Effect of Geometric Configuration of the Impeller on the Performance of Liquivac Pump: Single Phase Flow (Water)
Abstract
1. Introduction
2. The Liquivac Pump
2.1. Working Principle of the Pump
2.2. Experimental Setup
2.2.1. Liquivac Pump
2.2.2. Test Procedure
3. Computational Model
3.1. Mesh Generation
3.2. Mesh Independence Test
3.3. Governing Equations
3.4. Turbulence Modelling
3.5. Boundary Conditions and Numerical Method
Time Step and Period
4. Results and Discussion
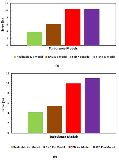
4.1. Validation of Numerical Simulations
4.2. Optimization of the Twin Start Helical Rotor (Impeller/Rotor)
4.2.1. Variation of Velocity Magnitude
4.2.2. Variation of Static Pressure
4.2.3. Variation of Turbulent Kinetic Energy
4.2.4. Variation of Pressure Head and Efficiency
5. Conclusions
- -
- The simulation and experimental results correlate well in all the four turbulence models with small deviations.
- -
- Out of all the adopted turbulence models, the realizable K-ε turbulence model can provide superior performance predictions and internal detailed flow features of the pump and is recommended for simulating unsteady flow in Liquivac multiphase pumps.
- -
- For optimisation of the rotor, four different geometric models were created. All modifications showed superior performance compared to the existing rotor design. This is because with the increase in number of blades and decrease in pitch length there is a decrease in the energy stratification and jet/wake distribution, indicating uniformity of the flow at the channel exit.
- -
- Our computational study indicates that model 2 with four equidistant blades front, back and four flights in between front and back blades with 30 mm pitch is the best.
- -
- For the best twin start helical rotor design, the most uniform distribution of static pressure was observed and the smallest pressure gradient and low-pressure region was observed at all mass flow rates compared with other twin start helical rotor designs. Compared with other models, the turbulent kinetic energy distribution scope is best in the model 2 under all flow rate conditions.
- -
- The head and efficiency obtained for the optimized rotor is greater compared to the existing pumps. With a flow rate of 4 m3/hr the pressure head and efficiency increased by 4.2 m and 18.3% compared to the existing rotor design.
Author Contributions
Funding
Institutional Review Board Statement
Informed Consent Statement
Data Availability Statement
Acknowledgments
Conflicts of Interest
Nomenclature
| k | Turbulence kinetic energy | v t | turbulent eddy viscosity |
| P | Pressure | xi | coordinate (i = 1, 2) |
| Qd | Volumetric flow rate (m3/h) | δij | Kronecker delta |
| RKE | Realizable K-ε | ε | dissipation rate of k |
| RNG | Renormalisation K-ε | μ | fluid viscosity |
| RPM | Rotational speed | μt | turbulence viscosity |
| SKE | Standard K-ε | ρ | fluid density(kg/m3) |
| ui | average velocity along xi (i = 1, 2) | ω | specific rate of dissipation |
References
- Huang, S.; He, J.; Wang, X.; Qiu, G. Theoretical model for the performance of liquid ring pump based on the actual operating cycle. Int. J. Rotating Mach. 2017, 2017, 3617321. [Google Scholar] [CrossRef]
- Kurniawan, K.E.; Santoso, B.; Tjahjana, D.D.D.P. Improvement of centrifugal pump performance through addition of splitter blades on impeller pump. In AIP Conference Proceedings; AIP Publishing LLC: Melville, NY, USA, 2018; Volume 1931, p. 30053. [Google Scholar] [CrossRef]
- Kergourlay, G.; Younsi, M.; Bakir, F.; Rey, R. Influence of Splitter Blades on the Flow Field of a Centrifugal Pump: Test-Analysis Comparison. Int. J. Rotating Mach. 2007, 2007, 85024. [Google Scholar] [CrossRef]
- Bacharoudis, E.C.; Filios, A.E.; Mentzos, M.D.; Margaris, D.P. Parametric Study of a Centrifugal Pump Impeller by Varying the Outlet Blade Angle. Open Mech. Eng. J. 2008, 2, 75–83. [Google Scholar] [CrossRef]
- Fard, M.H.S.; Boyaghchi, F.A. Studies on the influence of various blade outlet angles in a centrifugal pump when handling viscous fluids. Am. J. Appl. Sci. 2007, 4, 718–724. [Google Scholar] [CrossRef]
- Kim, J.H.; Oh, K.T.; Pyun, K.B.; Kim, C.K.; Choi, Y.S.; Yoon, J.Y. Design optimization of a centrifugal pump impeller and volute using computational fluid dynamics. IOP Conf. Ser. Earth Environ. Sci. 2012, 15, 32025. [Google Scholar] [CrossRef]
- Han, X.; Kang, Y.; Li, D.; Zhao, W. Impeller optimized design of the centrifugal pump: A numerical and experimental investigation. Energies 2018, 11, 1444. [Google Scholar] [CrossRef]
- Desheng, Z.; Weidong, S.; Hua, Z.; Jie, Y.; Xingfan, G. Application of different turbulence models for predicting performance of axial flow pump. Trans. Chin. Soc. Agric. Eng. 2012, 28, 66–71. [Google Scholar]
- Yong, W.; Wang, W. Applicability of eddy viscosity turbulence models in low specific speed centrifugal pump, IOP Conference Series. Earth Environ. Sci. 2012, 15, 62013. [Google Scholar]
- Wang, L.; Liu, H.; Wang, K.; Zhou, L.; Jiang, X.; Li, Y. Numerical Simulation of the Sound Field of a Five-Stage Centrifugal Pump with Different Turbulence Models. Water 2019, 11, 1777. [Google Scholar] [CrossRef]
- Song, X.; Wood, H.G.; Day, S.W.; Olsen, D.B. Studies of Turbulence Models in a Computational Fluid Dynamics Model of a Blood Pump. Artif. Organs 2003, 27, 935–937. [Google Scholar] [CrossRef] [PubMed]
- Desheng, Z.; Suqing, W.; Weidong, S.; Dazhi, P.; Jie, Y.; Zhang, G. Application and experiment of different turbulence models for simulating tip leakage vortex in axial flow pump. Trans. Chin. Soc. Agric. Eng. 2013, 29, 46–53. [Google Scholar]
- Meerakaviyad, D.; Keville, T.; Prakash, A.; Sajid, A.; Hamad, F. Recent progress in multiphase flow simulation through multiphase pumps. Heat Transf. 2020, 49, 2849–2867. [Google Scholar] [CrossRef]
- Yang, S.S.; Liu, H.L.; Kong, F.Y.; Dai, C. Experimental, numerical, and theoretical research on impeller diameter influencing centrifugal pump-as-turbine. J. Energy Eng. 2013, 139, 299–307. [Google Scholar] [CrossRef]
- Donga, J.; Wanga, X.; Tub, J. Numerical research about the internal flow of steam-jet vacuum pump: Evaluation of turbulence models and determination of the shock-mixing layer. Phys. Procedia 2012, 32, 614–622. [Google Scholar] [CrossRef][Green Version]
- Feng, J.; Benra, F.-K.; Dohmen, H.J. Application of Different Turbulence Models in Unsteady Flow Simulations of a Radial Diffuser Pump. Forsch. Im Ing. 2010, 74, 123–133. [Google Scholar] [CrossRef]
- Yang, X.L.; Long, X.P. Numerical investigation on the jet pump performance based on different turbulence models. IOP Conf. Ser. Earth Environ. Sci. 2012, 15, 052019. [Google Scholar] [CrossRef]
- Bellary, S.; Hussain, A.; Samad, A.; Kanai, R. Performance Optimization of Centrifugal Pump for Crude Oil Delivery. J. Eng. Res. [TJER] 2018, 15, 88–101. [Google Scholar] [CrossRef]
- Elyamin, G.R.; Bassily, M.A.; Khalil, K.Y.; Gomaa, M.S. Effect of impeller blades number on the performance of a centrifugal pump. Alex. Eng. J. 2019, 58, 39–48. [Google Scholar] [CrossRef]
- El-Sadi, H.; Esmail, N. The Effects of Screw Geometry on the Pumping Efficiency of Micro-Screw Pump. Can. J. Chem. Eng. 2008, 83, 944–950. [Google Scholar] [CrossRef]



















| N-S Equations Solver | ANSYS Fluent 20.2 |
|---|---|
| Rotation speed (RPM) | 2900 |
| Inlet | Total Pressure (Pa) |
| Outlet | Mass flow rate (Kg/sec) |
| Walls | No-slip and smooth |
| Working fluid | Water, ρ = 998.2 kg/m3 |
| Turbulence model | Standard K-ε, Realizable K-ε, RNG K-ε and Standard K-ω |
| Discretization in space and time | Second order |
| Convergence criterion | Maximum residual less than 10−6 |
Publisher’s Note: MDPI stays neutral with regard to jurisdictional claims in published maps and institutional affiliations. |
© 2022 by the authors. Licensee MDPI, Basel, Switzerland. This article is an open access article distributed under the terms and conditions of the Creative Commons Attribution (CC BY) license (https://creativecommons.org/licenses/by/4.0/).
Share and Cite
Meerakaviyad, D.; Keville, T.; Prakash, A.; Abdullah, S.; Hamad, F. Effect of Geometric Configuration of the Impeller on the Performance of Liquivac Pump: Single Phase Flow (Water). Fluids 2022, 7, 45. https://doi.org/10.3390/fluids7020045
Meerakaviyad D, Keville T, Prakash A, Abdullah S, Hamad F. Effect of Geometric Configuration of the Impeller on the Performance of Liquivac Pump: Single Phase Flow (Water). Fluids. 2022; 7(2):45. https://doi.org/10.3390/fluids7020045
Chicago/Turabian StyleMeerakaviyad, Deepak, Tony Keville, Atma Prakash, Sajid Abdullah, and Faik Hamad. 2022. "Effect of Geometric Configuration of the Impeller on the Performance of Liquivac Pump: Single Phase Flow (Water)" Fluids 7, no. 2: 45. https://doi.org/10.3390/fluids7020045
APA StyleMeerakaviyad, D., Keville, T., Prakash, A., Abdullah, S., & Hamad, F. (2022). Effect of Geometric Configuration of the Impeller on the Performance of Liquivac Pump: Single Phase Flow (Water). Fluids, 7(2), 45. https://doi.org/10.3390/fluids7020045

