Evaluation of SPH and FVM Models of Kinematically Prescribed Peristalsis-like Flow in a Tube
Abstract
1. Introduction
2. Analytical Solution
3. Setup of the Numerical Model
3.1. Physiological Parameters
3.2. SPH Model
- (1)
- The value of any variable at a given point depends on all particle values inside a sphere of radius centred on that point. In SPH this is usually referred to as a kernel having compact support with radius . For the cubic and Wendland kernels and for the quartic kernel . Therefore, for any given particle configuration the quartic kernel involves summation of more particles over a greater spatial extent than the other two.
- (2)
- The kernels give different relative weighting to particles closer to the point of interest. This impacts not only the value but also the gradients of variables.
3.3. FVM Model
4. Simulation Results
5. Sensitivity Study
5.1. SPH Model
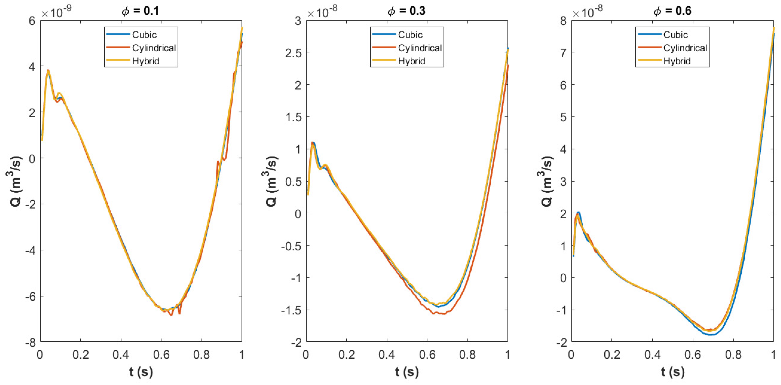
5.1.1. Effect of Initial Particle Arrangement
- A cubic arrangement of particles with the center of each adjacent particle located on a cubic grid that is spaced by the particle size in each of the Cartesian directions.
- A cylindrical arrangement of particles with the particle centers one particle diameter apart in the longitudinal direction and arranged in concentric rings around the longitudinal axis of the cylinder that are spaced by one particle diameter and particles in each ring approximately one particle diameter apart on the circumference of the ring.
- A hybrid of the above two approaches: a cylindrical arrangement of one ring of particles near the boundary surface and a cubic arrangement of particles within.
5.1.2. Effect of Kernel Choice
5.1.3. Effect of Fluid Sound Speed
5.1.4. Effect of Spatial Resolution
5.2. FVM Model
Mesh and Timestep Independent Studies
6. Conclusions
Author Contributions
Funding
Data Availability Statement
Acknowledgments
Conflicts of Interest
References
- Fung, Y.C.; Yih, C.S. Peristaltic transport. J. Appl. Mech. 1968, 35, 669–675. [Google Scholar] [CrossRef]
- Brasseur, J.G. A fluid mechanical perspective on esophageal bolus transport. Dysphagia 1987, 2, 32–39. [Google Scholar] [CrossRef] [PubMed]
- Sinnott, M.D.; Cleary, P.W.; Harrison, S.M. Multiphase Transport in the Small Intestine. In Proceedings of the Eleventh International Conference on CFD in the Minerals and Process Industries, Melbourne, VIC, Australia, 7–9 December 2015; Available online: https://www.cfd.com.au/cfd_conf15/PDFs/131SIN.pdf (accessed on 4 December 2022).
- Harrison, S.M.; Cleary, P.W.; Sinnott, M.D. Investigating mixing and emptying for aqueous liquid content from the stomach using a coupled biomechanical-SPH model. Food Funct. 2018, 9, 3202–3219. [Google Scholar] [CrossRef] [PubMed]
- Alokaily, S.; Feigl, K.; Tanner, F.X. Characterization of peristaltic flow during the mixing process in a model human stomach. Phys. Fluids 2019, 31, 103–105. [Google Scholar] [CrossRef]
- Li, C.; Jin, Y. A CFD model for investigating the dynamics of liquid gastric contents in human-stomach induced by gastric motility. J. Food Eng. 2021, 296, 110461. [Google Scholar] [CrossRef]
- Huizinga, J.D. Gastrointestinal peristalsis: Joint action of enteric nerves, smooth muscle, and interstitial cells of Cajal. Microsc. Res. Tech. 1999, 47, 239–247. [Google Scholar] [CrossRef]
- Pandey, S.K.; Singh, A. Peristaltic transport in an elastic tube under the influence of dilating forcing amplitudes. Int. J. Biomath. 2020, 13, 2050027. [Google Scholar] [CrossRef]
- Toniolo, I.; Fontanella, C.G.; Foletto, M.; Carniel, E.L. Coupled experimental and computational approach to stomach biomechanics: Towards a validated characterization of gastric tissues mechanical properties. J. Mech. Behav. Biomed. Mater. 2022, 125, 104914. [Google Scholar] [CrossRef]
- Brandstaeter, S.; Fuchs, S.L.; Aydin, R.C.; Cyron, C.J. Mechanics of the stomach: A review of an emerging field of biomechanics. GAMM-Mitt. 2019, 42, e201900001. [Google Scholar] [CrossRef]
- Bornhorst, G.M.; Singh, R.P. Gastric digestion in vivo and in vitro: How the structural aspects of food influence the digestion process. Annu. Rev. Food Sci. Technol. 2014, 5, 111–132. [Google Scholar] [CrossRef]
- Nadia, J.; Olenskyj, A.G.; Stroebinger, N.; Hodgkinson, S.M.; Estevez, T.G.; Subramanian, P.; Singh, H.; Singh, R.P.; Bornhorst, G.M. Tracking physical breakdown of rice- and wheat-based foods with varying structures during gastric digestion and its influence on gastric emptying in a growing pig model. Food Funct. 2021, 12, 4349–4372. [Google Scholar] [CrossRef] [PubMed]
- Bornhorst, G.M.; Roman, M.J.; Rutherfurd, S.M.; Burri, B.J.; Moughan, P.J.; Singh, R.P. Gastric digestion of raw and roasted almonds in vivo and in vitro. J. Food Sci. 2013, 78, H1807–H1813. [Google Scholar] [CrossRef] [PubMed]
- Bornhorst, G.M.; Ferrua, M.; Rutherfurd, S.; Heldman, D.; Singh, R.P. Rheological properties and textural attributes of cooked brown and white rice during gastric digestion in vivo. Food Biophys. 2013, 8, 137–150. [Google Scholar] [CrossRef]
- Bornhorst, G.M.; Chang, L.Q.; Rutherfurd, S.M.; Moughan, P.J.; Singh, R.P. Gastric emptying rate and chyme characteristics for cooked brown and white rice meals in vivo. J. Sci. Food Agric. 2013, 93, 2900–2908. [Google Scholar] [CrossRef] [PubMed]
- Li, C.; Yu, W.; Wu, P.; Chen, X.D. Current in vitro digestion systems for understanding food digestion in human upper gastrointestinal tract. Trends Food Sci. Technol. 2020, 96, 114–126. [Google Scholar] [CrossRef]
- Zhong, C.; Langrish, T. A comparison of different physical stomach models and an analysis of shear stresses and strains in these system. Food Res. Int. 2020, 135, 109296. [Google Scholar] [CrossRef]
- Dupont, D.; Alric, M.; Blanquet-Diot, S.; Bornhorst, G.; Cueva, C.; Deglaire, A.; Denis, S.; Ferrua, M.; Havenaar, R.; Lelieveld, J.; et al. Can dynamic in vitro digestion systems mimic the physiological reality? Food Sci. Nutr. 2018, 59, 1–17. [Google Scholar] [CrossRef]
- Hur, S.J.; Lim, B.O.; Decker, E.A.; McClements, D.J. In vitro human digestion models for food applications. Food Chem. 2011, 125, 1–12. [Google Scholar] [CrossRef]
- Cleary, P.W.; Harrison, S.M.; Sinnott, M.D.; Pereira, G.G.; Prakash, M.; Cohen, R.C.Z.; Rudman, M.; Stokes, N. Application of SPH to single and multiphase geophysical, biophysical and industrial fluid flows. Int. J. Comput. Fluid Dyn. 2021, 35, 22–78. [Google Scholar] [CrossRef]
- Sinnott, M.D.; Cleary, P.W.; Harrison, S.M. Peristaltic transport of a particulate suspension in the small intestine. Appl. Math. Model. 2017, 44, 143–159. [Google Scholar] [CrossRef]
- Sinnott, M.D.; Cleary, P.W.; Arkwright, J.W.; Dinning, P.G. Investigating the relationships between peristaltic contraction and fluid transport in the human colon using Smoothed Particle Hydrodynamics. Comput. Biol. Med. 2012, 42, 492–503. [Google Scholar] [CrossRef] [PubMed]
- Sinnott, M.; Cleary, P.; Arkwright, J.; Dinning, P. Modeling colonic motility: How does descending inhibition influence the transport of fluid? Gastroenterology 2011, 140, S-865–S-866. [Google Scholar] [CrossRef]
- Brasseur, J.G.; Nicosia, M.A.; Pal, A.; Miller, L.S. Function of longitudinal vs circular muscle fibers in esophageal peristalsis, deduced with mathematical modeling. World J. Gastroenterol. 2007, 13, 1335–1346. [Google Scholar] [CrossRef]
- Pal, A.; Indireshkumar, K.; Schwizer, W.; Abrahamsson, B.; Fried, M.; Brasseur, J.G. Gastric flow and mixing studied using computer simulation. Proc. R. Soc. B Biol. Sci. 2004, 271, 2587–2594. [Google Scholar] [CrossRef] [PubMed]
- Ferrua, M.J.; Kong, F.; Singh, R.P. Computational modeling of gastric digestion and the role of food material properties. Trends Food Sci. Technol. 2011, 22, 480–491. [Google Scholar] [CrossRef]
- Du, P.; Paskaranandavadivel, N.; Angeli, T.R.; Cheng, L.K.; O’Grady, G. The virtual intestine: In silico modeling of small intestinal electrophysiology and motility and the applications. Wiley Interdiscip. Rev. Syst. Biol. Med. 2016, 8, 69–85. [Google Scholar] [CrossRef] [PubMed][Green Version]
- Cleary, P.W.; Harrison, S.M.; Sinnott, M.D. Flow processes occurring within the body but still external to the body’s epithelial layer (gastrointestinal and respiratory tracts). In Digital Human Modeling and Medicine; Paul, G., Doweidar, M., Eds.; Elsevier: Amsterdam, The Netherlands, 2022. [Google Scholar]
- Shapiro, A.H.; Jaffrin, M.Y.; Weinberg, S.L. Peristaltic pumping with long wavelengths at low Reynolds number. J. Fluid Mech. 1969, 37, 799–825. [Google Scholar] [CrossRef]
- Eymard, R.; Gallouët, T.; Herbin, R. Finite volume methods. In Handbook of Numerical Analysis; Elsevier: Amsterdam, The Netherlands, 2000; Volume 7, pp. 713–1018. [Google Scholar]
- Burns, J.C.; Parkes, T. Peristaltic motion. J. Fluid Mech. 1967, 29, 731–743. [Google Scholar] [CrossRef]
- Barton, C.; Raynor, S. Peristaltic flow in tubes. Bull. Math. Biophys. 1968, 30, 663–680. [Google Scholar] [CrossRef]
- Cleary, P.; Prakash, M.; Ha, J.; Stokes, N.; Scott, C. Smooth particle hydrodynamics: Status and future potential. Prog. Comput. Fluid Dyn. 2007, 7, 70–90. [Google Scholar] [CrossRef]
- Monaghan, J.J. Simulating free surface flows with SPH. J. Comput. Phys. 1994, 110, 399–406. [Google Scholar] [CrossRef]
- Monaghan, J.J. Smoothed particle hydrodynamics. Rep. Prog. Phys. 2005, 68, 1703–1759. [Google Scholar] [CrossRef]
- Cleary, P.W. Modelling confined multi-material heat and mass flows using SPH. Appl. Math. Model. 1998, 22, 981–993. [Google Scholar] [CrossRef]
- Cummins, S.J.; Silvester, T.B.; Cleary, P.W. Three-dimensional wave impact on a rigid structure using smoothed particle hydrodynamics. Int. J. Numer. Methods Fluids 2012, 68, 1471–1496. [Google Scholar] [CrossRef]
- Wendland, H. Piecewise polynomial, positive definite and compactly supported radial functions of minimal degree. Adv. Comput. Math. 1995, 4, 389–396. [Google Scholar] [CrossRef]
- Monaghan, J.J.; Lattanzio, J.C. A refined particle method for astrophysical problems. Astron. Astrophys. 1985, 149, 135–143. Available online: https://adsabs.harvard.edu/pdf/1985A%26A...149..135M (accessed on 4 December 2022).
- Monaghan, J.J. Smoothed particle hydrodynamics. Annu. Rev. Astron. Astrophys. 1992, 30, 543–574. [Google Scholar] [CrossRef]
- Courant, R. Supersonic Flow and Shock Waves: A Manual on the Mathematical Theory of Non-Linear Wave Motion (No. 62); Courant Institute of Mathematical Sciences, New York University: New York, NY, USA, 1944; p. 304. [Google Scholar]
- Cleary, P.W. New implementation of viscosity: Tests with Couette flows. In SPH Technical Note 8, Division of Maths and Stats Technical Report DMS—C 96/32; CSIRO Publishing: New Ryde, NSW, Australia, 1996; Available online: https://publications.csiro.au/rpr/download?pid=procite:ce934b77-8db6-433c-8c12-a58e5bec2e0c&dsid=DS1 (accessed on 4 December 2022).
- Monaghan, J. On the problem of penetration in particle methods. J. Comput. Phys. 1989, 82, 1–15. [Google Scholar] [CrossRef]
- Ansys Inc. Fluid dynamics verification manual. 2022. Available online: https://ansyshelp.ansys.com/account/secured?returnurl=/Views/Secured/corp/v222/en/fbu_vm/fbu_vm.html (accessed on 4 December 2022).
- Patankar, S.V. Numerical Heat Transfer and Fluid Flow; CRC Press: Boca Raton, FL, USA, 2018. [Google Scholar]
- Ferziger, J.H.; Perić, M.; Street, R.L. Computational Methods for Fluid Dynamics; Springer: Berlin/Heidelberg, Germany, 2002. [Google Scholar]


















| Geometrical Dimensions | ||
| Radius | a | 0.001 m |
| Length | L | 0.05 m |
| Peristaltic Waves Characteristics | ||
| Wave speed | c | 0.03 m/s |
| Wavelength | λ | 0.05 m |
| Amplitude ratio | ϕ | 0.1–0.6 |
| Fluid Properties | ||
| Dynamic viscosity | μ | 0.01 Pa·s |
| Density | 1000 kg/m3 | |
| Conditions | ||
| The ratio of tube radius to wavelength | k | 0.02 (close to 0) |
| Reynolds number | Re | 0.06 (close to 0) |
| Arrangement | Normalized Flow Rate | Variation from Analytic Result | Normalized Flow Rate | Variation from Analytic Result | Normalized Flow Rate | Variation from Analytic Result |
|---|---|---|---|---|---|---|
| = 0.1 | = 0.3 | = 0.6 | ||||
| Cubic | 0.207 | 3% | 0.540 | 5% | 0.901 | 0.5% |
| Cylindrical | 0.197 | 3% | 0.529 | 7% | 0.903 | 0.8% |
| Hybrid | 0.207 | 2% | 0.546 | 4% | 0.904 | 0.8% |
| (m/s) | = 0.1 | = 0.3 | = 0.6 |
|---|---|---|---|
| Base | 0.60 | 0.68 | 0.79 |
| Lower (5% lower than base) | 0.57 | 0.64 | 0.75 |
| Higher (5% higher than base) | 0.63 | 0.71 | 0.83 |
| Particle Size (mm) | Number of Particles | Normalized Flow Rate | Variation from Analytic Result | Normalized Flow Rate | Variation from Analytic Result | Normalized Flow Rate | Variation from Analytic Result |
|---|---|---|---|---|---|---|---|
| = 0.1 | = 0.3 | = 0.6 | |||||
| 0.15 | 77,000 | 0.077 | 62% | 0.333 | 42% | 0.583 | 35% |
| 0.125 | 124,000 | 0.185 | 9% | 0.444 | 22% | 0.767 | 14% |
| 0.1 | 224,000 | 0.207 | 2% | 0.546 | 4% | 0.907 | 1% |
| 0.0875 | 320,000 | 0.197 | 2% | 0.550 | 3% | 0.903 | 1% |
Disclaimer/Publisher’s Note: The statements, opinions and data contained in all publications are solely those of the individual author(s) and contributor(s) and not of MDPI and/or the editor(s). MDPI and/or the editor(s) disclaim responsibility for any injury to people or property resulting from any ideas, methods, instructions or products referred to in the content. |
© 2022 by the authors. Licensee MDPI, Basel, Switzerland. This article is an open access article distributed under the terms and conditions of the Creative Commons Attribution (CC BY) license (https://creativecommons.org/licenses/by/4.0/).
Share and Cite
Liu, X.; Harrison, S.M.; Cleary, P.W.; Fletcher, D.F. Evaluation of SPH and FVM Models of Kinematically Prescribed Peristalsis-like Flow in a Tube. Fluids 2023, 8, 6. https://doi.org/10.3390/fluids8010006
Liu X, Harrison SM, Cleary PW, Fletcher DF. Evaluation of SPH and FVM Models of Kinematically Prescribed Peristalsis-like Flow in a Tube. Fluids. 2023; 8(1):6. https://doi.org/10.3390/fluids8010006
Chicago/Turabian StyleLiu, Xinying, Simon M. Harrison, Paul W. Cleary, and David F. Fletcher. 2023. "Evaluation of SPH and FVM Models of Kinematically Prescribed Peristalsis-like Flow in a Tube" Fluids 8, no. 1: 6. https://doi.org/10.3390/fluids8010006
APA StyleLiu, X., Harrison, S. M., Cleary, P. W., & Fletcher, D. F. (2023). Evaluation of SPH and FVM Models of Kinematically Prescribed Peristalsis-like Flow in a Tube. Fluids, 8(1), 6. https://doi.org/10.3390/fluids8010006

