Spanwise-Discontinuous Grooves for Separation Delay and Drag Reduction of Bodies with Vortex Shedding
Abstract
:1. Introduction
2. Geometry Definition
3. Numerical Methodology and Simulation Set-Up
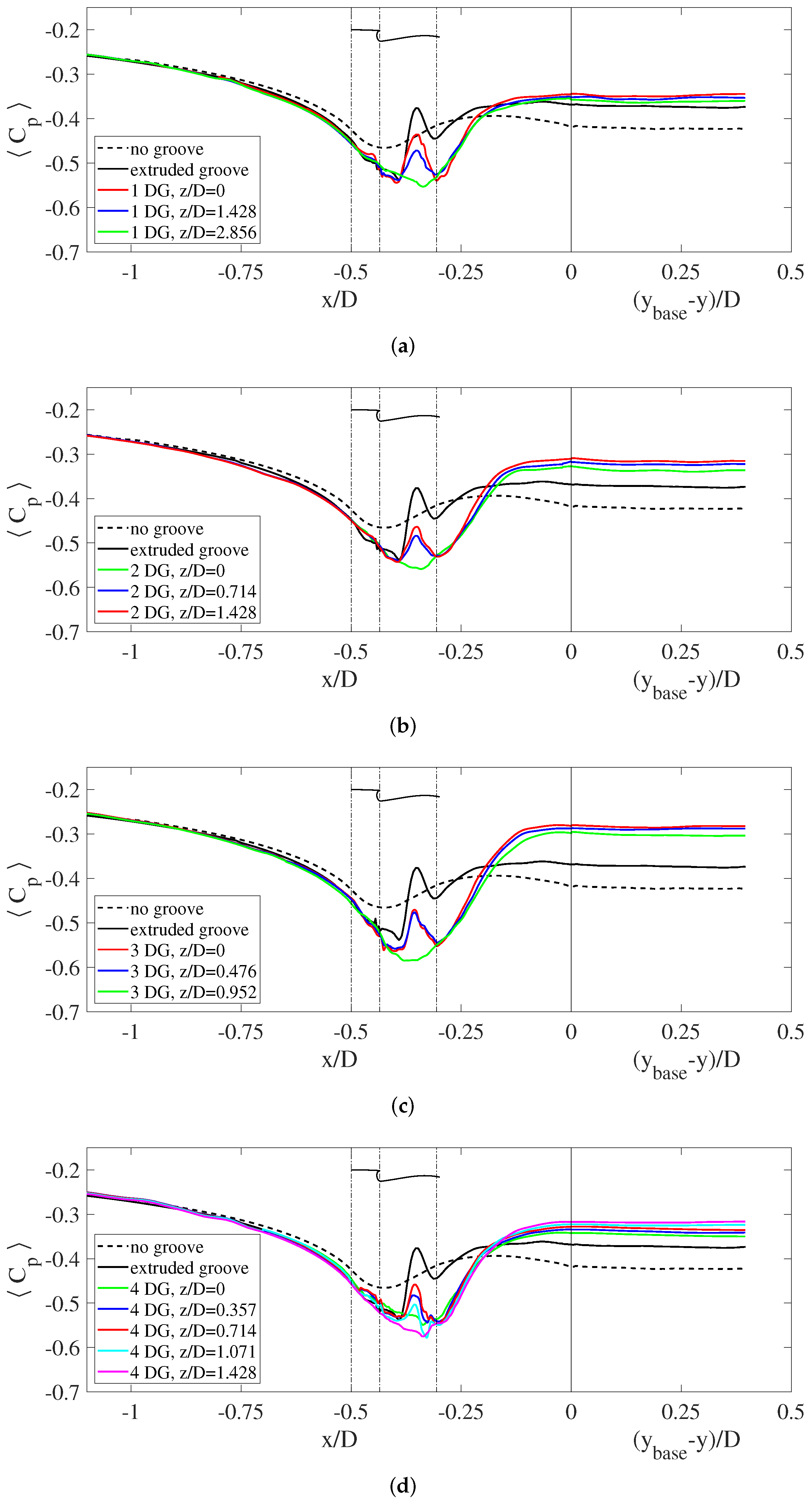
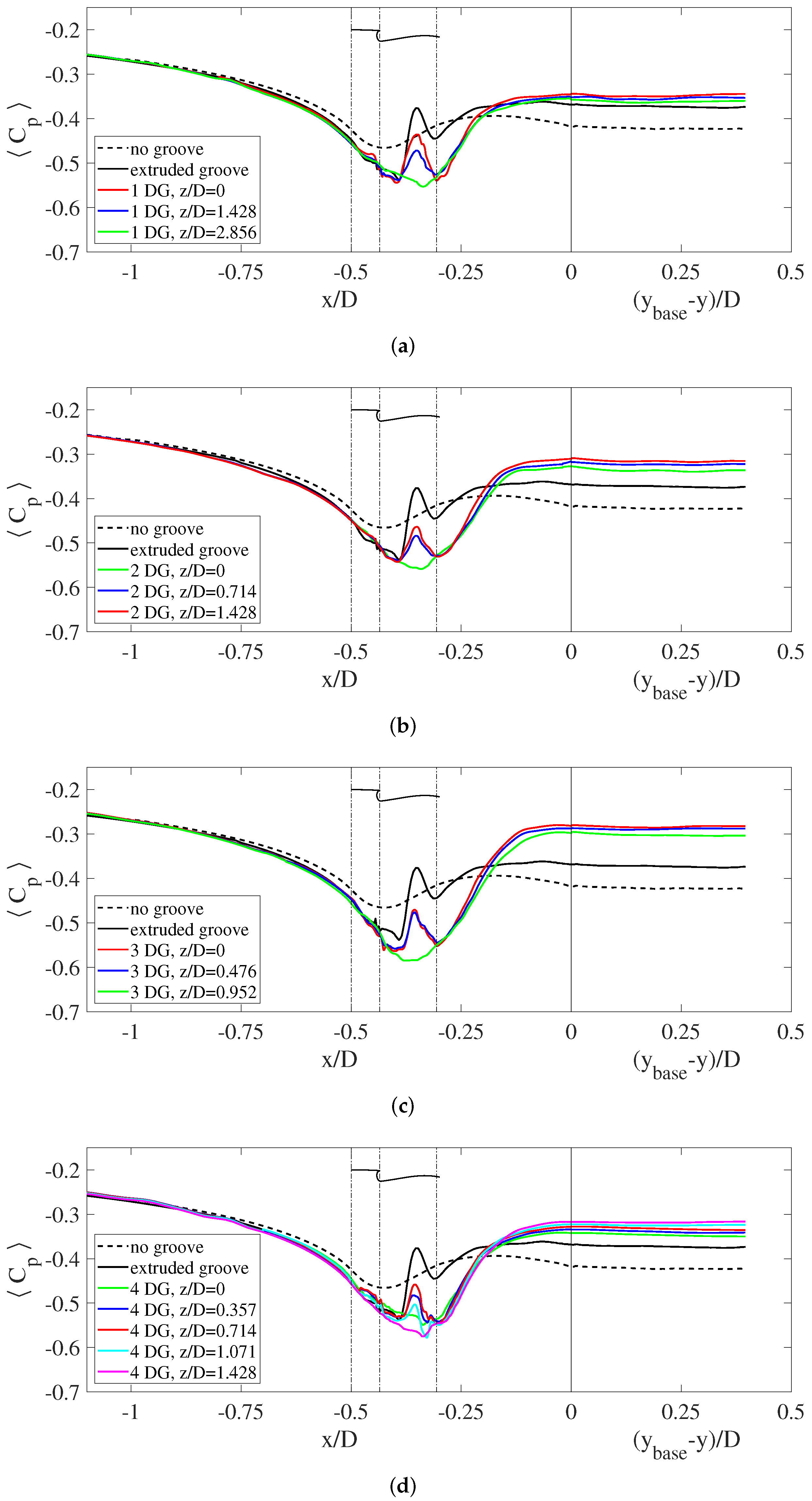
4. Results and Discussion
5. Conclusions
Author Contributions
Funding
Institutional Review Board Statement
Informed Consent Statement
Data Availability Statement
Acknowledgments
Conflicts of Interest
Abbreviations
| 1DG | One spanwise-extruded groove, - |
| 2DG | Two spanwise-extruded groove, - |
| 3DG | Three spanwise-extruded groove, - |
| 4DG | Four spanwise-extruded groove, - |
| Mean pressure coefficient, - | |
| a | Length of the ellipse parallel to the lateral surface, m |
| b | Length of the groove, m |
| Drag coefficient of the i-th portion of the body, - | |
| Pressure drag coefficient of the base of the boai tail, - | |
| Pressure drag coefficient of the boat-tail, - | |
| Pressure drag coefficient of the boat-tail lateral surface, - | |
| Drag coefficient of the boat-tail, - | |
| Viscous drag coefficient of the boat-tail, - | |
| CFL | Courant–Friedrichs–Lewy number, - |
| Pressure specific heat, J/kgK | |
| Time-averaged pressure coefficient, - | |
| Time-averaged pressure coefficient on the base of the boat-tail, - | |
| SGS constant, - | |
| D | Cross-flow dimension of the main body, m |
| d | Cross-flow dimension of the base of the boat-tail, m |
| Drag of the i-th portion of the body, N | |
| e | Total energy per unit mass, m2/s2 |
| E | Symmetric part of the velocity gradient, 1/s |
| f | Vortex-shedding frequency, Hz |
| h | Depth of the groove, m |
| H | SGS term, kg/s3 |
| L | Total streamwise length of the body, m |
| Correlation length, m | |
| LRS | Large Resolved Scale, - |
| m | Spanwise length of the groove, m |
| M | SGS stress tensor, Pa |
| N | Number of grooves, - |
| p | Pressure of the flow, Pa |
| P | Strain tensor, 1/s |
| Time-averaged pressure, Pa | |
| Free-stream pressure, Pa | |
| SGS Prandtl number, - | |
| Q | Symmetric tensor for the definition of , 1/s2 |
| q | Resolved heat vector flux, kg/ss3 |
| Reynolds number, - | |
| s | Distance between the groove upstream edge and the beginning of the boat-tail, m |
| S | Resolved strain tensor, 1/s |
| SGS | Sub-Grid Scale, - |
| SRS | Small Resolved Scale, - |
| Strouhal number, - | |
| T | Temperature, K |
| t | Time, s |
| u | Streamwise velocity, m/s |
| Free-stream velocity, m/s | |
| Non dimensional streamwise-velocity signal at the spanwise coordinate z, - | |
| VMS-LES | Variational Multi-Scale Large-Eddy Simulations, - |
| Streamwise position of the separation point, m | |
| Time-averaged streamwise position of the separation point, m | |
| Time- and spanwise-averaged streamwise position of the separation point, m | |
| Maximum downstream position of the separation point, m | |
| Maximum upstream position of the separation point, m | |
| Wall y plus, - | |
| Time-averaged crossflow position of the separation point, m | |
| Filter width, m | |
| Time step, s | |
| Grid resolution, m | |
| Instantaneous vortex indicator, - | |
| Viscosity of air, kg/ms | |
| SGS viscosity, kg/ms | |
| Kinematic viscosity of air, m2/s | |
| Density of air, kg/m3 | |
| Correlation coefficient, - | |
| Standard deviation of the drag coefficient, - | |
| Standard deviation of the lift coefficient, - | |
| Standard deviation of the pressure coefficient, - | |
| Standard deviation of the signal , - | |
| Vortex-shedding period, s | |
| Antisymmetric part of the velocity gradient, 1/s |
References
- Gad-el-Hak, M. Flow Control: Passive, Active, and Reactive Flow Management; Cambridge University Press: Cambridge, UK, 2000. [Google Scholar]
- Choi, H.; Jeon, W.P.; Kim, J. Control of flow over a bluff body. Annu. Rev. Fluid Mech. 2008, 40, 113–139. [Google Scholar] [CrossRef] [Green Version]
- Mair, W.A. Reduction of base drag by boat-tailed afterbodies in low-speed flow. Aeronaut. Quart. 1969, 20, 307–320. [Google Scholar] [CrossRef]
- Mariotti, A. Axisymmetric bodies with fixed and free separation: Base-pressure and near-wake fluctuations. J. Wind Eng. Ind. Aerod. 2018, 176, 21–31. [Google Scholar] [CrossRef]
- Howard, F.G.; Goodman, W.L.; Walsh, M.J. Axisymmetric bluff-body drag reduction using circumferential grooves. In Proceedings of the Applied Aerodynamics Conference, Danvers, MA, USA, 13–15 July 1983. [Google Scholar]
- Howard, F.; Goodman, W. Axisymmetric bluff-body drag reduction through geometrical modification. J. Aircr. 1985, 22, 516–522. [Google Scholar] [CrossRef]
- Selby, G.; Lin, J.; Howard, F. Turbulent flow separation control over a backward-facing ramp via transverse and swept grooves. ASME J. Fluids Eng. 1990, 112, 238–240. [Google Scholar] [CrossRef]
- Lin, J. Control of Low-Speed Turbulent Separated Flow over a Backward-Facing Ramp. Ph.D. Thesis, Old Dominion University, Norfolk, VA, USA, 1992. [Google Scholar]
- Migay, V.K. The Efficiency of a Cross-Ribbed Curvilinear Diffuser. Energomashinostroenie 1962, 1, 45–46, (English Translation FTD–TT–62–1151). [Google Scholar]
- Stull, F.; Velkoff, H. Effect of transverse ribs on pressure recovery in two-dimensional subsonic diffusers. In Proceedings of the 8th Joint Propulsion Specialist Conference, New Orleans, LA, USA, 29 November–1 December 1972. [Google Scholar]
- Jones, E.M. An Experimental Study of Flow Separation over a Flat Plate With 2D Transverse Grooves. Master’s Thesis, University of Alabama, Tuscaloosa, AL, USA, 2013. [Google Scholar]
- Lang, A.W.; Jones, E.M.; Afroz, F. Separation control over a grooved surface inspired by dolphin skin. Bioinspir. Biomim. 2017, 12, 026005. [Google Scholar] [CrossRef]
- Mariotti, A.; Grozescu, A.N.; Buresti, G.; Salvetti, M.V. Separation control and efficiency improvement in a 2D diffuser by means of contoured cavities. Eur. J. Mech. B-Fluid 2013, 41, 138–149. [Google Scholar] [CrossRef]
- Mariotti, A.; Buresti, G.; Salvetti, M.V. Control of the turbulent flow in a plane diffuser through optimized contoured cavities. Eur. J. Mech. B-Fluid 2014, 48, 254–265. [Google Scholar] [CrossRef]
- Mariotti, A.; Buresti, G.; Salvetti, M.V. Use of multiple local recirculations to increase the efficiency in diffusers. Eur. J. Mech. B-Fluid 2015, 50, 27–37. [Google Scholar] [CrossRef]
- Mariotti, A.; Buresti, G.; Gaggini, G.; Salvetti, M.V. Separation control and drag reduction for boat-tailed axisymmetric bodies through contoured transverse grooves. J. Fluid Mech. 2017, 832, 514–549. [Google Scholar] [CrossRef]
- Mariotti, A.; Buresti, G.; Salvetti, M.V. Separation delay through contoured transverse grooves on a 2D boat-tailed bluff body: Effects on drag reduction and wake flow features. Eur. J. Mech. B-Fluid 2019, 74, 351–362. [Google Scholar] [CrossRef]
- Rossiter, J.E. Wind-Tunnel Experiments on the Flow over Rectangular Cavities at Subsonic and Transonic Speeds; R&M, No. 3438; Aeronautical Research Council: Swindon, UK, 1964. [Google Scholar]
- Rockwell, D.; Naudascher, E. Review—Self-sustaining oscillations of flow past cavities. J. Fluid Eng.-Tans. ASME 1978, 100, 152–165. [Google Scholar] [CrossRef]
- Gharib, M.; Roshko, A. The effect of flow oscillations on cavity drag. J. Fluid Mech. 1987, 177, 501–530. [Google Scholar] [CrossRef] [Green Version]
- Margason, R.J. Investigation of the Effect of Two-Dimensional Cavities on Boundary Layers in an Adverse Pressure Gradient. Ph.D. Thesis, Naval Postgraduate School, Monterey, CA, USA, 1996. [Google Scholar]
- Colonius, T. An overview of simulation, modeling, and active control of flow/acoustic resonance in open cavities. In Proceedings of the 39th Aerospace Sciences Meeting and Exhibit, Reno, NV, USA, 8–11 January 2001. [Google Scholar]
- Rowley, C.; Colonius, T.; Basu, A. On self-sustained oscillations in two-dimensional compressible flow over rectangular cavities. J. Fluid Mech. 2002, 455, 315–346. [Google Scholar] [CrossRef]
- Ringleb, F. Separation control by trapped vortices. In Boundary Layer and Flow Control; Lachmann, G.V., Ed.; Pergamon Press: Oxford, UK, 1961; Volume 1, pp. 265–294. [Google Scholar]
- Iollo, A.; Zannetti, L. Trapped vortex optimal control by suction and blowing at the wall. Eur. J. Mech. B-Fluid 2001, 20, 7–24. [Google Scholar] [CrossRef]
- Tutty, O.; Buffoni, M.; Kerminbekov, R.; Donelli, R.; De Gregorio, F.; Rogers, E. Control of flow with trapped vortices: Theory and experiments. Int. J. Flow Control 2013, 5, 89–110. [Google Scholar] [CrossRef] [Green Version]
- Heller, H.H.; Bliss, D.B. The Physical Mechanism of Flow Induced Pressure Fluctuations in Cavities and Concepts for their Supression. In Proceedings of the 2nd Aeroacoustics Conference, Hampton, VA, USA, 24–26 March 1975. [Google Scholar]
- Pey, Y.; Chua, L. Effects of trailing wall modifications on cavity wall pressure. Exp. Therm. Fluid Sci. 2014, 57, 250–260. [Google Scholar] [CrossRef]
- Pey, Y.; Chua, L.; Siauw, W. Effect of trailing edge ramp on cavity flow structures and pressure drag. Int. J. Heat Fluid Flow 2014, 45, 53–71. [Google Scholar] [CrossRef]
- Sarohia, V. Experimental and Analytical Investigation of Oscillations in Flows over Cavities. Ph.D. Thesis, California Institute of Technology, Pasadena, CA, USA, 1975. [Google Scholar]
- Sarohia, V. Experimental investigation of oscillations in flows over shallow cavities. AIAA J. 1977, 15, 984–991. [Google Scholar] [CrossRef]
- Mariotti, A.; Pasqualetto, E.; Buresti, G.; Salvetti, M.V. Effects of spanwise-discontinuous contoured transverse grooves on flow separation and vortex shedding. In ERCOFTAC Workshop Direct and Large Eddy Simulation; ERCOFTAC Series; Springer: Cham, Switzerland, 2020; Volume 27, pp. 97–102. [Google Scholar]
- Mariotti, A.; Buresti, G.; Salvetti, M.V. Connection between base drag, separating boundary layer characteristics and wake mean recirculation length of an axisymmetric blunt-based body. J. Fluid Struct. 2015, 55, 191–203. [Google Scholar] [CrossRef]
- Hughes, T.; Mazzei, L.; Jansen, K. Large-eddy simulation and the variational multiscale method. Comput. Vis. Sci. 2000, 3, 47–59. [Google Scholar] [CrossRef]
- Hughes, T.; Oberai, A.; Mazzei, L. Large-eddy simulation of turbulent channel flows by the varational multiscale method. Fluids 2001, 13, 1784–1799. [Google Scholar] [CrossRef]
- Germano, M.; Piomelli, U.; Moin, P.; Cabot, W. A dynamic subgrid-scale eddy viscosity model. Phys. Fluids Fluid Dyn. 1991, 3, 1760–1765. [Google Scholar] [CrossRef] [Green Version]
- Meneveau, C.; Katz, J. Scale invariance and turbulence models for large-eddy simulation. Ann. Rev. Fluids Mech. 2000, 32, 1–31. [Google Scholar] [CrossRef]
- Koobus, B.; Farhat, C. A variational multiscale method for the large eddy simulation of compressible turbulent flows on unstructured meshes—Application to vortex shedding. Comput. Methods Appl. Mech. Eng. 2004, 193, 1367–1383. [Google Scholar] [CrossRef]
- Mimeau, C.; Mortazavi, I. A review of vortex method and their applications: From creation to recent advances. Fluids 2021, 6, 68. [Google Scholar] [CrossRef]
- Alcântara Pereira, L.; Oliveira, M.; Moraes, P.; Bimbato, A. Numerical experimentas of the flow around a bluff body with and without roughness model near a moving wall. J. Braz. Soc. Mech. Sci. Eng. 2020, 42, 129. [Google Scholar] [CrossRef]
- Camarri, S.; Salvetti, M.V.; Koobus, B.; Dervieux, A. Large-eddy simulation of a bluff-body flow on unstructured grids. Int. J. Numer. Methods Fluids 2002, 40, 1431–1460. [Google Scholar] [CrossRef]
- Smagorinsky, J. General circulation experiments with the primitive equations. Mon. Weather Rev. 1963, 91, 99–164. [Google Scholar] [CrossRef]
- Camarri, S.; Salvetti, M.V.; Koobus, B.; Dervieux, A. A low-diffusion MUSCL scheme for LES on unstructured grids. Comput. Fluids 2004, 33, 1101–1129. [Google Scholar] [CrossRef]
- Ouvrard, H.; Koobus, B.; Dervieux, A.; Salvetti, M.V. Classical and variational multiscale LES of the flow around a circular cylinder on unstructured grids. Comp. Fluids 2010, 39, 1083–1094. [Google Scholar] [CrossRef]
- Rocchio, B.; Mariotti, A.; Salvetti, M.V. Flow around a 5:1 rectangular cylinder: Effects of upstream-edge rounding. J. Wind Eng. Ind. Aerod. 2020, 204, 104237. [Google Scholar] [CrossRef]
- Lunghi, G.; Pasqualetto, E.; Rocchio, B.; Mariotti, A.; Salvetti, M.V. Impact of the lateral mean recirculation characteristics on the near wake and bulk quantities of the BARC configuration. Wind Struct. 2022, 34, 115–125. [Google Scholar]
- Bearman, P.W. On vortex street wakes. J. Fluid Mech. 1967, 28, 625–641. [Google Scholar] [CrossRef]
- Jeong, J.; Hussain, F. On the identification of a vortex. J. Fluid Mech. 1995, 285, 69–94. [Google Scholar] [CrossRef]










| 1 DG | 0.3669 | 0.3664 | 0.0005 | 0.0865 | 0.2799 | −0.354 |
| 2 DG | 0.3404 | 0.3399 | 0.0005 | 0.0833 | 0.2566 | −0.325 |
| 3 DG | 0.3113 | 0.3108 | 0.0005 | 0.0807 | 0.2300 | −0.291 |
| 4 DG | 0.3470 | 0.3465 | 0.0005 | 0.0843 | 0.2623 | −0.332 |
| no groove | 0.4191 | 0.4183 | 0.0008 | 0.0853 | 0.3330 | −0.421 |
| extruded groove | 0.3783 | 0.3778 | 0.0005 | 0.0835 | 0.2942 | −0.372 |
| 1 DG | −0.256 | 0.476 | −0.331 | −0.188 | 0.323 | 0.0153 |
| 2 DG | −0.226 | 0.470 | −0.299 | −0.158 | 0.333 | 0.0148 |
| 3 DG | −0.158 | 0.452 | −0.215 | −0.108 | 0.342 | 0.0064 |
| 4 DG | −0.233 | 0.471 | −0.345 | −0.128 | 0.332 | 0.0131 |
| no groove | −0.325 | 0.487 | −0.360 | −0.293 | 0.304 | 0.0133 |
| extruded groove | −0.269 | 0.478 | −0.304 | −0.237 | 0.319 | 0.0168 |
| 1 DG | 1.53 |
| 2 DG | 1.39 |
| 3 DG | 1.23 |
| 4 DG | 1.42 |
| no groove | 1.41 |
| extruded groove | 1.96 |
Publisher’s Note: MDPI stays neutral with regard to jurisdictional claims in published maps and institutional affiliations. |
© 2022 by the authors. Licensee MDPI, Basel, Switzerland. This article is an open access article distributed under the terms and conditions of the Creative Commons Attribution (CC BY) license (https://creativecommons.org/licenses/by/4.0/).
Share and Cite
Pasqualetto, E.; Lunghi, G.; Mariotti, A.; Salvetti, M.V. Spanwise-Discontinuous Grooves for Separation Delay and Drag Reduction of Bodies with Vortex Shedding. Fluids 2022, 7, 121. https://doi.org/10.3390/fluids7040121
Pasqualetto E, Lunghi G, Mariotti A, Salvetti MV. Spanwise-Discontinuous Grooves for Separation Delay and Drag Reduction of Bodies with Vortex Shedding. Fluids. 2022; 7(4):121. https://doi.org/10.3390/fluids7040121
Chicago/Turabian StylePasqualetto, Elena, Gianmarco Lunghi, Alessandro Mariotti, and Maria Vittoria Salvetti. 2022. "Spanwise-Discontinuous Grooves for Separation Delay and Drag Reduction of Bodies with Vortex Shedding" Fluids 7, no. 4: 121. https://doi.org/10.3390/fluids7040121
APA StylePasqualetto, E., Lunghi, G., Mariotti, A., & Salvetti, M. V. (2022). Spanwise-Discontinuous Grooves for Separation Delay and Drag Reduction of Bodies with Vortex Shedding. Fluids, 7(4), 121. https://doi.org/10.3390/fluids7040121

