Numerical Investigation and Fluid-Structure Interaction (FSI) Analysis on a Double-Element Simplified Formula One (F1) Composite Wing in the Presence of Ground Effect
Abstract
:1. Introduction
2. Methodology
2.1. Numerical Modelling of Two-Way Coupling Fluid–Structure Interaction (FSI) Framework
2.2. Geometry and Mesh Generation
2.3. Numerical Setup
2.3.1. The Incompressible Fluid Model Due to the Low Mach Number Flow
2.3.2. Structural Model
3. Results
3.1. Grid Sensitivity Study
3.2. Turbulence Model Study
3.3. FSI Analysis
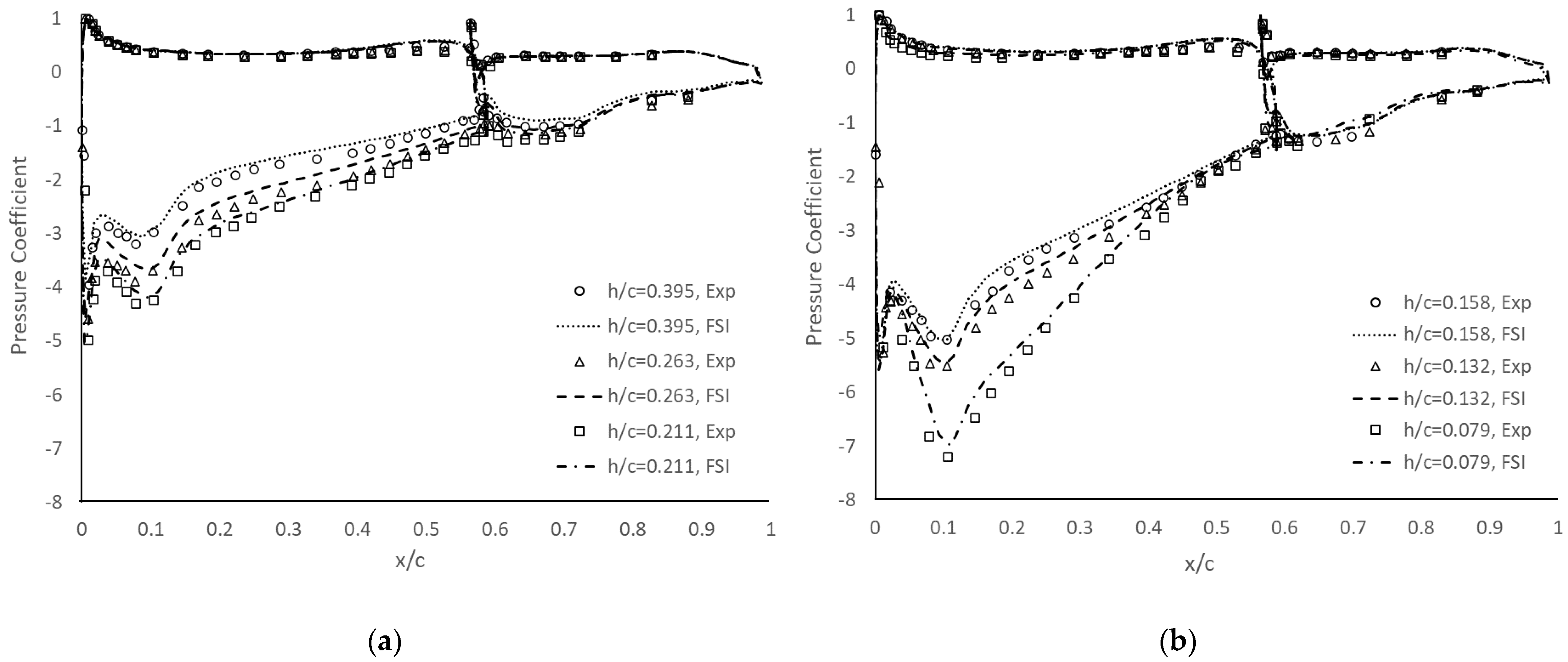
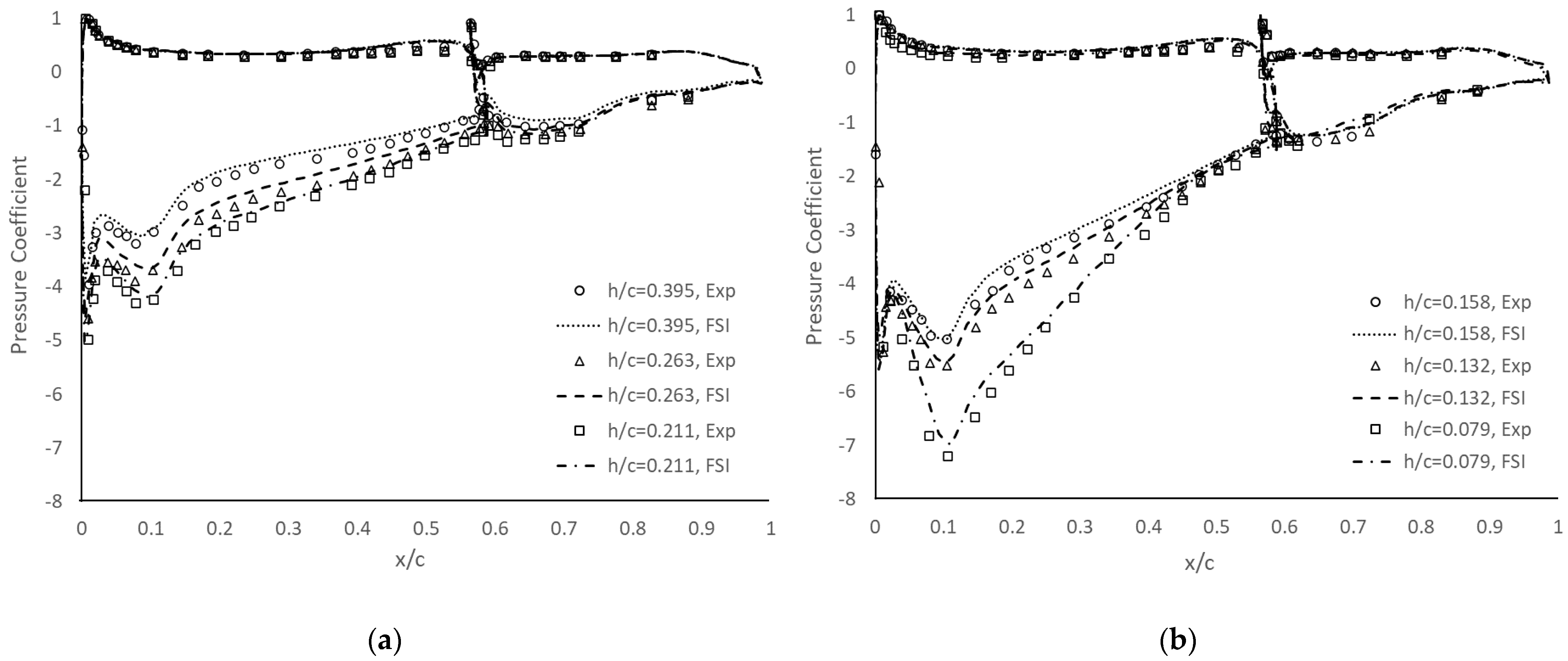
3.3.1. Chordwise Surface Pressure
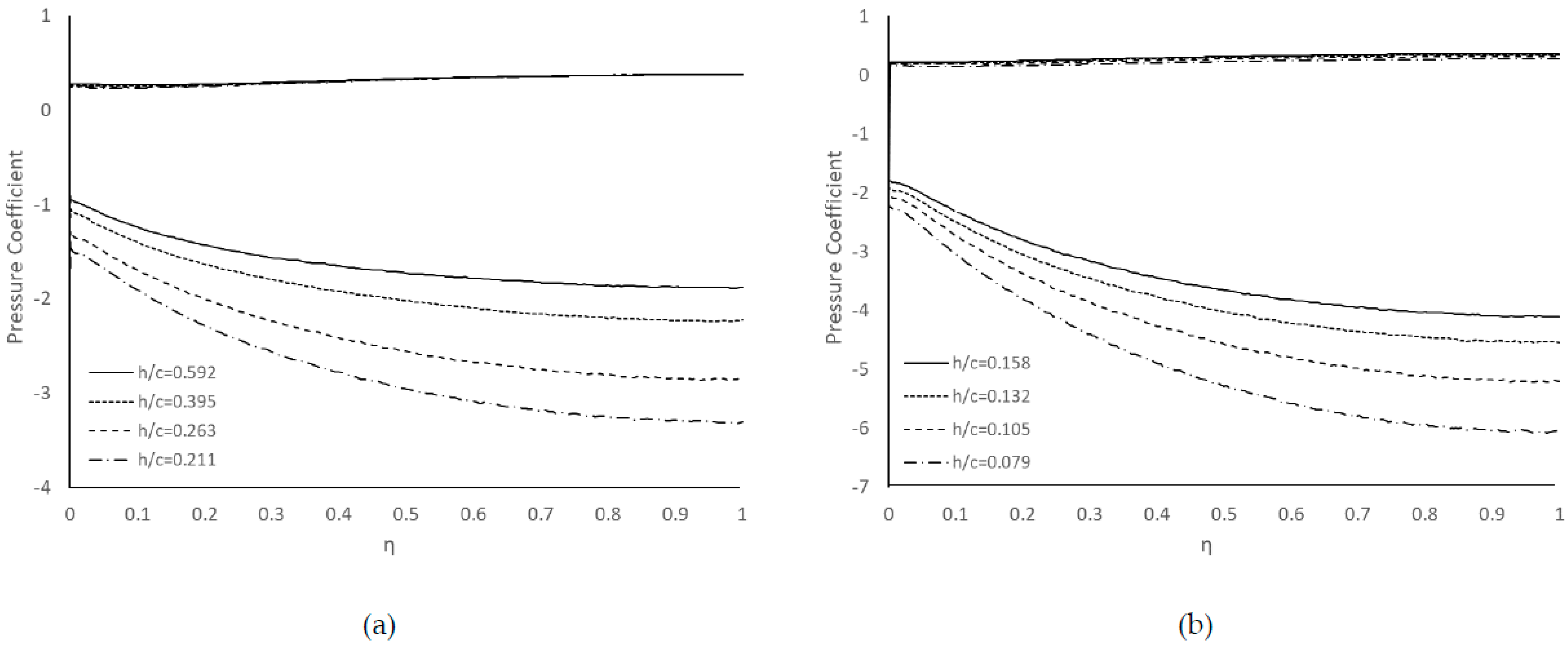
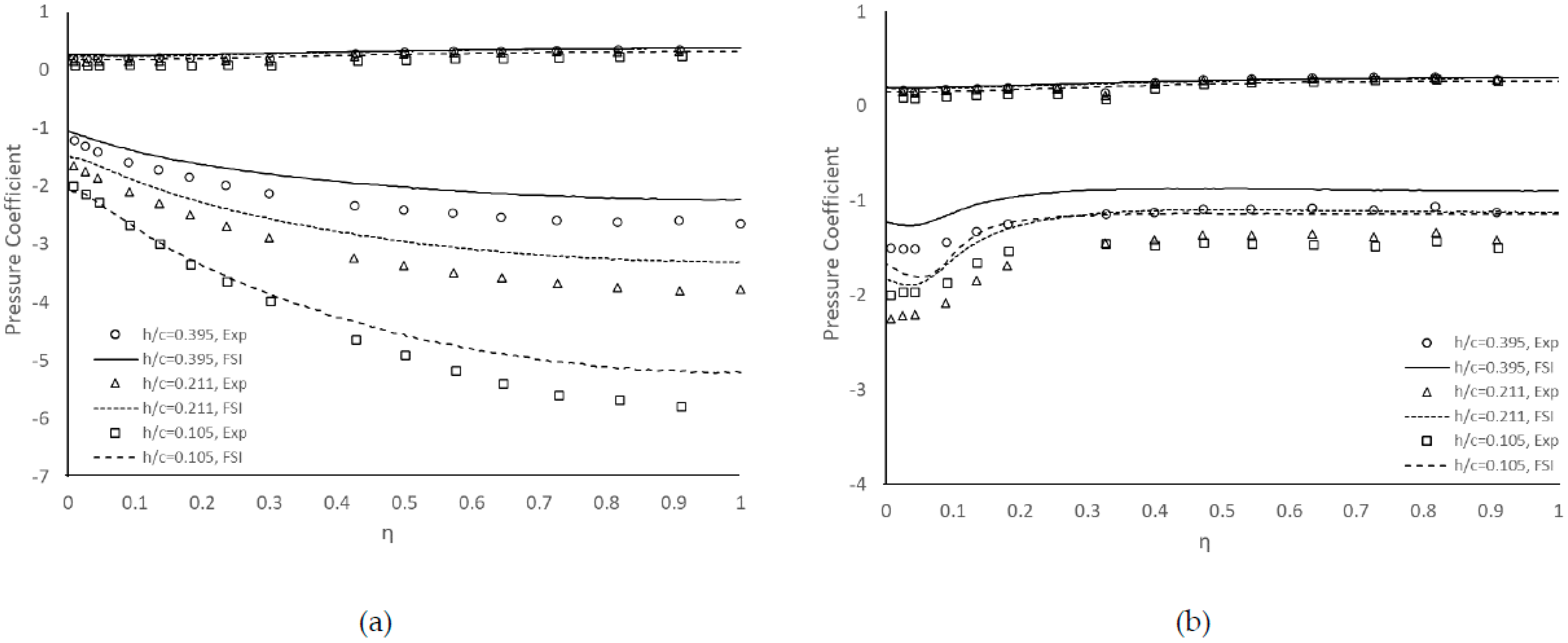
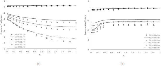
3.3.2. Spanwise Surface Pressure
3.3.3. Aerodynamic Forces
3.3.4. Wake Flow Field
4. Conclusions
Author Contributions
Funding
Institutional Review Board Statement
Informed Consent Statement
Data Availability Statement
Acknowledgments
Conflicts of Interest
References
- Agathangelou, B.; Gascoyne, M. Aerodynamic Design Considerations of a Formula 1 Racing Car; SAE International: Warrendale, PA, USA, 1998. [Google Scholar] [CrossRef]
- Somerfield, M. Available online: https://www.motorsport.com/f1/news/analysis-is-f1-set-for-another-flexi-wing-war-777139/777139/ (accessed on 16 June 2016).
- Katz, J. Calculation of the Aerodynamic Forces on Automotive Lifting Surfaces. ASME J. Fluids Eng. 1985, 107, 438–443. [Google Scholar] [CrossRef]
- Ranzenbach, R.; Barlow, J. Cambered Airfoil in Ground Effect—An Experimental and Computational Study; SAE International: Warrendale, PA, USA, 1996. [Google Scholar] [CrossRef]
- Knowles, K.; Donahue, D.; Finnis, M. A study of wings in ground effect. In Proceedings of the Loughborough University Conference on Vehicle Aerodynamics, Loughborough, UK, 18–19 July 1994; Volume 22, pp. 1–13. [Google Scholar]
- Zerihan, J.; Zhang, X. Aerodynamics of a single element wing in ground effect. AIAA J. 2000, 37, 1058–1064. [Google Scholar] [CrossRef]
- Ranzenbach, R.; Barlow, J.B.; Diaz, R.H. Multi-element airfoil in ground effect-an experimental and computational study. In Proceedings of the 15th Applied Aerodynamics Conference, Atlanta, GA, USA, 23–25 June 1997; p. 2238. [Google Scholar] [CrossRef]
- Jasinski, W.J.; Selig, M.S. Experimental study of open-wheel race-car front wings. SAE Trans. 1998, 2549–2557. [Google Scholar] [CrossRef] [Green Version]
- Zhang, X.; Zerihan, J. Aerodynamics of a double-element wing in ground effect. AIAA J. 2003, 41, 1007–1016. [Google Scholar] [CrossRef] [Green Version]
- Mahon, S. The Aerodynamics of Multi-Element Wings in Ground Effect. Ph.D. Thesis, University of Southampton, Southampton, UK, 2005. [Google Scholar]
- Van Den Berg, M.A.; Zhang, X. The aerodynamic interaction between an inverted wing and a rotating wheel. J. Fluids Eng. Trans. ASME 2009, 131, 101104. [Google Scholar] [CrossRef]
- Ranzenbach, R.; Barlow, J.B.; Diaz, R.H. Two-Dimensional Airfoil in Ground Effect, An Experimental and Computational Study; SAE International: Warrendale, PA, USA, 1994. [Google Scholar] [CrossRef]
- Mahon, S.; Zhang, X. Computational analysis of pressure and wake characteristics of an aerofoil in ground effect. J. Fluids Eng. Trans. ASME 2005, 127, 290–298. [Google Scholar] [CrossRef]
- Van Den Berg, M.A. Aerodynamic Interaction of an Inverted Wing with a Rotating Wheel. Ph.D. Thesis, University of Southampton, Southampton, UK, 2007. [Google Scholar]
- Heyder-Bruckner, J. The Aerodynamics of an Inverted Wing and a Rotating Wheel in Ground Effect. Ph.D. Thesis, University of Southampton, Southampton, UK, 2011. [Google Scholar]
- Arrondeau, B.; Rana, Z.A. Computational Aerodynamics Analysis of Non-Symmetric Multi-Element Wing in Ground Effect with Humpback Whale Flipper Tubercles. Fluids 2020, 5, 247. [Google Scholar] [CrossRef]
- Yurkovich, R. Status of unsteady aerodynamic prediction for flutter of high performance aircraft. J. Aircr. 2003, 40, 832–842. [Google Scholar] [CrossRef]
- Sangeetha, C. Fluid structure interaction on AGARD 445.6 wing at transonic speeds. J. Aircr. 2015, 2, 28–34. [Google Scholar]
- Chen, X. Numerical simulation of 3D wing flutter with fully coupled fluid structural interaction. J. Aircr. 2007, 36, 856–867. [Google Scholar]
- Zeng, Y.; Yao, Z.; Gao, J.; Hong, Y.; Wang, F.; Zhang, F. Numerical Investigation of Added Mass and Hydrodynamic Damping on a Blunt Trailing Edge Hydrofoil. J. Fluids Eng. 2019, 141, 081108. [Google Scholar] [CrossRef]
- Zeng, Y.; Yao, Z.; Zhang, S.; Wang, F.; Xiao, R. Influence of Tip Clearance On the Hydrodynamic Damping Characteristics of a Hydrofoil. J. Fluids Eng. 2021, 143, 061202. [Google Scholar] [CrossRef]
- Smith, S.M.; Venning, J.A.; Giosio, D.R.; Brandner, P.A.; Pearce, B.W.; Young, Y.L. Cloud Cavitation Behavior on a Hydrofoil Due to Fluid-Structure Interaction. J. Fluids Eng. 2019, 141, 041105. [Google Scholar] [CrossRef] [Green Version]
- Dinçer, A.E.; Demir, A.; Bozkuş, Z.; Tijsseling, A.S. Fully Coupled Smoothed Particle Hydrodynamics-Finite Element Method Approach for Fluid–Structure Interaction Problems With Large Deflections. J. Fluids Eng. 2019, 141, 081402. [Google Scholar] [CrossRef]
- Pedrol, E.; Massons, J.; Díaz, F.; Aguiló, M. Two-way coupling fluid-structure interaction (FSI) approach to inertial focusing dynamics under dean flow patterns in asymmetric serpentines. Fluids 2018, 3, 62. [Google Scholar] [CrossRef] [Green Version]
- Nonino, M.; Ballarin, F.; Rozza, G. A Monolithic and a Partitioned, Reduced Basis Method for Fluid–Structure Interaction Problems. Fluids 2021, 6, 229. [Google Scholar] [CrossRef]
- Lassila, T.; Quarteroni, A.; Rozza, G. A reduced basis model with parametric coupling for fluid-structure interaction problems. SIAM J. Sci. Comput. 2012, 34, A1187–A1213. [Google Scholar] [CrossRef] [Green Version]
- Kallekar, L.; Viswanath, C.; Anand, M. Effect of wall flexibility on the deformation during flow in a stenosed coronary artery. Fluids 2017, 2, 16. [Google Scholar] [CrossRef] [Green Version]
- Gilmanov, A.; Barker, A.; Stolarski, H.; Sotiropoulos, F. Image-guided fluid-structure interaction simulation of transvalvular hemodynamics: Quantifying the effects of varying aortic valve leaflet thickness. Fluids 2019, 4, 119. [Google Scholar] [CrossRef] [Green Version]
- Stergiou, Y.G.; Kanaris, A.G.; Mouza, A.A.; Paras, S.V. Fluid-structure interaction in abdominal aortic aneurysms: Effect of haematocrit. Fluids 2019, 4, 11. [Google Scholar] [CrossRef] [Green Version]
- Salman, H.E.; Saltik, L.; Yalcin, H.C. Computational analysis of wall shear stress patterns on calcified and bicuspid aortic valves: Focus on radial and coaptation patterns. Fluids 2021, 6, 287. [Google Scholar] [CrossRef]
- Gaylard, A.; Beckett, M.; Gargoloff, J.; Duncan, B. CFD-based Modelling of Flow Conditions Capable of Inducing Hood Flutter. SAE Int. J. Passeng. Cars Mech. Syst. 2010, 3, 675–694. [Google Scholar] [CrossRef]
- Ratzel, M.; Dias, W. Fluid-Structure Interaction Analysis and Optimization of an Automotive Component; SAE International: Warrendale, PA, USA, 2014. [Google Scholar] [CrossRef]
- Patil, S.; Lietz, R.; Woodiga, S.; Ahn, H.; Larson, L.; Gin, R.; Elmore, M.; Simpson, A. Fluid Structure Interaction Simulations Applied to Automotive Aerodynamics; SAE International: Warrendale, PA, USA, 2015. [Google Scholar] [CrossRef]
- Nazari, A.; Chen, L.; Battaglia, F.; Ferris, J.B.; Flintsch, G.; Taheri, S. Prediction of Hydroplaning Potential Using Fully Coupled Finite Element-Computational Fluid Dynamics Tire Models. J. Fluids Eng. 2020, 142, 101202. [Google Scholar] [CrossRef]
- Andreassi, L.; Mulone, V.; Valentini, P.P.; Vita, L. A CFD-FEM Approach to Study Wing Aerodynamics under Deformation; SAE International: Warrendale, PA, USA, 2004. [Google Scholar] [CrossRef] [Green Version]
- Castro, X.; Rana, Z.A. Aerodynamic and Structural Design of a 2022 Formula One Front Wing Assembly. Fluids 2020, 5, 237. [Google Scholar] [CrossRef]
- Bang, C.S.; Rana, Z.A.; Konozsy, L.; Rodriguez, V.M.; Temple, C. Aeroelastic Analysis of a Single Element Composite Wing in Ground Effect Using Fluid Structure Interaction. J. Fluids Eng. 2021, 144, 041202. [Google Scholar] [CrossRef]
- Bungartz, H.J.; Schäfer, M. (Eds.) Fluid-Structure Interaction: Modelling, Simulation, Optimization; Springer: Berlin/Heidelberg, Germany, 2006; ISBN 978-3-540-34595-4. [Google Scholar]
- Sigrist, J.F. Fluid-Structure Interaction: An Introduction to Finite Element Coupling; Wiley: Hoboken, NJ, USA, 2015; ISBN 978-1-119-95227-5. [Google Scholar]
- Ryzhakov, P.B.; Rossi, R.; Idelsohn SR Onate, E. A monolithic Lagrangian approach for fluid-structure interaction problems. Comput. Mech. 2010, 46, 883–899. [Google Scholar] [CrossRef]
- Michler, C.; Hulshoff, S.; van Brummelen, E.; de Borst, R. A monolithic approach to fluid-structure interaction. Comput. Fluids 2004, 33, 839–848. [Google Scholar] [CrossRef]
- Piperno, S.; Farhat, C.; Larrouturou, B. Partitioned procedures for the transient solution of coupled aeroelastic problems, part I: Model problem, theory and two-dimensional application. Comput. Methods Appl. Mech. Eng. 1995, 124, 79–112. [Google Scholar] [CrossRef]
- Zhang, X.; Zerihan, J. Edge vortices of a double element wing in ground effect. In Proceedings of the 40th AIAA Aerospace Sciences Meeting Exhibit, Reno, NV, USA, 14–17 January 2002; pp. 1–15. [Google Scholar] [CrossRef] [Green Version]
- Spalart, P.R.; Allmaras, S.R. A One-Equation Turbulence Model for Aerodynamic Flows. In Proceedings of the 30th Aerospace Sciences Meeting and Exhibit, Reno, NV, USA, 6–9 January 1992; p. 439. [Google Scholar]
- Launder, B.E.; Spalding, D.B. The Numerical Computation of Turbulent Flows. Comput. Methods Appl. Mech. Eng. 1974, 3, 269–289. [Google Scholar] [CrossRef]
- Wilcox, D.C. Multiscale Models for Turbulent Flows. AIAA J. 1988, 26, 1311–1320. [Google Scholar] [CrossRef]
- Menter, F.R. Two-Equation Eddy-Viscosity Turbulence Models for Engineering Applications. AIAA J. 1994, 32, 1598–1605. [Google Scholar] [CrossRef] [Green Version]
- Yakhot, A.; Orszag, S. Renormalisation Group Analysis of Turbulence: I Basic Theory. J. Sci. Comput. 1986, 1, 3–51. [Google Scholar] [CrossRef]
- Shih, T.-H.; Liou, W.W.; Shabbir, A.; Yang, Z.; Zhu, J. A New k-ε Eddy Viscosity Model for High Reynolds Number Turbulent Flows. Comput. Fluids 1995, 24, 227–238. [Google Scholar] [CrossRef]
- ANSYS. ANSYS System Coupling User’s Guide. 2020. Available online: https://d.shikey.com/down/Ansys.Products.2020.R1.x64/install_docs/Ansys.Products.PDF.Docs.2020R1/readme.html (accessed on 7 November 2021).
- Roache, P.J. Verification and Validation in Computational Science and Engineering; Hermosa Publishers: Albuquerque, NM, USA, 1998; ISBN 978-0913478080. [Google Scholar]
- Roache, P.J.; Ghia, K.N.; White, F.M. Editorial Policy Statement on Control of Numerical Accuracy. J. Fluids Eng. Trans. ASME 1986, 108, 2. [Google Scholar] [CrossRef] [Green Version]
- Zerihan, J. An Investigation into the Aerodynamics of Wings in Ground Effect. Ph.D. Thesis, University of Southampton, Southampton, UK, 2001. [Google Scholar]
- Bushnell, D.M. Aircraft drag reduction—A review. Proc. I Mech. E Part G J. Aerosp. Eng. 2003, 217, 1–18. [Google Scholar] [CrossRef]
- Bushnell, D.M. Supersonic aircraft drag reduction. In Proceedings of the 21st Fluid Dynamics, Plasma Dynamics and Lasers Conference, Seattle, WA, USA, 18–20 June 1990; p. 1596. [Google Scholar] [CrossRef]
- Neittaanmaki, P.; Rossi, T.; Korotov, S.; Onate, E.; Periaux, J.; Knorzer, D. Overview on drag reduction technologies for civil transport aircraft. In Proceedings of the European Congress on Computational Methods in Applied Sciences and Engineering (ECCOMAS), Jyväskylä, Finland, 24–28 July 2004; pp. 24–28. [Google Scholar]
- Zhang, X.; Toet, W.; Zerihan, J. Ground effect aerodynamics of race cars. Appl. Mech. Rev. 2006, 59, 33–48. [Google Scholar] [CrossRef] [Green Version]
- Mahon, S.; Zhang, X. Computational analysis of a inverted double-element airfoil in ground effect. J. Fluids Eng. Trans. ASME 2006, 128, 1172–1180. [Google Scholar] [CrossRef]
- Smith, A.M.O. High-Lift Aerodynamics. J. Aircr. 1975, 12, 501–530. [Google Scholar] [CrossRef] [Green Version]















| Main Element Chord | 223.4 mm | Total Chord | 380.0 mm |
| Flap Element Chord | 165.7 mm | Span | 1100 mm |
| Main Element Angle of Attack | 1° | Wing Planform | |
| Flap Element Angle of Attack | 5.6° | Aspect Ratio AR | 2.89 |
| Main TE Thickness | 1.65 mm | Flap Overlap | 9 mm |
| Flap TE Thickness | 1 mm | Flap Gap | 12 mm |
| Endplate Size | mm |
| Mechanical Property | Epoxy Carbon UD (230 GPa) | Epoxy Carbon Woven (230 GPa) | Epoxy Carbon Woven (395 GPa) |
|---|---|---|---|
| Young’s modulus (MPa) | 1.21 × 105 | 61,340 | 91,820 |
| Shear modulus (MPa) | 4700 | 19,500 | 19,500 |
| Poisson’s ratio | 0.27 | 0.04 | 0.05 |
| ) | 1490 | 1420 | 1480 |
| Variable | Coarse | Medium | Fine |
|---|---|---|---|
| N | 1.3M | 3.1M | 6.3M |
| Cd | 0.16302 | 0.16283 | 0.16253 |
| 0.736 | |||
| 0.795 | |||
| P | 0.701 | ||
| [%] | 0.227 | ||
| [%] | 0.370 | ||
| GCI ratio | 1.001 | ||
| 2D [58] | 3D [53] | |||
| Experimental | −4.48 | 0.08 | −4.46 | 0.08 |
| Turbulence model | 2D CFD [58] | 3D FSI | ||
| Spalart–Allmaras | −4.96 | 0.11 | −4.18 | 0.095 |
| Standard k-ε | −4.95 | 0.11 | −4.02 | 0.095 |
| k-ε RNG | −4.93 | 0.11 | −3.88 | 0.095 |
| Realizable k-ε | −4.94 | 0.11 | −4.13 | 0.095 |
| Standard k-ω | −4.91 | 0.11 | −4.20 | 0.095 |
| k-ω SST | −4.93 | 0.11 | −4.18 | 0.095 |
| Turbulence Model | ||||||||
|---|---|---|---|---|---|---|---|---|
| Low | Top | Low | Top | Low | Top | Low | Top | |
| Experimental [9] | 0.65 | 0.72 | 0.150 | 0.200 | 0.104 | 0.205 | 0.067 | 0.034 |
| Spalart–Allmaras | 0.64 | 0.71 | 0.141 | 0.182 | 0.093 | 0.206 | 0.078 | 0.035 |
| Standard k-ε | 0.64 | 0.65 | 0.140 | 0.178 | 0.080 | 0.211 | 0.085 | 0.046 |
| k-ε RNG | 0.64 | 0.68 | 0.140 | 0.180 | 0.095 | 0.211 | 0.077 | 0.039 |
| Realizable k-ε | 0.62 | 0.68 | 0.140 | 0.180 | 0.094 | 0.212 | 0.078 | 0.040 |
| Standard k-ω | 0.67 | 0.70 | 0.144 | 0.182 | 0.092 | 0.207 | 0.077 | 0.038 |
| k-ω SST | 0.64 | 0.70 | 0.144 | 0.182 | 0.092 | 0.207 | 0.077 | 0.038 |
| h/c | Exp/FSI | ||||||||
|---|---|---|---|---|---|---|---|---|---|
| Low | Top | Low | Top | Low | Top | Low | Top | ||
| 0.395 | Experiment | 0.72 | 0.74 | 0.164 | 0.203 | 0.136 | 0.217 | 0.054 | 0.027 |
| FSI | 0.71 | 0.74 | 0.152 | 0.174 | 0.112 | 0.214 | 0.051 | 0.051 | |
| 0.211 | Experiment | 0.66 | 0.76 | 0.150 | 0.200 | 0.124 | 0.207 | 0.060 | 0.023 |
| FSI | 0.64 | 0.71 | 0.141 | 0.182 | 0.105 | 0.207 | 0.066 | 0.036 | |
| 0.105 | Experiment | 0.58 | 0.80 | 0.134 | 0.192 | 0.102 | 0.198 | 0.078 | 0.013 |
| FSI | 0.40 | 0.68 | 0.128 | 0.176 | 0.070 | 0.197 | 0.099 | 0.028 | |
Publisher’s Note: MDPI stays neutral with regard to jurisdictional claims in published maps and institutional affiliations. |
© 2022 by the authors. Licensee MDPI, Basel, Switzerland. This article is an open access article distributed under the terms and conditions of the Creative Commons Attribution (CC BY) license (https://creativecommons.org/licenses/by/4.0/).
Share and Cite
Bang, C.S.; Rana, Z.A.; Könözsy, L.; Marchante Rodriguez, V.; Temple, C. Numerical Investigation and Fluid-Structure Interaction (FSI) Analysis on a Double-Element Simplified Formula One (F1) Composite Wing in the Presence of Ground Effect. Fluids 2022, 7, 85. https://doi.org/10.3390/fluids7020085
Bang CS, Rana ZA, Könözsy L, Marchante Rodriguez V, Temple C. Numerical Investigation and Fluid-Structure Interaction (FSI) Analysis on a Double-Element Simplified Formula One (F1) Composite Wing in the Presence of Ground Effect. Fluids. 2022; 7(2):85. https://doi.org/10.3390/fluids7020085
Chicago/Turabian StyleBang, Chris Sungkyun, Zeeshan A. Rana, László Könözsy, Veronica Marchante Rodriguez, and Clive Temple. 2022. "Numerical Investigation and Fluid-Structure Interaction (FSI) Analysis on a Double-Element Simplified Formula One (F1) Composite Wing in the Presence of Ground Effect" Fluids 7, no. 2: 85. https://doi.org/10.3390/fluids7020085
APA StyleBang, C. S., Rana, Z. A., Könözsy, L., Marchante Rodriguez, V., & Temple, C. (2022). Numerical Investigation and Fluid-Structure Interaction (FSI) Analysis on a Double-Element Simplified Formula One (F1) Composite Wing in the Presence of Ground Effect. Fluids, 7(2), 85. https://doi.org/10.3390/fluids7020085

