Abstract
The “immersed boundary method (IBM)” is considered to be the most efficacious and versatile technique to solve flow problems associated with intricate geometries. The first part of this review examines recent advancements in IBM, essential for the simulation of “fluid–structure interactions (FSIs)” in sophisticated systems. This review highlights significant developments in turbulence modeling, adaptive mesh refinement, and complex geometric simulations, demonstrating IB methods’ capacity to seamlessly integrate arbitrary geometries into structured computational grids while preserving computational efficiency. Various IB techniques are analyzed for enforcing boundary conditions on dynamic immersed boundaries, with notable breakthroughs in managing velocity discontinuities, spurious oscillations, and large-scale deformations. Recent findings illustrate the versatility of IB methods, with applications encompassing biological fluid dynamics, turbulent multiphase flows, and cavitating flows. These innovations not only enhance computational performance but also address evolving challenges across engineering and scientific fields, establishing IB methods as a robust tool for resolving complex, multidisciplinary problems with high accuracy and efficiency.
1. Introduction
“Fluid–structure interactions (FSIs)” are vital in many technological fields, namely aerospace, biomedical, civil, ocean, and energy engineering. They play a key role in understanding complex processes like the aerodynamic behavior of aircraft, the performance of wind turbine blades, and the movement of biological fluids, such as the operation of synthetic heart valves and blood flow in blood vessels. FSIs are also critical for tackling issues related to the dynamic response of structures like bridges and skyscrapers to wind forces, as well as the interactions occurring within wind farms.
The “immersed boundary method (IBM)” offers a different technique for handling FSI problems that involves complicated geometries and large, unpredictable deformations. Initially developed by Peskin [1] to model the flow of blood in the heart, the immersed boundary (IB) approach solves the Navier–Stokes (N-S) equations based on a static background grid, which can take various forms such as unstructured, cartesian, or curvilinear. The fluid–structure boundary is depicted by separate surface meshes, and its impact on the flow is explained in different IB formulations, either by locally altering the background grid or by adding artificial forces to governing equations. In contrast, with “arbitrary Lagrangian–Eulerian (ALE) methods”, IB techniques offer two key advantages: (1) quick mesh generation without needing to align the mesh with the fluid–structure boundary, which may have a highly intricate shape or undergo sizable deformations, and (2) the ability to handle high-performance flow solvers to resolve the governing equations on a fixed mesh.
Over the past two decades, numerous reviews have examined IBM, each offering valuable insights into different aspects of the field. Notably, Iaccarino and Verzicco [2] reviewed the use of IB techniques in turbulent flow simulations, highlighting their ability to handle complex geometries in turbulence modeling. Mittal and Iaccarino [3] provided a comprehensive overview of IB methods, focusing on their evolution and application to fluid dynamics, particularly in cases involving moving or deforming boundaries. Sotiropoulos and Yang [4] emphasized the use of IB methods in FSI, with a special focus on aerospace applications and the challenges of accurately modeling interactions between fluids and flexible structures. Kim and Choi [5] offered a detailed review of advances in IB methods for FSI, covering a wide range of applications, from biological systems to engineering solutions. The book by Roy et al. [6] served as an in-depth resource on IB methods, exploring their theoretical foundations, numerical techniques, and diverse applications in fields like engineering and biology. Griffith and Patankar [7] discussed the latest developments in IB methods for FSI, emphasizing improvements in computational efficiency and their application in both biological and engineering contexts. In their work, Mittal and Bhardwaj [8] delve into the use of IB methods for thermo-fluid problems, with a particular focus on heat transfer and fluid dynamics simulations. Recently, Verzicco [9] provided a historical perspective on IB methods, tracing their development and offering insights into future directions, with a special emphasis on advancing computational techniques and expanding their use in complex fluid dynamics.
One of the key gaps identified in the literature is the limited focus on recent developments in immersed boundary methods (IBMs) beyond 2020. While several reviews have provided comprehensive insights into various aspects of IBM, the rapid advancements in computational techniques, numerical solvers, and turbulence modeling necessitate a more up-to-date analysis of the field. In the present review, a total of 131 articles post 2020 are analyzed. While our focus is on the post-2020 literature, a discussion on earlier works remains essential for contextualizing these developments within the broader evolution of the field. The foundational contributions to IBM, particularly in turbulence modeling and fluid–structure interactions, have shaped current methodologies and computational frameworks. Furthermore, earlier research provides a benchmark for assessing improvements in numerical accuracy, computational efficiency, and boundary condition enforcement. The challenges identified in pre-2020 studies, such as instability in IBM formulations for highly turbulent flows and difficulties in capturing thin boundary layers, directly inform the motivations behind more recent algorithmic enhancements.
A critical aspect of IBM is its interplay with turbulence modeling, where different flow solvers such as Reynolds-Averaged Navier–Stokes (RANS), Large Eddy Simulation (LES), and Direct Numerical Simulation (DNS) play a crucial role in formulating boundary conditions and accurately resolving flow structures. The integration of IBM with these solvers requires advancements in numerical schemes to ensure stability, accuracy, and computational feasibility, particularly in high-Reynolds-number flows and multi-physics scenarios. Moreover, despite the increasing adoption of IBM in engineering and biomedical applications, challenges remain in improving the stability and accuracy of immersed boundary formulations for highly deformable structures and complex geometries. Thus, it is important to understand how IBM has evolved and where further advancements are still needed for next-generation simulations in fluid dynamics, biomechanics, and aerodynamics.
In this current review, we build on these foundational works by examining the latest trends and applications of IB methods. Our focus includes key areas such as turbulence modeling and complex geometries. The current review provides a multidisciplinary perspective, offering cutting-edge insights and techniques relevant to each of these fields. It bridges gaps between fluid dynamics, computational methods, and real-world applications, enabling professionals from diverse domains to leverage IB methods in their work.
2. Overview of Numerical Framework
A simple overview of the implementation of the IBM is provided. The equations governing the fluid are given by the Navier–Stokes (N-S) Equation (1) and Continuity Equation (2).
where
u (x, t) is the fluid velocity (m/s) at position x (m) and time t (s). p (x, t) is the pressure in Pa, is the density in (kg/m3), is the dynamic viscosity in (Pa·s), and f (x, t) is the body force per unit volume, which represents the presence of the immersed structure in (N/m3).
The immersed structure is often represented as a set of discrete points, typically denoted as X (s, t), where s is the Lagrangian coordinate of the structure. The motion of these points is governed by Newton’s Laws of Motion Equation (3),
where
the structural density is given by in (kg/m3), Fs is the restoring elastic force of the structure in (N), and Fe is the external forces including the fluid force acting on the structure in (N).
The fluid–structure interactions are enforced by velocity interpolation (Equation (4)) and force distribution (Equation (5)).
where
U (s, t) is the Lagrangian velocity in (m/s) and F (s, t) is the structural force in (N).
The force distribution and velocity interpolation are carried out using the Dirac delta function . In the IB method, the structure is modeled using a Lagrangian mesh and the fluid with an Eulerian mesh. The N-S equations are solved on a uniform Cartesian grid using finite difference, finite volume, or spectral methods. The IB method is executed in a time-stepping framework. The fluid velocity and pressure are advanced in time using the N-S equations. The structural forces are determined, and the position of the IB is updated. Coupling is enforced by computing the interaction forces (f) and velocity interpolation (U) between the fluid and structure.
3. Application
3.1. Turbulence Modeling
Initially developed to focus on fluid flow around complex geometries without requiring body-fitted meshes, IBM has since been felicitous for a wide range of applications. The method’s adaptability lies in its ability to efficiently handle moving and deformable boundaries within a fluid domain, making it ideal for capturing the convoluted interactions that occur in turbulent flows. In turbulence, where the flow is often chaotic and multiscale in nature, it presents a significant computational challenge. IBM provides a robust framework for incorporating complex boundary conditions while maintaining accuracy. It is important to understand how fluid solvers impact IBM formulations in turbulence modeling. Table 1 illustrates the application of fluid solvers in an IBM formulation pertaining to turbulent and high-speed flow scenarios.
Table 1.
Recent application of fluid solvers in IBM formulations pertaining to turbulent and high-speed flow scenarios.
3.1.1. Large Eddy Simulation (LES)
Large Eddy Simulation (LES) has emerged as a pivotal tool in computational fluid dynamics (CFD), particularly when combined with the immersed boundary method (IBM) to handle complex geometries and high-speed flows. The synergy between LES and IBM enables high-fidelity simulations of turbulent flows while bypassing the challenges of body-fitted meshing, making it especially attractive for applications involving moving boundaries, intricate geometries, and shock-dominated environments. The LES-IBM framework resolves large-scale turbulent structures while modeling subgrid-scale (SGS) effects, providing an efficient yet accurate approach for high-Reynolds-number flows where traditional methods may struggle.
One of the primary advantages of LES in IBM implementations is its ability to handle turbulence in high-speed flows, where shock waves, boundary layer interactions, and flow separation introduce significant complexities. For instance, Zhang et al. [29] employed an adaptive LES solver with a weighted least square IBM to capture hypersonic flow discontinuities, demonstrating the method’s robustness in resolving shock waves without excessive grid refinement. Similarly, Van Noordt et al. [62] utilized a wall-modeled LES (WMLES) approach with a hypersonic IBM to study shock–boundary layer interactions (SBLIs), highlighting the method’s capability to maintain accuracy on relatively coarse grids. Authors have developed hypersonic IBM for shock–boundary layer interaction studies, as illustrated in Figure 1. The method has been successfully tested in various scenarios, including a turbulent channel for basic validation, “a hypersonic transitional boundary layer”, “a hypersonic shock wave–boundary layer interaction” (Figure 2), and “a hypersonic compression ramp”.
Figure 1.
Irregular faces denoted by red and green circles close to the immersed boundary and points intersecting grid line for viscous flux application (orange circle), illustrating the IBM scheme’s treatment of viscous terms without ghost cells [62].
Figure 2.
Flow visualization of the transitional mentioned shock-wave–boundary layer interaction (SWBLI) [62].
The IBM’s flexibility in handling complex and moving geometries further enhances LES applications in industrial and aerospace settings. Onishi and Tsubokura [31] demonstrated this by using a ghost-cell-based IBM with LES to simulate flows around “dirty” CAD geometries, which are often problematic for conventional mesh generation. Meanwhile, De Vanna et al. [76] applied a sharp-interface IBM (SI-IBM) within a Cartesian grid framework to simulate high-speed flows in aerospace applications, where traditional meshing would be prohibitively expensive. The technique involved combining a wall-modeling technique for LES with an SI-IBM, as shown in Figure 3. Both of these techniques were powered by high-precision numerical schemes. This combination enabled accurate near-wall flow modelling without having to micromanage every detail, as well as effortless handling of complex shapes using simple Cartesian grids, as illustrated by bulk-scaled velocity contours in Figure 4.
Figure 3.
Illustration of the immersed boundary interpolation procedure [76].
Figure 4.
Q-criterion for a pipe flow confined inside an immersed block and instantaneous bulk-scaled velocity contours. Present data refer to the = 6000 configuration [76].
These implementations highlight how LES-IBM combinations can streamline simulations of real-world engineering problems without sacrificing accuracy.
In atmospheric and environmental flows, Arthur et al. [21] evaluated different IBM implementations within the WRF model, focusing on velocity reconstruction techniques for atmospheric boundary layer simulations. Their work demonstrated that IBM could effectively handle terrain-induced turbulence while maintaining compatibility with weather prediction models. Wang and Gorle [38] further extended LES-IBM applications to atmospheric boundary layer flows, using a direct-forcing IBM to study wake dynamics behind obstacles, which is critical for urban wind engineering and pollutant dispersion studies.
For wall-bounded flows, LES-IBM frameworks have been particularly effective in addressing the challenges of high-Reynolds-number turbulence. Ma et al. [36] developed a hybrid IBM-wall model within an LES solver to simulate turbulent channel flows, demonstrating that the approach could accurately capture near-wall dynamics without excessive resolution requirements. Expanding on this, Ma et al. [71] later introduced a roughness-resolving IBM within an LES framework to analyze three-dimensional bump effects in channel flows, showing that the method could replicate surface-induced flow modifications with high fidelity. Similarly, Atmani et al. [53] combined IBM with LES to study pipe flows at high Reynolds numbers, showing that the method remains viable even on coarse grids. These studies illustrate how LES-IBM methodologies can bridge the gap between computational efficiency and physical fidelity in wall-bounded turbulence.
In turbomachinery applications, Jiang et al. [57] resolved complex tip gap flows, offering detailed analyses of tip leakage vortex (TLV)-induced losses in axial compressors and turbines (Figure 5). Various aero foils with different “section parameters”, “pitch angles”, and “tip gap sizes” were analyzed to understand their effects on the “mean flow field”, “turbulence statistics”, and the “trajectory of the “tip leakage vortex (TLV)”, as shown in Figure 6 and Figure 7, respectively. The study identified the gap width as a key parameter influencing TLV, with “larger chords and thicknesses” effectively suppressing TLV, while pitch angle had a minor impact. This approach enabled engineers to optimize rotating machinery performance by understanding intricate fluid dynamics at microscopic scales.
Figure 5.
Schematic of the auxiliary and main simulations. The auxiliary simulation generates a turbulent inlet flow for the main simulation using the “Synthetic Eddy Method (SEM)”. The main simulation models the tip gap flow field between two aero foils with a passage and end wall gap [57].
Figure 6.
Comparison of (a) mean streamwise velocity profile and (b) velocity fluctuation intensity, with model experiments by Muthanna [77] and numerical results by You et al. [78]. The agreement confirms the suitability of the auxiliary simulation’s turbulent inlet flow for the main simulation [57].
Figure 7.
Visualization of instantaneous vortex structures using Q-criterion showing induced vortex, “the tip leakage vortex (TLV), and tip separation vortex (TSV)”. The TLV originates near the blade, moving downstream 20–30% of the axial chord from the leading edge, forming a series of induced vortices [57].
Their work demonstrated the method’s capability to resolve complex vortex interactions near blade tips, which are crucial for performance optimization. Meanwhile, Wang et al. [42] used LES with a wavy boundary analysis technique to study wall-attached coherent structures in traveling wave scenarios, providing insights into flow control mechanisms in both engineering and geophysical contexts.
Beyond aerodynamics, LES-IBM has found applications in marine engineering and atmospheric sciences. Bai et al. [14] employed a basic IBM-FVM coupling within an LES framework to simulate free surface flows around marine turbines, while Wiersema et al. [20] integrated LES-IBM into the Weather Research and Forecasting (WRF) model to enhance urban terrain simulations for weather forecasting. These diverse applications demonstrate the adaptability of LES-IBM across different flow regimes and physical scales.
In conclusion, the integration of LES with IBM has significantly expanded the scope of CFD simulations, particularly in high-speed and turbulent flows. By leveraging LES for turbulence resolution and IBM for geometric flexibility, researchers have been able to tackle complex problems in aerospace, industrial flows, and environmental fluid dynamics with unprecedented efficiency. Future advancements in SGS modeling, adaptive mesh refinement, and high-performance computing will further enhance the capabilities of LES-IBM frameworks, solidifying their role as a cornerstone of modern computational fluid dynamics.
3.1.2. Direct Numerical Simulation (DNS)
Direct Numerical Simulation (DNS) represents the highest-fidelity approach in computational fluid dynamics, resolving all relevant turbulent scales without modeling approximations. When combined with the immersed boundary method (IBM), DNS provides an unparalleled tool for investigating fundamental turbulence physics in complex geometries. This powerful combination has enabled breakthroughs in understanding wall-bounded turbulence, multiphase flows, and vortex dynamics, where an exact representation of boundary effects is crucial. Unlike LES or RANS approaches, DNS-IBM captures the complete spectrum of turbulent structures while maintaining geometric flexibility, making it indispensable for fundamental research despite its computational intensity.
The DNS-IBM framework has proven particularly valuable for studying wall turbulence and boundary layer dynamics. Yoon et al. [19] employed DNS with IBM to classify turbulent structures in boundary layers, revealing new insights into the organization of near-wall turbulence. Their work demonstrated how IBM can accurately represent wall effects while maintaining the resolution required for DNS. This capability was further extended by Ma et al. [25] and Ma et al. [72], who developed roughness-resolving IBM techniques within DNS to examine both primary and secondary flow motions induced by rough walls. The study examined a homogeneous random arrangement and a clustered arrangement, both compared to a smooth wall. Although there were minimal differences in the mean streamwise velocity variation, the clustered arrangement generated large-scale secondary motions resulting in alternating high-momentum pathways and low-momentum pathways in the time-averaged velocity (Figure 8).
Figure 8.
Isosurfaces of the wall-attached and wall-detached u′ clusters in the instantaneous flow field for (a) R1 and (b) R2. The brightness of the color bars represents the wall-normal distance from the wall [72].
These studies provide fundamental knowledge about the roughness effects that inform turbulence modeling across various applications. The analysis of turbulent/non-turbulent interfaces (TNTIs) by Hwang et al. [26] and Yang et al. [27] further showcased DNS-IBM’s ability to capture intricate flow features, particularly in boundary layers with adverse pressure gradients where traditional methods often struggle.
In multiphase and particle-laden flows, DNS-IBM has enabled an unprecedented examination of fluid–particle interactions. Zhou et al. [23] implemented Lagrangian particle tracking within a DNS-IBM framework to study particle dispersion in channel turbulence, revealing complex modulation mechanisms between particles and turbulent structures. Cui et al. [48] expanded this approach to investigate fiber and disk alignment in turbulent flows, demonstrating how IBM can handle complex particle shapes while maintaining DNS accuracy. These studies highlight DNS-IBM’s unique capability to resolve both the smallest flow scales and intricate boundary conditions simultaneously, a requirement for understanding multiphase turbulence.
Vortex dynamics and complex flow patterns represent another area where DNS-IBM has made significant contributions. Kasbaoui et al. [47] developed a semi-implicit moving IBM (MIBM) for DNS of swirling von Kármán flows, capturing intricate vortex interactions that would be challenging with conventional methods. Giannenas and Laizet [44] introduced a cubic spline IBM within a DNS framework capable of handling both fixed and moving objects on Cartesian meshes, significantly improving accuracy for complex geometries. These implementations demonstrate how DNS-IBM can maintain high fidelity while simulating flows with moving boundaries and strong vortical structures.
The method has also advanced the understanding of wave–turbulence interactions and jet flows. Wang et al. [22] used DNS-IBM to study energy transfer mechanisms in surface wave flows, providing new insights into this complex interaction. Secchi et al. [52] conducted a direct comparison between IBM and penalization methods (PFAs) for turbulent jet impingement on rough plates, establishing best practices for DNS of such flows. These applications underscore DNS-IBM’s versatility across different flow regimes, from wall-bounded turbulence to free shear flows.
From an implementation perspective, DNS-IBM presents unique computational challenges that have driven innovations in high-performance computing. Kang et al. [39] optimized DNS-IBM for many-core architectures like Intel Xeon Phi, demonstrating how algorithmic improvements can make these computationally intensive simulations more feasible. Such advancements are crucial as the scientific community pushes DNS-IBM toward higher Reynolds numbers and more complex geometries.
In conclusion, the integration of DNS with IBM has created a powerful paradigm for fundamental turbulence research. By providing exact solutions to the Navier–Stokes equations while handling complex boundaries, DNS-IBM has yielded transformative insights into wall turbulence, multiphase flows, and vortex dynamics that would be unattainable with other methods. While computational costs remain significant, ongoing advancements in numerical algorithms and high-performance computing continue to expand the frontiers of DNS-IBM applications. As these capabilities grow, DNS-IBM will remain essential for uncovering the fundamental physics of turbulence and validating modeling approaches across the spectrum of computational fluid dynamics.
3.1.3. Reynolds-Averaged Navier–Stokes Equations (RANS)
The combination of Reynolds-Averaged Navier–Stokes (RANS) solvers with immersed boundary methods (IBMs) has emerged as a powerful and computationally efficient approach for simulating turbulent flows around complex geometries. This hybrid methodology bridges the gap between geometric flexibility and turbulence modeling, making it particularly valuable for industrial applications where both accuracy and computational efficiency are paramount. Unlike DNS or LES approaches that resolve turbulent structures directly, RANS-IBM frameworks rely on turbulence modeling while maintaining the geometric advantages of IBM, creating a practical solution for engineering-scale problems.
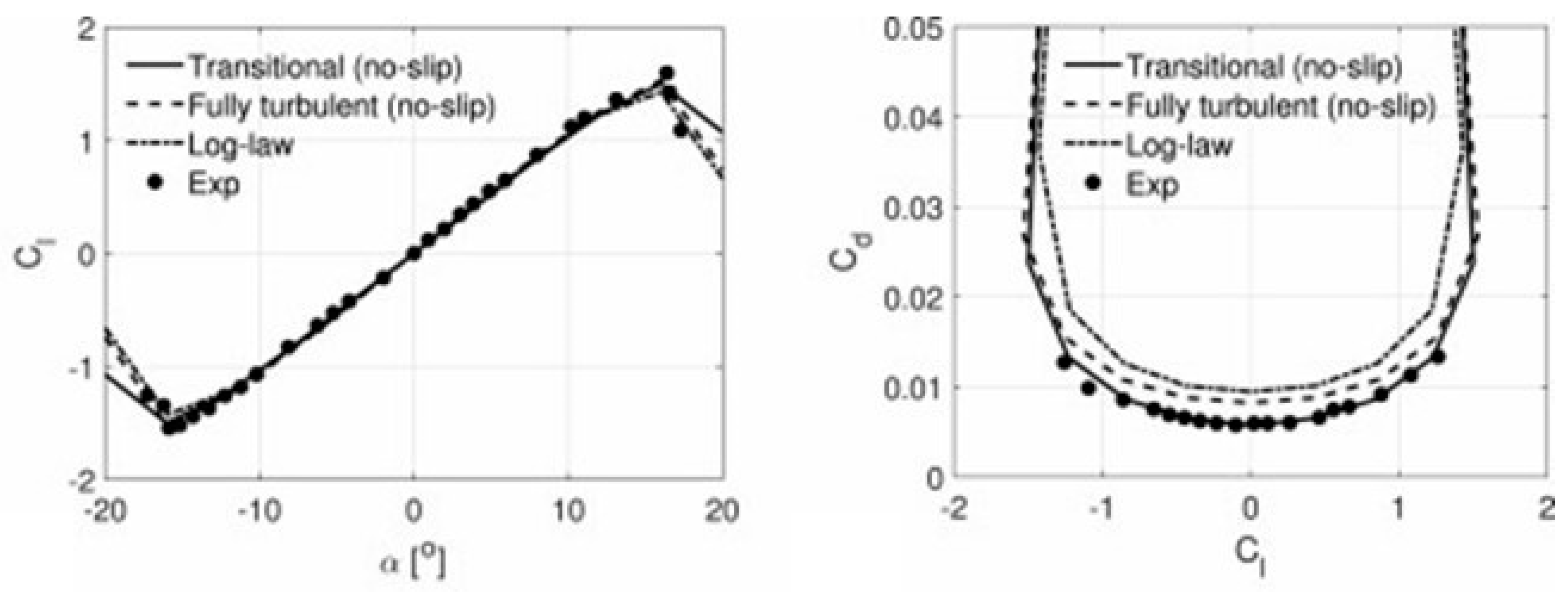
The development of wall treatment strategies has been central to advancing RANS-IBM capabilities for high-Reynolds-number flows. Choi et al. [10] pioneered this approach by integrating a level-set IBM with power-law wall modeling, demonstrating how RANS could be effectively coupled with IBM for three-dimensional incompressible flows. This work laid the foundation for subsequent advancements in near-wall treatment, including Capizzano’s [13] two-layer wall-modeled IBM that significantly improved turbulence predictions for wall-bounded flows. The importance of proper wall modeling was further emphasized by Tamaki and Imamura [16], who developed a wall-function IBM specifically for transonic flows with high-angle separation, showcasing the method’s ability to handle challenging aerodynamic conditions. These developments collectively addressed one of the most critical challenges in RANS-IBM implementations—accurate near-wall turbulence prediction without explicit boundary-conforming meshes. These works were subsequently refined by researchers like Troldborg et al. [59], who developed specialized wall-function IBM implementations for aerodynamic applications. The method incorporated two different wall functions to simulate near-wall flow and the k − ω − SST turbulence model, as shown in Figure 9. The aerodynamics co-efficient predicted on the body-conforming mesh is provided in Figure 10.
Figure 9.
Schematic of the two-dimensional IB, partitioned into unstructured triangles forming a watertight surface. Hole faces (HFs) enclose the IB, creating a closed surface in the grid [59].
Figure 10.
Co-efficient of lift and drag estimated on body-conforming mesh such that boundary layers are resolved using no-slip conditions [59].
Recent work by Cai et al. [35] has significantly advanced wall-model coupling techniques for high-Reynolds-number flows on Cartesian grids, demonstrating improved accuracy in the SA-fv3 framework. Similarly, Chen et al. [68] made important contributions to fan aerodynamics through their URANS implementation with wall-function IBM for ANCF rotor validation. These studies highlight ongoing innovations in turbulence modeling within RANS-IBM frameworks. The geometric flexibility of RANS-IBM has enabled its application across diverse flow regimes, from internal flows to external aerodynamics. In turbomachinery applications, Chen et al. [33] and Wang et al. [69] demonstrated the effectiveness of URANS-IBM approaches for capturing rotor–stator interactions and aero-engine internal flows, respectively. The approach combined a hybrid mesh strategy that uses a structured mesh and single block to represent the physical domain while employing the IB method to model internal walls, as shown in Figure 11. To handle situations where large-aspect-ratio cells are near the walls, an “Adaptive Forcing Distance (AFD)” technique was introduced which determines the forcing point locations. This extension of the IB method to curvilinear grids allowed the domain boundaries to be determined by a body-fitted mesh.
Figure 11.
Schematic of surrounding grid cells and wall classified into solid, boundary, and fluid cells for imposing immersed wall boundary conditions [69].
The method’s ability to handle complex moving boundaries proved particularly valuable in these applications. Similarly, in external aerodynamics, Kubo et al. [45] implemented a level-set topology IBM with k-ω SST turbulence modeling for two-dimensional flow optimization, while Troldborg et al. [46] extended the approach to forest meteorology applications using specialized wall-function implementations. These varied applications underscore the adaptability of RANS-IBM frameworks to different physical domains and engineering requirements.
Recent advancements have focused on improving numerical robustness and accuracy in RANS-IBM implementations. Constant et al. [41] and Cai et al. [70] both addressed the critical issue of spurious oscillations in turbulent flow simulations, developing improved Cartesian IBM formulations that maintain solution fidelity. Xu and Liu [37] contributed to these efforts with their y+-adaptive IBM that provided smooth wall shear stress predictions on complex geometries. Meanwhile, Du et al. [61] introduced a novel DI-IBM with auxiliary layers specifically designed for high-Reynolds-number boundary layer simulations. These methodological improvements have significantly enhanced the reliability of RANS-IBM for industrial applications, where solution quality cannot be compromised.
The RANS-IBM approach has shown particular promise in handling compressible and supersonic flow regimes. Ghosh et al. [12] developed a hybrid LES/RANS-IBM framework for shock–boundary layer interaction at Mach 2.5, incorporating innovative bleed modeling for perforated surfaces. De Tullio et al. [11] earlier demonstrated the potential of sharp-interface IBM with adaptive mesh refinement (AMR) for compressible flows, establishing a template for later developments. These implementations highlight how RANS-IBM can be extended beyond traditional incompressible flow applications to more challenging high-speed regimes.
Urban and environmental applications have also benefited from RANS-IBM methodologies. Mitkov et al. [63] implemented the IBOFlow® solver for urban wind simulations, addressing the complex microclimate challenges posed by building clusters. Ryan et al. [66] applied a Cartesian mesh IBM to chemical, biological, and radiological (CBR) dispersion modeling, demonstrating the method’s utility for public safety applications, as shown in Figure 12. It emphasized the use of CFD for dispersion modeling of gases, particularly the combination of structured Cartesian meshes and IBM to reduce modeling efforts.
Figure 12.
Terrain and building surface contour of sulfur hexafluoride tracer concentration at 600 s for IOP3 (left) and IOP9 (right). Fast response tracer analyzer locations shown as red spheres [66].
The temporal resolution of unsteady flows represents another area where RANS-IBM has made significant contributions. Specklin and Delauré [15] and Sugaya et al. [49] both developed approaches for moving geometries, with the latter implementing high-order schemes on moving Cartesian grids. Park et al. [58] extended these capabilities to rotorcraft and ship air wake simulations using a wall-function IBM within a hybrid LES/RANS framework. These developments have expanded the applicability of RANS-IBM to time-dependent problems traditionally considered challenging for RANS approaches.
Looking forward, the work of de Albuquerque et al. [60] on IMERSPEC combined with the Spalart–Allmaras model points to ongoing innovations in RANS-IBM methodologies. Their approach to fully developed channel flow demonstrates the continued potential for improving the fundamental accuracy of these simulations. As computational resources grow and algorithms advance, RANS-IBM frameworks are poised to become even more prevalent in industrial CFD applications.
In conclusion, the integration of RANS solvers with immersed boundary methods has created a versatile and practical framework for turbulent flow simulations across numerous engineering disciplines. By combining the computational efficiency of RANS turbulence modeling with the geometric flexibility of IBM, researchers and engineers can tackle complex flow problems that would be prohibitively expensive with traditional body-fitted approaches. The continued development of wall treatments, numerical schemes, and turbulence modeling adaptations ensures that RANS-IBM will remain at the forefront of industrial CFD applications, providing reliable solutions for challenges ranging from aerodynamics to urban flow modeling. As the methodology matures, we can expect further refinements that will expand its applicability to even more demanding flow conditions and complex geometries.
3.1.4. Hybrid Solvers
The implementation of immersed boundary methods (IBMs) across diverse fluid solvers has revolutionized computational fluid dynamics by enabling the efficient simulation of complex geometries while maintaining solution accuracy. This versatility stems from the ability to adapt IBM to various numerical frameworks, from lattice Boltzmann methods (LBMs) to traditional Navier–Stokes solvers, each offering unique advantages for specific flow regimes. The coupling between fluid solvers and IBM techniques has proven particularly valuable for turbulent flow simulations, where accurate boundary representation is crucial yet traditional body-fitted meshes become computationally prohibitive.
Lattice Boltzmann methods have emerged as particularly effective partners for IBM, benefiting from their inherent parallelizability and particle-based nature. Xu et al. [17] demonstrated this synergy through their adaptive-refinement IB-LBM approach, which efficiently handled a wide range of Reynolds numbers by dynamically adjusting grid resolution near boundaries. This capability was further enhanced by Agarwal et al. [24], who combined IB-LBM with LES modeling for turbulent duct flows past square cylinders, showing how the method could capture complex vortex shedding patterns. The flexibility of LBM-IBM systems was extended to fluid–structure interaction problems by Specklin et al. [18] in wastewater pump applications, and later refined by Cheylan et al. [74], whose Lagrangian weight IBM achieved significant error reduction in moving boundary simulations. They achieved a remarkable 20% error reduction in fluid–structure interaction problems using Lagrangian weight IBM (Figure 13) with isosurface representation, as shown in Figure 14.
Figure 13.
Illustration of the delta function and IBM. The dashed square marks the application field of the δ mollifier function, a solid represented by the blue region. The Lagrangian marker interpolates velocity and density fields from surrounding fluid nodes [74].
Figure 14.
Isosurface of Q-criterion colored by velocity magnitude, showing hairpin-like structures shed during each flap [74].
These developments highlight how LBM’s kinetic theory foundation complements IBM’s geometric flexibility for both laminar and turbulent flow regimes.
For high-speed compressible flows, traditional finite-volume and finite-difference solvers paired with IBM have demonstrated remarkable capabilities. Wang et al. [28] implemented a sharp-interface IBM within OpenFOAM’s rhoCentralFoam solver for hypersonic applications, preserving shock-capturing accuracy while avoiding body-fitted mesh generation. Similarly, Shallcross et al. [56] developed a characteristic-based penalization method for compressible Navier–Stokes equations, maintaining numerical stability in hypersonic regimes. The treatment of compressible flows was further advanced by Choung et al. [40] through their nonlinear weighting process (NWIBM) for Euler equation solvers, demonstrating improved boundary layer resolution. These implementations showcase how IBM can maintain solution fidelity in compressible flow solvers where shock–boundary interactions are critical.
Specialized Riemann solvers have also proven effective when combined with IBM frameworks, particularly for combustion and propulsion applications. Lin et al. [50,73] implemented HLCC Riemann solvers with IBM for solid rocket motor simulations, capturing complex flow features in combustion chambers. Cao and Huang [51] enhanced this approach by incorporating Bayesian calibration with an exact Riemann solver, enabling uncertainty quantification in transonic buffeting predictions. The non-conforming mesh used in embedded boundary framework and AGARD transonic buffeting illustrations of the fluid–structure solution at t = 0.025 s, t = 0.05 s, t = 0.075 s, t = 0.10 s (left to right) with Mach contour in the fluid and pressure coefficient on the wing are provided in Figure 15 and Figure 16, respectively.
Figure 15.
Representation of embedded boundary framework [51].
Figure 16.
AGARD wing transonic buffeting [51].
The treatment of turbulent flows has particularly benefited from advanced IBM implementations in Navier–Stokes solvers. Liao and Yang [34] developed the CURVIB method within a Newton–Krylov framework, significantly improving near-wall turbulence predictions for curvilinear flows. Unglehrt et al. [64] extended these capabilities through their symmetry-preserving IBM in the MGLET solver, enabling accurate Large Eddy Simulations with complex geometries. For industrial applications, Giannenas et al. [55] combined CAD modeling with their ADR-IBM implementation in InCompact3D, achieving high-fidelity simulations of rotor aerodynamics. These approaches demonstrate how IBM can bridge the gap between accurate turbulence modeling and practical engineering geometries.
Recent advancements have focused on improving numerical robustness and mesh flexibility. Tsvetkova et al. [30] and Bale et al. [43] developed topology-free and moving-least squares IBM approaches, respectively, simplifying mesh generation while maintaining accuracy. Kubíčková and Isoz [67] implemented their HFDIB method in OpenFOAM’s SIMPLE solver for topology optimization, demonstrating IBM’s potential for design applications. These methodological innovations have expanded IBM’s applicability to increasingly complex engineering problems, where traditional meshing approaches would be impractical.
Hypersonic flow simulations represent another area where fluid solver–IBM combinations have shown remarkable success. Başkaya et al. [75] coupled their CNE/GSI IBM with the Mutation++ solver for atmospheric re-entry simulations, capturing nonequilibrium chemistry effects. This work builds upon earlier compressible flow implementations by demonstrating IBM’s capability to handle coupled physico-chemical phenomena at extreme conditions. The method’s geometric flexibility proves particularly valuable for re-entry vehicle analysis where ablation and shape change complicate traditional mesh approaches.
For fundamental turbulence studies, Capuano et al. [65] conducted a comprehensive comparison of IBM implementations across OpenFOAM and Nek5000 solvers for separated flows, providing valuable benchmarks for the community. Their work on sphere flow at Re = 3700 established best practices for the IBM treatment of separation and wake dynamics. Similarly, Kang and Masud [54] developed a variational IBM within a GMRES framework for train aerodynamics, demonstrating how solver–IBM combinations can be optimized for specific industrial applications. The integration points for volume and surface are provided in Figure 17, and instantaneous velocity fields along the train surface are provided in Figure 18.
Figure 17.
Integration points for volume and surface integration around the immersed boundary. (a) Volume integration points, with blue points outside the surface and red points inside. (b) Surface integration points, with different colors marking elements and black lines representing surface triangle boundaries [54].
Figure 18.
(a) Instantaneous velocity field showing boundary layer development and transition to turbulence along the train surface. (b) Vorticity contours illustrating turbulent regime at the trailing edge. (c) Pressure field on the train’s immersed surface with streamlines in the surrounding fluid domain, using projection for surface pressure computation. (d) Iso-vorticity surface depicting initiation, growth, and separation of vortical structures around the train geometry [54].
The evolution of fluid solver–IBM combinations has also addressed critical numerical challenges. Tamaki and Imamura [32] improved flux reconstruction accuracy in their Roe solver implementation. These developments have progressively removed the traditional limitations associated with non-body-conformal methods, making IBM an increasingly attractive option for industrial CFD applications.
In conclusion, the integration of immersed boundary methods with diverse fluid solvers has created a powerful paradigm for turbulent flow simulations across engineering and scientific applications. From LBM’s particle-based approaches to specialized Riemann solvers for combustion, each fluid solver brings unique advantages that IBM enhances through geometric flexibility. The methodology has proven particularly valuable for high-speed flows, complex geometries, and moving boundary problems, where traditional meshing approaches struggle. As solver technologies advance and IBM formulations become more sophisticated, this synergy will continue to expand the frontiers of computational fluid dynamics, enabling accurate simulations of increasingly complex physical phenomena while reducing preprocessing overhead. Future developments will likely focus on enhanced turbulence modeling, multiphysics coupling, and uncertainty quantification within IBM frameworks, further solidifying their role in industrial and scientific computing.
3.1.5. Influence of Fluid Solver on IBM Formulation
The implementation of the immersed boundary method (IBM) is heavily influenced by the choice of fluid solvers, which directly impact numerical accuracy, computational efficiency, and adaptability to complex geometries. Various fluid solvers and discretization schemes, including finite volume, finite difference, lattice Boltzmann, and DNS/pseudo-spectral methods, have been integrated with IBMs to tackle challenging flow problems. High-resolution methods like WENO and spectral DNS have improved IBM’s accuracy in resolving turbulent flows, while Large Eddy Simulations (LESs) and wall-modeled LES (WMLESs) have enhanced IBM’s capability for high-Reynolds-number applications. Additionally, OpenFOAM-based IBM implementations have gained traction for industrial applications due to their flexibility in handling moving boundaries and unstructured meshes. Application-wise, IBM advancements have enabled breakthroughs in high-speed aerodynamics, atmospheric flows, turbomachinery, and biofluid dynamics. For instance, IBM implementations in LES and DNS frameworks have provided deeper insights into wall-bounded turbulence, roughness effects, and shock–boundary layer interactions in hypersonic and aerospace flows. Moreover, IBM’s role in environmental and engineering applications has expanded, with studies on urban wind simulations, rotor aerodynamics, and combustion modeling demonstrating its potential in tackling real-world fluid dynamics challenges. The continuous evolution of IBM methodologies, supported by advanced fluid solvers, signifies its growing impact across scientific and engineering disciplines.
3.2. Complex Rigid Geometries
In computational methods, IBM delivers a unique solution for handling boundary conditions and complex geometries that would otherwise require sophisticated mesh generation. The method’s competency to immerse arbitrary geometries into a systemized grid makes it highly efficient for handling problems in aerodynamics, biomechanics, and environmental fluid dynamics. This section examines the boundary treatment and diverse applications of the IBM across computational fields, featuring its contributions to enhancements in accuracy, reductions in computational costs, and aiding in more realistic simulations.
3.2.1. Diffuse Interface
The diffuse interface approach to immersed boundary methods (IBMs) has emerged as a powerful paradigm for simulating complex fluid–structure interaction (FSI) problems, offering distinct advantages over sharp-interface methods in handling moving boundaries, complex geometries, and multiphase systems. This methodology, characterized by its smoothed representation of boundaries across multiple grid points, has been successfully implemented across a spectrum of fluid solvers, each contributing unique capabilities tailored to specific application requirements. The fundamental philosophy of diffuse IBMs lie in their distribution of boundary effects over a finite thickness region, enabling robust handling of problems where boundary motion, deformation, or topological changes would challenge traditional sharp-interface approaches. Table 2 summarizes the recent literature pertaining to DI-IBM, along with its corresponding application areas.
Table 2.
Recent advancement pertaining to DI-IBM for handling complex geometries.
The historical development of diffuse IBM owes much to foundational work by Lai and Peskin [79], whose second-order spectral method with reduced numerical viscosity established key principles for accurate boundary treatment in general CFD applications. This early work influenced subsequent developments in regularization techniques, including Shin et al.’s [83] comprehensive assessment of delta functions for IB forcing schemes, which provided critical guidance for implementing diffuse boundaries across different numerical frameworks. Ji et al. [84] built upon these foundations with their iterative direct-forcing IB method for finite volume solvers, demonstrating how diffuse IBM could be effectively adapted to industrial CFD codes.
Lattice Boltzmann method (LBM) solvers have demonstrated particular synergy with diffuse IBM implementations, owing to their kinetic theory foundation and natural parallelism. Valero-Lara’s pioneering work [85,87,88] established GPU-accelerated IB-LBM frameworks that revolutionized solid–fluid interaction simulations by distributing boundary forces across lattice nodes near immersed surfaces. This approach was extended by Dash [86,92] through flexible forcing schemes that improved accuracy for flow past spheres and general FSI problems. Tao et al. [93], through their non-iterative IB-LBM, significantly improved computational efficiency for fluid–solid flows while maintaining solution accuracy. Zhang et al. [99] further enhanced these capabilities with their relaxed multi-direct-forcing IB-LBM, achieving superior performance on GPU architectures through optimized force distribution schemes. The diffuse nature of these LBM-IBM implementations proved especially valuable for viscoplastic fluid simulations, as demonstrated by Kefayati et al. [90], where the method successfully captured yield stress behavior and fluid–structure coupling. Recent advancements by Wang et al. [103] incorporated Navier-slip conditions into IB-LBM, enabling the more accurate treatment of solid–fluid interaction problems, where slip boundary effects are significant. Further advancements by Zhang et al. [111] and Cong et al. [112] have enhanced stability and moving boundary treatment in IB-LBM, incorporating level-set functions and volume-of-solid approaches to better define the diffuse interface region.
For Large Eddy Simulations of complex flows, Wang et al. [89] developed an implicit direct-forcing IBM that successfully handled moving boundaries while maintaining LES solution fidelity. This approach demonstrated how diffuse IBM concepts could be extended to turbulent flow simulations where both boundary motion and subgrid-scale modeling must be addressed simultaneously. The treatment of constrained FSI problems was advanced by Wang et al. [101] through their monolithic framework combining implicit velocity decoupling with diffuse IBM principles, offering improved stability for problems involving strong fluid–structure coupling.
Recent innovations in boundary condition enforcement have further expanded diffuse IBM capabilities. Zhao et al. [104] developed an efficient BC-enforced IBM within LBM frameworks that improved accuracy for moving boundary problems while maintaining computational efficiency. For industrial applications using finite-volume methods, Sela et al. [105] implemented a semi-implicit direct forcing IBM in SIMPLE-based solvers, demonstrating robust performance for moving-body simulations in practical engineering contexts. These developments collectively showcase how diffuse IBM implementations have evolved to address diverse application needs while maintaining numerical robustness.
Spectral methods have contributed significantly to diffuse IBM development, particularly through the immersed boundary smooth extension (IBSE) approach. Stein et al. [91] and Huang et al. [102] implemented this methodology for polymeric flows and Stefan problems, respectively, demonstrating how spectral accuracy can be maintained despite the diffuse boundary representation. The IBSE framework preserves high-order convergence by smoothly extending the solution across the immersed boundary, a feature particularly valuable for problems requiring the precise resolution of boundary layers or phase interfaces.
For finite-element and finite-volume implementations, the diffuse IBM has enabled new capabilities in handling complex boundary conditions. Bale et al. [98] developed a constraint IBM with stencil penalization that effectively enforced Neumann boundary conditions in projection method solvers, while Vadala-Roth et al. [96] created a stabilized hyperelastic IBM within the IBAMR framework, capable of handling large deformations. These implementations showcase how a diffuse IBM can be adapted to different numerical frameworks while maintaining essential conservation properties. The fractional step method has proven particularly amenable to diffuse IBMs, as evidenced by Pan’s volume-of-body function approach [81] and Taira and Colonius’s immersed boundary projection method [82], both of which achieved robust solutions for incompressible flows with moving boundaries.
The application spectrum of diffuse IBMs reveals their remarkable versatility across engineering and scientific domains. In biomedical flows, the method’s ability to handle flexible boundaries has enabled breakthroughs in large-deformation FSI simulations, as demonstrated by Ma et al. [97] for viscoelastic fluids. For particulate flows, Abbati et al. [106] developed a diffuse interface IBM that accurately resolved particle–fluid interactions without explicit boundary tracking. Wind engineering applications have benefited from Wang and Cao’s [107] LES-based diffuse IBM for bridge aerodynamics, where the method captured complex vortex–structure interactions. In emerging fields like electrical impedance tomography, Dardé et al. [109] adapted diffuse IBM principles to electrode modeling, demonstrating the methodology’s cross-disciplinary potential.
The performance and accuracy of diffuse IBM implementations are deeply intertwined with their underlying fluid solvers. LBM-based approaches, such as those by Peng et al. [94,95] and Sikdar et al. [110], excel in parallel scalability and complex boundary handling but may face challenges in compressible flow regimes. In contrast, spectral methods like those of Chen and Peskin [114] offer superior accuracy for smooth problems but require structured grids. Projection and fractional step methods, exemplified by Griffith and Peskin [80] and Zhou et al. [100], provide robust incompressible flow solutions with good conservation properties, making them ideal for industrial FSI applications. The choice of solver–IBM combination ultimately depends on the target application’s specific requirements for accuracy, computational efficiency, and boundary complexity.
Recent trends in diffuse IBM development focus on enhancing stability and efficiency for challenging flow regimes. Yu and Pantano’s [108] half-explicit Runge–Kutta approach with implicit body force treatment improved performance for compressible flows, while Fang and Tan’s [113] efficient multi-direct forcing scheme optimized LBM-based IBM for large-scale simulations. Recent work by Gruninger et al. [115] provides comprehensive benchmarking for viscoelastic flows, establishing best practices for complex geometries, as shown in Figure 19 and Figure 20, respectively.
Figure 19.
Contraction–expansion slit structure [115].
Figure 20.
Depiction of a two-dimensional steady Rolie-Poly flow passing through a contraction–expansion slit [115].
In conclusion, diffuse immersed boundary methods have evolved into a versatile framework for tackling some of the most challenging problems in computational fluid dynamics. By distributing boundary effects across a finite region and leveraging the strengths of diverse fluid solvers, these methods successfully bridge the gap between geometric complexity and numerical efficiency. The continued development of LBM, spectral, and finite-volume-based diffuse IBM implementations promises to further expand the methodology’s applicability to emerging challenges in multiphysics simulations, high-performance computing, and complex FSI problems. As computational resources grow and algorithms mature, diffuse IBMs are poised to become an increasingly indispensable tool across scientific and engineering disciplines, offering a robust alternative to traditional boundary-conforming approaches while maintaining high fidelity in flow prediction. Future research directions will likely focus on improved boundary layer resolution, enhanced stability for extreme deformation cases, and tighter integration with machine learning techniques for adaptive boundary treatment.
3.2.2. Sharp Interface
Sharp-interface immersed boundary methods (IBMs) have established themselves as a powerful computational framework for simulating complex fluid flows with intricate geometries, offering distinct advantages in accuracy and boundary condition enforcement compared to their diffuse counterparts. These methods maintain a precise, non-smoothed representation of immersed boundaries while operating on non-conformal grids, making them particularly valuable for problems requiring exact boundary condition satisfaction. The development of sharp IBM implementations across various fluid solvers has created a rich ecosystem of numerical approaches tailored to specific application requirements, from incompressible flows to compressible shock-dominated scenarios. Table 3 summarizes the recent literature pertaining to SI-IBM, along with its corresponding application areas.
Table 3.
Recent advancement pertaining to SI-IBM for handling complex geometries.
The fractional step method has served as a foundational framework for many sharp IBM implementations, particularly for incompressible flow simulations. Fadlun et al. [116] pioneered this approach with their three-dimensional complex flow simulations, demonstrating how sharp IBM could handle intricate geometries without body-fitted meshes. This work was extended by Kim et al. [117] through their IB-FV method, which improved geometric flexibility while maintaining solution accuracy. Gilmanov et al. [118,119] made significant contributions to the field with their general reconstruction algorithms for three-dimensional immersed boundaries, enabling accurate simulations on Cartesian grids for both stationary and moving bodies. The versatility of fractional step-based sharp IBM was further demonstrated by Kim and Choi [120] for arbitrarily moving bodies and Zhang and Zheng [121] through their improved direct-forcing approach, which enhanced numerical stability for finite difference schemes. This work was extended by Mittal et al. [123], who developed a versatile sharp-interface IB method capable of handling complex boundaries with improved accuracy. The versatility of fractional step-based sharp IBM was further demonstrated by Su et al. [144] through their well-defined grid line IBM, which provided enhanced accuracy for incompressible flow simulations, and Lauber et al. [154], who implemented a boundary data immersion method specifically designed for thin membranes.
Spectral methods have played a crucial role in advancing high-accuracy sharp IBM implementations, particularly for problems requiring precise boundary layer resolution. Husain and Floryan [122,124,126,127] developed a series of spectrally accurate moving boundary algorithms that set new standards for numerical precision in unsteady flow simulations. Their work on over-determined IB conditions [125] and implicit spectrally accurate methods demonstrated how spectral solvers could maintain exceptional accuracy even with complex immersed boundaries. Sakib et al. [129] later extended these concepts to the three-dimensional spectral analysis of rough boundary flows, showcasing the method’s capability for challenging surface geometries.
For compressible flow applications, sharp IBM implementations have demonstrated remarkable success in handling shock–boundary interactions. Zhang et al. [133] developed an improved ghost-cell IBM within a fractional step framework specifically designed for shock/obstacle interactions, while Wang et al. [153] implemented a ghost-cell method with hybrid reconstruction in a Riemann solver for general compressible flows. These approaches maintain sharp-interface representation while accommodating the unique challenges of compressible flow physics. Kristoffersen et al. [163] pushed these capabilities further with their three-dimensional sharp-interface ghost node IBM for compressible flows, demonstrating high-order accuracy in challenging flow regimes. Yuan and Zhong [131] developed a gas-kinetic BGK-based IBM that uniquely handled both compressible and incompressible flows with complex boundaries, while Ou et al. [160] created a directional ghost-cell IBM specifically optimized for reacting flows in DNS simulations. These approaches maintain sharp-interface representation while accommodating the unique challenges of compressible flow physics, with Li et al. [169] later extending these capabilities through their sharp-interface IBM for thin-walled geometries in compressible flows using a Roe approximate Riemann solver (Figure 21 and Figure 22).
Figure 21.
(a) Color-based velocity magnitude of the vorticity isosurface (Li et al., 2023 [169]). (b) Counters portraying the mean velocity intensities along the streamlines. (c) Contours of pressure fluctuation for spanwise- and phase-averaged flow fields and assessed, comparing the average velocity profile (d) at the plate’s edge and (e) downstream with the result of Yokoyama et al. [172].
Figure 22.
(a) Representation of the interpolation stencil employed. Fluid cells within one grid spacing on either side of the wall are delegated interface cells. These cells enforce boundary conditions using a wall point and a virtual point. (b,c) Interface cell’s interpolation stencils positioned near the corner of an IB. (d) Displays the interpolation stencil when an implicit boundary surface intersects with a mesh point. The red triangle stands for wall-interface cell.
The treatment of fluid–structure interaction (FSI) problems has particularly benefited from advanced sharp IBM implementations. Kumar and Roy [128] addressed persistent pressure fluctuation issues in moving/deformable body simulations through their semi-implicit IBM, significantly improving solution stability. Lin et al. [135] developed a target-fixed IB approach for rigid body FSIs within a projection method framework, offering enhanced accuracy for flow–structure coupling. More recently, Nair and Goza [156] created a strongly coupled IBM in a finite element framework that improved FSI simulation efficiency, while Lauber et al. [167] combined an IBM with finite element methods for membrane and shell structures undergoing large deformations. Tian et al. [146] improved a penalty IBM within a finite element fluid solver for transient FSI problems, demonstrating superior stability for strongly coupled simulations. Xu et al. [168] later developed a discretized IBM (DIBM) within a CgLES framework that improved the handling of moving and deforming solids. These specialized implementations addressed long-standing challenges in FSI simulations with sharp interfaces.
Industrial applications of sharp IBM have driven innovations in computational efficiency and parallel implementation. Shah et al. [134] developed an OpenMP parallelized IBM that significantly accelerated FSI simulations, making the method more practical for large-scale engineering problems. Raj et al. [164] implemented a GPU-accelerated sharp-interface IBM using the marker and cell method, demonstrating impressive performance gains for versatile geometries. This method utilized a modified signed distance algorithm for accurate geometry tracking, as shown in Figure 23.
Figure 23.
Illustration of the reconstruction process at the intercepted cells [164].
The vortical structures of the robotic butterfly for different mean positions are shown in Figure 24 and Figure 25, respectively. These advancements have been crucial for adopting sharp IBM in industrial CFD workflows, where both accuracy and computational efficiency are paramount. Yousefzadeh and Battiato [132] implemented a high-order ghost-cell IBM in SIMPLE solvers that handled generalized boundary conditions with improved accuracy, while Gsell and Favier [149] developed a direct-forcing IBM with slip correction in LBM frameworks that significantly reduced boundary errors. Keslerová et al. [165] later created a novel SIMPLE-based solver with sharp IBM capabilities optimized for branching channel flows, demonstrating the method’s adaptability to specific industrial configurations.
Figure 24.
Illustration of vortical structures in the upstroke (us) and downstroke (ds) motion at the equilibrium position (θ = 0°) of robotic butterfly in yz-plane [164].
Figure 25.
Illustration of vortices’ structures in (a) xy plane and (b) zx plane at their peak (θ = 30°) and equilibrium (θ = 0°) positions in the upstroke (us) and downstroke (ds) motion of a robotic butterfly [164].
Recent developments in sharp IBM have focused on specialized applications and improved boundary treatments. Stavropoulos et al. [142] applied direct forcing IBM to cavitating flows within a RANS framework, successfully capturing complex phase change phenomena near sharp boundaries. Wang and Zhang [143] developed a variable-extended IBM for reactive flows using Brinkman penalization, enabling the accurate simulation of combustion processes near immersed surfaces. For thin structure simulations, Billo et al. [151,152] and Tewolde et al. [161] created specialized IBM formulations that accurately represented volumeless and thin bodies without numerical artifacts. Carraturo et al. [141] applied finite cell sharp IBM to residual stress evaluation in additive manufacturing, showcasing the method’s potential for materials engineering applications. Sundaresan and Ghosh [136] developed sophisticated surface data reconstruction techniques within their REACTMB solver that improved pressure interpolation accuracy near immersed boundaries. For inviscid flows, Kingora and Sadat-Hosseini [157] created an interpolation-free sharp-interface IBM that maintained excellent accuracy in incompressible flow simulations.
The role of different fluid solvers in sharp IBM implementations reveals interesting trade-offs between accuracy, flexibility, and computational efficiency. Fractional step methods, as demonstrated by Wu [130] and Liu et al. [138], offer robust performance for incompressible flows with moving boundaries. Finite element approaches, such as those by Hoover and Kumar [139,155] and Boustani et al. [140], provide superior geometric flexibility for complex structures and thin shells. Projection methods have proven particularly effective for fluid–rigid body interactions, as shown by Ong et al. [159] and Jost and Glockner [147], while spectral element implementations maintain exceptional accuracy for smooth problems.
High-order accuracy has been a persistent focus in sharp IBM development. Barbeau et al. [158] implemented a high-order sharp-interface IBM using Pressure-Stabilizing/Petrov-Galerkin formulation, while Funada and Imamura [162] developed a flux reconstruction-based high-order IBM for inviscid flows. These approaches demonstrate how modern numerical techniques can be combined with sharp IBM to achieve superior convergence properties while maintaining geometric flexibility.
Specialized boundary treatments have expanded sharp IBM’s applicability to unique flow scenarios. Yan et al. [145] developed an algebraic forcing point searching method for water impact problems within a two-phase flow model, successfully capturing violent free surface phenomena. Hong et al. [148] created a ghost-cell IBM capable of handling zero-thickness boundaries at large CFL numbers, addressing a long-standing challenge in explicit time integration schemes. These innovations demonstrate the method’s adaptability to diverse physical scenarios.
For industrial CFD applications, sharp IBM implementations in standard solvers like OpenFOAM and SIMPLE have significantly improved practicality. Kettemann et al. [137] verified sharp IBM performance for static and moving geometries in turbulent flows using OpenFOAM’s PIMPLE algorithm, while Zhang et al. [150] implemented a ghost-cell IBM with momentum interpolation in a SIMPLE-based solver for incompressible flows. These implementations have helped bridge the gap between academic research and industrial applications of sharp IBM methodologies.
Recent advances in sharp IBM have addressed persistent challenges in boundary condition enforcement and numerical stability. Yildiran et al. [171] developed improved pressure boundary conditions for fractional-step IBM that reduced slip errors, while Zhang et al. [166] created a divergence-free IBM for rigid boundaries that enhanced FSI stability. The introduction of the convolution “kernel-based direct forcing immersed boundary method (cDFIB)” by Chiu [170] successfully mitigated “Spurious Force Oscillations (SFOs)” for various time step sizes, thereby improving stability in flow–structure interaction scenarios, as presented in Figure 26 and Figure 27.
Figure 26.
Comparisons of , CDrms, and CLrms with different frequencies for the flow past oscillating circular cylinder problem at Re = 185 [170,173,174,175].
Figure 27.
Comparisons of pressure coefficients with different frequencies for the flow past oscillating circular cylinder problem at Re = 185. (a) ; (b) ; (c) ; (d) [170,174,175].
In conclusion, sharp immersed boundary methods have evolved into a sophisticated and versatile framework for computational fluid dynamics, offering precise boundary representation across a wide range of flow regimes and applications. The method’s success stems from its integration with diverse fluid solvers, each contributing unique strengths to address specific challenges in accuracy, efficiency, or geometric complexity. From spectral methods offering exceptional precision to fractional step approaches providing robust performance for moving boundaries, the sharp IBM ecosystem continues to expand and mature. Future developments will likely focus on enhanced parallel scalability, improved boundary condition treatments for multiphysics applications, and tighter integration with machine learning techniques for adaptive grid refinement. As computational resources grow and algorithms advance, sharp IBM is poised to become an increasingly indispensable tool for both academic research and industrial CFD applications, particularly in areas requiring precise boundary layer resolution or handling of complex moving geometries. The continued cross-pollination between different numerical frameworks and sharp IBM implementations promises to yield further innovations in this vibrant field of computational fluid dynamics.
3.2.3. Hybrid Boundary Treatments
The evolution of immersed boundary methods (IBMs) has reached an inflection point, with the emergence of hybrid approaches that strategically combine elements from sharp-interface, diffuse-interface, and novel computational techniques. This synthesis has produced methodologies capable of addressing limitations inherent in pure formulations while leveraging their respective strengths. Hybrid IBM distinguishes itself through its adaptive blending of numerical strategies, often combining the geometric fidelity of sharp-interface methods with the computational flexibility of diffuse approaches. Thekkethil and Sharma’s [176] level-set immersed interface method exemplifies this paradigm, merging interface tracking precision with finite element flexibility for complex FSI problems. Such hybridizations have proven particularly valuable for multiscale phenomena where no single traditional approach provides optimal performance across all relevant lengths and time scales [177].
The most transformative hybrid IBM developments have emerged from multi-physics integration and spectral solvers [178,179,180]. IBM stability improved drastically with Fourier analysis to solve N-S equations [181]. Ataei et al. [182] demonstrated this through their hybrid LBM-MD-IBM framework for polymer foaming simulations, seamlessly bridging molecular dynamics with continuum-scale hydrodynamics. This approach overcame traditional limitations in modeling phase change dynamics while maintaining computational tractability. Similarly, Yan et al. [183] developed an explicit velocity correction IB for fish swimming dynamics that coupled fluid mechanics with biomechanical models, enabling the unprecedented analysis of aquatic locomotion. Figure 28 illustrates the changes in swimming speed and displacement along the X direction. The fish quickly accelerated from t = 0 s to t = 2 s, after which the rate of acceleration decreased and stabilized by t = 4 s. The fish ultimately reached the left boundary at roughly t = 7 s. Due to the periodic nature of the muscle force, the swimming speed also fluctuated periodically. To examine the intricate FSI and the fish’s dynamic response, the vortex contours from t = 4.20 s to t = 4.60 s are illustrated in Figure 29, and the specific hydrodynamic factors such as fish morphology, hydrodynamic force, swimming velocity, and tail displacement during one period are shown in Figure 30.
Figure 28.
Evolution of the swimming velocity, Ux [183].
Figure 29.
Instantaneous vortex contours at corresponding times [183].
Figure 30.
Changes in the hydrodynamic force in the X direction (), swimming speed (), and tail displacement in the Y direction of the fish over a period [183].
These multi-physics capabilities were extended by Ferrer et al. [184] through their HORSES3D spectral element solver, which integrated hybrid IBM with advanced turbulence modeling for aerospace applications. The framework’s ability to handle complex geometry while maintaining spectral accuracy represented a significant leap forward for high-fidelity simulations of practical engineering systems. Mascio and Zaghi [185] achieved breakthrough accuracy for compressible flows by combining high-order WENO schemes with immersed boundary treatments, while Yu et al. [186] developed generalized harmonic polynomial methods that improved Navier–Stokes solution fidelity. These approaches demonstrated how hybrid methodologies could enhance traditional finite difference/volume schemes without sacrificing computational efficiency.
Adaptive mesh refinement (AMR) has particularly benefited from hybrid IBM integration. Saravanan et al. [187] and Liu et al. [188] developed AMR-IBM frameworks that dynamically adjusted computational resolution to critical flow regions, dramatically improving efficiency for complex geometry simulations. Zaghi et al. [189] accelerated these approaches through GPU implementations, enabling practical application to industrial-scale problems. The intersection of IBM with machine learning represents one of the most promising recent developments. Fang and Tan [190] pioneered physics-informed machine learning hybrids that learned optimal forcing strategies from high-fidelity simulation data, significantly improving fluid–solid coupling accuracy. Han et al. [191] applied reinforcement learning to active flow control within an IBM framework, demonstrating autonomous drag reduction strategies that outperformed traditional control approaches. These data-driven methods complement more traditional numerical improvements like those of Llorente et al. [192], who developed modified equation analysis techniques to systematically improve IBM accuracy. The combination of analytical rigor with data science approaches points toward a new generation of self-optimizing hybrid IBM implementations.
Hybrid IBM has driven significant advances in computational efficiency through targeted HPC implementations. Kozubskaya et al. [193] developed unstructured mesh adaptation techniques for moving bodies that maintained solution quality while minimizing computational overhead. Hedayat and Borazjani’s [194] Overset-CURVIB framework demonstrated how careful grid hybridization could enable the efficient simulation of extremely complex flows. These developments have made previously intractable simulations feasible, such as the large-scale viscoelastic flow analyses by Li and Qu [195] and Li et al. [196], and the dynamic fracture simulations of Ni et al. [197] using IB–Material Point Methods. The flexibility of hybrid IBM has enabled customized solver development for specific application needs. Manueco et al. [198] created wall-modeled IB approaches with curvilinear grids that improved accuracy for turbomachinery applications. Huang and Wang [199] developed moving least-square IBMs for compressible viscous flows, addressing long-standing challenges in aerospace CFD. Marussig et al. [200] contributed fast IBM implementations using weighted quadrature that accelerated higher-order computations, while Beer and Duenser [201] demonstrated how isogeometric boundary element methods could be effectively immersed for geotechnical applications. These specialized implementations showcase hybrid IBM’s adaptability to diverse engineering challenges.
Hybrid IBM has revolutionized biological flow simulations through its ability to handle complex, deforming geometries. Ya et al. [202] and Yang et al. [203] developed peridynamic IB-LBM hybrids that enabled coupled analysis of fluid dynamics and structural fracture, providing new insights into cardiovascular pathologies. Shahmardi et al. [204] advanced contact line dynamics modeling through Eulerian hybrid IB/phase-field methods, with applications in microfluidic drug delivery systems. The method’s multiscale capabilities have been particularly valuable in biomedical contexts. Wells et al. [205] immersed finite element formulations to enable the detailed analysis of soft tissue mechanics, while Tirri et al. [206] provided crucial linear stability analysis for cardiovascular device design. Yousefzadeh and Battiato [207] developed level-set IBM for reactive transport in porous media, with applications in enhanced oil recovery. Chen et al. [208] improved force calculation accuracy for simple geometries relevant to heat exchanger design, while Goncharuk et al. [209] adapted SIMPLE-IBM hybrids for industrial incompressible flow analysis. Jiang et al. [210] created signed distance field IBM implementations optimized for tidal turbine simulations, whereas Luo and Zhang [211] developed an σ-coordinate IBM for free surface flows in hydroelectric systems. As shown in Figure 31, this problem can be further streamlined to assess whether a ray intersects with a triangular mesh element in three-dimensional space. The cells within the boundary are identified as solid cells, whereas those outside are classified as fluid. The characteristics and variables of the solid cells are dictated by the movement of the solid body, while the flow in the fluid cells is resolved through discretized governing equations. Cells that are outside the boundary but adjacent to at least one solid cell are designated as IB cells. These IB cells serve as intermediaries for transferring numerical information between solid and fluid cells. To enforce the boundary conditions, virtual boundary forces are applied to the IB cells, as illustrated in Figure 32 and Figure 33, respectively. The IBM is incorporated by introducing a virtual boundary force into the momentum equations, which helps in simulating the natural boundary conditions.
Figure 31.
Schematic representation of the ray tracing method in 3D space [211].
Figure 32.
Schematic representation of cell categorization in 3D mesh system. Left: 3D view; right: 2D view of xy plane [211].
Figure 33.
Schematic illustration of the interpolation method used in IB cells. The red cross marks the position of image points, red circles represent the IB cells subjected to a virtual force, while the blue circles, enclosed in the yellow area, signify the interpolation cells [211].
Bourantas et al. [212] developed meshless vector potential-vorticity solvers for complex material flows. Wang et al. [213] advanced thin-walled structure analysis through moving least square IBM, with applications in additive manufacturing. These implementations have significantly reduced the prototyping costs for advanced materials, as demonstrated by Dave et al. [214] in their volume-filtering IBM for static/moving boundaries in composite material processing. More recently, the research of Yu and Pantano [215] presented a novel regularized IBM that employs Tikhonov regularization to overcome challenges associated with accurate boundary force calculations, especially in cases of refined grids, as shown in Figure 34.
Figure 34.
Representation of the discretization process for the computational domain Ω alongside the intricacies of the IB S [215].
3.2.4. Impact of Various Boundary Treatments
The treatment of boundaries in immersed boundary methods (IBMs) plays a crucial role in ensuring numerical stability, accuracy, and efficiency, particularly for complex geometries and moving boundaries. Recent advances have focused on improving sharp-interface methods, hybrid approaches, and diffuse-interface techniques to enhance performance across various fluid–structure interaction (FSI) problems. Studies have introduced high-order ghost-cell IBM and divergence-free IBM to address pressure fluctuations and shock interactions. Hybrid methods, such as those integrating finite volume, finite element, and lattice Boltzmann models, have improved adaptability for reactive flows and viscoelastic fluids. Moreover, application-driven developments have targeted aerodynamics, biomedical flows, and additive manufacturing, with significant contributions in GPU-accelerated implementations and thin-shell structures. The trend indicates a push toward machine learning-assisted IBM optimization and AMR-based IBM frameworks, demonstrating the method’s expanding capabilities in handling increasingly complex FSI scenarios. These innovations reinforce the IBM’s relevance in computational fluid dynamics (CFD) applications, driving its evolution toward more robust and efficient implementations.
4. Limitations
The immersed boundary method (IBM) has become an indispensable tool in computational fluid dynamics, yet several persistent challenges continue to limit its accuracy and computational efficiency. Important among them is the method’s difficulty in accurately resolving near-wall turbulence and high-Reynolds-number flows, where conventional interpolation schemes introduce problematic diffusion errors that compromise solution quality. Recent advances employing wall-modeled LES, adaptive mesh refinement, and high-order numerical schemes have shown promise in addressing these limitations. The inherent numerical instability of Cartesian grid-based implementations, manifested through spurious oscillations, has been partially mitigated through sophisticated filtering techniques and advanced interpolation approaches, though challenges remain in maintaining both stability and accuracy. Computational expense presents another significant barrier, particularly for large-scale industrial applications requiring high-fidelity simulations, prompting researchers to explore hybrid modeling approaches, GPU acceleration, and machine learning-assisted optimization strategies. The method’s treatment of complex geometries and moving boundaries continues to pose difficulties, with issues ranging from force representation inconsistencies to artificial stiffness in fluid–structure interactions—problems that have seen incremental improvements through Lagrangian tracking methods and energy-conserving formulations. Perhaps most crucially, the validation of IBM results against experimental data remains an ongoing concern, driving the development of more robust calibration and uncertainty quantification techniques. These collective challenges highlight both the current limitations and future potential of IBM as it evolves to meet the demands of increasingly complex fluid dynamics applications across engineering and scientific disciplines.
5. Summary
Recent advancements in the immersed boundary method (IBM) from 2020 to 2024 have significantly enhanced its accuracy, efficiency, and versatility in handling complex fluid–structure interaction problems. The method’s performance has been greatly influenced by the choice of fluid solvers, including high-resolution techniques such as WENO schemes, spectral DNS, and LES, which have improved turbulence modeling and high-Reynolds-number simulations. Concurrently, developments in boundary treatment strategies—such as high-order ghost-cell methods, divergence-free formulations, and hybrid approaches—have addressed key challenges in pressure stability and shock interactions. The growing adoption of OpenFOAM-based IBM frameworks and GPU-accelerated implementations has further expanded their industrial applicability, particularly for moving boundaries and unstructured meshes. Meanwhile, emerging trends like machine learning-assisted optimization and AMR-enhanced IBM frameworks are pushing the boundaries of computational efficiency and adaptive resolution. These advancements have enabled breakthroughs across diverse fields, from high-speed aerodynamics and biofluid dynamics to environmental flows and additive manufacturing, solidifying IBM’s role as a powerful tool in modern computational fluid dynamics for both scientific and engineering applications.
6. Future Scope and Concluding Remarks
The future of IBM holds immense potential for addressing emerging challenges in FSI and expanding their applicability across diverse fields. Advancing computational efficiency for large-scale simulations remains a critical area of focus, particularly for problems involving highly intricate geometries or multi-physics phenomena. Enhancing the accuracy of IB methods in capturing fine-scale interactions, such as those in turbulent flows or systems with soft or flexible structures, presents another promising avenue. Integrating IB methods with machine learning techniques could enable real-time applications and adaptive modeling, while leveraging next-generation computing architectures could revolutionize high-resolution simulations. These directions underscore the need for continued innovation in numerical techniques and cross-disciplinary collaboration to unlock new capabilities.
This review has provided a comprehensive overview of recent advancements in IB methods, with a focus on turbulence modeling and complex geometric handling. By building on foundational works and exploring recent innovations, it demonstrates the versatility and effectiveness of IBMs in addressing intricate FSI challenges across engineering and scientific domains. With ongoing research and technological progress, IB methods are poised to become even more integral to addressing the intricate challenges of modern science and engineering.
Funding
This research received no external funding.
Data Availability Statement
All necessary data will be available upon request.
Acknowledgments
The authors deeply acknowledge the support of Rudra Kumar Pandey, Varun Vinod Nair, and Sriniket Srinivasan in providing resources for this project. The authors would also like to acknowledge the support given for computational facility by Department of Mechanical and Industrial Engineering, Manipal Institute of Technology, Manipal Academy of Higher Education, Manipal.
Conflicts of Interest
The authors declare no conflicts of interest.
References
- Peskin, C.S. Flow patterns around heart valves: A numerical method. J. Comput. Phys. 1972, 10, 252–271. [Google Scholar] [CrossRef]
- Iaccarino, G.; Verzicco, R. Immersed boundary technique for turbulent flow simulations. Appl. Mech. Rev. 2003, 56, 331–347. [Google Scholar] [CrossRef]
- Mittal, R.; Iaccarino, G. Immersed Boundary Methods. Annu. Rev. Fluid Mech. 2005, 37, 239–261. [Google Scholar] [CrossRef]
- Sotiropoulos, F.; Yang, X. Immersed boundary methods for simulating fluid–structure interaction. Prog. Aerosp. Sci. 2013, 65, 1–21. [Google Scholar] [CrossRef]
- Kim, W.; Choi, H. Immersed boundary methods for fluid-structure interaction: A review. Int. J. Heat Fluid Flow 2019, 75, 301–309. [Google Scholar] [CrossRef]
- Roy, S.; De, A.; Balaras, E. Immersed Boundary Method; Springer: Singapore, 2020. [Google Scholar] [CrossRef]
- Griffith, B.E.; Patankar, N.A. Immersed Methods for Fluid–Structure Interaction. Annu. Rev. Fluid Mech. 2019, 52, 421–448. [Google Scholar] [CrossRef] [PubMed]
- Mittal, R.; Bhardwaj, R. Immersed Boundary Methods for Thermofluids Problems. Annu. Rev. Heat Transf. 2022, 24, 33–70. [Google Scholar] [CrossRef]
- Verzicco, R. Immersed Boundary Methods: Historical perspective and Future Outlook. Annu. Rev. Fluid Mech. 2022, 55, 129–155. [Google Scholar] [CrossRef]
- Choi, J.I.; Oberoi, R.C.; Edwards, J.R.; Rosati, J. An immersed boundary method for complex incompressible flows. J. Comput. Phys. 2007, 224, 757–784. [Google Scholar] [CrossRef]
- De Tullio, M.D.; De Palma, P.; Iaccarino, G.; Pascazio, G.; Napolitano, M. An immersed boundary method for compressible flows using local grid refinement. J. Comput. Phys. 2007, 225, 2098–2117. [Google Scholar] [CrossRef]
- Ghosh, S.; Choi, J.I.; Edwards, J.R. Simulation of Shock/Boundary-Layer Interactions with Bleed Using Immersed-Boundary Methods. J. Propuls. Power 2010, 26, 203–214. [Google Scholar] [CrossRef]
- Capizzano, F. Turbulent wall model for immersed boundary methods. AIAA J. 2011, 49, 2367–2381. [Google Scholar] [CrossRef]
- Bai, X.; Avital, E.; Munjiza, A.; Williams, J. Numerical simulation of a marine current turbine in free surface flow. Renew. Energy 2014, 63, 715–723. [Google Scholar] [CrossRef]
- Specklin, M.; Delauré, Y. A sharp immersed boundary method based on penalization and its application to moving boundaries and turbulent rotating flows. Eur. J. Mech. B Fluids 2018, 70, 130–147. [Google Scholar] [CrossRef]
- Tamaki, Y.; Imamura, T. Turbulent flow simulations of the common research model using immersed boundary method. AIAA J. 2018, 56, 2271–2282. [Google Scholar] [CrossRef]
- Xu, L.; Tian, F.; Young, J.; Lai, J. A novel geometry-adaptive Cartesian grid based immersed boundary–lattice Boltzmann method for fluid–structure interactions at moderate and high Reynolds numbers. J. Comput. Phys. 2018, 375, 22–56. [Google Scholar] [CrossRef]
- Specklin, M.; Dubois, P.; Albadawi, A.; Delauré, Y. A full immersed boundary solution coupled to a Lattice–Boltzmann solver for multiple fluid–structure interactions in turbulent rotating flows. J. Fluids Struct. 2019, 90, 205–229. [Google Scholar] [CrossRef]
- Yoon, M.; Hwang, J.; Yang, J.; Sung, H. Wall-attached structures of streamwise velocity fluctuations in an adverse-pressure-gradient turbulent boundary layer. J. Fluid Mech. 2020, 885, A12. [Google Scholar] [CrossRef]
- Wiersema, D.J.; Lundquist, K.A.; Chow, F.K. Mesoscale to Microscale Simulations over Complex Terrain with the Immersed Boundary Method in the Weather Research and Forecasting Model. Mon. Weather Rev. 2020, 148, 577–595. [Google Scholar] [CrossRef]
- Arthur, R.S.; Lundquist, K.A.; Wiersema, D.J.; Bao, J.; Chow, F.K. Evaluating implementations of the immersed boundary method in the weather research and forecasting model. Mon. Weather Rev. 2020, 148, 2087–2109. [Google Scholar] [CrossRef]
- Wang, L.H.; Zhang, W.Y.; Hao, X.; Huang, W.; Shen, L.; Xu, C.; Zhang, Z. Surface wave effects on energy transfer in overlying turbulent flow. J. Fluid Mech. 2020, 893, A21. [Google Scholar] [CrossRef]
- Zhou, T.; Zhao, L.; Huang, W.; Xu, C. Non-monotonic effect of mass loading on turbulence modulations in particle-laden channel flow. Phys. Fluids 2020, 32, 043304. [Google Scholar] [CrossRef]
- Agarwal, A.; Gupta, S.; Prakash, A.S. A comparative study of bounce-back and immersed boundary method in LBM for turbulent flow simulation. Mater. Today Proc. 2020, 28, 2387–2392. [Google Scholar] [CrossRef]
- Ma, G.; Xu, C.; Sung, H.J.; Huang, W. Scaling of rough-wall turbulence by the roughness height and steepness. J. Fluid Mech. 2020, 900, R7. [Google Scholar] [CrossRef]
- Hwang, J.; Lee, J.H.; Sung, H.J. Statistical behaviour of self-similar structures in canonical wall turbulence. J. Fluid Mech. 2020, 905, A6. [Google Scholar] [CrossRef]
- Yang, J.; Yoon, M.; Sung, H.J. The turbulent/non-turbulent interface in an adverse pressure gradient turbulent boundary layer. Int. J. Heat Fluid Flow 2020, 86, 108704. [Google Scholar] [CrossRef]
- Wang, J.; Gu, X.; Wu, J. A sharp-interface immersed boundary method for simulating high-speed compressible inviscid flows. Adv. Aerodyn. 2020, 2, 23. [Google Scholar] [CrossRef]
- Zhang, J.; Zuo, Q.; Mu, L.; Huang, W.; Pan, W.; Cui, G. Evolution of vortices in the wake of an ARJ21 airplane: Application of the lift-drag model. Theor. Appl. Mech. Lett. 2020, 10, 419–428. [Google Scholar] [CrossRef]
- Tsvetkova, V.; Kozubskaya, T.; Kudryavtseva, L.; Zhdanova, N. On mesh adaptation for supercomputer simulation of flows around solid bodies defined by immersed boundary method. Procedia Comput. Sci. 2020, 178, 404–413. [Google Scholar] [CrossRef]
- Onishi, K.; Tsubokura, M. Topology-free immersed boundary method for incompressible turbulence flows: An aerodynamic simulation for “dirty” CAD geometry. Comput. Methods Appl. Mech. Eng. 2021, 378, 113734. [Google Scholar] [CrossRef]
- Tamaki, Y.; Imamura, T. Efficient dimension-by-dimension higher order finite-volume methods for a Cartesian grid with cell-based refinement. Comput. Fluids 2017, 144, 74–85. [Google Scholar] [CrossRef]
- Chen, C.; Wang, Z.; Du, L.; Sun, D.; Sun, X. Simulating unsteady flows in a compressor using immersed boundary method with turbulent wall model. Aerosp. Sci. Technol. 2021, 115, 106834. [Google Scholar] [CrossRef]
- Liao, F.; Yang, X. On the capability of the curvilinear immersed boundary method in predicting near-wall turbulence of turbulent channel flows. Theor. Appl. Mech. Lett. 2021, 11, 100279. [Google Scholar] [CrossRef]
- Cai, S.; Degrigny, J.; Boussuge, J.; Sagaut, P. Coupling of turbulence wall models and immersed boundaries on Cartesian grids. J. Comput. Phys. 2021, 429, 109995. [Google Scholar] [CrossRef]
- Ma, M.; Huang, W.; Xu, C.; Cui, G. A hybrid immersed boundary/wall-model approach for large-eddy simulation of high-Reynolds-number turbulent flows. Int. J. Heat Fluid Flow 2021, 88, 108769. [Google Scholar] [CrossRef]
- Xu, Y.; Liu, X. An immersed boundary method with y + -adaptive wall function for smooth wall shear. Int. J. Numer. Methods Fluids 2021, 93, 1929–1946. [Google Scholar] [CrossRef]
- Wang, J.; Gorlé, C. Application of an Immersed Boundary Method To Generate Boundary Layer Turbulence and Unsteady Wind Fields. Bull. Am. Phys. Soc. 2024. [Google Scholar]
- Kang, J.; Hwang, J.; Sung, H.J.; Ryu, H. High-performance simulations of turbulent boundary layer flow using Intel Xeon Phi many-core processors. J. Supercomput. 2021, 77, 9597–9614. [Google Scholar] [CrossRef]
- Choung, H.; Saravanan, V.; Lee, S.; Cho, H. Nonlinear weighting process in ghost-cell immersed boundary methods for compressible flow. J. Comput. Phys. 2021, 433, 110198. [Google Scholar] [CrossRef]
- Constant, B.; Péron, S.; Beaugendre, H.; Benoît, C. An improved immersed boundary method for turbulent flow simulations on Cartesian grids. J. Comput. Phys. 2021, 435, 110240. [Google Scholar] [CrossRef]
- Wang, L.; Xu, C.; Sung, H.J.; Huang, W. Wall-attached structures over a traveling wavy boundary: Turbulent velocity fluctuations. Phys. Rev. Fluids 2021, 6, 034611. [Google Scholar] [CrossRef]
- Bale, R.; Bhalla, A.P.S.; Griffith, B.E.; Tsubokura, M. A one-sided direct forcing immersed boundary method using moving least squares. J. Comput. Phys. 2021, 440, 110359. [Google Scholar] [CrossRef]
- Giannenas, A.E.; Laizet, S. A simple and scalable immersed boundary method for high-fidelity simulations of fixed and moving objects on a Cartesian mesh. Appl. Math. Model. 2021, 99, 606–627. [Google Scholar] [CrossRef]
- Kubo, S.; Koguchi, A.; Yaji, K.; Yamada, T.; Izui, K.; Nishiwaki, S. Level set-based topology optimization for two-dimensional turbulent flow using an immersed boundary method. J. Comput. Phys. 2021, 446, 110630. [Google Scholar] [CrossRef]
- Troldborg, N.; Sørensen, N.N.; Dellwik, E.; Hangan, H. Immersed boundary method applied to flow past a tree skeleton. Agric. For. Meteorol. 2021, 308–309, 108603. [Google Scholar] [CrossRef]
- Kasbaoui, M.H.; Kulkarni, T.; Bisetti, F. Direct numerical simulations of the swirling von Kármán flow using a semi-implicit moving immersed boundary method. Comput. Fluids 2021, 230, 105132. [Google Scholar] [CrossRef]
- Cui, Z.; Huang, W.; Xu, C.; Andersson, H.I.; Zhao, L. Alignment of slender fibers and thin disks induced by coherent structures of wall turbulence. Int. J. Multiph. Flow 2021, 145, 103837. [Google Scholar] [CrossRef]
- Sugaya, K.; Imamura, T. Unsteady turbulent flow simulations on moving Cartesian grids using immersed boundary method and high-order scheme. Comput. Fluids 2021, 231, 105173. [Google Scholar] [CrossRef]
- Lin, Q.; Jiang, K.; Wang, H.; Wang, J. Application of immersed boundary method to the simulation of transient flow in solid rocket motors. Aerosp. Sci. Technol. 2021, 119, 107228. [Google Scholar] [CrossRef]
- Cao, S.; Huang, D.Z. Bayesian calibration for large-scale fluid structure interaction problems under embedded/immersed boundary framework. Int. J. Numer. Methods Eng. 2022, 123, 1791–1812. [Google Scholar] [CrossRef]
- Secchi, F.; Häber, T.; Gatti, D.; Schulz, S.; Trimis, D.; Suntz, R.; Frohnapfel, B. Turbulent impinging jets on rough surfaces. GAMM Mitteilungen 2022, 45, e202200005. [Google Scholar] [CrossRef]
- Atmani, H.; Zamansky, R.; Climent, É.; Legendre, D. Stochastic wall model for turbulent pipe flow using Immersed Boundary Method and Large Eddy Simulation. Comput. Fluids 2022, 239, 105419. [Google Scholar] [CrossRef]
- Kang, S.; Masud, A. Variational Multiscale immersed boundary method for incompressible turbulent flows. J. Comput. Phys. 2022, 469, 111523. [Google Scholar] [CrossRef]
- Giannenas, A.E.; Bempedelis, N.; Schuch, F.N.; Laizet, S. A Cartesian immersed boundary method based on 1D flow reconstructions for High-Fidelity simulations of incompressible turbulent flows around moving objects. Flow Turbul. Combust. 2022, 109, 931–959. [Google Scholar] [CrossRef]
- Shallcross, G.; Capecelatro, J. An explicit characteristic-based immersed boundary method for compressible flows. J. Comput. Phys. 2022, 449, 110804. [Google Scholar] [CrossRef]
- Jiang, J.; Wang, W.; Chen, K.; Huang, W. Large-eddy simulation of three-dimensional aerofoil tip-gap flow. Ocean Eng. 2022, 243, 110315. [Google Scholar] [CrossRef]
- Park, H.S.; Linton, D.; Thornber, B. Rotorcraft fuselage and ship airwakes simulations using an immersed boundary method. Int. J. Heat Fluid Flow 2022, 93, 108916. [Google Scholar] [CrossRef]
- Troldborg, N.; Sørensen, N.N.; Zahle, F. Immersed boundary method for the incompressible Reynolds Averaged Navier–Stokes equations. Comput. Fluids 2022, 237, 105340. [Google Scholar] [CrossRef]
- de Albuquerque, L.A.V.; Villela, M.F.D.S.; Mariano, F.P. Numerical Evaluation of the IMERSPEC Methodology and Spalart–Allmaras Turbulence Model in Fully Developed Channel Flow Simulations. Fluids 2025, 10, 45. [Google Scholar] [CrossRef]
- Du, Y.; Yang, L.; Chen, S.; Wu, J.; Wang, Y. Wall model-based diffuse-interface immersed boundary method for simulation of incompressible turbulent flows. Int. J. Numer. Methods Fluids 2022, 94, 1888–1908. [Google Scholar] [CrossRef]
- Van Noordt, W.; Ganju, S.; Brehm, C. An immersed boundary method for wall-modeled large-eddy simulation of turbulent high-Mach-number flows. J. Comput. Phys. 2022, 470, 111583. [Google Scholar] [CrossRef]
- Mitkov, R.; Pantusheva, M.; Naserentin, V.; Hristov, P.; Wästberg, D.; Hunger, F.; Mark, A.; Petrova-Antonova, D.; Edelvik, F.; Logg, A. Using the Octree Immersed Boundary Method for urban wind CFD simulations. IFAC Pap. 2022, 55, 179–184. [Google Scholar] [CrossRef]
- Unglehrt, L.; Jenssen, U.; Kurz, F.; Schanderl, W.; Kreuzinger, J.; Schwertfirm, F.; Manhart, M. Large–Eddy simulation of the flow inside a scour hole around a circular cylinder using a cut cell immersed boundary method. Flow Turbul. Combust. 2022, 109, 893–929. [Google Scholar] [CrossRef]
- Capuano, F.; Beratlis, N.; Zhang, F.; Peet, Y.; Squires, K.D.; Balaras, E. Cost vs Accuracy: DNS of turbulent flow over a sphere using structured immersed-boundary, unstructured finite-volume, and spectral-element methods. Eur. J. Mech. B Fluids 2023, 102, 91–102. [Google Scholar] [CrossRef]
- Ryan, S.D.; Ripley, R.C.; Lien, F.; Zhang, F. Accelerated convergence for city-scale flow fields using immersed boundaries and coupled multigrid. J. Wind Eng. Ind. Aerodyn. 2023, 241, 105541. [Google Scholar] [CrossRef]
- Kubíčková, L.; Isoz, M. On Reynolds-Averaged Turbulence Modeling with Immersed Boundary Method. Top. Probl. Fluid Mech. 2023, 2023, 104–111. [Google Scholar] [CrossRef]
- Chen, C.; Wang, Y.; Wang, Z.; Du, L.; Sun, X. Application of immersed boundary method in turbomachines. Chin. J. Aeronaut. 2023, 36, 268–279. [Google Scholar] [CrossRef]
- Wang, Z.; Du, L.; Gao, F.; Sun, X. Adaptive forcing distance in an immersed boundary method for internal flow simulation at high Reynolds numbers. Comput. Math. Appl. 2023, 140, 44–63. [Google Scholar] [CrossRef]
- Cai, S.; Jacob, J.; Sagaut, P. Immersed boundary-based near-wall modeling for large eddy simulation of turbulent wall-bounded flow. Comput. Fluids 2023, 259, 105893. [Google Scholar] [CrossRef]
- Ma, G.; Xu, C.; Sung, H.J.; Huang, W. Secondary motions and wall-attached structures in a turbulent flow over a random rough surface. Int. J. Heat Fluid Flow 2023, 102, 109147. [Google Scholar] [CrossRef]
- Ma, G.; Xu, C.; Sung, H.; Huang, W. Outer-layer similarity and energy transfer in a rough-wall turbulent channel flow. J. Fluid Mech. 2023, 968, A18. [Google Scholar] [CrossRef]
- Lin, Q.; Wang, J.; Jiang, K.; Tao, R.; Wang, J.; Wang, H. Application of immersed boundary method to the simulation of three-dimensional flow in solid rocket motors. AIP Adv. 2023, 13, 065016. [Google Scholar] [CrossRef]
- Cheylan, I.; Fringand, T.; Jacob, J.; Favier, J. Analysis of the immersed boundary method for turbulent fluid-structure interaction with Lattice Boltzmann method. J. Comput. Phys. 2023, 492, 112418. [Google Scholar] [CrossRef]
- Başkaya, A.O.; Capriati, M.; Turchi, A.; Magin, T.; Hickel, S. Assessment of immersed boundary methods for hypersonic flows with gas–surface interactions. Comput. Fluids 2023, 270, 106134. [Google Scholar] [CrossRef]
- De Vanna, F.; Baldan, G.; Picano, F.; Benini, E. On the coupling between wall-modeled LES and immersed boundary method towards applicative compressible flow simulations. Comput. Fluids 2023, 266, 106058. [Google Scholar] [CrossRef]
- Muthanna, C. The Effects of Free Stream Turbulence on the Flow Field Through a Compressor Cascade. Ph.D. Thesis, Virginia Polytechnic Institute and State University, Blacksburg, VA, USA, 2002. [Google Scholar]
- You, D.; Wang, M.; Moin, P.; Mittal, R. Large-eddy simulation analysis of mechanisms for viscous losses in a turbomachinery tip-clearance flow. J. Fluid Mech. 2007, 586, 177–204. [Google Scholar] [CrossRef]
- Lai, M.; Peskin, C.S. An Immersed Boundary Method with Formal Second-Order Accuracy and Reduced Numerical Viscosity. J. Comput. Phys. 2000, 160, 705–719. [Google Scholar] [CrossRef]
- Griffith, B.E.; Peskin, C.S. On the order of accuracy of the immersed boundary method: Higher order convergence rates for sufficiently smooth problems. J. Comput. Phys. 2005, 208, 75–105. [Google Scholar] [CrossRef]
- Pan, D. An immersed boundary method for incompressible flows using volume of body function. Int. J. Numer. Methods Fluids 2005, 50, 733–750. [Google Scholar] [CrossRef]
- Taira, K.; Colonius, T. The immersed boundary method: A projection approach. J. Comput. Phys. 2007, 225, 2118–2137. [Google Scholar] [CrossRef]
- Shin, S.J.; Huang, W.; Sung, H.J. Assessment of regularized delta functions and feedback forcing schemes for an immersed boundary method. Int. J. Numer. Methods Fluids 2008, 58, 263–286. [Google Scholar] [CrossRef]
- Ji, C.; Munjiza, A.; Williams, J. A novel iterative direct-forcing immersed boundary method and its finite volume applications. J. Comput. Phys. 2012, 231, 1797–1821. [Google Scholar] [CrossRef]
- Valero-Lara, P. Accelerating solid–fluid interaction based on the immersed boundary method on multicore and GPU architectures. J. Supercomput. 2014, 70, 799–815. [Google Scholar] [CrossRef]
- Dash, S.M.; Lee, T.; Lim, T.J.; Huang, H. A flexible forcing three dimension IB–LBM scheme for flow past stationary and moving spheres. Comput. Fluids 2014, 95, 159–170. [Google Scholar] [CrossRef]
- Valero-Lara, P.; Pinelli, A.; Prieto-Matías, M. Accelerating Solid-fluid Interaction using Lattice-boltzmann and Immersed Boundary Coupled Simulations on Heterogeneous Platforms. Procedia Comput. Sci. 2014, 29, 50–61. [Google Scholar] [CrossRef]
- Valero-Lara, P.; Igual, F.D.; Prieto-Matías, M.; Pinelli, A.; Favier, J. Accelerating fluid–solid simulations (Lattice-Boltzmann & Immersed-Boundary) on heterogeneous architectures. J. Comput. Sci. 2015, 10, 249–261. [Google Scholar] [CrossRef]
- Wang, W.; Yan, Y.; Tian, F. A simple and efficient implicit direct forcing immersed boundary model for simulations of complex flow. Appl. Math. Model. 2017, 43, 287–305. [Google Scholar] [CrossRef]
- Kefayati, G.; Tang, H.; Chan, A.H.C. Immersed Boundary-Finite Difference Lattice Boltzmann method through fluid–structure interaction for viscoplastic fluids. J. Fluids Struct. 2018, 83, 238–258. [Google Scholar] [CrossRef]
- Stein, D.B.; Guy, R.D.; Thomases, B. Convergent solutions of Stokes Oldroyd-B boundary value problems using the Immersed Boundary Smooth Extension (IBSE) method. J. Non Newton. Fluid Mech. 2019, 268, 56–65. [Google Scholar] [CrossRef]
- Dash, S.M. A flexible forcing immersed boundary-simplified lattice Boltzmann method for two and three-dimensional fluid-solid interaction problems. Comput. Fluids 2019, 184, 165–177. [Google Scholar] [CrossRef]
- Tao, S.; He, Q.; Chen, J.; Chen, B.; Yang, G.; Wu, Z. A non-iterative immersed boundary-lattice Boltzmann method with boundary condition enforced for fluid–solid flows. Appl. Math. Model. 2019, 76, 362–379. [Google Scholar] [CrossRef]
- Peng, C.; Ayala, O.; De Motta, J.C.B.; Wang, L. A comparative study of immersed boundary method and interpolated bounce-back scheme for no-slip boundary treatment in the lattice Boltzmann method: Part II, turbulent flows. Comput. Fluids 2019, 192, 104251. [Google Scholar] [CrossRef]
- Peng, C.; Ayala, O.; Wang, L. A comparative study of immersed boundary method and interpolated bounce-back scheme for no-slip boundary treatment in the lattice Boltzmann method: Part I, laminar flows. Comput. Fluids 2019, 192, 104233. [Google Scholar] [CrossRef]
- Vadala-Roth, B.; Acharya, S.; Patankar, N.A.; Rossi, S.; Griffith, B.E. Stabilization approaches for the hyperelastic immersed boundary method for problems of large-deformation incompressible elasticity. Comput. Methods Appl. Mech. Eng. 2020, 365, 112978. [Google Scholar] [CrossRef]
- Ma, J.; Wang, Z.; Young, J.; Lai, J.; Sui, Y.; Tian, F. An immersed boundary-lattice Boltzmann method for fluid-structure interaction problems involving viscoelastic fluids and complex geometries. J. Comput. Phys. 2020, 415, 109487. [Google Scholar] [CrossRef]
- Bale, R.; Patankar, N.A.; Jansson, N.; Onishi, K.; Tsubokura, M. Stencil Penalty approach based constraint immersed boundary method. Comput. Fluids 2020, 200, 104457. [Google Scholar] [CrossRef]
- Zhang, Y.; Pan, G.; Zhang, Y.; Haeri, S. A relaxed multi-direct-forcing immersed boundary-cascaded lattice Boltzmann method accelerated on GPU. Comput. Phys. Commun. 2020, 248, 106980. [Google Scholar] [CrossRef]
- Zhou, C.; Li, J.; Wang, H.; Mu, K.; Zhao, L. A Divergence-Free immersed boundary method and its finite element applications. J. Mech. 2020, 36, 901–914. [Google Scholar] [CrossRef]
- Wang, L.; Xie, C.; Huang, W. A monolithic projection framework for constrained FSI problems with the immersed boundary method. Comput. Methods Appl. Mech. Eng. 2020, 371, 113332. [Google Scholar] [CrossRef]
- Mac Huang, J.; Shelley, M.; Stein, D.B. A stable and accurate scheme for solving the Stefan problem coupled with natural convection using the Immersed Boundary Smooth Extension method. J. Comput. Phys. 2021, 432, 110162. [Google Scholar] [CrossRef]
- Wang, Z.; He, Q.; Huang, J. The immersed boundary-lattice Boltzmann method for solving solid-fluid interaction problem with Navier-slip boundary condition. Comput. Fluids 2021, 217, 104839. [Google Scholar] [CrossRef]
- Zhao, X.; Chen, Z.; Yang, L.; Liu, N.; Chen, S. Efficient boundary condition-enforced immersed boundary method for incompressible flows with moving boundaries. J. Comput. Phys. 2021, 441, 110425. [Google Scholar] [CrossRef]
- Sela, R.; Zemach, E.; Feldman, Y. A semi-implicit direct forcing immersed boundary method for periodically moving immersed bodies: A Schur complement approach. Comput. Methods Appl. Mech. Eng. 2021, 373, 113498. [Google Scholar] [CrossRef]
- Abbati, A.; Zhang, Y.; Dempster, W.J.; Zhang, Y. The immersed boundary method for confined flows: Numerical diffusion and simulation accuracy of a boundary retraction scheme. Comput. Fluids 2022, 249, 105690. [Google Scholar] [CrossRef]
- Wang, W.; Cao, S. Numerical study of aerodynamic roles of bridge railings by immersed boundary method. J. Wind Eng. Ind. Aerodyn. 2022, 228, 105111. [Google Scholar] [CrossRef]
- Yu, H.; Pantano, C. An immersed boundary method with implicit body force for compressible viscous flow. J. Comput. Phys. 2022, 459, 111125. [Google Scholar] [CrossRef]
- Dardé, J.; Nasr, N.; Weynans, L. Immersed boundary method for the complete electrode model in electrical impedance tomography. J. Comput. Phys. 2023, 487, 112150. [Google Scholar] [CrossRef]
- Sikdar, P.; Dash, S.M.; Sinhamahapatra, K.P. A flexible forcing immersed boundary scheme-based one-step simplified lattice Boltzmann method for two-dimensional fluid-solid interaction problems. Comput. Fluids 2023, 265, 105996. [Google Scholar] [CrossRef]
- Zhang, C.; Li, T.; Hou, J.; Qing, Z.; Meng, W.; Ma, Q.; Peng, P. Stability Improvement of the immersed Boundary–Lattice Boltzmann coupling Scheme by Semi-Implicit Weighting of External Force. Appl. Sci. 2023, 13, 9995. [Google Scholar] [CrossRef]
- Cong, L.; Teng, B.; Bai, W.; Chen, B. A VOS based Immersed Boundary-Lattice Boltzmann method for incompressible fluid flows with complex and moving boundaries. Comput. Fluids 2023, 255, 105832. [Google Scholar] [CrossRef]
- Fang, D.; Tan, J. An efficient Multi-Direct forcing scheme of immersed boundary method. Soc. Sci. Res. Netw. 2023, 4538797. [Google Scholar] [CrossRef]
- Chen, Z.; Peskin, C.S. A Fourier spectral immersed boundary method with exact translation invariance, improved boundary resolution, and a divergence-free velocity field. J. Comput. Phys. 2024, 509, 113048. [Google Scholar] [CrossRef]
- Gruninger, C.; Barrett, A.; Fang, F.; Forest, M.G.; Griffith, B.E. Benchmarking the immersed boundary method for viscoelastic flows. J. Comput. Phys. 2024, 506, 112888. [Google Scholar] [CrossRef] [PubMed]
- Fadlun, E.; Verzicco, R.; Orlandi, P.; Mohd-Yusof, J. Combined Immersed-Boundary Finite-Difference methods for Three-Dimensional complex flow simulations. J. Comput. Phys. 2000, 161, 35–60. [Google Scholar] [CrossRef]
- Kim, J.; Kim, D.; Choi, H. An Immersed-Boundary Finite-Volume method for simulations of flow in complex geometries. J. Comput. Phys. 2001, 171, 132–150. [Google Scholar] [CrossRef]
- Gilmanov, A.; Sotiropoulos, F.; Balaras, E. A general reconstruction algorithm for simulating flows with complex 3D immersed boundaries on Cartesian grids. J. Comput. Phys. 2003, 191, 660–669. [Google Scholar] [CrossRef]
- Gilmanov, A.; Sotiropoulos, F. A hybrid Cartesian/immersed boundary method for simulating flows with 3D, geometrically complex, moving bodies. J. Comput. Phys. 2005, 207, 457–492. [Google Scholar] [CrossRef]
- Kim, D.; Choi, H. Immersed boundary method for flow around an arbitrarily moving body. J. Comput. Phys. 2006, 212, 662–680. [Google Scholar] [CrossRef]
- Zhang, N.; Zheng, Z.C. An improved direct-forcing immersed-boundary method for finite difference applications. J. Comput. Phys. 2007, 221, 250–268. [Google Scholar] [CrossRef]
- Husain, S.Z.; Floryan, J.M. Immersed boundary conditions method for unsteady flow problems described by the Laplace operator. Int. J. Numer. Methods Fluids 2007, 56, 1765–1786. [Google Scholar] [CrossRef]
- Mittal, R.; Dong, H.; Bozkurttas, M.; Najjar, F.; Vargas, A.; Von Loebbecke, A. A versatile sharp interface immersed boundary method for incompressible flows with complex boundaries. J. Comput. Phys. 2008, 227, 4825–4852. [Google Scholar] [CrossRef] [PubMed]
- Husain, S.Z.; Floryan, J.M. Implicit spectrally-accurate method for moving boundary problems using immersed boundary conditions concept. J. Comput. Phys. 2008, 227, 4459–4477. [Google Scholar] [CrossRef]
- Husain, S.Z.; Floryan, J.M.; Szumbarski, J. Over-determined formulation of the immersed boundary conditions method. Comput. Methods Appl. Mech. Eng. 2009, 199, 94–112. [Google Scholar] [CrossRef]
- Husain, S.Z.; Floryan, J.M. Spectrally-accurate algorithm for moving boundary problems for the Navier–Stokes equations. J. Comput. Phys. 2010, 229, 2287–2313. [Google Scholar] [CrossRef]
- Husain, S.Z.; Floryan, J.M. Efficient over-determined implementation of the immersed boundary conditions method. Comput. Fluids 2014, 105, 194–203. [Google Scholar] [CrossRef]
- Kumar, M.; Roy, S. A sharp interface immersed boundary method for moving geometries with mass conservation and smooth pressure variation. Comput. Fluids 2016, 137, 15–35. [Google Scholar] [CrossRef]
- Sakib, N.; Mohammadi, A.; Floryan, J.M. Spectrally-accurate immersed boundary conditions method for three-dimensional flows. Comput. Math. Appl. 2017, 73, 2426–2453. [Google Scholar] [CrossRef]
- Wu, Y. Application of the hybrid Local Domain Free Discretization and Immersed Boundary Method (LDFD-IBM) to simulate moving boundary flow problems. Ocean Eng. 2018, 161, 111–120. [Google Scholar] [CrossRef]
- Yuan, R.; Zhong, C. An immersed-boundary method for compressible viscous flows and its application in the gas-kinetic BGK scheme. Appl. Math. Model. 2018, 55, 417–446. [Google Scholar] [CrossRef]
- Yousefzadeh, M.; Battiato, I. High order ghost-cell immersed boundary method for generalized boundary conditions. Int. J. Heat Mass Transf. 2019, 137, 585–598. [Google Scholar] [CrossRef]
- Zhang, Y.; Fang, X.; Zou, J.; Shi, X.H.; Ma, Z.; Zheng, Y. Numerical simulations of shock/obstacle interactions using an improved ghost-cell immersed boundary method. Comput. Fluids 2019, 182, 128–143. [Google Scholar] [CrossRef]
- Shah, C.L.; Majumdar, D.; Sarkar, S. Performance Enhancement of an Immersed Boundary Method-Based FSI Solver Using OpenMP. 2019. Available online: http://hdl.handle.net/10044/1/101664 (accessed on 18 February 2025).
- Lin, T.-Y.; Hsieh, H.-Y.; Tsai, H.-C. A target-fixed immersed-boundary formulation for rigid bodies interacting with fluid flow. J. Comput. Phys. 2020, 429, 110003. [Google Scholar] [CrossRef]
- Sundaresan, A.B.; Ghosh, S. Data reconstruction at surface in immersed-boundary methods. Comput. Fluids 2020, 196, 104236. [Google Scholar] [CrossRef]
- Kettemann, J.; Gatin, I.; Bonten, C. Verification and validation of a finite volume immersed boundary method for the simulation of static and moving geometries. J. Non Newton. Fluid Mech. 2021, 290, 104510. [Google Scholar] [CrossRef]
- Liu, R.K.; Ng, K.; Sheu, T.W.H. A volume of solid implicit forcing immersed boundary method for solving incompressible Navier-Stokes equations in complex domain. Comput. Fluids 2021, 218, 104856. [Google Scholar] [CrossRef]
- Hoover, D.; Kumar, A. Immersed boundary thin shell analysis using 3D B-Spline background mesh. Finite Elem. Anal. Des. 2021, 195, 103574. [Google Scholar] [CrossRef]
- Boustani, J.; Barad, M.F.; Kiris, C.C.; Brehm, C. An immersed boundary fluid–structure interaction method for thin, highly compliant shell structures. J. Comput. Phys. 2021, 438, 110369. [Google Scholar] [CrossRef]
- Carraturo, M.; Kollmannsberger, S.; Reali, A.; Auricchio, F.; Rank, E. An immersed boundary approach for residual stress evaluation in selective laser melting processes. Addit. Manuf. 2021, 46, 102077. [Google Scholar] [CrossRef]
- Stavropoulos-Vasilakis, E.; Rodríguez, C.; Kyriazis, N.; Malgarinos, I.; Koukouvinis, P.; Gavaises, M. A direct forcing immersed boundary method for cavitating flows. Int. J. Numer. Methods Fluids 2021, 93, 3092–3130. [Google Scholar] [CrossRef]
- Wang, J.; Zhang, C. The variable-extended immersed boundary method for compressible gaseous reactive flows past solid bodies. Int. J. Numer. Methods Eng. 2021, 122, 2221–2238. [Google Scholar] [CrossRef]
- Su, G.; Pan, T.; Zheng, M.; Li, Q. A well-defined grid line-based immersed boundary method for efficient and accurate simulations of incompressible flow. Comput. Math. Appl. 2021, 89, 99–115. [Google Scholar] [CrossRef]
- Yan, B.; Bai, W.; Jiang, S.; Cong, P.; Ning, D.; Qian, L. A three-dimensional immersed boundary method based on an algebraic forcing-point-searching scheme for water impact problems. Ocean Eng. 2021, 233, 109189. [Google Scholar] [CrossRef]
- Tian, Z.; Zhang, A.; Liu, Y.; Wang, S. Transient fluid–solid interaction with the improved penalty immersed boundary method. Ocean Eng. 2021, 236, 109537. [Google Scholar] [CrossRef]
- Jost, A.M.D.; Glockner, S. Direct forcing immersed boundary methods: Improvements to the ghost-cell method. J. Comput. Phys. 2021, 438, 110371. [Google Scholar] [CrossRef]
- Hong, S.; Yoon, D.; Ha, S.; You, D. A ghost-cell immersed boundary method for unified simulations of flow over finite- and zero-thickness moving bodies at large CFL numbers. Eng. Appl. Comput. Fluid Mech. 2021, 15, 437–461. [Google Scholar] [CrossRef]
- Gsell, S.; Favier, J. Direct-forcing immersed-boundary method: A simple correction preventing boundary slip error. J. Comput. Phys. 2021, 435, 110265. [Google Scholar] [CrossRef]
- Zhang, X.; Gu, X.; Ma, N. A ghost-cell immersed boundary method on preventing spurious oscillations for incompressible flows with a momentum interpolation method. Comput. Fluids 2021, 220, 104871. [Google Scholar] [CrossRef]
- Billo, G.; Belliard, M.; Sagaut, P. Comparison of several interpolation methods to reconstruct field data in the vicinity of a finite element immersed boundary. Comput. Math. Appl. 2022, 123, 123–135. [Google Scholar] [CrossRef]
- Billo, G.; Belliard, M.; Sagaut, P. A Finite Element Penalized Direct Forcing Immersed Boundary Method for infinitely thin obstacles in a dilatable flow. Comput. Math. Appl. 2021, 99, 292–304. [Google Scholar] [CrossRef]
- Wang, X.; Deiterding, R.; Liang, J.; Cai, X.; Zhao, W. A second-order-accurate immersed boundary ghost-cell method with hybrid reconstruction for compressible flow simulations. Comput. Fluids 2022, 237, 105314. [Google Scholar] [CrossRef]
- Lauber, M.; Weymouth, G.; Limbert, G. Immersed boundary simulations of flows driven by moving thin membranes. J. Comput. Phys. 2022, 457, 111076. [Google Scholar] [CrossRef]
- Hoover, D.; Kumar, A. Immersed boundary Mindlin-Reissner 3D shell element for modeling isotropic and laminated composite shells. Finite Elem. Anal. Des. 2022, 208, 103794. [Google Scholar] [CrossRef]
- Nair, N.J.; Goza, A. A strongly coupled immersed boundary method for fluid-structure interaction that mimics the efficiency of stationary body methods. J. Comput. Phys. 2022, 454, 110897. [Google Scholar] [CrossRef]
- Kingora, K.; Sadat-Hosseini, H. A novel interpolation-free sharp-interface immersed boundary method. J. Comput. Phys. 2022, 453, 110933. [Google Scholar] [CrossRef] [PubMed]
- Barbeau, L.; Étienne, S.; Béguin, C.; Blais, B. Development of a high-order continuous Galerkin sharp-interface immersed boundary method and its application to incompressible flow problems. Comput. Fluids 2022, 239, 105415. [Google Scholar] [CrossRef]
- Ong, K.C.; Seol, Y.; Lai, M. An immersed boundary projection method for solving the fluid-rigid body interaction problems. J. Comput. Phys. 2022, 466, 111367. [Google Scholar] [CrossRef]
- Ou, Z.; Chi, C.; Guo, L.; Thévenin, D. A directional ghost-cell immersed boundary method for low Mach number reacting flows with interphase heat and mass transfer. J. Comput. Phys. 2022, 468, 111447. [Google Scholar] [CrossRef]
- Tewolde, D.G.; Wei, Z.; Chern, M. Numerical modeling of flow past a volumeless and thin rigid body using direct forcing immersed boundary method. Int. J. Numer. Methods Fluids 2022, 95, 81–106. [Google Scholar] [CrossRef]
- Funada, M.; Imamura, T. High-order immersed boundary method for inviscid flows applied to flux reconstruction method on a hierarchical Cartesian grid. Comput. Fluids 2023, 265, 105986. [Google Scholar] [CrossRef]
- Kristoffersen, F.; Larsson, M.; Johnsen, S.G.; Schröder, W.; Müller, B. Developing an immersed boundary method for compressible flow. Proc. Appl. Math. Mech. 2023, 23, e202300206. [Google Scholar] [CrossRef]
- Raj, A.; Khan, P.M.; Alam, I.; Prakash, A.S.; Roy, S. A GPU-accelerated sharp interface immersed boundary method for versatile geometries. J. Comput. Phys. 2023, 478, 111985. [Google Scholar] [CrossRef]
- Keslerová, R.; Lancmanová, A.; Bodnár, T. Validation of numerical simulations of a simple immersed boundary solver for fluid flow in branching channels. Programs and Algorithms of Numerical Mathematics. In Proceedings of the Seminar, Jablonec Nad Nisou, Czech Republic, 19–24 June 2022. [Google Scholar] [CrossRef]
- Zhang, X.; Ye, L.; Zhang, T.; Wang, C.; Geng, J.; You, S.; Yang, Z.; Chen, X. Two-Variable Coupled Divergence-Free Immersed Boundary Method for Rigid Boundary Coupled Analysis. Soc. Sci. Res. Netw. 2023, 4488093. [Google Scholar] [CrossRef]
- Lauber, M.; Weymouth, G.D.; Limbert, G. Immersed-Boundary Fluid-Structure interaction of membranes and shells. J. Phys. Conf. Ser. 2024, 2647, 052002. [Google Scholar] [CrossRef]
- Xu, D.; Liu, J.; Wu, Y.; Ji, C. A high-efficiency discretized immersed boundary method for moving boundaries in incompressible flows. Sci. Rep. 2023, 13, 1699. [Google Scholar] [CrossRef] [PubMed]
- Li, C.; Bale, R.; Wang, W.; Tsubokura, M. A sharp interface immersed boundary method for thin-walled geometries in viscous compressible flows. Int. J. Mech. Sci. 2023, 253, 108401. [Google Scholar] [CrossRef]
- Chiu, P. cDFIB: A convolutional direct forcing immersed boundary method for solving incompressible flows with time-varying geometries. J. Comput. Phys. 2023, 487, 112178. [Google Scholar] [CrossRef]
- Yildiran, I.N.; Beratlis, N.; Capuano, F.; Loke, Y.H.; Squires, K.; Balaras, E. Pressure boundary conditions for immersed-boundary methods. J. Comput. Phys. 2024, 510, 113057. [Google Scholar] [CrossRef]
- Yokoyama, H.; Kitamiya, K.; Iida, A. Flows around a cascade of flat plates with acoustic resonance. Phys. Fluids 2013, 25, 106104. [Google Scholar] [CrossRef]
- Vanna, F.D.; Picano, F.; Benini, E. A sharp-interface immersed boundary method for moving objects in compressible viscous flows. Comput. Fluids 2020, 201, 104415. [Google Scholar] [CrossRef]
- Yang, J.; Balaras, E. An embedded-boundary formulation for large-eddy simulation of turbulent flows interacting with moving boundaries. J. Comput. Phys. 2006, 215, 12–40. [Google Scholar] [CrossRef]
- Guilmineau, E.; Queutey, P. A numerical simulation of vortex shedding from an oscillating circular cylinder. J. Fluids Struct. 2002, 16, 773–794. [Google Scholar] [CrossRef]
- Thekkethil, N.; Sharma, A. Level set function–based immersed interface method and benchmark solutions for fluid flexible-structure interaction. Int. J. Numer. Methods Fluids 2019, 91, 134–157. [Google Scholar] [CrossRef]
- He, Y.; Zhang, X.; Zhang, T.; Wang, C.; Geng, J. A wavelet immersed boundary method for two-variable coupled fluid-structure interactions. Appl. Math. Comput. 2021, 405, 126243. [Google Scholar] [CrossRef]
- Mariano, F.P.; De Queiroz Moreira, L.; Nascimento, A.A.; Da Silveira Neto, A. An improved immersed boundary method by coupling of the multi-direct forcing and Fourier pseudo-spectral methods. J. Braz. Soc. Mech. Sci. Eng. 2022, 44, 388. [Google Scholar] [CrossRef]
- Kou, J.; Hurtado-De-Mendoza, A.; Joshi, S.; Clainche, S.L.; Ferrer, E. Eigensolution analysis of immersed boundary method based on volume penalization: Applications to high-order schemes. J. Comput. Phys. 2022, 449, 110817. [Google Scholar] [CrossRef]
- Kou, J.; Ferrer, E. A combined volume penalization/selective frequency damping approach for immersed boundary methods applied to high-order schemes. J. Comput. Phys. 2023, 472, 111678. [Google Scholar] [CrossRef]
- Hua, M.; Peskin, C.S. An analysis of the numerical stability of the immersed boundary method. J. Comput. Phys. 2022, 467, 111435. [Google Scholar] [CrossRef]
- Ataei, M.; Pirmorad, E.; Costa, F.; Han, S.; Park, C.; Bussmann, M. A hybrid lattice Boltzmann-molecular dynamics-immersed boundary method model for the simulation of composite foams. Comput. Mech. 2022, 69, 1177–1190. [Google Scholar] [CrossRef]
- Yan, H.; Zhang, G.; Rao, H.; Song, H.; Sun, Z. An explicit velocity correction-based immersed boundary-hybrid lattice Boltzmann flux solver for fluid-structure interaction with large solid deformation. Ocean Eng. 2023, 270, 113655. [Google Scholar] [CrossRef]
- Ferrer, E.; Rubio, G.; Ntoukas, G.; Laskowski, W.; Mariño, O.; Colombo, S.; Mateo-Gabín, A.; Marbona, H.; De Lara, F.M.; Huergo, D.; et al. A high-order discontinuous Galerkin solver for flow simulations and multi-physics applications. Comput. Phys. Commun. 2023, 287, 108700. [Google Scholar] [CrossRef]
- Di Mascio, A.; Zaghi, S. An immersed boundary approach for high order weighted essentially non-oscillatory schemes. Comput. Fluids 2021, 222, 104931. [Google Scholar] [CrossRef]
- Yu, X.; Fuhrman, D.R.; Shao, Y.; Liao, K.; Duan, W.; Zhang, Y. Enhanced solution of 2D incompressible Navier–Stokes equations based on an immersed-boundary generalized harmonic polynomial cell method. Eur. J. Mech. B Fluids 2021, 89, 29–44. [Google Scholar] [CrossRef]
- Saravanan, V.; Choung, H.; Lee, S. Cell-based Hybrid Adaptive mesh Refinement Algorithm for Immersed Boundary Method. Int. J. Numer. Methods Fluids 2021, 94, 272–294. [Google Scholar] [CrossRef]
- Liu, Z.; Tian, F.; Feng, X. An efficient geometry-adaptive mesh refinement framework and its application in the immersed boundary lattice Boltzmann method. Comput. Methods Appl. Mech. Eng. 2022, 392, 114662. [Google Scholar] [CrossRef]
- Zaghi, S.; Salvadore, F.; Di Mascio, A.; Rossi, G. Efficient GPU parallelization of adaptive mesh refinement technique for high-order compressible solver with immersed boundary. Comput. Fluids 2023, 266, 106040. [Google Scholar] [CrossRef]
- Fang, D.; Tan, J. Immersed boundary-physics informed machine learning approach for fluid–solid coupling. Ocean Eng. 2022, 263, 112360. [Google Scholar] [CrossRef]
- Han, B.; Huang, W.; Xu, C. Deep reinforcement learning for active control of flow over a circular cylinder with rotational oscillations. Int. J. Heat Fluid Flow 2022, 96, 109008. [Google Scholar] [CrossRef]
- Llorente, V.J.; Kou, J.; Valero, E.; Ferrer, E. A modified equation analysis for immersed boundary methods based on volume penalization: Applications to linear advection–diffusion equations and high-order discontinuous Galerkin schemes. Comput. Fluids 2023, 257, 105869. [Google Scholar] [CrossRef]
- Kozubskaya, T.K.; Kudryavtseva, L.; Цветкoва, B.O. Unstructured Mesh Adaptation for Moving Bodies in Immersed Boundary Methods. In Unstructured Mesh Adaptation for Moving Bodies in Immersed Boundary Methods. In Proceedings of the 14th World Congress in Computational Mechanics (WCCM) Eccomas Congress 2020, Virtual, 11–15 January 2021. [Google Scholar] [CrossRef]
- Hedayat, M.; Borazjani, I. A parallel dynamic overset grid framework for immersed boundary methods. Comput. Fluids 2022, 239, 105378. [Google Scholar] [CrossRef]
- Li, Q.; Qu, F. A level set based immersed boundary method for simulation of non-isothermal viscoelastic melt filling process. Chin. J. Chem. Eng. 2021, 32, 119–133. [Google Scholar] [CrossRef]
- Li, Y.; Huang, W.; Xu, C.; Zhao, L. An implicit conformation tensor decoupling approach for viscoelastic flow simulation within the monolithic projection framework. J. Comput. Phys. 2022, 468, 111497. [Google Scholar] [CrossRef]
- Ni, R.; Li, J.; Zhang, X.; Zhou, X.; Cui, X. An immersed boundary-material point method for shock-structure interaction and dynamic fracture. J. Comput. Phys. 2022, 470, 111558. [Google Scholar] [CrossRef]
- Manueco, L.; Weiss, P.; Deck, S. On the coupling of wall-model immersed boundary conditions and curvilinear body-fitted grids for the simulation of complex geometries. Comput. Fluids 2021, 226, 104996. [Google Scholar] [CrossRef]
- Huang, Y.; Wang, Y. Development of a Moving-Least-Square-based Immersed Boundary Method for the simulation of viscous Compressible Flows. J. Phys. Conf. Ser. 2023, 2512, 012008. [Google Scholar] [CrossRef]
- Marussig, B.; Hiemstra, R.R.; Schillinger, D. Fast immersed boundary method based on weighted quadrature. Comput. Methods Appl. Mech. Eng. 2023, 417, 116397. [Google Scholar] [CrossRef]
- Beer, G.; Duenser, C. Immersed isogeometric Boundary Elements: A user friendly method for the 3-D elasto-plastic simulation of underground excavations. Comput. Geotech. 2023, 157, 105330. [Google Scholar] [CrossRef]
- Ya, Z.; Haeri, S.; Pan, G.; Zhang, Y. Strongly coupled peridynamic and lattice Boltzmann models using immersed boundary method for flow-induced structural deformation and fracture. J. Comput. Phys. 2021, 435, 110267. [Google Scholar] [CrossRef]
- Yang, F.; Gu, X.; Xia, X.; Zhang, Q. A peridynamics-immersed boundary-lattice Boltzmann method for fluid-structure interaction analysis. Ocean Eng. 2022, 264, 112528. [Google Scholar] [CrossRef]
- Shahmardi, A.; Rosti, M.E.; Tammisola, O.; Brandt, L. A fully Eulerian hybrid immersed boundary-phase field model for contact line dynamics on complex geometries. J. Comput. Phys. 2021, 443, 110468. [Google Scholar] [CrossRef]
- Wells, D.; Vadala-Roth, B.; Lee, J.H.; Griffith, B.E. A nodal immersed finite element-finite difference method. J. Comput. Phys. 2023, 477, 111890. [Google Scholar] [CrossRef]
- Tirri, A.; Nitti, A.; Sierra, J.; Giannetti, F.; De Tullio, M.D. Linear stability analysis of fluid–structure interaction problems with an immersed boundary method. J. Fluids Struct. 2023, 117, 103830. [Google Scholar] [CrossRef]
- Yousefzadeh, M.; Battiato, I. A level-set immersed boundary method for reactive transport in complex topologies with moving interfaces. J. Comput. Phys. 2023, 478, 111958. [Google Scholar] [CrossRef]
- Chen, W.; Zou, S.; Cai, Q.; Yang, Y. An explicit and non-iterative moving-least-squares immersed-boundary method with low boundary velocity error. J. Comput. Phys. 2023, 474, 111803. [Google Scholar] [CrossRef]
- Goncharuk, K.; Oshri, O.; Feldman, Y. The immersed boundary method: A SIMPLE approach. J. Comput. Phys. 2023, 487, 112148. [Google Scholar] [CrossRef]
- Jiang, Y.; Xie, F.; Ji, T.; Zheng, Y. A general integration kernel formulation for immersed boundary method. Phys. Fluids 2024, 36, 023619. [Google Scholar] [CrossRef]
- Luo, P.; Zhang, J. An immersed boundary method coupled non-hydrostatic model for free surface flow. Comput. Fluids 2024, 275, 106241. [Google Scholar] [CrossRef]
- Bourantas, G.C.; Zwick, B.F.; Lavier, T.P.; Loukopoulos, V.C.; Dimas, A.A.; Wittek, A.; Miller, K. An immersed boundary vector potential-vorticity meshless solver of the incompressible Navier–Stokes equation. Int. J. Numer. Methods Fluids 2022, 95, 143–175. [Google Scholar] [CrossRef]
- Wang, Z.; Jiang, Z.; Zhang, Y.; Yang, G.; Kwan, T.H.; Chen, Y.; Yao, Q. A moving least square immersed boundary method for SPH with thin-walled rigid structures. Comput. Part. Mech. 2024, 11, 1981–1995. [Google Scholar] [CrossRef]
- Dave, H.; Herrmann, M.; Kasbaoui, M.H. The volume-filtering immersed boundary method. J. Comput. Phys. 2023, 487, 112136. [Google Scholar] [CrossRef]
- Yu, H.; Pantano, C. A Regularized Projection Immersed Boundary Method for Smooth Boundary Forces. J. Comput. Phys. 2024, 496, 112571. [Google Scholar] [CrossRef]
Disclaimer/Publisher’s Note: The statements, opinions and data contained in all publications are solely those of the individual author(s) and contributor(s) and not of MDPI and/or the editor(s). MDPI and/or the editor(s) disclaim responsibility for any injury to people or property resulting from any ideas, methods, instructions or products referred to in the content. |
© 2025 by the authors. Licensee MDPI, Basel, Switzerland. This article is an open access article distributed under the terms and conditions of the Creative Commons Attribution (CC BY) license (https://creativecommons.org/licenses/by/4.0/).

































