Statistical Error for Cosmic Rays Modulation Evaluated by SDE Backward in Time Method for 1D Model
Abstract
:1. Introduction
2. Model Description
3. Forward-in-Time Stochastic Integrations
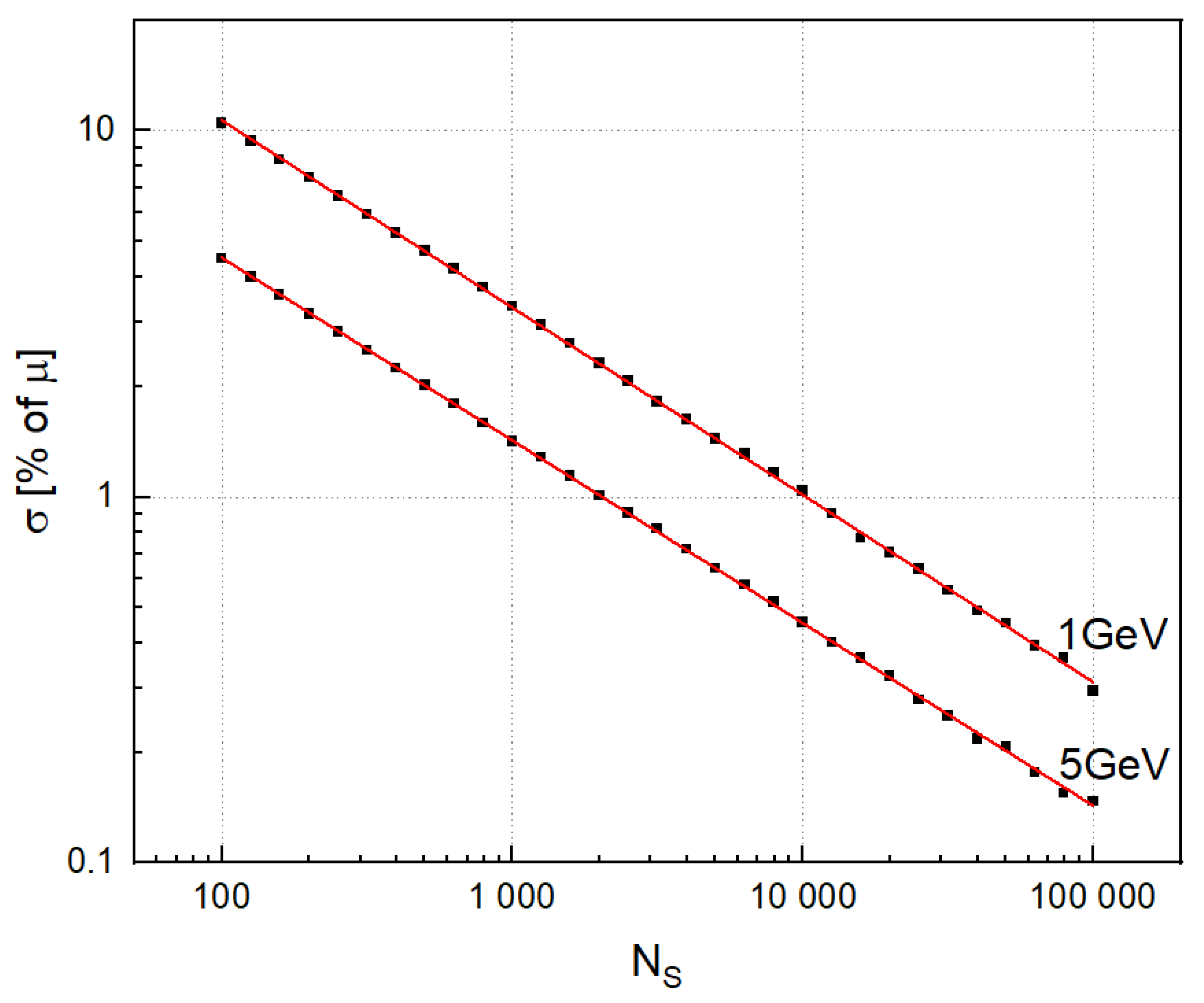
4. Backward-in-Time Stochastic Integrations
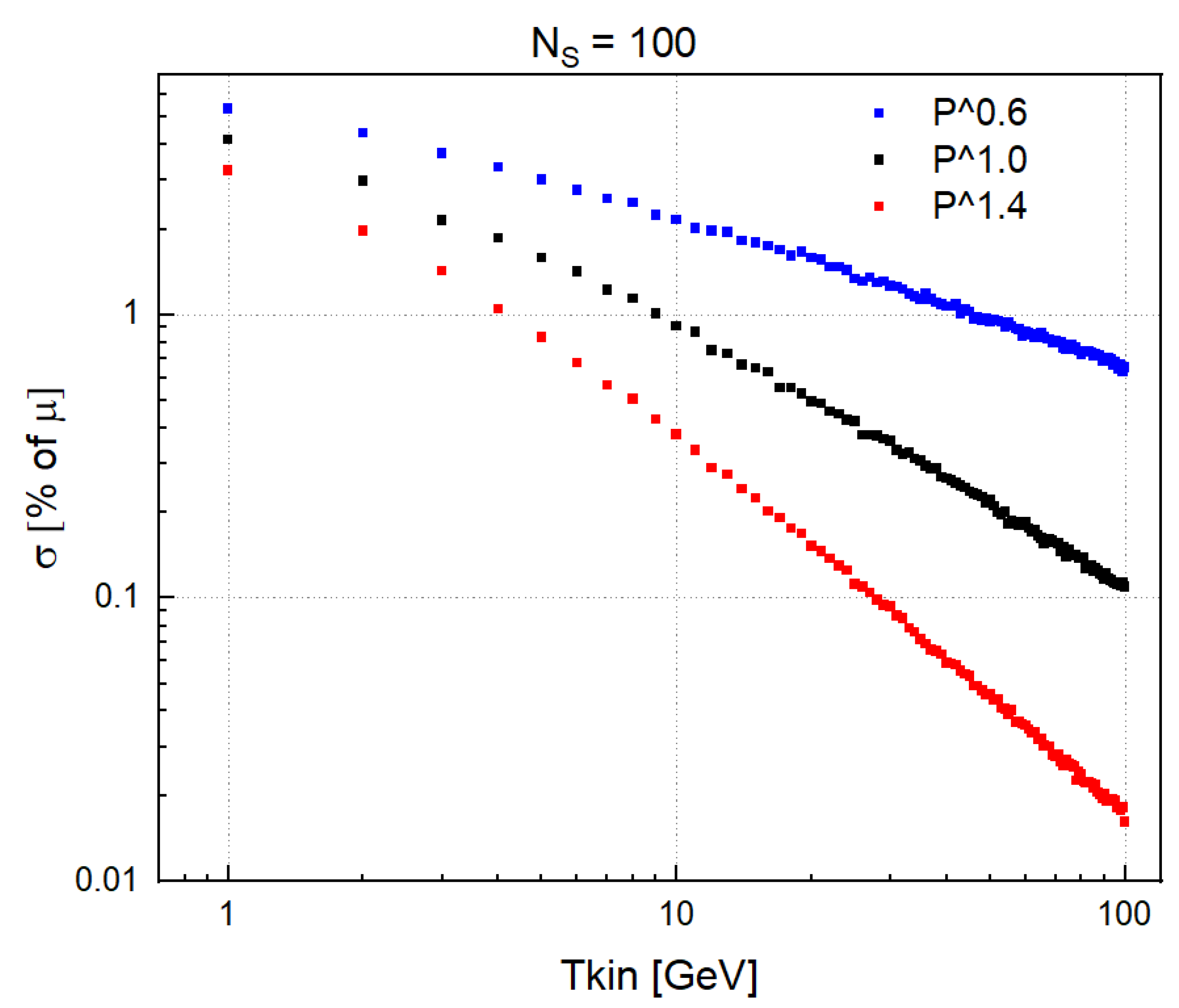
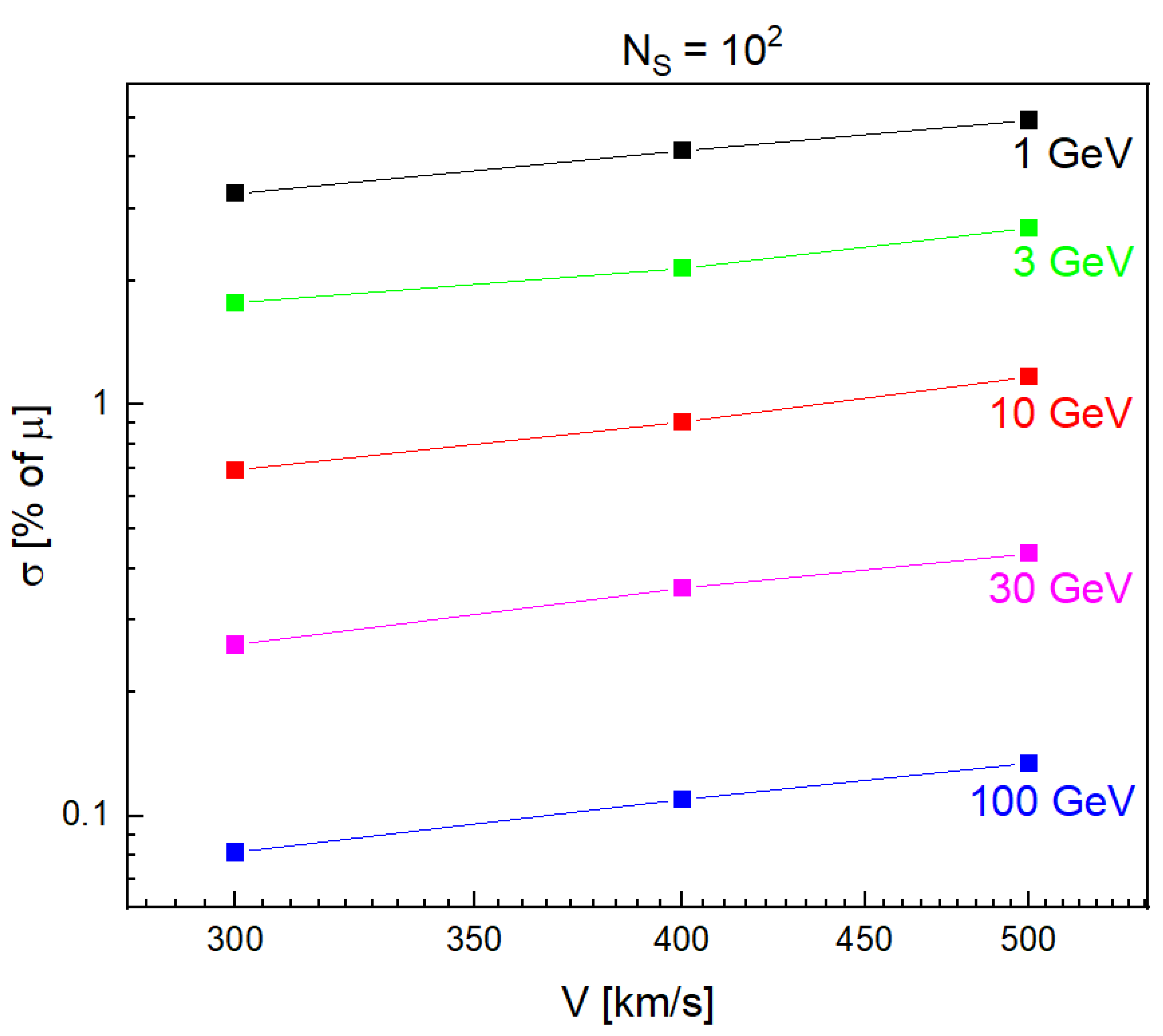
Statistical Error for Selected Energies, Backward-in-Time Method
5. Conclusions
Author Contributions
Funding
Institutional Review Board Statement
Informed Consent Statement
Data Availability Statement
Acknowledgments
Conflicts of Interest
References
- Parker, E. The passage of energetic charged particles through interplanetary space. Planet. Space Sci. 1965, 13, 9–49. [Google Scholar] [CrossRef]
- Jokipii, J.R.; Levy, E.H.; Hubbard, W.B. Effects of particle drift on cosmic-ray transport. I: General properties, application to solar modulation. Astrophys. J. Lett. 1977, 213, 861–868. [Google Scholar] [CrossRef]
- Chandrasekhar, S. Stochastic Problems in Physics and Astronomy. Rev. Mod. Phys. 1943, 15, 1–89. [Google Scholar] [CrossRef]
- Kota, J. Energy loss in the solar system and modulation of cosmic radiation. In Proceedings of the 15th International Cosmic Ray Conference, Plovdiv, Blgaria, 13–26 August 1977; pp. 186–191. [Google Scholar]
- Zhang, M. A Markov Stochastic Process Theory of Cosmic-Ray Modulation. Astrophys. J. Lett. 1999, 513, 409–420. [Google Scholar] [CrossRef]
- Florinski, V.; Pogorelov, N.V. Four-dimensional transport of galactic cosmic rays in the outer heliosphere and heliosheath. Astrophys. J. Lett. 2009, 701, 642–651. [Google Scholar] [CrossRef]
- Strauss, D.T.; Potgieter, M.; Kopp, A.; Büsching, I. On the propagation times and energy losses of cosmic rays in the heliosphere. J. Geophys. Res. Earth Surf. 2011, 116. [Google Scholar] [CrossRef] [Green Version]
- Strauss, R.D.; Potgieter, M.S.; Büsching, I.; Kopp, A. Modelling heliospheric current sheet drift in stochastic cosmic ray transport models. Astrophys. Space Sci. 2012, 339, 223–236. [Google Scholar] [CrossRef]
- Effenberger, F.; Fichtner, H.; Scherer, K.; Büsching, I. Anisotropic diffusion of Galactic cosmic ray protons and their steady-state azimuthal distribution. Astron. Astrophys. 2012, 547, A120. [Google Scholar] [CrossRef]
- Strauss, D.T.; Potgieter, M.; Ferreira, S.; Fichtner, H.; Scherer, K. Cosmic ray modulation beyond the heliopause: A hybrid modeling approach. Astrophys. J. 2013, 765, L18. [Google Scholar] [CrossRef] [Green Version]
- Zhao, L.-L.; Qin, G.; Zhang, M.; Heber, B. Modulation of galactic cosmic rays during the unusual solar minimum between cycles 23 and 24. J. Geophys. Res. Space Phys. 2014, 119, 1493–1506. [Google Scholar] [CrossRef] [Green Version]
- Engelbrecht, N.E.; Burger, R. Sensitivity of cosmic-ray proton spectra to the low-wavenumber behavior of the 2d turbulence power spectrum. Astrophys. J. Lett. 2015, 814, 152. [Google Scholar] [CrossRef] [Green Version]
- Moloto, K.D.; Engelbrecht, N.E.; Burger, R. A Simplified Ab Initio Cosmic-ray Modulation Model with Simulated Time Dependence and Predictive Capability. Astrophys. J. Lett. 2018, 859, 107. [Google Scholar] [CrossRef]
- Shen, Z.-N.; Qin, G.; Zuo, P.; Wei, F. Modulation of Galactic Cosmic Rays from Helium to Nickel in the Inner Heliosphere. Astrophys. J. 2019, 887, 132. [Google Scholar] [CrossRef]
- Du Toit Strauss, R.; Effenberger, F. A Hitch-hiker’s Guide to Stochastic Differential Equations. Solution Methods for Energetic Particle Transport in Space Physics and Astrophysics. Space Sci. Rev. 2017, 212, 151–192. [Google Scholar] [CrossRef] [Green Version]
- Kopp, A.; Büsching, I.; Strauss, R.; Potgieter, M. A stochastic differential equation code for multidimensional Fokker–Planck type problems. Comput. Phys. Commun. 2012, 183, 530–542. [Google Scholar] [CrossRef]
- Bobik, P.; Boschini, M.J.; Della Torre, S.; Gervasi, M.; Grandi, D.; La Vacca, G.; Pensotti, S.; Putis, M.; Rancoita, P.G.; Rozza, D.; et al. On the forward-backward-in-time approach for Monte Carlo solution of Parker’s transport equation: One-dimensional case. J. Geophys. Res. Space Phys. 2016, 121, 3920–3930. [Google Scholar] [CrossRef] [Green Version]
- Wawrzynczak, A.; Modzelewska, R.; Gil, A. Algorithms for Forward and Backward Solution of the Fokker-Planck Equation in the Heliospheric Transport of Cosmic Rays. In Parallel Processing and Applied Mathematics, PPAM 2017; Lecture Notes in Computer Science; Springer: Cham, Switzerland, 2018; Volume 10777, pp. 14–23. [Google Scholar] [CrossRef]
- Mykhailenko, V.; Bobik, P. Statistical error for cosmic rays modulation evaluation by 1D and 2D models. In Proceedings of the 37th International Cosmic Ray Conference (ICRC2021), Berlin, Germany, 12–23 July 2021; Volume 395, p. 1325. [Google Scholar] [CrossRef]
- Moloto, K.; Engelbrecht, N.; Strauss, R.; Moeketsi, D.; Berg, J.V.D. Numerical integration of stochastic differential equations: A parallel cosmic ray modulation implementation on Africa’s fastest computer. Adv. Space Res. 2018, 63, 626–639. [Google Scholar] [CrossRef]
- Pei, C.; Bieber, J.W.; Burger, R.; Clem, J. A general time-dependent stochastic method for solving Parker’s transport equation in spherical coordinates. J. Geophys. Res. Space Phys. 2010, 115. [Google Scholar] [CrossRef] [Green Version]
- Yamada, Y.; Yanagita, S.; Yoshida, T. A stochastic view of the solar modulation phenomena of cosmic rays. Geophys. Res. Lett. 1998, 25, 2353–2356. [Google Scholar] [CrossRef]
- Burger, R.A.; Moraal, H.; Webb, G.M. Drift theory of charged particles in electric and magnetic fields. Astrophys. Space Sci. 1985, 116, 107–129. [Google Scholar] [CrossRef]
- Hattingh, M.; Burger, R. A new simulated wavy neutral sheet drift model. Adv. Space Res. 1995, 16, 213–216. [Google Scholar] [CrossRef]
- Zhang, M. A Stochastic Differential Equation Approach to Cosmic Ray Transport. In Proceedings of the Numerical Modeling of Space Plasma Flows: Astronum 2007 ASP Conference Series, Paris, France, 10–15 June 2007; Volume 385, p. 63. [Google Scholar]
- Fiandrini, E.; Tomassetti, N.; Bertucci, B.; Donnini, F.; Graziani, M.; Khiali, B.; Conde, A.R. Numerical modeling of cosmic rays in the heliosphere: Analysis of proton data from AMS-02 and PAMELA. Phys. Rev. D 2021, 104, 023012. [Google Scholar] [CrossRef]








| [% of units] | ||
|---|---|---|
| Energy [GeV] | ||
| 1 | 3785.0 | |
| 5 | 585.7 | |
| m s | 10 | 214.6 |
| 20 | 67.8 | |
| 50 | 12.2 | |
| 1 | 1719.9 | |
| 5 | 250.4 | |
| m s | 10 | 82.5 |
| 20 | 24.2 | |
| 50 | 4.9 | |
| 1 | 968.4 | |
| 5 | 127.0 | |
| m s | 10 | 44.2 |
| 20 | 12.9 | |
| 50 | 2.3 | |
| [% of units] | ||
|---|---|---|
| SW Velocity | Energy [GeV] | |
| 1 | 1063.5 | |
| 5 | 162.6 | |
| km s | 10 | 48.0 |
| 20 | 14.6 | |
| 50 | 2.6 | |
| 1 | 1719.9 | |
| 5 | 250.4 | |
| km s | 10 | 82.5 |
| 20 | 24.2 | |
| 50 | 4.9 | |
| 1 | 2419.2 | |
| 5 | 369.5 | |
| km s | 10 | 136.6 |
| 20 | 38.6 | |
| 50 | 7.5 | |
| [% of units] | |||
|---|---|---|---|
| Energy [GeV] | , Avg. Situation | , Maximum Error | |
| 1 | 2837.9 | 6368 | |
| 5 | 892.2 | 2102.9 | |
| 10 | 464.2 | 1095.5 | |
| 20 | 252.46 | 569.4 | |
| 50 | 89.0 | 241.9 | |
| 1 | 1719.9 | 4895 | |
| 5 | 250.4 | 853 | |
| 10 | 82.5 | 320.3 | |
| 20 | 24.2 | 96 | |
| 50 | 4.9 | 18.2 | |
| 1 | 1038.41 | 1821.4 | |
| 5 | 69.2 | 153.6 | |
| 10 | 14.2 | 34 | |
| 20 | 2.3 | 6.7 | |
| 50 | 0.2 | 0.5 | |
Publisher’s Note: MDPI stays neutral with regard to jurisdictional claims in published maps and institutional affiliations. |
© 2022 by the authors. Licensee MDPI, Basel, Switzerland. This article is an open access article distributed under the terms and conditions of the Creative Commons Attribution (CC BY) license (https://creativecommons.org/licenses/by/4.0/).
Share and Cite
Mykhailenko, V.; Bobik, P. Statistical Error for Cosmic Rays Modulation Evaluated by SDE Backward in Time Method for 1D Model. Fluids 2022, 7, 46. https://doi.org/10.3390/fluids7020046
Mykhailenko V, Bobik P. Statistical Error for Cosmic Rays Modulation Evaluated by SDE Backward in Time Method for 1D Model. Fluids. 2022; 7(2):46. https://doi.org/10.3390/fluids7020046
Chicago/Turabian StyleMykhailenko, Viacheslav, and Pavol Bobik. 2022. "Statistical Error for Cosmic Rays Modulation Evaluated by SDE Backward in Time Method for 1D Model" Fluids 7, no. 2: 46. https://doi.org/10.3390/fluids7020046
APA StyleMykhailenko, V., & Bobik, P. (2022). Statistical Error for Cosmic Rays Modulation Evaluated by SDE Backward in Time Method for 1D Model. Fluids, 7(2), 46. https://doi.org/10.3390/fluids7020046

