Optimization of Concentration-Time, Agar, and Sugar Concentration for Sweet Gelatinized Adzuki-Bean Jelly Cake (Yokan) by Response Surface Methodology
Abstract
:1. Introduction
2. Materials and Methods
2.1. Materials
2.2. Experimental Design of Response Surface Methodology for the Gelatinized Adzuki-Bean Cake
2.3. Syneresis (%)
2.4. Chromatic Analysis
2.5. Texture Analysis
2.6. Sensory Evaluation
2.7. Sugar Content (°Brix)
2.8. Microphotographic Observations
2.9. Scanning Electron Microscope Micrographs
2.10. Statistics Analysis
3. Results and Discussion
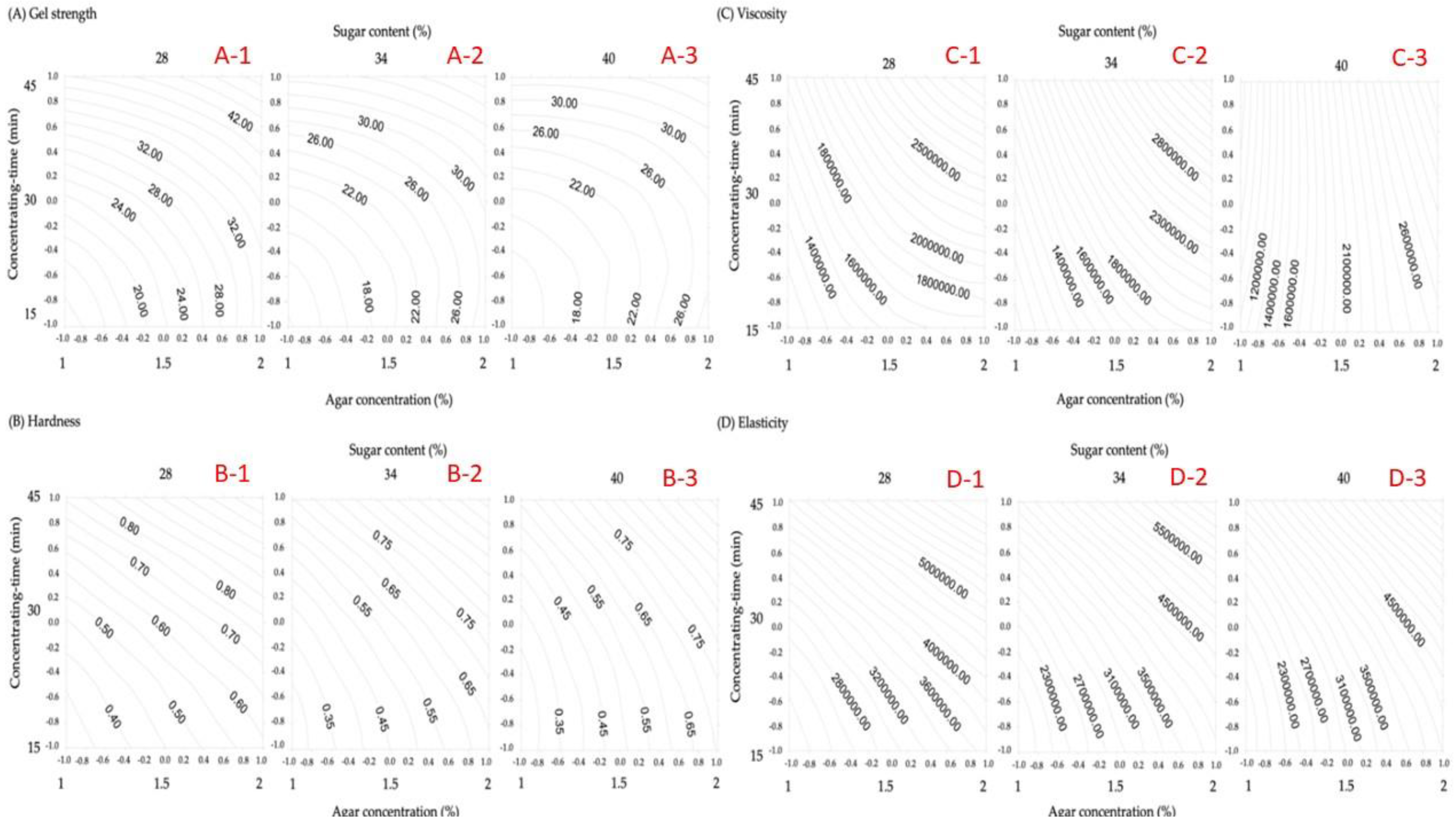
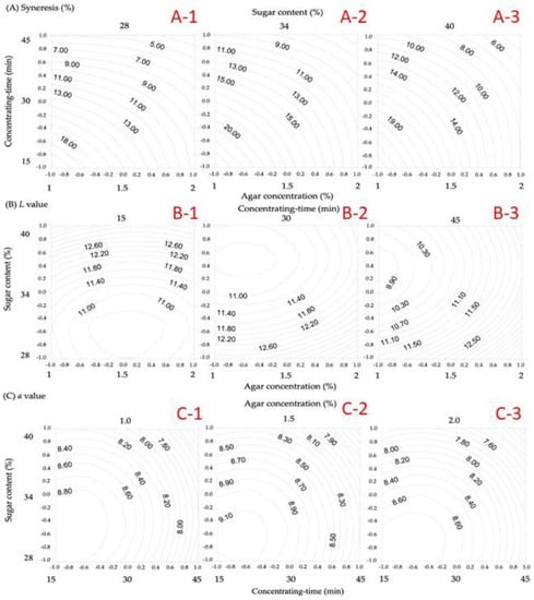
3.1. RSM
(Sugar content = 28%)
(Sugar content = 34%)
(Sugar content = 40%)
(Concentrating time = 15 min)
(Concentrating time = 30 min)
(Concentrating time = 45 min)
(Agar concentration = 1%)
(Agar concentration = 1.5%)
(Agar concentration = 2%)
(Sugar content = 28%)
(Sugar content = 34%)
(Sugar content = 40%)
(Sugar content = 28%)
(Sugar content = 34%)
(Sugar content = 40%)
(Sugar content = 28%)
(Sugar content = 34%)
(Sugar content = 40%)
(Sugar content = 28%)
(Sugar content = 34%)
(Sugar content = 40%)
(Sugar content = 28%)
3.2. Syneresis (%)
3.3. Chromatic Color
3.4. Texture Analysis
3.5. Sensory Evaluation
3.6. Microstructure Observation
3.7. Optimal Production Conditions
4. Conclusions
Author Contributions
Funding
Institutional Review Board Statement
Informed Consent Statement
Data Availability Statement
Conflicts of Interest
References
- Liu, R.; Xu, B. Bioactive Compositions and Health Promoting Effects of Adzuki Bean; Studium Press LLC: New York, NY, USA, 2016; pp. 23–43. [Google Scholar]
- Ashogbon, A.O.; Akintayo, E.T.; Oladebeye, A.O.; Oluwafemi, A.D.; Akinsola, A.F.; Imanah, O.E. Developments in the isolation, composition, and physicochemical properties of legume starches. Crit. Rev. Food Sci. Nutr. 2021, 61, 2938–2959. [Google Scholar] [CrossRef] [PubMed]
- Almeida, R.L.J.; Santos, N.C.; da Silva, G.M.; Feitoza, J.V.F.; de Alcântara Silva, V.M.; de Alcântara Ribeiro, V.H.; da Silva Eduardo, R.; de Sousa Muniz, C.E. Effects of hydrothermal pretreatments on thermodynamic and technological properties of red bean starch. J. Food Process Eng. 2022, 45, e13994. [Google Scholar] [CrossRef]
- Nishinari, K.; Fang, Y. Relation between structure and rheological/thermal properties of agar. A mini-review on the effect of alkali treatment and the role of agaropectin. Food Struct. 2017, 13, 24–34. [Google Scholar] [CrossRef]
- Goldstein, D.; Mintz, S.; Krondl, M.; Rath, E.; Mason, L.; Quinzio, G.; Heinzelmann, U. The Oxford Companion to Sugar and Sweets; Oxford University Press: Oxford, UK, 2015; p. 120. [Google Scholar] [CrossRef]
- Odake, S.; Okubo, K. Types of Sake, Sweets, and Tea on the Menu of Food Offerings Presented by the Rai Family for Confucian Seasonal Rites in the Spring and Autumn. J. Home Econ. Jpn. 2011, 62, 727–734. [Google Scholar] [CrossRef]
- Gotow, N.; Skrandies, W.; Kobayashi, T.; Kobayakawa, T. Traditional Japanese confection overseas: Cultural difference and retronasal aroma affect flavor preference and umami perception. Food Qual. Prefer. 2021, 92, 104204. [Google Scholar] [CrossRef]
- Rochas, C.; Rinaudo, M. Mechanism of gel formation in κ-carrageenan. Biopolymers 1984, 23, 735–745. [Google Scholar] [CrossRef]
- Wongphan, P.; Harnkarnsujarit, N. Characterization of starch, agar and maltodextrin blends for controlled dissolution of edible films. Int. J. Biol. Macromol. 2020, 156, 80–93. [Google Scholar] [CrossRef]
- Tanaka, T. Gels. Sci. Am. 1981, 244, S117–S124. [Google Scholar] [CrossRef]
- Box, G.E.P.; Behnken, D.W. Some New Three Level Designs for the Study of Quantitative Variables. Technometrics 1960, 2, 455–475. [Google Scholar] [CrossRef]
- Liu, D.; Tang, W.; Xin, Y.; Yang, J.; Yuan, L.; Huang, X.; Yin, J.; Nie, S.; Xie, M. Comparison on structure and physicochemical properties of starches from adzuki bean and dolichos bean. Food Hydrocoll. 2020, 105, 105784. [Google Scholar] [CrossRef]
- Wu, Y.S.; Seib, P.A. Acetylated and hydroxypropylated distarch phosphates from waxy barley: Paste properties and freeze-thaw stability. Cereal Chem. 1990, 67, 202–208. [Google Scholar]
- Lin, D.K.J. Statistics for Experimenters: Design, Innovation, and Discovery, Second Edition. J. Qual. Technol. 2006, 38, 78–80. [Google Scholar] [CrossRef]
- Henika, R.G. Simple and effective system for use with response surface methodology. Cereal Sci. Today 1972, 17, 309–334. [Google Scholar]
- Montgomery, D.C. Response Surface Methods and Designs; John Wiley & Sons: Hoboken, NJ, USA, 1991. [Google Scholar]
- Alexopoulos, E.C. Introduction to multivariate regression analysis. Hippokratia 2010, 14, 23–28. [Google Scholar]
- Lee, W.-K.; Lim, Y.Y.; Leow, T.; Namasivayam, P.; Ong Abdullah, J.; Chai, L. Factors affecting yield and gelling properties of agar. J. Appl. Phycol. 2017, 29, 1527–1540. [Google Scholar] [CrossRef]
- Matsuhashi, T. Agar. In Food Gels; Harris, P., Ed.; Springer: Dordrecht, The Netherlands, 1990; pp. 1–51. [Google Scholar] [CrossRef]
- Huang, P.-H.; Chiu, C.-S.; Lu, W.-C.; Li, P.-H. Effect of compositions on physicochemical properties and rheological behavior of gelatinized adzuki-bean cake (Yokan). LWT 2022, in press. [Google Scholar] [CrossRef]
- Ali, N.A.; Dash, K.K.; Routray, W. Physicochemical characterization of modified lotus seed starch obtained through acid and heat moisture treatment. Food Chem. 2020, 319, 126513. [Google Scholar] [CrossRef]
- Su, H.S.; Lu, W.; Chang, K.C. Microstructure and Physicochemical Characteristics of Starches in Six Bean Varieties and Their Bean Paste Products. LWT—Food Sci. Technol. 1998, 31, 265–273. [Google Scholar] [CrossRef]
- Labuzu, T.D. Effect of the Method of Process on the Control of Microbial Growth by Water Activity in Foods. 1972. Available online: https://ntrs.nasa.gov/api/citations/19720000731/downloads/19720000731.pdf (accessed on 4 August 2022).
- Peleg, M.; Corradini, M.G.; Normand, M.D. On Modeling the Effect of Water Activity on Microbial Growth and Mortality Kinetics. In Water Stress in Biological, Chemical, Pharmaceutical and Food Systems; Gutiérrez-López, G.F., Alamilla-Beltrán, L., del Pilar Buera, M., Welti-Chanes, J., Parada-Arias, E., Barbosa-Cánovas, G.V., Eds.; Springer: New York, NY, USA, 2015; pp. 263–278. [Google Scholar] [CrossRef]
- Tamanna, N.; Mahmood, N. Food Processing and Maillard Reaction Products: Effect on Human Health and Nutrition. Int. J. Food Sci. 2015, 2015, 526762. [Google Scholar] [CrossRef]
- Gou, J.; Liang, R.; Huang, H.; Ma, X. Maillard Reaction Induced Changes in Allergenicity of Food. Foods 2022, 11, 530. [Google Scholar] [CrossRef]
- Barrett, D.M.; Beaulieu, J.C.; Shewfelt, R. Color, Flavor, Texture, and Nutritional Quality of Fresh-Cut Fruits and Vegetables: Desirable Levels, Instrumental and Sensory Measurement, and the Effects of Processing. Crit. Rev. Food Sci. Nutr. 2010, 50, 369–389. [Google Scholar] [CrossRef] [PubMed]
- Ellis, A.L.; Mills, T.B.; Norton, I.T.; Norton-Welch, A.B. The effect of sugars on agar fluid gels and the stabilisation of their foams. Food Hydrocoll. 2019, 87, 371–381. [Google Scholar] [CrossRef]
- Su, K.; Brunet, M.; Festring, D.; Ayed, C.; Foster, T.; Fisk, I. Flavour distribution and release from gelatine-starch matrices. Food Hydrocoll. 2021, 112, 106273. [Google Scholar] [CrossRef] [PubMed]
- Gallego, M.; Barat, J.M.; Grau, R.; Talens, P. Compositional, structural design and nutritional aspects of texture-modified foods for the elderly. Trends Food Sci. Technol. 2022, 119, 152–163. [Google Scholar] [CrossRef]
- Hsieh, H.M.; Swanson, B.G.; Lumpkin, T.A. Starch Gelatinization and Microstructure of Azuki An Granules Prepared From Whole, Abraded, or Ground Beans. LWT—Food Sci. Technol. 1999, 32, 469–480. [Google Scholar] [CrossRef]
- Sindhu, R.; Khatkar, B.S. Thermal, structural and textural properties of amaranth and buckwheat starches. J. Food Sci. Technol. 2018, 55, 5153–5160. [Google Scholar] [CrossRef]
- Kumoro, A.C.; Retnowati, D.S.; Ratnawati, R.; Widiyanti, M. Estimation of aqueous solubility of starch from various botanical sources using Flory Huggins theory approach. Chem. Eng. Commun. 2021, 208, 624–635. [Google Scholar] [CrossRef]





| X Agar Concentration | Y Sugar Content | Z Concentration-Time | Number of Runs |
|---|---|---|---|
| ±1 | ±1 | 0 | 3 × 4 = 12 |
| ±1 | 0 | ±1 | |
| 0 | ±1 | ±1 | |
| 0 | 0 | 0 | 1 × 3 = 3 |
| Total runs | 15 |
| Independent Variables | Coded Symbols | Levels | |
|---|---|---|---|
| Coded | Uncoded | ||
| Agar concentration (%) | X | 1 | 2.0 |
| 0 | 1.5 | ||
| −1 | 1.0 | ||
| Sugar content (%) | Y | 1 | 40 |
| 0 | 34 | ||
| −1 | 28 | ||
| Concentration-time (min) | Z | 1 | 45 |
| 0 | 30 | ||
| −1 | 15 | ||
| Run a No | Variable Code Level | Experimental Data for Responses | ||||||||||||||||
|---|---|---|---|---|---|---|---|---|---|---|---|---|---|---|---|---|---|---|
| X | Y | Z | SY | LV | AV | BV | GS | HA | VI | EL | SC | SF | SBF | SH | SQD | SG | SOA | |
| 1 | 1 | 1 | 0 | 8.11 | 11.71 | 7.93 | 1.28 | 28.73 | 0.8071 | 2,770,803.00 | 4,878,917.95 | 6.63 | 6.00 | 6.25 | 5.50 | 5.38 | 5.50 | 5.75 |
| 2 | −1 | −1 | 0 | 13.66 | 13.35 | 8.28 | 1.44 | 20.28 | 0.4579 | 1,485,534.20 | 2,767,960.02 | 6.25 | 6.13 | 6.50 | 6.13 | 4.75 | 6.13 | 6.13 |
| 3 | 1 | −1 | 0 | 5.53 | 13.63 | 8.89 | 1.86 | 36.10 | 0.8282 | 2,622,992.58 | 5,006,062.15 | 6.00 | 5.88 | 6.00 | 5.00 | 5.13 | 5.13 | 5.50 |
| 4 | −1 | 1 | 0 | 20.34 | 11.73 | 7.78 | 0.84 | 18.70 | 0.2725 | 674,228.85 | 1,752,067.79 | 5.38 | 5.88 | 5.75 | 6.38 | 5.63 | 6.00 | 5.88 |
| 5 | 1 | 0 | 1 | 5.54 | 12.95 | 7.60 | 0.85 | 40.16 | 1.1355 | 3,902,214.23 | 6,864,178.18 | 6.38 | 6.38 | 6.25 | 5.38 | 5.38 | 6.13 | 6.38 |
| 6 | −1 | 0 | −1 | 24.17 | 11.22 | 8.92 | 1.88 | 12.70 | 0.2605 | 616,982.80 | 1,574,723.75 | 5.75 | 5.50 | 5.88 | 5.25 | 5.13 | 5.88 | 5.25 |
| 7 | 1 | 0 | −1 | 11.63 | 12.09 | 8.10 | 1.20 | 29.52 | 0.5881 | 1,570,121.70 | 3,499,844.87 | 6.25 | 6.50 | 6.25 | 5.13 | 5.13 | 5.50 | 6.00 |
| 8 | −1 | 0 | 1 | 7.77 | 9.13 | 8.11 | 1.63 | 34.61 | 0.6893 | 1,870,292.03 | 4,166,362.71 | 6.63 | 5.88 | 6.13 | 5.25 | 5.50 | 5.75 | 6.00 |
| 9 | 0 | 1 | 1 | 6.46 | 11.00 | 7.11 | 1.19 | 33.67 | 0.8448 | 2,724,622.95 | 5,106,710.01 | 6.00 | 6.00 | 5.63 | 5.50 | 5.38 | 5.63 | 5.75 |
| 10 | 0 | −1 | −1 | 17.09 | 13.24 | 9.29 | 1.93 | 21.43 | 0.4438 | 1,607,065.74 | 2,955,168.89 | 5.50 | 5.38 | 6.38 | 5.13 | 4.63 | 5.13 | 5.00 |
| 11 | 0 | 1 | −1 | 14.53 | 10.47 | 8.31 | 1.42 | 19.36 | 0.5403 | 1,847,202.00 | 3,265,685.54 | 5.50 | 5.63 | 5.88 | 5.88 | 5.88 | 6.25 | 6.00 |
| 12 | 0 | −1 | 1 | 6.52 | 12.93 | 7.88 | 0.86 | 44.17 | 0.8991 | 2,268,862.90 | 5,284,201.63 | 6.75 | 6.50 | 6.00 | 5.50 | 5.38 | 5.75 | 5.88 |
| 13 | 0 | 0 | 0 | 14.52 | 11.68 | 8.87 | 1.85 | 22.56 | 0.4954 | 1,754,841.90 | 3,309,792.40 | 5.75 | 5.63 | 6.25 | 6.50 | 5.50 | 6.50 | 6.13 |
| 14 | 0 | 0 | 0 | 17.95 | 11.21 | 8.75 | 2.16 | 21.90 | 0.6133 | 2,301,192.28 | 3,707,304.00 | 5.63 | 5.85 | 5.88 | 6.13 | 5.83 | 6.22 | 6.50 |
| 15 | 0 | 0 | 0 | 10.04 | 10.41 | 9.05 | 2.15 | 24.55 | 0.6172 | 2,185,742.08 | 3,730,830.99 | 6.25 | 6.40 | 5.75 | 6.38 | 6.00 | 6.19 | 6.25 |
| Source | DF a | Sum of Square | ||||||||||||||
|---|---|---|---|---|---|---|---|---|---|---|---|---|---|---|---|---|
| SY | LV | AV | BV | GS | HA | VI | EL | SC | SF | SBF | SH | SQD | SG | SOA | ||
| Model | 9 | 419.94 | 18.98 | 4.55 | 2.05 | 1111.93 *** | 0.78 ** | 8.78 × 1012 * | 2.68 × 1013 ** | 2.42 | 0.94 | 0.65 | 3.13 | 1.92 * | 1.92 | 1.64 |
| Linear | 3 | 371.24 * | 11.68 | 3.25 * | 0.73 | 954.05 *** | 0.73 *** | 8.12 × 1012 ** | 2.54 × 1013 *** | 1.27 * | 0.64 | 0.28 | 0.79 | 0.80 * | 0.50 | 0.50 |
| Quadratic | 3 | 16.36 | 4.93 | 1.21 | 1.14 | 99.97 ** | 0.03 | 1.17 × 1011 | 9.52 × 1011 | 0.31 | 0.07 | 0.09 | 2.17 * | 0.62 * | 0.83 | 0.73 |
| Cross product | 3 | 32.34 | 2.37 | 0.09 | 0.18 | 57.90 * | 0.02 | 5.33 × 1011 | 4.06 × 1011 | 0.84 | 0.24 | 0.27 | 0.17 | 0.49 | 0.59 | 0.42 |
| Residual | 5 | 54.87 | 3.71 | 0.81 | 0.92 | 9.49 | 0.03 | 9.28 × 1011 | 7.83 × 1011 | 0.39 | 0.84 | 0.28 | 0.59 | 0.16 | 0.44 | 0.64 |
| Lack of fit | 3 | 23.40 | 2.88 | 0.77 | 0.86 | 5.68 | 0.02 | 7.62 × 1011 | 6.71 × 1011 | 0.17 | 0.52 | 0.14 | 0.52 | 0.03 | 0.38 | 0.57 |
| Pure error | 2 | 31.47 | 0.82 | 0.05 | 0.06 | 3.81 | 0.01 | 1.66 × 1011 | 1.12 × 1011 | 0.22 | 0.31 | 0.13 | 0.07 | 0.13 | 0.06 | 0.07 |
| Percent of determination (R2) | 88.44 | 83.65 | 84.82 | 68.97 | 99.15 | 96.86 | 90.43 | 97.16 | 86.19 | 52.97 | 69.92 | 84.15 | 92.48 | 81.26 | 71.85 | |
| Source | DF a | Sum of Square | ||||||||||
|---|---|---|---|---|---|---|---|---|---|---|---|---|
| SY | LV | AV | GS | HA | VI | EL | SC | SH | SQ | SG | ||
| X | 4 | 186.23 | 6.08 | 0.49 | 336.73 *** | 0.36 ** | 5.45 × 1012 * | 1.28 × 1013 ** | 1.13 | 1.17 | 0.42 | 0.71 |
| Y | 4 | 21.87 | 12.63 | 1.81 | 94.45 ** | 0.02 | 2.46 × 1011 | 4.04 × 1011 | 0.84 | 0.54 | 1.45 ** | 1.14 |
| Z | 4 | 246.09 * | 2.66 | 2.52 | 746.41 *** | 0.42 ** | 3.60 × 1012 | 1.39 × 1013 ** | 1.29 | 1.81 | 0.63 | 0.78 |
Publisher’s Note: MDPI stays neutral with regard to jurisdictional claims in published maps and institutional affiliations. |
© 2022 by the authors. Licensee MDPI, Basel, Switzerland. This article is an open access article distributed under the terms and conditions of the Creative Commons Attribution (CC BY) license (https://creativecommons.org/licenses/by/4.0/).
Share and Cite
Huang, P.-H.; Cheng, Y.-T.; Lu, W.-C.; Li, P.-H. Optimization of Concentration-Time, Agar, and Sugar Concentration for Sweet Gelatinized Adzuki-Bean Jelly Cake (Yokan) by Response Surface Methodology. Gels 2022, 8, 540. https://doi.org/10.3390/gels8090540
Huang P-H, Cheng Y-T, Lu W-C, Li P-H. Optimization of Concentration-Time, Agar, and Sugar Concentration for Sweet Gelatinized Adzuki-Bean Jelly Cake (Yokan) by Response Surface Methodology. Gels. 2022; 8(9):540. https://doi.org/10.3390/gels8090540
Chicago/Turabian StyleHuang, Ping-Hsiu, Yu-Tsung Cheng, Wen-Chien Lu, and Po-Hsien Li. 2022. "Optimization of Concentration-Time, Agar, and Sugar Concentration for Sweet Gelatinized Adzuki-Bean Jelly Cake (Yokan) by Response Surface Methodology" Gels 8, no. 9: 540. https://doi.org/10.3390/gels8090540
APA StyleHuang, P.-H., Cheng, Y.-T., Lu, W.-C., & Li, P.-H. (2022). Optimization of Concentration-Time, Agar, and Sugar Concentration for Sweet Gelatinized Adzuki-Bean Jelly Cake (Yokan) by Response Surface Methodology. Gels, 8(9), 540. https://doi.org/10.3390/gels8090540

