J. Sci. Comput. 2004, 25, 2165–2187. [Google Scholar] [CrossRef]
- Li, S. An HLLC Riemann Solver for Magneto-Hydrodynamics. J. Comput. Phys. 2005, 203, 344–357. [Google Scholar] [CrossRef]
- Yee, H.C.; Sjögreen, B. On Entropy Conservation and Kinetic Energy Preservation Methods. In Proceedings of the ICOSAHOM-2019, Paris, France, 1–5 July 2019. [Google Scholar]


























































Disclaimer/Publisher’s Note: The statements, opinions and data contained in all publications are solely those of the individual author(s) and contributor(s) and not of MDPI and/or the editor(s). MDPI and/or the editor(s) disclaim responsibility for any injury to people or property resulting from any ideas, methods, instructions or products referred to in the content. |
© 2024 by the authors. Licensee MDPI, Basel, Switzerland. This article is an open access article distributed under the terms and conditions of the Creative Commons Attribution (CC BY) license (https://creativecommons.org/licenses/by/4.0/).
Share and Cite
Yee, H.C.; Sweby, P.K.; Sjögreen, B.; Kotov, D.V. A Nonlinear Approach in the Quantification of Numerical Uncertainty by High-Order Methods for Compressible Turbulence with Shocks. Fluids 2024, 9, 250. https://doi.org/10.3390/fluids9110250
Yee HC, Sweby PK, Sjögreen B, Kotov DV. A Nonlinear Approach in the Quantification of Numerical Uncertainty by High-Order Methods for Compressible Turbulence with Shocks. Fluids. 2024; 9(11):250. https://doi.org/10.3390/fluids9110250
Chicago/Turabian StyleYee, H. C., P. K. Sweby, Björn Sjögreen, and D. V. Kotov. 2024. "A Nonlinear Approach in the Quantification of Numerical Uncertainty by High-Order Methods for Compressible Turbulence with Shocks" Fluids 9, no. 11: 250. https://doi.org/10.3390/fluids9110250
APA StyleYee, H. C., Sweby, P. K., Sjögreen, B., & Kotov, D. V. (2024). A Nonlinear Approach in the Quantification of Numerical Uncertainty by High-Order Methods for Compressible Turbulence with Shocks. Fluids, 9(11), 250. https://doi.org/10.3390/fluids9110250

