Abstract
A system of Navier–Stokes-type equations with two temperatures is derived, for a polyatomic gas with temperature-dependent specific heats (thermally perfect gas), from the ellipsoidal statistical (ES) model of the Boltzmann equation extended to such a gas. Subsequently, the system is applied to the problem of shock-wave structure for a gas with large bulk viscosity (or, equivalently, with slow relaxation of the internal modes), and the numerical results are compared with those based on the ordinary Navier–Stokes equations. It is shown that the latter equations fail to describe the double-layer structure of shock profiles for a gas with large bulk viscosity.
1. Introduction
Nonequilibrium flows of polyatomic gases have attracted increasing attention in connection with practical problems in high-temperature gas dynamics [1,2,3,4]. The basis of the study of such flows is kinetic theory of gases based on the Boltzmann Equation [3,5,6,7,8]. However, since the Boltzmann equation has a complicated structure particularly for polyatomic gases, simplified Boltzmann equations for a polyatomic gas, in which the internal states are represented by a single variable associated with the energy of internal modes, have been proposed [9,10,11,12,13,14]. It should be mentioned that recent progress in the mathematical study of these Boltzmann equations is remarkable [12,14,15,16,17].
However, even the simplified versions of the Boltzmann equation are still not simple enough for practical applications. Therefore, alternative approaches using model Boltzmann equations [18,19,20,21,22,23,24,25,26,27] or macroscopic equations [28,29,30,31,32,33,34,35] have been proposed. The model Boltzmann equations bear much simpler structures while retaining certain basic properties of the original Boltzmann equation. The ellipsoidal-statistical (ES) model [21,22] is one of such models and is relevant herein. The macroscopic equations partially take account of kinetic effects of polyatomic gases, such as bulk viscosity, empirically or systematically on the basis of kinetic theory.
In a recent paper by the present authors, M. Bisi, and M. Groppi [36], a set of Navier–Stokes-type equations with two temperatures [two-temperature Navier–Stokes (NS) equations for short] was derived on the basis of kinetic theory and applied successfully to the structure of a plane shock wave for a polyatomic gas with large bulk viscosity. More specifically, the set was derived by the Chapman–Enskog procedure [37,38,39,40] using the ES model under the assumption that the relaxation of the internal modes is slow. It should be noted that, in this model, this assumption corresponds to large bulk viscosity.
The two-temperature NS equations in [36] are for a gas with constant specific heats (calorically perfect gas), since they were derived using the ES model for such a gas. In reality, however, the specific heats for most gases are temperature-dependent even when treated conceptually as ideal gases (thermally perfect gas). The effect of temperature-dependent specific heats becomes particularly important when there are significant variations in temperature in the flow field, such as gas flows containing strong shock waves.
For this reason, herein, we attempt to extend the two-temperature NS equations to a gas with temperature-dependent specific heats. Since the ES model has been extended to such a gas in [41], we will adopt this extended ES model as the starting point. Subsequently, an analysis can be conducted in parallel to [36], and given that the analysis details have already been published, we simply provide the result herein. We then shift our attention to a comparison between the ordinary Navier–Stokes (NS) equations with a single temperature, in which the bulk viscosity is contained, and the two-temperature NS equations, in which the bulk viscosity does not occur. The comparison is performed numerically for the structure of a plane shock wave.
Here, the following comments are in order. Navier–Stokes-type equations with two or multiple temperatures have widely been used in computational fluid dynamics for hypersonic flows of real gases in connection with reentry flight and contributed to the development of aerothermodynamics [2,3,42,43]. These flows comprise mixtures of many component gases with dissociation and chemical reactions. Because of the complexity of the phenomena, the equations are not strictly based on kinetic theory, and various modelings are introduced in many different processes. In this sense, the approach is different from ours that originates from kinetic theory in a simpler and idealized setting. Moreover, it is worth mentioning that the relation between multi-temperature fluid models and the bulk viscosity has been discussed on the basis of kinetic theory [44,45].
The rest of the paper is organized as follows. We summarize the extended ES model for a gas with temperature-dependent specific heats and its basic properties in Section 2. Next, the ordinary NS equations with a single temperature and the two-temperature NS equations, both derived from the extended ES model, are summarized in Section 3 and Section 4, respectively. Brief remarks on the relation between the bulk viscosity and the presence of the two temperatures, the translational and internal temperatures, are given in Section 5. In Section 6, the shock-structure problem is analyzed numerically for certain gases with large bulk viscosities using the two different NS equations, and the difference in the shock profiles is discussed. Section 7 provides concluding remarks.
2. ES Model for a Gas with Temperature-Dependent Specific Heats
Let us consider a polyatomic rarefied gas. Let t be the time variable, (or ) the position vector in the physical space, (or ) the molecular velocity, and the energy associated with the internal modes per unit mass. We denote by
the total mass of the gas molecules contained in an infinitesimal volume around a point in the seven-dimensional space consisting of , , and at time t. We may call the velocity–energy distribution function of the gas molecules.
2.1. ES Model
In the present paper, the gas is assumed to be thermally perfect, that is, the specific heat at constant volume and that at constant pressure are not constant but are functions of the temperature T. For such a gas, an ES model governing the velocity-energy distribution function f was proposed in [41]. It is a straightforward extension of the ES model for a gas with constant and [21]. In this subsection, we summarize the ES model proposed in [41].
We first consider an equilibrium state with a uniform and constant temperature T and assume for the moment that the specific heats are independent of T and that the classical equipartition law holds. Then, the internal energy E of the gas per unit mass can be expressed as , where is the (constant) number of internal degrees of freedom, and R is the gas constant per unit mass (note that with the Boltzmann constant and m the mass of a gas molecule). Now, we consider a more general gas for which the internal energy E is a given (monotonically increasing) function of the temperature T, i.e., . Then, we define a function as . This is a generalized number of internal degrees of freedom. Note that the relations and hold, so that and depend on the temperature.
Next, we apply the functions , , , and , defined in the equilibrium, to the nonequilibrium situation and use them in the construction of the ES model for the thermally perfect gas. We omit the process of the construction (see [41]) and simply show the result. The ES model is given by the following equation:
where
Here,
where e, , and are defined by
In (2)–(5), is the density, (or ) is the flow velocity, is the stress tensor, e is the internal energy per unit mass, is that associated with the translational motion, is that associated with the internal modes, T is the temperature, is the temperature associated with the translational motion, is the temperature associated with the energy of the internal modes, , and the domain of integration with respect to is the whole space of . The symbol indicates the Kronecker delta, and and are parameters. In addition, is a function of T such that is the collision frequency of the gas molecules, is the gamma function, is the positive-definite symmetric matrix whose component is defined by (4b), and and are, respectively, its determinant and inverse.
Note that all the macroscopic quantities contained in are generated from f. To be more specific, (i) , , , , , and e are obtained by (4c), (4d) and (5); (ii) T and then are determined by (4e) using the inverse function of the function E; (iii) , , and are determined by (4f), and then is established by (4b). Since and also , we have the relation [note that depends on T: cf. (4e)].
The pressure p and the heat-flow vector are given by
where (6a) is the equation of state.
2.2. Basic Properties
In this subsection, we summarize the basic properties that follow from the model Equation (2) [41]. Some properties are different when the parameter is equal to zero.
- Conservations: For an arbitrary function , the following relation holds:where () are , (), and for ; and () are , (), , and for .
- Equilibrium: The vanishing of the collision term is equivalent to the fact that f is the following local equilibrium distribution:for , where , , and are arbitrary functions of t and , and ; andfor , where , , , and are arbitrary functions of t and , and and are determined by the following coupled equations:The solution of (10) exists. In particular, it is unique when .
- Mean free path: The mean free path of the gas molecules in the equilibrium state at rest, at density , and temperature is given byfor the ES model (2), since is the collision frequency at this equilibrium state.
- Relaxation: In the space homogeneous case, where , the macroscopic quantities , , and T are constant, and the temperatures and relax to T in the following manner:where and are, respectively, the values of and at the initial time satisfying the relation with . Since is the mean free time, the time scale of relaxation of the temperatures is the mean free time devided by . Therefore, we may regard as the parameter controlling the speed of relaxation of the internal modes. This situation is the same as in the case of the ES model with constant [36].
It should be remarked that the inequality (11) enables us to show the H-theorem only for the spatially homogeneous case [41]. It is a drawback of this model, which should be the consequence of the simple and convenient definition of the temperature T and the resulting using the given function E [cf. (4e)].
5. Some Remarks
The ordinary NS equations (14) are based on the Navier–Stokes constitutive relations, i.e., the following expressions of the stress tensor and the heat-flow vector :
Here, we should recall that Equation (21) has been derived under the assumption that is of the order of unity. On the other hand, the viscosity and the bulk viscosity make sense only for the stress tensor of the form of (21a). Suppose that we are able to measure, experimentally, the tangential and normal stresses as well as the flow velocity, pressure, and temperature. Then, the viscosity and the bulk viscosity are determined empirically with the help of (21a). It is known that there are many gases that have large values of the ratio . However, it follows from (15) that large means small . Therefore, for the gases with large , the appropriate fluid-dynamic equations are not (14), derived under the assumption , but (18), derived under (17). This fact was already pointed out in [36] for a gas with constant specific heats. In the next section, we will compare the shock-wave structure based on (18) and that based on (14) for some gases with large numerically and find that they are significantly different.
The Chapman–Enskog expansion has been carried out for the dimensionless form of (2) in terms of the small parameter in (17). Equations (14) and (18) retain the terms of and though it is not visible from the dimensional Equations (14) and (18). It is noted that the terms containing , , and in (14) and those containing , , and in (18) correspond to the terms of . Equation (14) with and determines , , T, and p; then, Equation (16) gives and as small perturbations of from T. In this way, and play a subsidiary role.
When is large, as can be guessed from (16), and are not small perturbations from T and play a principal role. Therefore, we need the principal equations governing and , which are given by the system (18). The transition from (18) to (14) for such that can be shown by following the procedure in [44], as in the case of a gas with constant specific heats (see Appendix B in [46]).
6. Shock-Wave Structure
The problem of shock-wave structure is one of the most fundamental problems in kinetic theory and has been investigated for long time [6,39,40,47]. In this section, we investigate the problem of shock-wave structure for some gases with large values of using the two-temperature NS equations (18) as well as the ordinary NS equations (14) and compare the results.
A typical example of a polyatomic gas with large is CO, and the study of shock-wave structure for CO gas, which has a long history [48,49,50,51], has been revived in recent years [31,33,35,52,53,54,55,56,57]. For instance, an interesting classification of shock profiles depending on the upstream Mach number was provided in [52,53] using macroscopic equations based on extended thermodynamics. The results in [31,52,53] were subsequently confirmed by kinetic theory, more precisely, by the numerical analysis using the ES model in [41,58].
The first aim of this section is to confirm that the two-temperature NS equations (18) are able to reproduce the shock profiles obtained by the ES model (2) for a gas with temperature dependent specific heats [41]. The second aim is to assess the validity of the ordinary NS equations (14) with large bulk viscosity by comparing the obtained shock profiles with those based on the two-temperature NS equations (18).
6.1. Problem
We consider a stationary plane shock wave in a uni-directional flow of an ideal polyatomic gas with large values of , i.e., with slow relaxation of the internal modes, perpendicular to the shock wave. The axis of the coordinate system is taken in the flow direction. The gas at upstream infinity () is in an equilibrium state with density , flow velocity , and temperature , while the gas at downstream infinity () is in another equilibrium state with density , flow velocity , and temperature . We investigate the steady behavior of the gas under the following assumptions: (i) the specific heat at constant volume is a known function of the temperature T; (ii) the behavior of the gas is described by the Navier–Stokes equations with a single temperature (14) or those with two temperatures (18); (iii) the problem is spatially one dimensional, so that the physical quantities are independent of and .
Let us denote by the Mach number at upstream infinity and by the ratio of the specific heats at the temperature , i.e.,
When , the downstream parameters , , and the upstream ones , , are related by the following Rankine–Hugoniot relations [41]:
where
and is a solution such that of the following equation:
If is the increasing function of T, the solution satisfying is unique [41].
We try to obtain the numerical solutions of the steady and one-dimensional versions of (14) and (18), where and are assumed, under the following boundary conditions:
In the actual computation, however, we solve corresponding time-dependent problems and obtain the steady shock profiles as the long-time limit of the unsteady solutions. Since the numerical method is essentially the same as that in [36], we omit its description here.
6.2. Properties of Some Gases with Large Bulk Viscosities
In Table IV in [46], thermophysical properties of some gases with large ratios of the bulk viscosity to the viscosity are listed. In this paper, we choose SF, CH, and CO from the list and investigate the shock-wave structure for these gases.
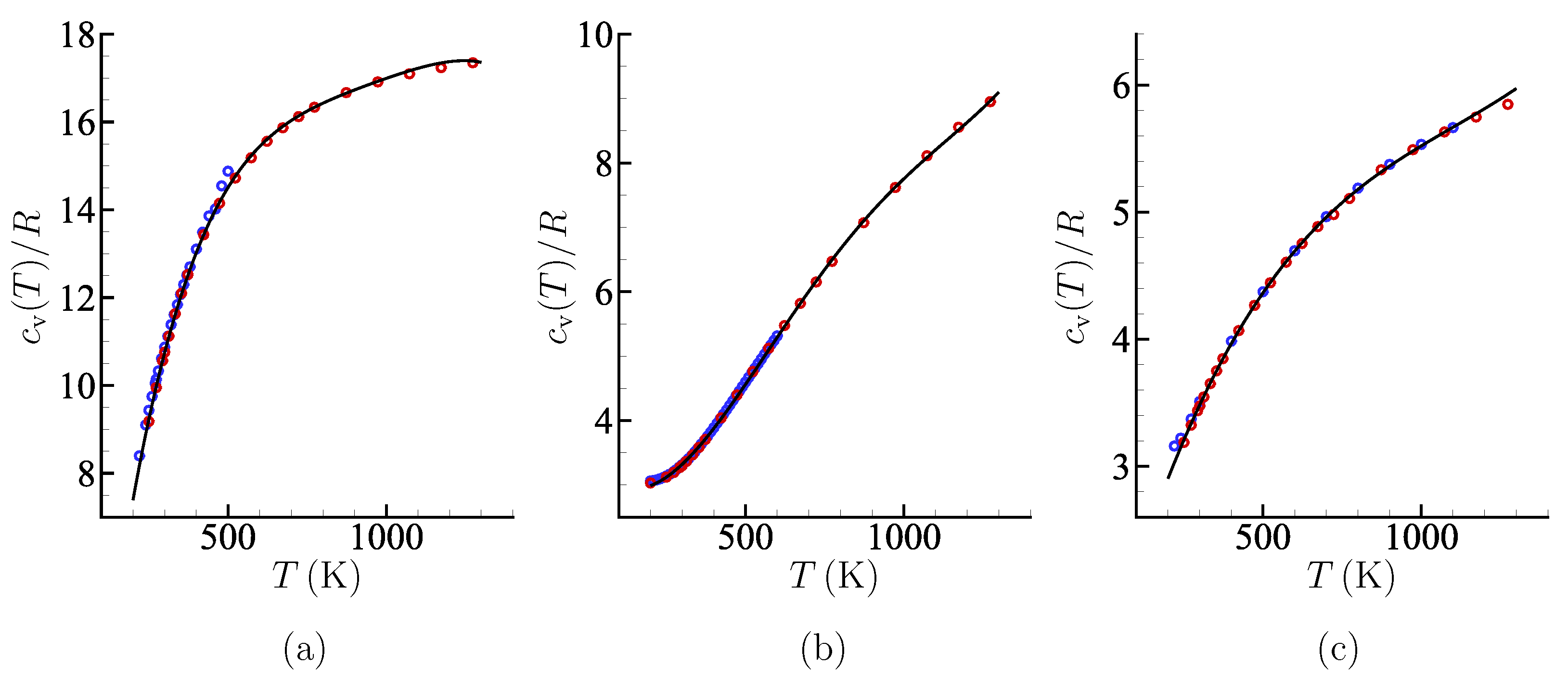
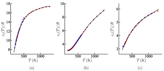
We first consider the specific heat at constant volume according to the data of that at constant pressure in [59,60]. We use the following fitting formula for :
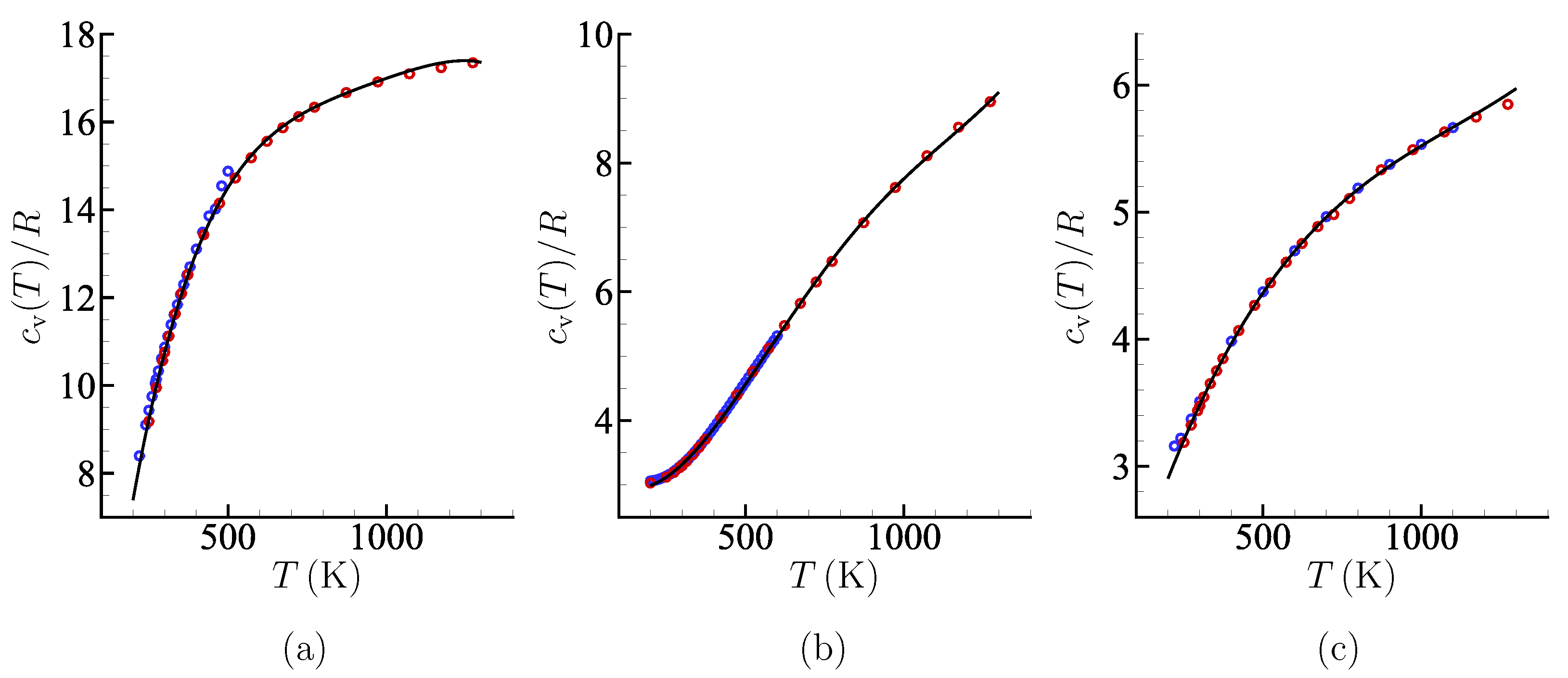
where are fitting coefficients having units such that each term on the right-hand side is dimensionless. The values of listed in Table 1 are those determined by using the data in [59,60] for SF and CH and those taken from [31] for CO. In the table, the values of , , and when K are also shown. Figure 1 shows the comparison between the fitting formula (27) with the values in Table 1 and the data in [59,60]. It is seen that the formula (27) reproduces the data well for the temperature range between 220 K and 1100 K. If K and , then K for SF, K for CH, and K for CO.
Table 1.
The coefficients in the fitting formula (27) and , , and for K for SF, CH, and CO.
Other thermophysical properties for SF, CH, and CO are included in Table IV in [46]. The data for these three gases are shown in Table 2. The data for the viscosity , the ratio of the specific heats , and the Prandtl number Pr, which are at K and kPa, are taken from [59], whereas those for the ratio , which are at K, are taken from [61]. Note that for the ES model, depends only on T. From these data, one obtains the values of and in Table 2 by using (15). As expected, the values of are small.
Table 2.
Thermophysical properties of some gases with large bulk viscosities.
In [46], the viscosity was assumed to be in the form
and the exponent s was determined by using the method of least squares on the basis of the data provided in [59]. The obtained value of s for each gas is shown in Table 2. Equation (28) with these values of s reproduces the data of given in [62] quite well in the temperature range 250–1300 K for CO and 250–600 K for SF and CH. The function is then determined by (15) as
With this , the reference mean free path is obtained by (12).
6.3. Numerical Results
In this section, we show some numerical results for the three gases mentioned in Section 6.2, i.e., CO, SF, and CH. The shock-wave structure based on the two-temperature NS equations (18) is compared with that based on the ordinary NS equations (14). For CO gas, it is also compared with the result based on the original ES model (2) taken from [41].
As in [41,58], we show the profiles of the density , the flow velocity (the component), and the temperatures T, , and normalized in the conventional way, i.e.,
In this normalization, , , , and varies from 0 (upstream infinity) to 1 (downstream infinity), whereas from 1 (upstream infinity) to 0 (downstream infinity). In the figures in this section, the coordinate is normalized by the mean free path at the equilibrium state at rest with density and temperature , i.e., [cf. (12)], and the origin is set in such a way that obtained by (18) and that by (14) coincide at . Otherwise, the absolute location of the origin is unimportant in the present problem. Here, it is put around the position where the density exhibits the steepest change, so that we can use the grid points concentrating on the origin in the numerical analysis.
6.3.1. CO Gas
First, it should be noted that the calculation for CO gas is carried out for the parameters slightly different from those shown in Table 1 and Table 2 because one of the purposes here is to compare the result with that based on the original ES model (2) reported in [41]. In [41], and are set to be K and mmHg, respectively, in accordance with [31,53], and this gives , , and . In addition, although the fitting formula (27) with the data in Table 1 is used for , the exponent s in (28) and (29) and Pr are set as and , respectively.
One of the interests in this study is to observe the change of the shock-wave structure as the ratio increases. For this purpose, we do not fix the value of according to the thermophysical data, such as 3849 in Table 2, but specify it arbitrary; we assume in the following. In other words, our CO gas is a fictitious one that we called the pseudo-CO gas in [58]. Correspondingly, the parameter becomes , respectively.
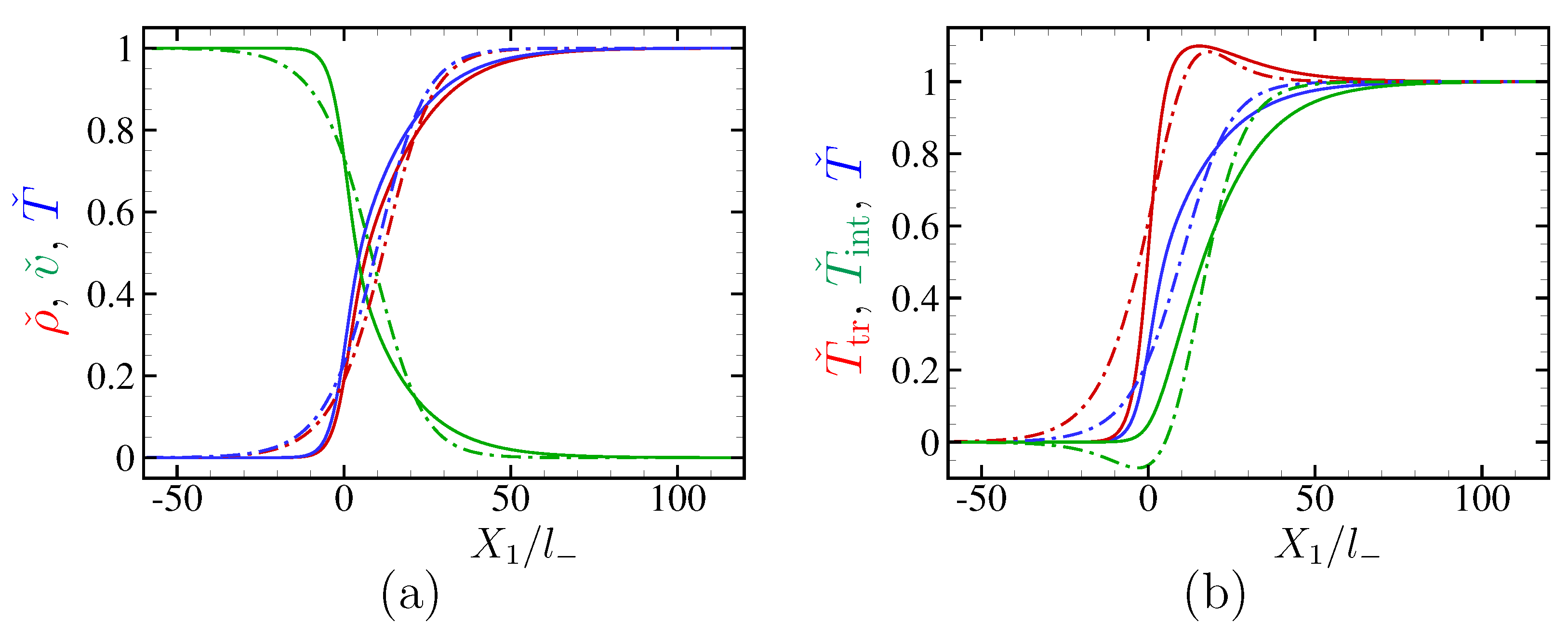
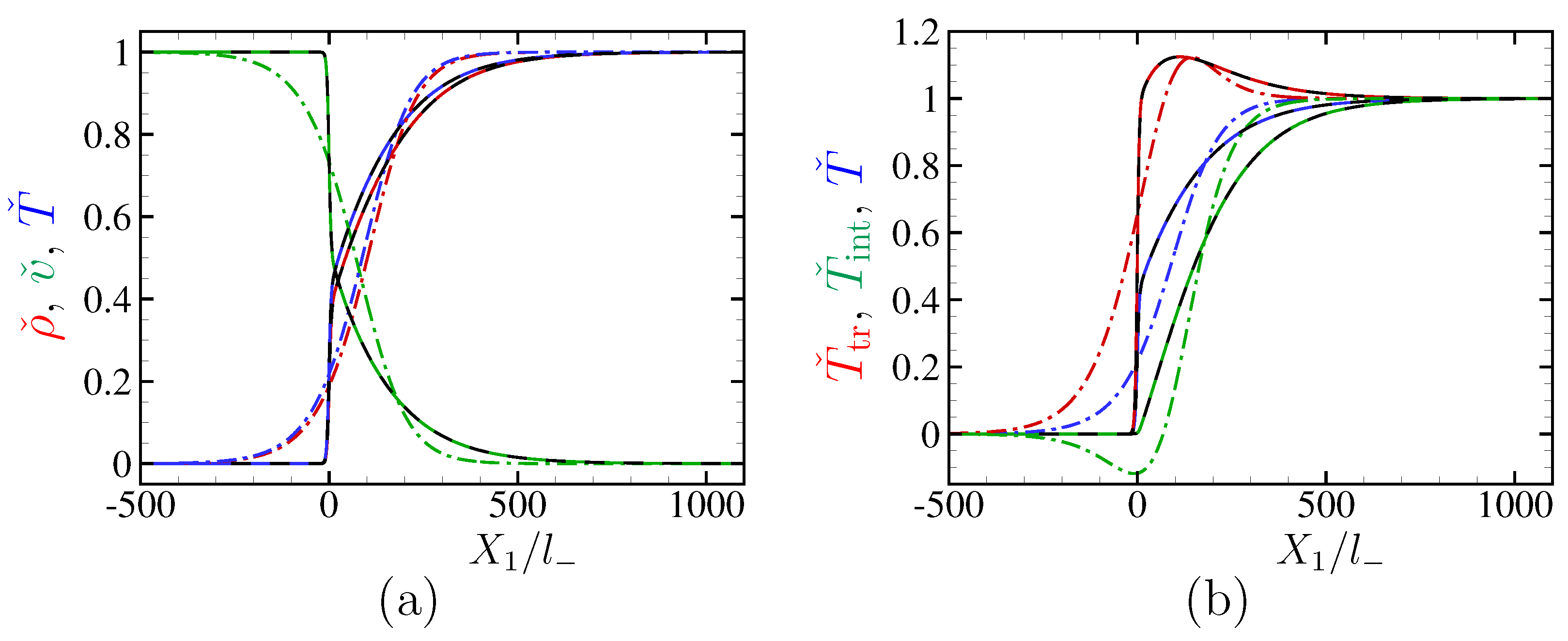
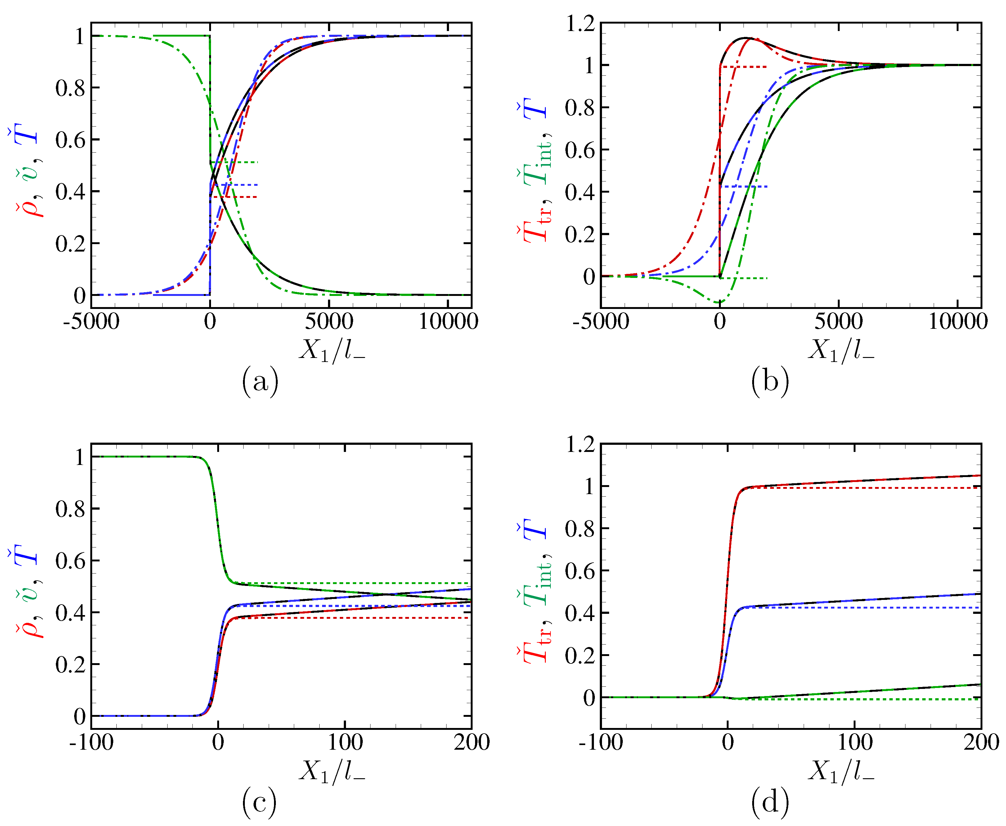
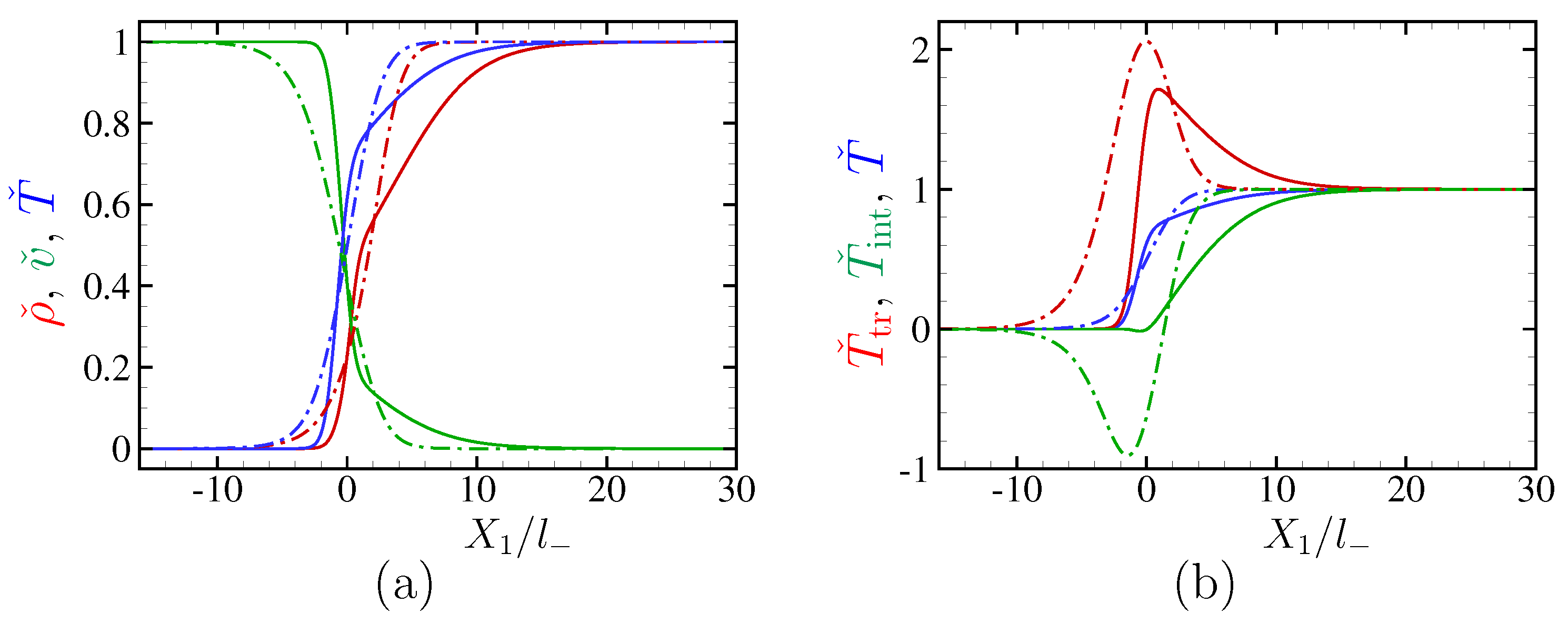
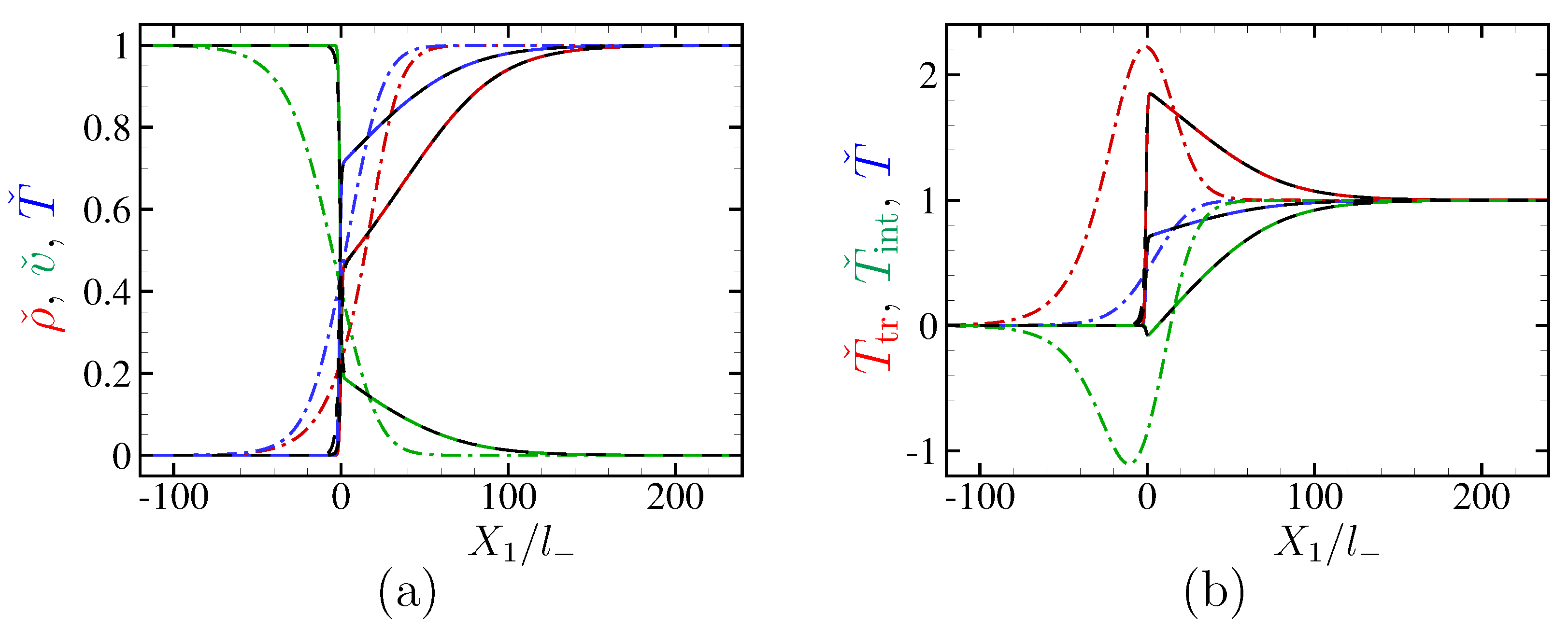
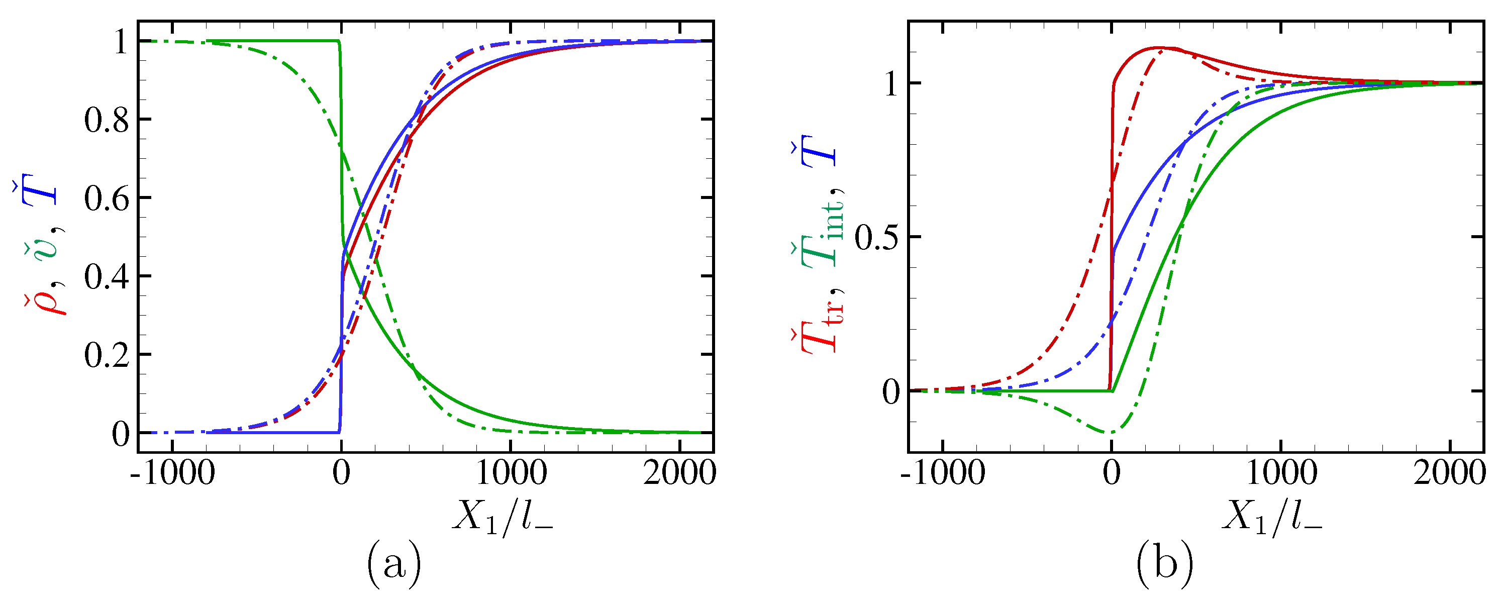
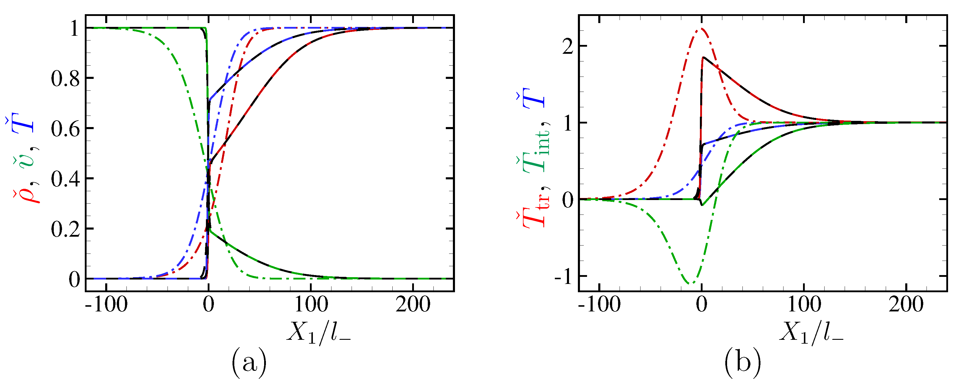
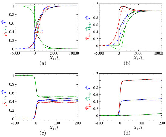
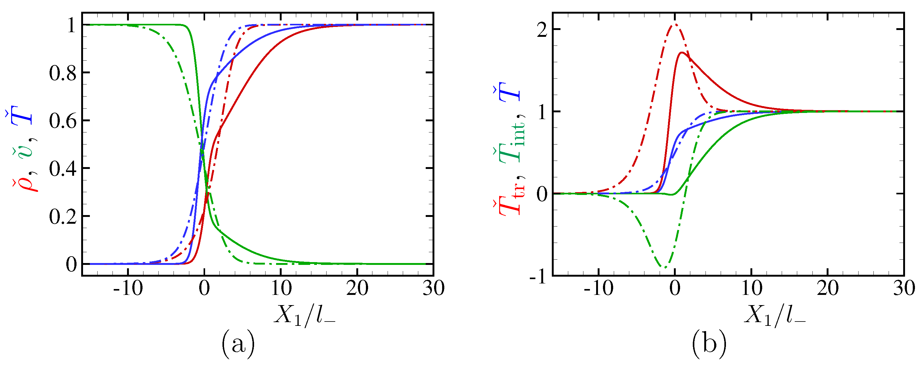
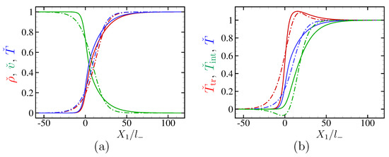
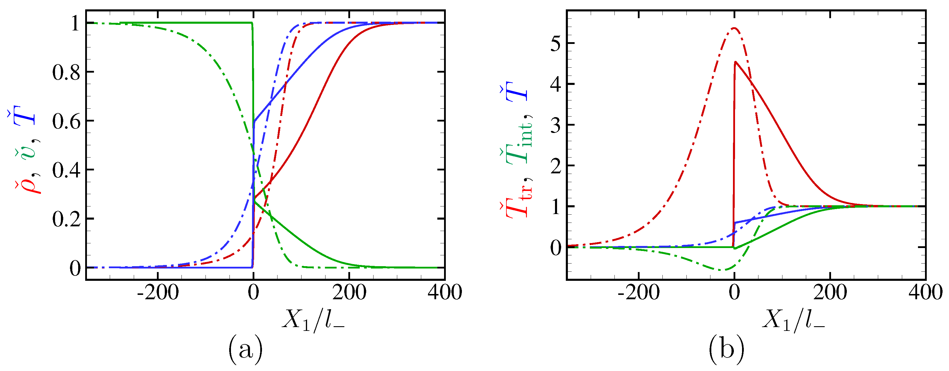
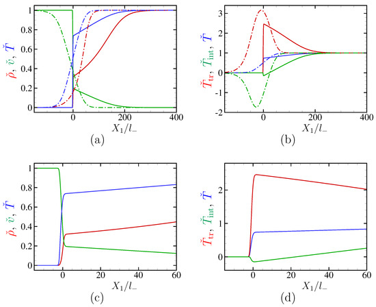
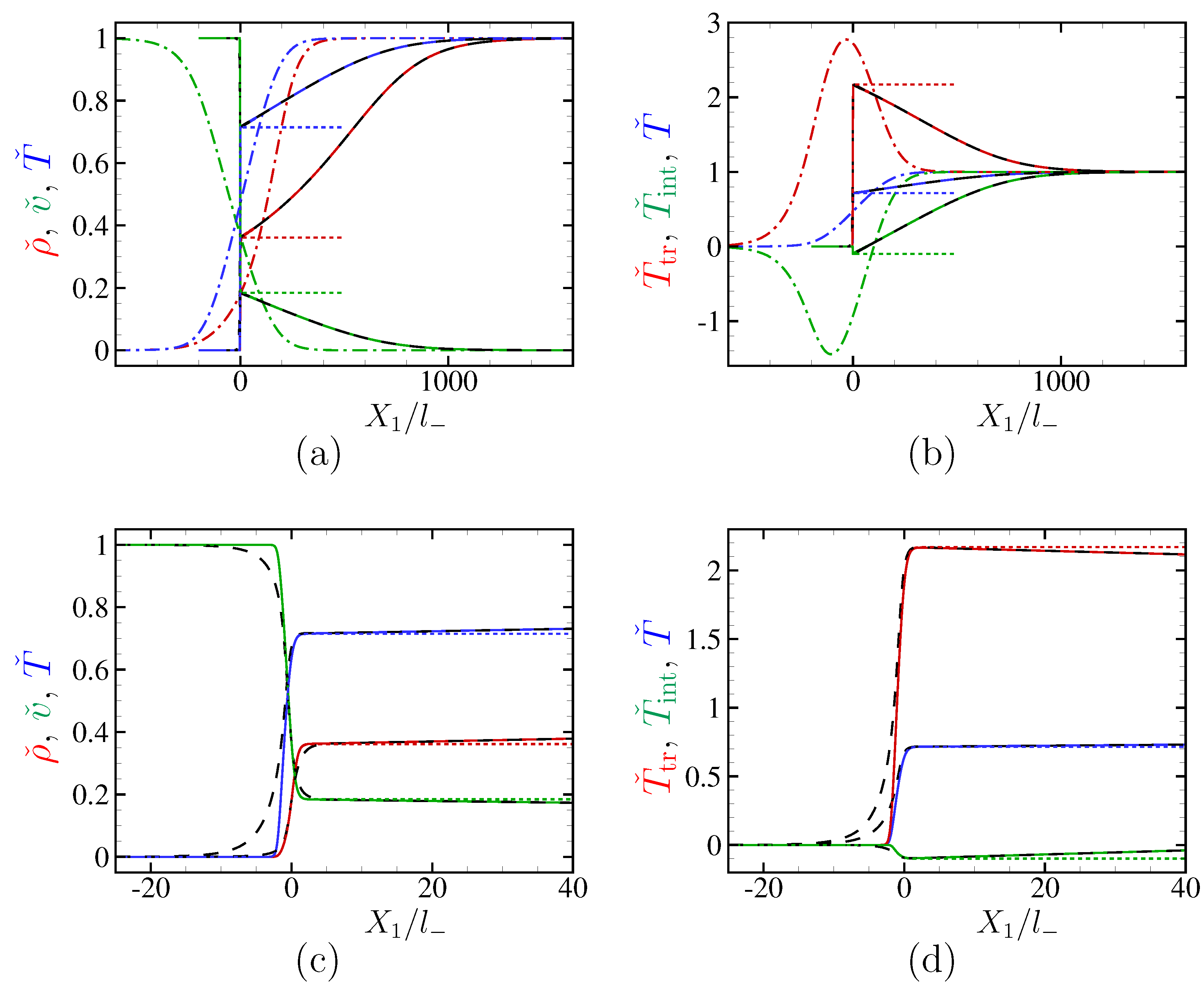
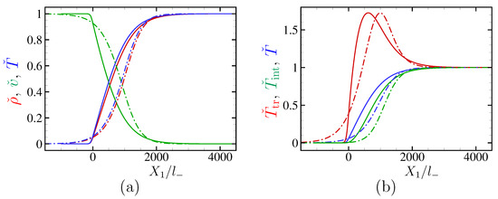
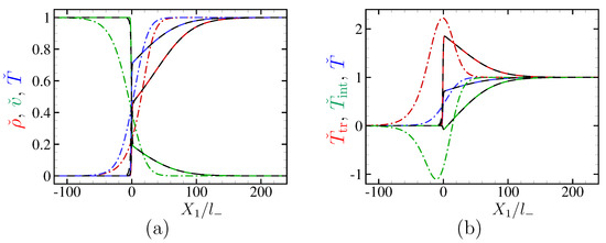
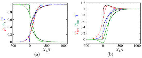
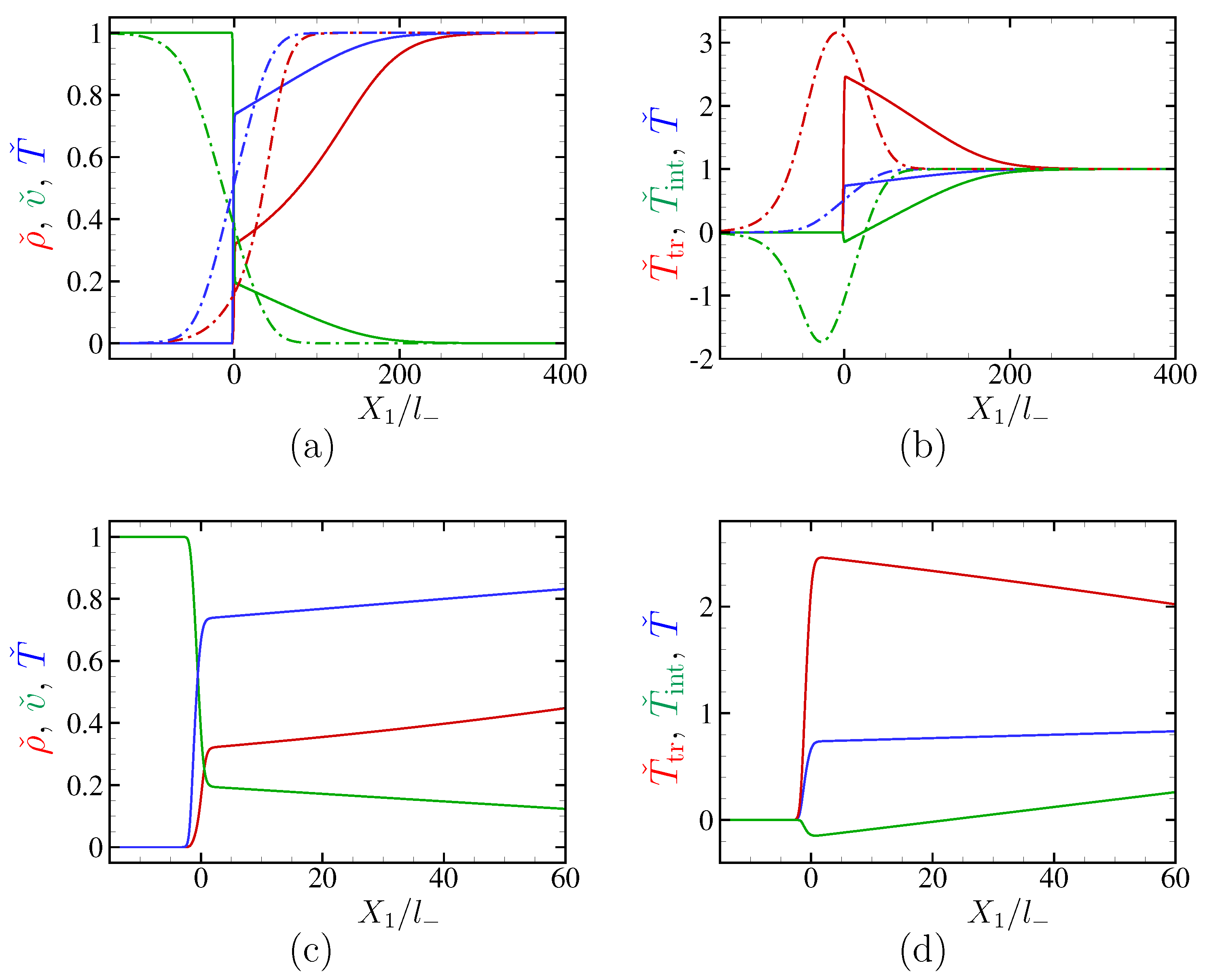
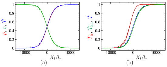
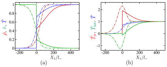
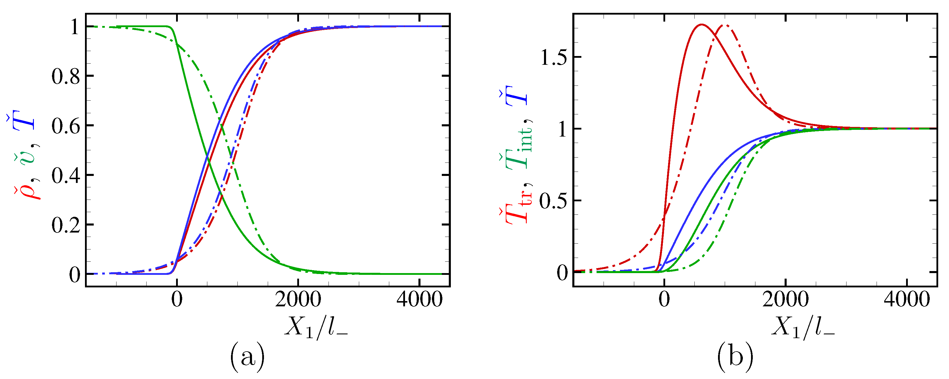
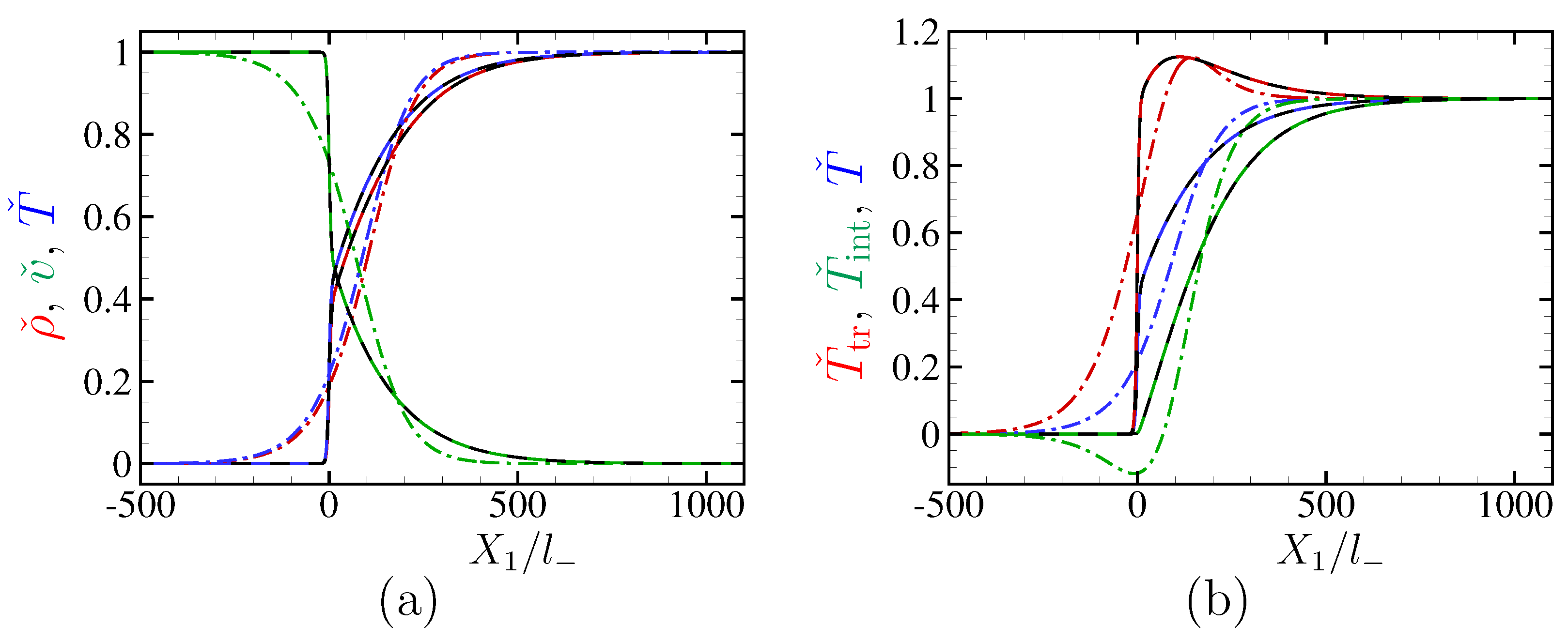
Figure 2, Figure 3 and Figure 4 show the profiles of , , , , and inside the shock wave at in the case of the pseudo-CO gas; Figure 2 is for , Figure 3 for , and Figure 4 for . Note that and at . In each of Figure 2, Figure 3 and Figure 4, panel (a) shows the profiles of , , and , and panel (b) those of , , and ; in Figure 4, panels (c) and (d) are, respectively, the magnified figures of panels (a) and (b). The solid line indicates the result based on the two-temperature NS equations (18), and the dot-dashed line that based on the ordinary NS equation (14). The respective macroscopic quantities are shown in different colors, which can be recognized from the colors of the labels on the vertical axis. To be more specific, the red, green, and blue lines indicate, respectively, , , and in panels (a) and (c) and , , and in panels (b) and (d). In Figure 3 and Figure 4, , , , , and obtained by using the ES model (2) [41] is also shown by the black dashed line, and in Figure 4c,d, the result based on the ordinary NS equations is not included. In addition, in Figure 4, the result for (or ), obtained by the two-temperature NS equations, is shown by dotted lines. It should be noted that the Rankine–Hugoniot relations are different from (23) when (see Appendix B.2 in [41]).
Figure 2.
Profiles of , , , , and in the case of the pseudo-CO gas at for . (a) , , and ; (b) , , and . The solid line indicates the result based on the two-temperature NS equations (18), and the dot-dashed line that based on the ordinary NS equations (14). The red, green, and blue lines indicate, respectively, , , and in panel (a) and , , and in panel (b).
Figure 3.
Profiles of , , , , and in the case of the pseudo-CO gas at for . (a) , , and ; (b) , , and . The solid line indicates the result based on the two-temperature NS equations (18), and the dot-dashed line that based on the ordinary NS equations (14). The red, green, and blue lines indicate, respectively, , , and in panel (a) and , , and in panel (b). The profiles based on the ES model (2) are shown by the black dashed line for all quantities.
Figure 4.
Profiles of , , , , and in the case of the pseudo-CO gas at for . (a,c) , , and ; (b,d) , , and . Panels (c,d) are, respectively, the magnified figures of panels (a,b) [except that the dot-dashed line is not included in panels (c,d)]. The solid line indicates the result based on the two-temperature NS equations (18), the dotted line that for (or ) based on the same equations, and the dot-dashed line that based on the ordinary NS equations (14). The red, green, and blue lines indicate, respectively, , , and in panels (a,c) and , , and in panels (b,d). The profiles based on the ES model (2) are shown by the black dashed line for all quantities.
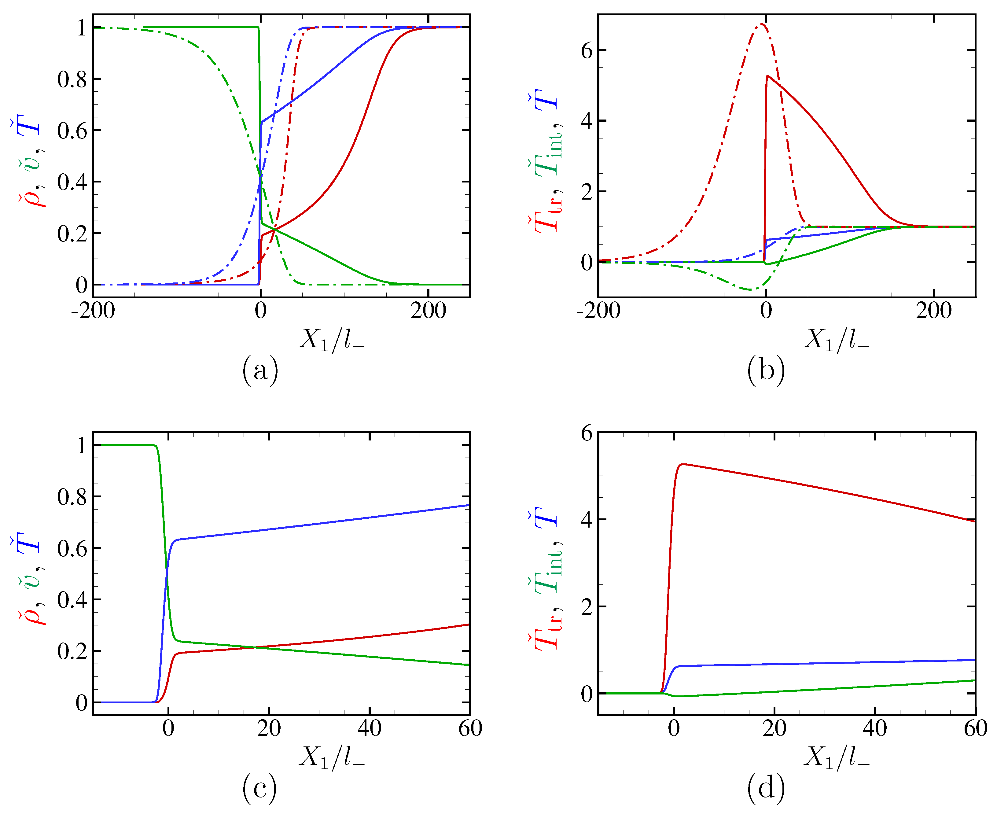
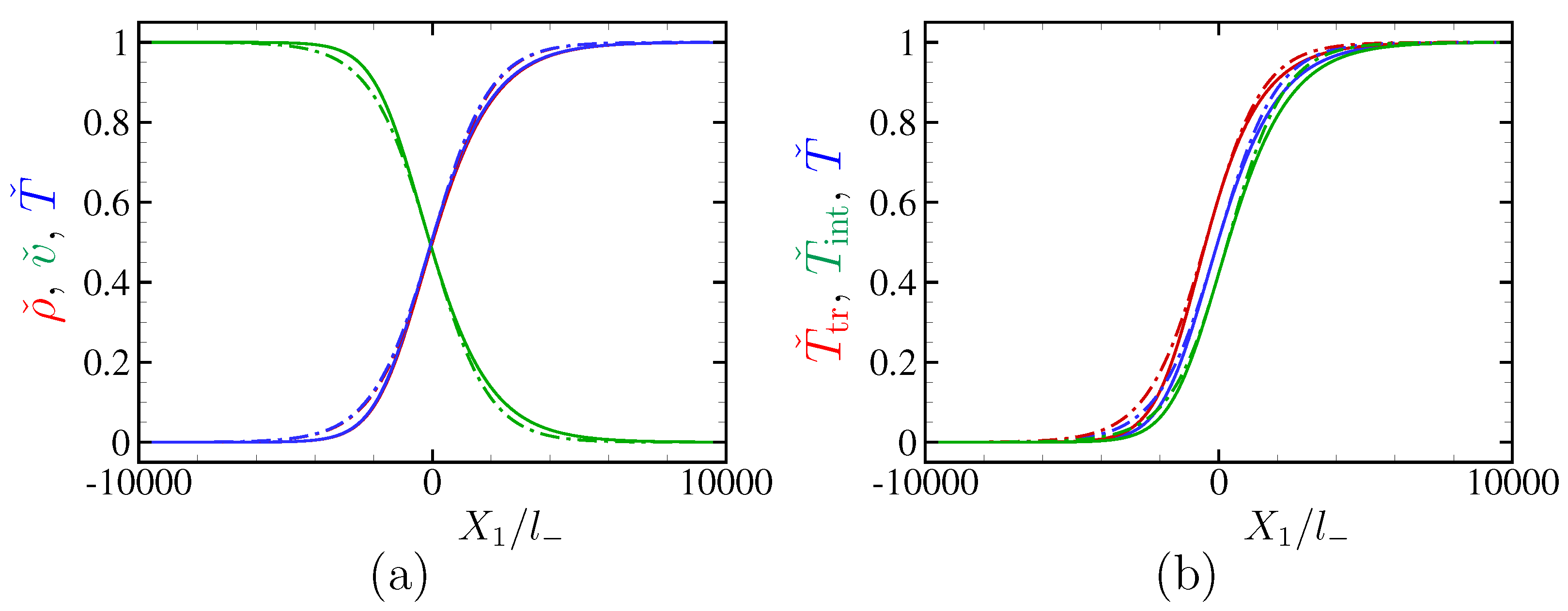
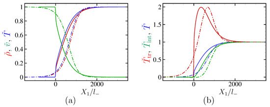
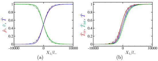
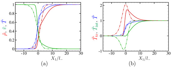
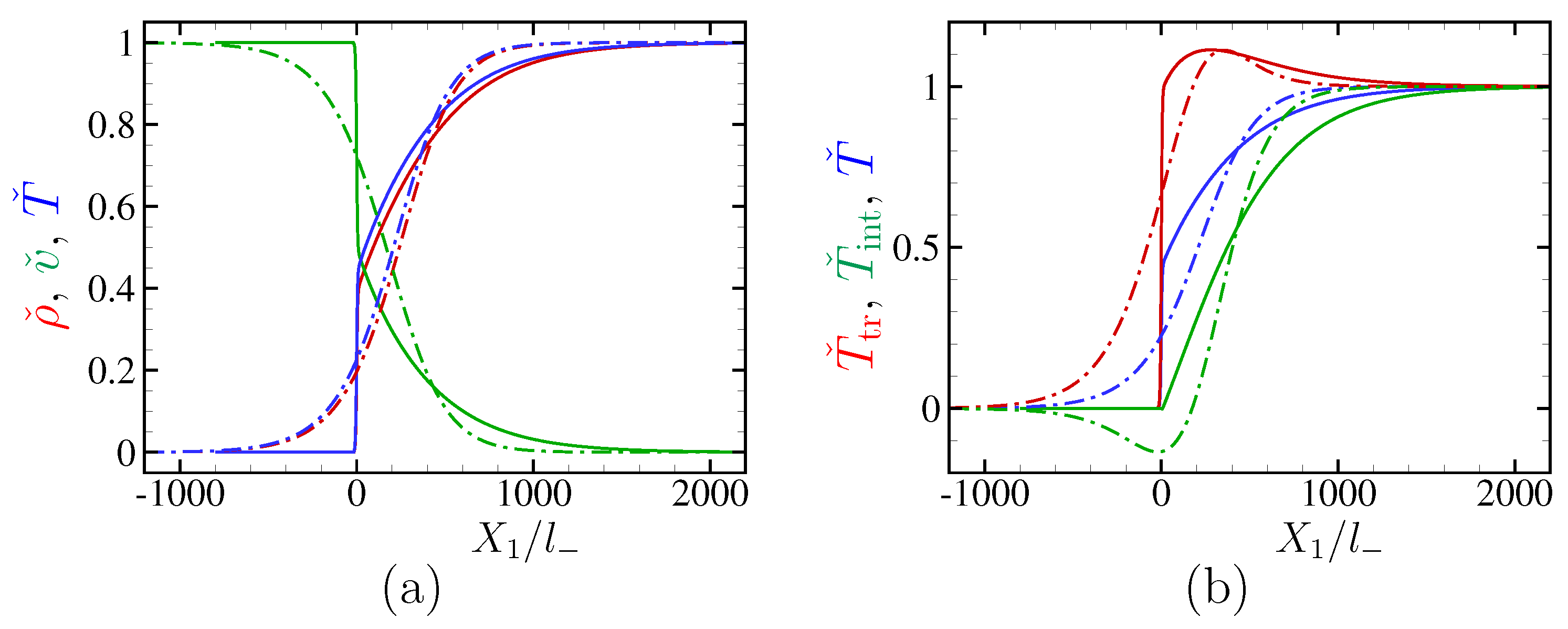
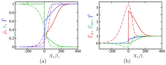
Figure 5, Figure 6 and Figure 7 show the profiles at for (Figure 5), 100 (Figure 6), and 1000 (Figure 7). As for the profiles at , only the result for is shown in Figure 8. The explanation of Figure 5, Figure 6 and Figure 7 and that of Figure 8 are basically the same as the explanation of Figure 2, Figure 3 and Figure 4 and that of Figure 4, respectively, so that they are omitted. It is noted that and at , and and at .
Figure 5.
Profiles of , , , , and in the case of the pseudo-CO gas at for . (a) , , and ; (b) , , and . See the caption of Figure 2.
Figure 6.
Profiles of , , , , and in the case of the pseudo-CO gas at for . (a) , , and ; (b) , , and . See the caption of Figure 3.
Figure 7.
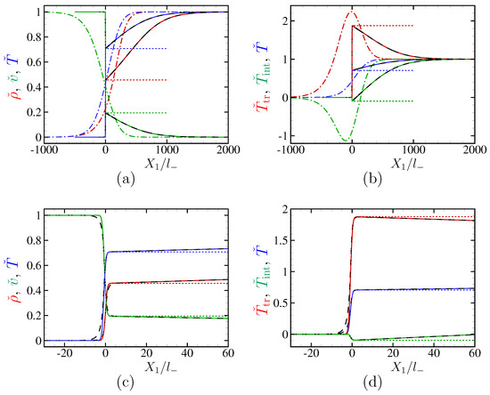
Profiles of , , , , and in the case of the pseudo-CO gas at for . (a,c) , , and ; (b,d) , , and . See the caption of Figure 4.
Figure 8.
Profiles of , , , , and in the case of the pseudo-CO gas at for . (a,c) , , and ; (b,d) , , and . See the caption of Figure 4.
Figure 2, Figure 3 and Figure 4 correspond to the case where the shock wave is rather weak (). Even for (Figure 2), the profiles obtained by the two-temperature NS equations deviates significantly from those by the ordinary NS equations. For , the result based on the two-temperature NS equations, which agrees perfectly with that based on the ES model (2), shows separation of the profiles into the thin front layer with a steep change, which may be called a subshock, and the thick rear layer with a slow relaxation. This separation is not observed in the result based on the ordinary NS equations. When increases up to 1000 (Figure 4), the separation becomes more prominent in the result based on the two-temperature NS equations as well as that based on the ES model (2), and the thickness of the shock wave is more than 5000 mean free paths. For a monatomic gas, it is known that the Navier–Stokes equations can describe the structure of weak shock waves relatively well. In contrast, for a polyatomic gas with large bulk viscosity, the ordinary NS equations fail to describe the structure correctly even for weak shock waves. Contrarily, the two-temperature NS equations correctly describe the shock-wave structure for such a gas. As seen from Figure 4c,d, the subshock for large coincides with the shock wave with (or ).
Figure 5, Figure 6 and Figure 7 are for a higher upstream Mach number and correspond to Figure 2, Figure 3 and Figure 4, respectively. As in Figure 2, Figure 3 and Figure 4, the profiles based on the two-temperature NS equations show the double-layer structure more eminently as increases. However, the thickness of the rear layer for , which is about 1000 mean free paths, is much smaller than that at (cf. Figure 4). As seen from the magnified figures, Figure 7c,d, the two-temperature NS equations give a thinner and sharper subshock than the ES model (2) though the profiles based on both equations agree very well in the rear layer with slow relaxation. As Figure 8 shows, the deviation between the profiles based on the two-temperature NS equations and those based on the ES model in the subshock becomes larger for a relatively strong shock wave at , but their agreement in the thick rear layer is still very good. Figure 7c,d and Figure 8c,d show that the profiles of the subshock for large coincide with those of the shock wave with (or ).
The double-layer structure of the shock profiles for CO gas had long been known and was revisited using the macroscopic equations based on extended thermodynamics in [31,52,53], which motivated subsequent studies using kinetic theory [36,41,58]. The profiles with the double-layer structure was classified as type C in [31,52,53] (see also [41,58]). It should be mentioned that a similar double-layer structure is also observed for a shock wave in a ternary mixture of Euler gases with disparate masses [63].
We summarize the conclusion for the pseudo-CO gas with large obtained in the present computation as follows:
- (i)
- The two-temperature NS equations are able to reproduce correct shock profiles for weak shock waves ().
- (ii)
- For moderate and strong shock waves ( and 5), although the profiles obtained by the two-temperature NS equations deviate from those based on the ES model in the thin front layer (subshock), they agree very well in the thick rear layer. The two-temperature NS equations tend to give a thinner and sharper subshock.
- (iii)
- The profiles of the subshock coincide with those of the shock wave with .
- (iv)
- The ordinary NS equations (with bulk viscosity) cannot be used to correctly describe the shock-wave structure even for weak shock waves ().
The properties (i)–(iii) have already been observed in cases where the specific heats are constant [36]. Therefore, focusing our attention on the property (iv), we investigate the shock-wave structure for other gases on the basis of the two-temperature and ordinary NS equations.
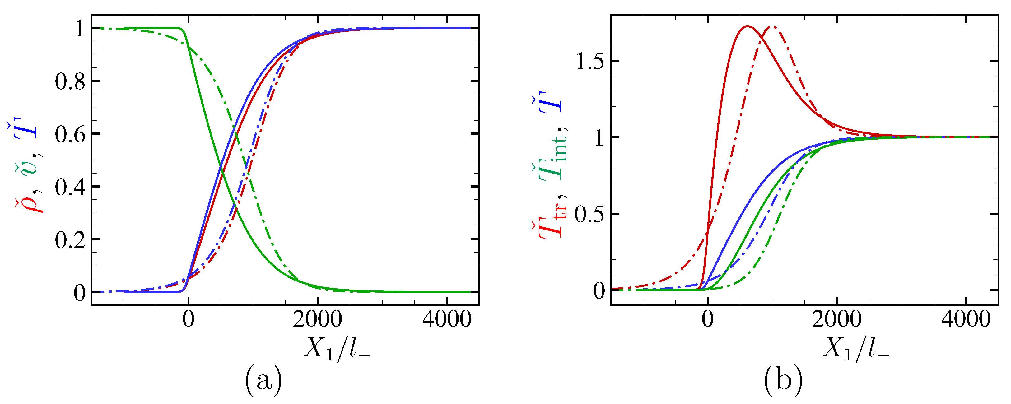
6.3.2. SF Gas
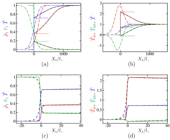
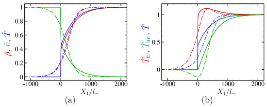
For SF gas, we set K and use the values of (), , , and in Table 1 and those of s, Pr, and in Table 2. Then, and are obtained as and (note that these values are slightly different from those in Table 2). The pressure or the density at upstream infinity is not specified here. Once it is given, , which appears in the figures as , is determined using (12) (with , , and ) and (29) [with in Table 2].
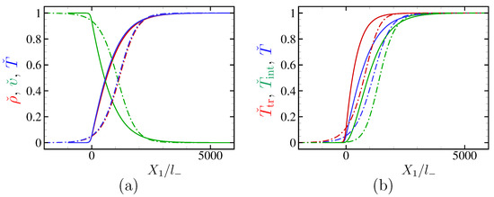
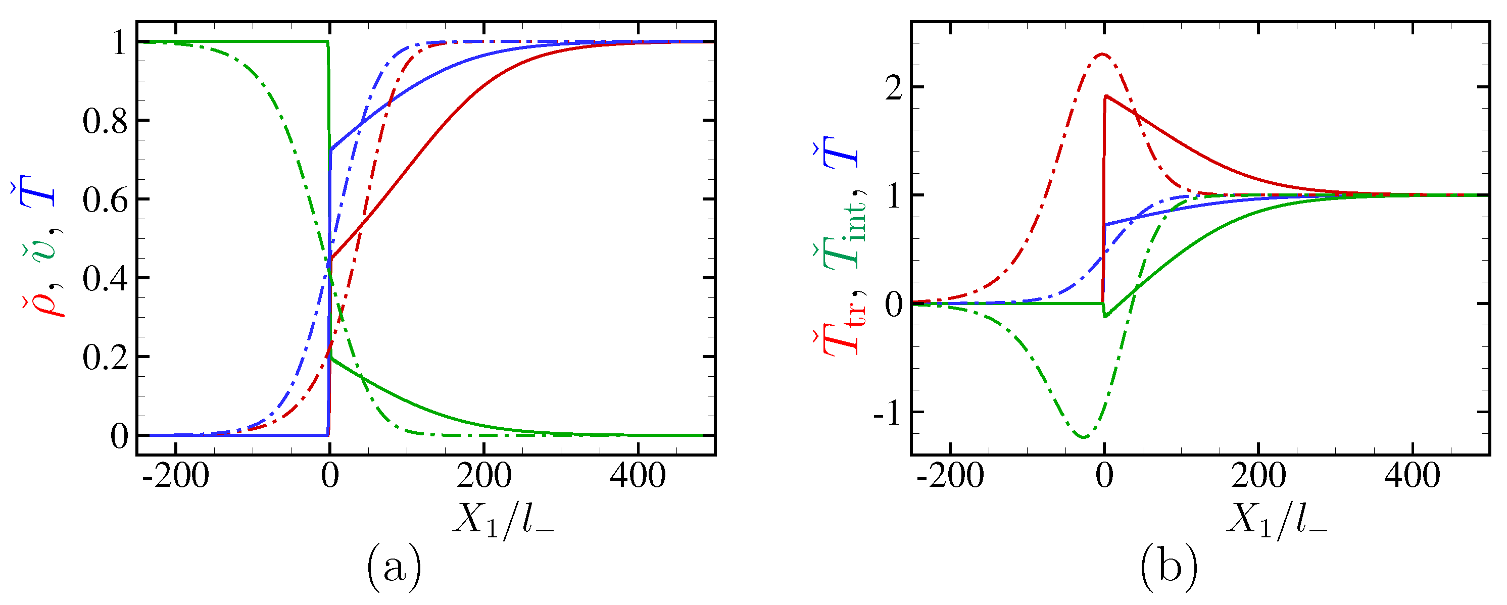
Figure 9, Figure 10, Figure 11, Figure 12 and Figure 13 show the profiles of , , , , and inside the shock wave at , , , 3, and 5; in Figure 13, panels (c) and (d) are, respectively, the magnified figures of panels (a) and (b) (without the result based on the ordinary NS equations). The types and colors of the lines in the figures are the same as in Figure 2, so that the explanation is omitted. It is remarked that (); (); (); (); and ().
Figure 9.
Profiles of , , , , and in the case of SF gas at . (a) , , and ; (b) , , and . See the caption of Figure 2.
Figure 10.
Profiles of , , , , and in the case of SF gas at . (a) , , and ; (b) , , and . See the caption of Figure 2.
Figure 11.
Profiles of , , , , and in the case of SF gas at . (a) , , and ; (b) , , and . See the caption of Figure 2.
Figure 12.
Profiles of , , , , and in the case of SF gas at . (a) , , and ; (b) , , and . See the caption of Figure 2.
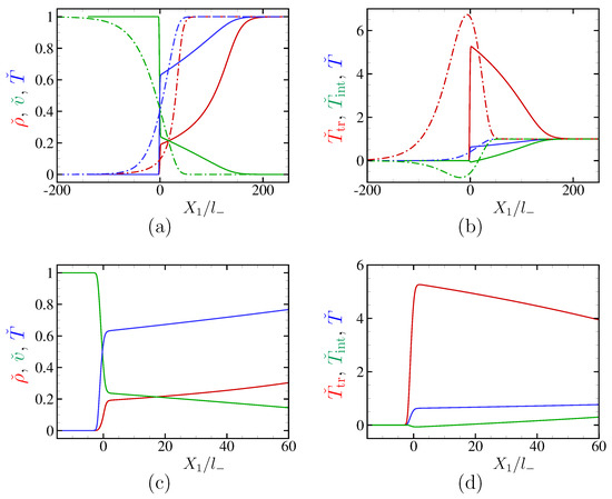
Figure 13.
Profiles of , , , , and in the case of SF gas at . (a,c) , , and ; (b,d) , , and . Panels (c,d) are, respectively, the magnified figures of panels (a,b). See the caption of Figure 2.
When (Figure 9), which corresponds to a very weak shock, the profiles are smooth, and the profiles based on the ordinary NS equations (14) do not differ much from those based on the two-temperature NS equations (18). These smooth profiles are classified as type A in [31,52,53] (see also [41,58]). However, when (Figure 10), the profiles start suddenly except for and are quite different from those in Figure 9 though has been increased slightly. These profiles with a sudden start are classified as type B in [31,52,53] (see also [41,58]). Although the shock wave is still weak, the ordinary NS equations cannot describe the sudden start of the profiles. The value corresponds to the sonic point of a different upstream Mach number , that is, the upstream Mach number when the gas is regarded as a monatomic gas, or when the internal modes are frozen (see [58]). At (Figure 11), one can observe the appearance of a thin front layer with a steep change (subshock). As in the case of pseudo-CO gas (see Figure 4), the ordinary NS equations cannot describe the profiles with a subshock. As is increased to 3 (Figure 12) and further to 5 (Figure 13), the amplitude of the subshock increases, and the change of physical quantities becomes steeper there. We recall that in the case of the pseudo-CO gas (Figure 7 and Figure 8), the subshock based on the two-temperature NS equations (18) is much thinner than that based on the original ES model (2) for moderately strong shock waves. Therefore, we cannot expect that the profiles inside the subshock in Figure 13c,d are accurate. Nevertheless, the jump over the subshock and the profiles in the thick rear layer are expected to be correct in Figure 13. With the exception of Figure 9 corresponding to the profiles of type A, the ordinary NS equations (with the bulk viscosity) provide completely incorrect profiles.
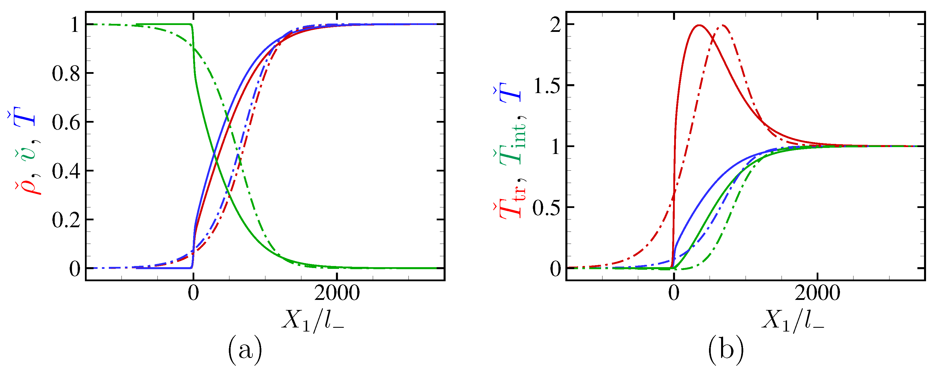
6.3.3. CH Gas
Finally, we present some results for CH gas. We also set K here and use the values of (), , , and in Table 1 and those of s, Pr, and in Table 2. Then, and are obtained as and (note that these values are slightly different from those in Table 2). The pressure or the density at upstream infinity is not specified here (see the first paragraph in Section 6.3.2). Figure 14, Figure 15, Figure 16, Figure 17 and Figure 18 show the profiles of , , , , and inside the shock wave at , , , 3, and 5; in Figure 18, panels (c) and (d) are, respectively, the magnified figures of panels (a) and (b) (without the result based on the ordinary NS equations). The different types and colors of the lines in the figures are the same as in Figure 2, thus the explanation is omitted. We remark that (); (); (); (); and ().
Figure 14.
Profiles of , , , , and in the case of CH gas at . (a) , , and ; (b) , , and . See the caption of Figure 2.
Figure 15.
Profiles of , , , , and in the case of CH gas at . (a) , , and ; (b) , , and . See the caption of Figure 2.
Figure 16.
Profiles of , , , , and in the case of CH gas at . (a) , , and ; (b) , , and . See the caption of Figure 2.
Figure 17.
Profiles of , , , , and in the case of CH gas at . (a) , , and ; (b) , , and . See the caption of Figure 2.
Figure 18.
Profiles of , , , , and in the case of CH gas at . (a,c) , , and ; (b,d) , , and . Panels (c,d) are, respectively, the magnified figures of panels (a,b). See the caption of Figure 2.
The value in Figure 15 corresponds to , as in Figure 10. Although the local values of the profile are different from those for SF gas shown in Figure 9, Figure 10, Figure 11, Figure 12 and Figure 13, the qualitative behavior at respective values of is similar to SF gas, and we therefore do not repeat similar explanations here.
7. Concluding Remarks
In our recent paper [36], we derived two-temperature Navier–Stokes equations for a polyatomic gas with slow relaxation of the internal modes from the ES model [21,22]. In this model, slow relaxation of the internal modes is equivalent to large values of the ratio of bulk viscosity to viscosity . The resulting Navier–Stokes equations were then successfully applied to the numerical analysis of the shock-structure problem. All these results pertain to a gas with constant specific heats (calorically perfect gas).
In the present paper, we have extended the two-temperature Navier–Stokes equations to a polyatomic gas whose specific heats are not constant but depend on temperature (thermally perfect gas) using the ES model for such a gas proposed in [41]. Then, using the extended two-temperature Navier–Stokes equations, we numerically analyzed the structure of a plane shock wave for certain gases bearing large values of , i.e., CO, SF, and CH. The same problem has also been analyzed by using the ordinary Navier–Stokes equations with a single temperature and bulk viscosity derived from the same extended ES model.
We first confirmed for CO gas (more precisely, pseudo-CO gas) that, as in the case of a calorically perfect gas [36], the two-temperature Navier–Stokes equations recover the shock profiles obtained by the numerical analysis of the ES model very well for weak shock waves and sufficiently well even for moderately strong shock waves. Subsequently, we showed that the shock profiles obtained by the ordinary Navier–Stokes equations differ significantly from those based on the two-temperature Navier–Stokes equations even for weak shock waves. Notably, the double-layer structure with a thin front layer (subshock) and a thick rear layer, as obtained by the two-temperature Navier–Stokes equations, cannot be described by the ordinary Navier–Stokes equations even qualitatively. This drawback of the ordinary Navier–Stokes equations was also demonstrated for SF and CH gases.
Therefore, we may conclude that the ordinary Navier–Stokes equations with bulk viscosity are inappropriate for polyatomic gases with large values of , even at the so-called Navier–Stokes level. For such gases, one should use more appropriate macroscopic equations, such as the two-temperature Navier–Stokes equations derived in this paper.
The present two-temperature Navier–Stokes equations are derived from the ES model (2) with a single energy variable for all the internal modes. Therefore, if, for instance, one of the vibrational modes relaxes slowly, we suppose that the internal modes relax slowly and that the two-temperature Navier–Stokes equations are applicable. In this sense, the latter equations are rather primitive. Recently, more sophisticated ES models using two separate energy variables for rotational and vibrational modes have been proposed [26,27]. With the help of these new models and of an appropriate parameter setting, one may derive multi-temperature Navier–Stokes equations with the translational, rotational, and vibrational temperatures. The derivation of such equations would be an interesting and important subject as the next step.
Author Contributions
Conceptualization, S.K. and K.A.; methodology, S.K. and K.A.; formal analysis, S.K. and K.A; numerical analysis, S.K.; writing—original draft preparation, K.A.; writing—review and editing, S.K.; All authors have read and agreed to the published version of the manuscript.
Funding
This research received no external funding.
Institutional Review Board Statement
Not applicable.
Informed Consent Statement
Not applicable.
Data Availability Statement
Not applicable.
Conflicts of Interest
The authors declare no conflict of interest.
References
- Anderson, J.D., Jr. Hypersonic and High Temperature Gas Dynamics; McGraw-Hill: New York, NY, USA, 1989. [Google Scholar]
- Park, C. Nonequilibrium Hypersonic Aerothermodynamics; John Wiley & Sons: New York, NY, USA, 1990. [Google Scholar]
- Nagnibeda, E.; Kustova, E. Non-Equilibrium Reacting Gas Flows: Kinetic Theory of Transport and Relaxation Processes; Springer: Berlin, Germany, 2009. [Google Scholar]
- Boyd, I.D.; Schwartzentruber, T.E. Nonequilibrium Gas Dynamics and Molecular Simulation; Cambridge University Press: Cambridge, UK, 2017. [Google Scholar]
- Wang Chang, C.S.; Uhlenbeck, G.E. Transport Phenomena in Polyatomic Gases; Engineering Research Institute Report CM-681; University of Michigan: Ann Arbor, MI, USA, 1951. [Google Scholar]
- Ferziger, J.H.; Kaper, H.G. Mathematical Theory of Transport Processes in Gases; North Holland: Amsterdam, The Netherlands, 1972. [Google Scholar]
- McCourt, F.R.W.; Beenakker, J.J.M.; Köhler, W.E.; Kuščer, I. Nonequilibrium Phenomena in Polyatomic Gases, Volume 1: Dilute Gases; Clarendon: Oxford, UK, 1990. [Google Scholar]
- Giovangigli, V. Multicomponent Flow Modeling; Birkhäuser: Boston, MA, USA, 1999. [Google Scholar]
- Borgnakke, C.; Larsen, P.S. Statistical collision model for Monte Carlo simulation of polyatomic gas mixture. J. Comp. Phys. 1975, 18, 405–420. [Google Scholar] [CrossRef]
- Bourgat, J.-F.; Desvillettes, L.; Le Tallec, P.; Perthame, B. Microreversible collisions for polyatomic gases and Boltzmann’s theorem. Eur. J. Mech. B Fluids 1994, 13, 237–254. [Google Scholar]
- Desvillettes, L.; Monaco, R.; Salvarani, F. A kinetic model allowing to obtain the energy law of polytropic gases in the presence of chemical reactions. Eur. J. Mech. B Fluids 2005, 24, 219–236. [Google Scholar] [CrossRef]
- Borsoni, T.; Bisi, M.; Groppi, M. A general framework for the kinetic modelling of polyatomic gases. Commun. Math. Phys. 2022, 393, 215–266. [Google Scholar] [CrossRef]
- Pavić-Čolić, M.; Simić, S. Kinetic description of polyatomic gases with temperature-dependent specific heats. Phys. Rev. Fluids 2022, 7, 083401. [Google Scholar] [CrossRef]
- Boudin, L.; Rossi, A.; Salvarani, F. A kinetic model of polyatomic gas with resonant collisions. Ricerche Mat. 2022. [Google Scholar] [CrossRef]
- Gamba, I.M.; Pavić-Čolić, M. On the Cauchy problem for Boltzmann equation modelling a polyatomic gas. arXiv Prepr. 2020, arXiv:2005.01017. [Google Scholar]
- Brull, S.; Shahine, M.; Thieullen, P. Compactness property of the linearized Boltzmann operator for a diatomic single gas model. Netw. Heterog. Media 2022, 17, 847–861. [Google Scholar] [CrossRef]
- Bernhoff, N. Linearized Boltzmann collision operator: II. Polyatomic molecules modeled by a continuous internal energy variable. arXiv Prepr. 2022, arXiv:2201.01377. [Google Scholar]
- Morse, T.F. Kinetic model for gases with internal degrees of freedom. Phys. Fluids 1964, 7, 159–169. [Google Scholar] [CrossRef]
- Holway, L.H., Jr. New statistical models for kinetic theory: Methods of construction. Phys. Fluids 1966, 9, 1658–1673. [Google Scholar] [CrossRef]
- Rykov, V.A. A model kinetic equation for a gas with rotational degrees of freedom. Fluid Dyn. 1975, 10, 959–966. [Google Scholar] [CrossRef]
- Andries, P.; Le Tallec, P.; Perlat, J.-P.; Perthame, B. The Gaussian-BGK model of Boltzmann equation with small Prandtl number. Eur. J. Mech. B Fluids 2000, 19, 813–830. [Google Scholar] [CrossRef]
- Brull, S.; Schneider, J. On the ellipsoidal statistical model for polyatomic gases. Contin. Mech. Thermodyn. 2009, 20, 489–508. [Google Scholar] [CrossRef]
- Rahimi, B.; Struchtrup, H. Capturing non-equilibrium phenomena in rarefied polyatomic gases: A high-order macroscopic model. Phys. Fluids 2014, 26, 052001. [Google Scholar] [CrossRef]
- Bisi, M.; Spiga, G. On kinetic models for polyatomic gases and their hydrodynamic limits. Ric. Mat. 2017, 66, 113–124. [Google Scholar] [CrossRef]
- Baranger, C.; Dauvois, Y.; Marois, G.; Mathé, J.; Mathiaud, J.; Mieussens, L. A BGK model for high temperature rarefied gas flows. Eur. J. Mech. B Fluids 2020, 80, 1–12. [Google Scholar] [CrossRef]
- Dauvois, Y.; Mathiaud, J.; Mieussens, L. An ES-BGK model for polyatomic gases in rotational and vibrational nonequilibrium. Eur. J. Mech. B Fluids 2021, 88, 1–16. [Google Scholar] [CrossRef]
- Mathiaud, J.; Mieussens, L.; Pfeiffer, M. An ES-BGK model for diatomic gases with correct relaxation rates for internal energies. Eur. J. Mech. B Fluids 2022, 96, 65–77. [Google Scholar] [CrossRef]
- Myong, R.S. Coupled nonlinear constitutive models for rarefied and microscale gas flows: Subtle interplay of kinematics and dissipation effects. Contin. Mech. Thermodyn. 2009, 21, 389–399. [Google Scholar] [CrossRef]
- Arima, T.; Taniguchi, S.; Ruggeri, T.; Sugiyama, M. Extended thermodynamics of real gases with dynamic pressure: An extension of Meixner’s theory. Phys. Lett. A 2012, 376, 2799–2803. [Google Scholar] [CrossRef]
- Pavić, M.; Ruggeri, T.; Simić, S. Maximum entropy principle for rarefied polyatomic gases. Phys. A 2013, 392, 1302–1317. [Google Scholar] [CrossRef]
- Taniguchi, S.; Arima, T.; Ruggeri, T.; Sugiyama, M. Overshoot of the non-equilibrium temperature in the shock wave structure of a rarefied polyatomic gas subject to the dynamic pressure. Int. J. Non-Linear Mech. 2016, 79, 66–75. [Google Scholar] [CrossRef]
- Arima, T.; Ruggeri, T.; Sugiyama, M. Rational extended thermodynamics of a rarefied polyatomic gas with molecular relaxation processes. Phys. Rev. E 2017, 96, 042143. [Google Scholar] [CrossRef]
- Pavić-Čolić, M.; Madjarević, D.; Simić, S. Polyatomic gases with dynamic pressure: Kinetic non-linear closure and the shock structure. Int. J. Non-Linear Mech. 2017, 92, 160–175. [Google Scholar] [CrossRef]
- Bisi, M.; Ruggeri, T.; Spiga, G. Dynamical pressure in a polyatomic gas: Interplay between kinetic theory and extended thermodynamics. Kin. Rel. Models 2018, 11, 71–95. [Google Scholar] [CrossRef]
- Ruggeri, T.; Sugiyama, M. Classical and Relativistic Rational Extended Thermodynamics of Gases; Springer: Cham, Switzerland, 2021. [Google Scholar]
- Aoki, K.; Bisi, M.; Groppi, M.; Kosuge, S. Two-temperature Navier–Stokes equations for a polyatomic gas derived from kinetic theory. Phys. Rev. E 2020, 102, 023104. [Google Scholar] [CrossRef]
- Chapman, S.; Cowling, T.G. The Mathematical Theory of Non-Uniform Gases, 3rd ed.; Cambridge University Press: Cambridge, UK, 1991. [Google Scholar]
- Grad, H. Principles of the kinetic theory of gases. In Handbuch der Physik; Band XII; Flügge, S., Ed.; Springer: Berlin, Germany, 1958; pp. 205–294. [Google Scholar]
- Cercignani, C. The Boltzmann Equation and Its Applications; Springer: Berlin, Germany, 1988. [Google Scholar]
- Sone, Y. Molecular Gas Dynamics: Theory, Techniques, and Applications; Birkhäuser: Boston, MA, USA, 2007; Supplementary Notes and Errata; Available online: http://hdl.handle.net/2433/66098 (accessed on 21 July 2019).
- Kosuge, S.; Kuo, H.-W.; Aoki, K. A kinetic model for a polyatomic gas with temperature-dependent specific heats and its application to shock-wave structure. J. Stat. Phys. 2019, 177, 209–251. [Google Scholar] [CrossRef]
- Park, C.; Yoon, S. Calculation of real-gas effects on blunt-body trim angles. AIAA J. 1992, 30, 999–1007. [Google Scholar] [CrossRef]
- Park, C.; Lee, S.-H. Validation of multitemperature nozzle flow code. J. Thermophys. Heat Trans. 1995, 9, 9–16. [Google Scholar] [CrossRef]
- Bruno, D.; Giovangigli, V. Relaxation of internal temperature and volume viscosity. Phys. Fluids 2011, 23, 093104, Erratum in Phys. Fluids 2013, 25, 039902. [Google Scholar] [CrossRef]
- Bruno, D.; Giovangigli, V. Internal energy relaxation processes and bulk viscosities in fluids. Fluids 2022, 7, 356. [Google Scholar] [CrossRef]
- Kosuge, S.; Aoki, K.; Bisi, M.; Groppi, M.; Martalò, G. Boundary conditions for two-temperature Navier–Stokes equations for a polyatomic gas. Phys. Rev. Fluids 2021, 6, 083401. [Google Scholar] [CrossRef]
- Bird, G.A. Molecular Gas Dynamics and the Direct Simulation of Gas Flows; Oxford University Press: Oxford, UK, 1994. [Google Scholar]
- Smiley, E.F.; Winkler, E.H.; Slawsky, Z.I. Measurement of the vibrational relaxation effect in CO2 by means of shock tube interferograms. J. Chem. Phys. 1952, 20, 923–924. [Google Scholar] [CrossRef]
- Smiley, E.F.; Winkler, E.H. Shock-tube measurements of vibrational relaxation. J. Chem. Phys. 1954, 22, 2018–2022. [Google Scholar] [CrossRef]
- Griffith, W.D.; Kenny, A. On fully-dispersed shock waves in carbon dioxide. J. Fluid Mech. 1957, 3, 286–289. [Google Scholar] [CrossRef]
- Johannesen, N.H.; Zienkiewicz, H.K.; Blythe, P.A.; Gerrard, J.H. Experimental and theoretical analysis of vibrational relaxation regions in carbon dioxide. J. Fluid Mech. 1962, 13, 213–225. [Google Scholar] [CrossRef]
- Taniguchi, S.; Arima, T.; Ruggeri, T.; Sugiyama, M. Effect of the dynamic pressure on the shock wave structure in a rarefied polyatomic gas. Phys. Fluids 2014, 26, 016103. [Google Scholar] [CrossRef]
- Taniguchi, S.; Arima, T.; Ruggeri, T.; Sugiyama, M. Thermodynamic theory of the shock wave structure in a rarefied polyatomic gas: Beyond the Bethe-Teller theory. Phys. Rev. E 2014, 89, 013025. [Google Scholar] [CrossRef]
- Alekseev, I.V.; Kosareva, A.A.; Kustova, E.V.; Nagnibeda, E.A. Various continuum approaches for studying shock wave structure in carbon dioxide. In Proceedings of the The Eighth Polyakhov’s Reading: Proceedings of the International Scientific Conference on Mechanics, Saint Petersburg, Russia, 29 January–2 February 2018; Kustova, E., Leonov, G., Morosov, N., Yushkov, M., Mekhonoshina, M., Eds.; AIP: Melville, NY, USA, 2018; p. 060001. [Google Scholar]
- Alekseev, I.V.; Kosareva, A.A.; Kustova, E.V.; Nagnibeda, E.A. Shock waves in carbon dioxide: Simulations using different kinetic-theory models. In Proceedings of the 31st International Symposium on Rarefied Gas Dynamics, Glasgow, UK, 23–27 July 2018; Zhang, Y., Emerson, D.R., Lockerby, D., Wu, L., Eds.; AIP: Melville, NY, USA, 2019; p. 060005. [Google Scholar]
- Kustova, E.; Mekhonoshina, M.; Kosareva, A. Relaxation processes in carbon dioxide. Phys. Fluids 2019, 31, 046104. [Google Scholar] [CrossRef]
- Alekseev, I.; Kustova, E. Extended continuum models for shock waves in CO2. Phys. Fluids 2021, 33, 096101. [Google Scholar] [CrossRef]
- Kosuge, S.; Aoki, K. Shock-wave structure for a polyatomic gas with large bulk viscosity. Phys. Rev. Fluids 2018, 3, 023401. [Google Scholar] [CrossRef]
- Japan Society of Thermophysical Properties (Ed.) Thermophysical Properties Handbook; Yokendo: Tokyo, Japan, 1990. (In Japanese) [Google Scholar]
- Uribe, F.J.; Mason, E.A.; Kestin, J. Thermal conductivity of nine polyatomic gases at low density. J. Phys. Chem. Ref. Data 1990, 19, 1123–1136. [Google Scholar] [CrossRef]
- Cramer, M.S. Numerical estimates for the bulk viscosity of ideal gases. Phys. Fluids 2012, 24, 066102. [Google Scholar] [CrossRef]
- Boushehri, A.; Bzowski, J.; Kestin, J.; Mason, E.A. Equilibrium and transport properties of eleven polyatomic gases at low density. J. Phys. Chem. Ref. Data 1987, 16, 445–466, Erratum in J. Phys. Chem. Ref. Data 1988, 17, 255. [Google Scholar] [CrossRef]
- Madjarević, D.; Pavić-Čolić, M.; Simić, S. Shock structure and relaxation in the multi-component mixture of Euler fluids. Symmetry 2021, 13, 955. [Google Scholar] [CrossRef]
Disclaimer/Publisher’s Note: The statements, opinions and data contained in all publications are solely those of the individual author(s) and contributor(s) and not of MDPI and/or the editor(s). MDPI and/or the editor(s) disclaim responsibility for any injury to people or property resulting from any ideas, methods, instructions or products referred to in the content. |
© 2022 by the authors. Licensee MDPI, Basel, Switzerland. This article is an open access article distributed under the terms and conditions of the Creative Commons Attribution (CC BY) license (https://creativecommons.org/licenses/by/4.0/).

















