Use of Betaine-Based Gel and Its Potential Application in Enhanced Oil Recovery
Abstract
:1. Introduction
2. Experimental
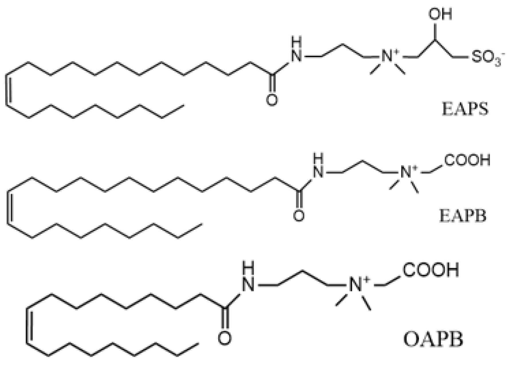
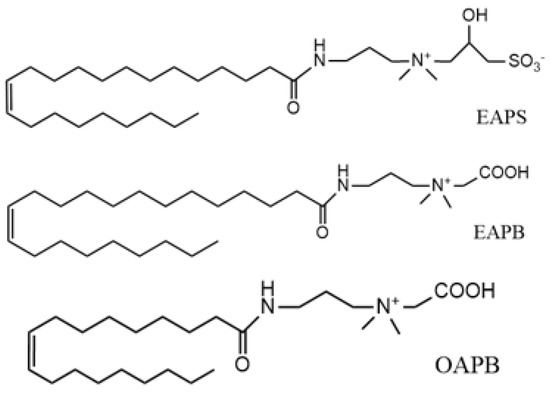
2.1. Materials
2.2. Surfactant Screening
2.3. Salt Screening
2.4. Shear Resistance Properties Evaluation
2.5. Proppants Suspending Performance
2.6. Gel Breaking Properties
2.7. Oil Displacement
3. Results and Discussion
3.1. Mechanism of Gel Formation
3.2. Formula Optimization
3.2.1. Surfactant Screening
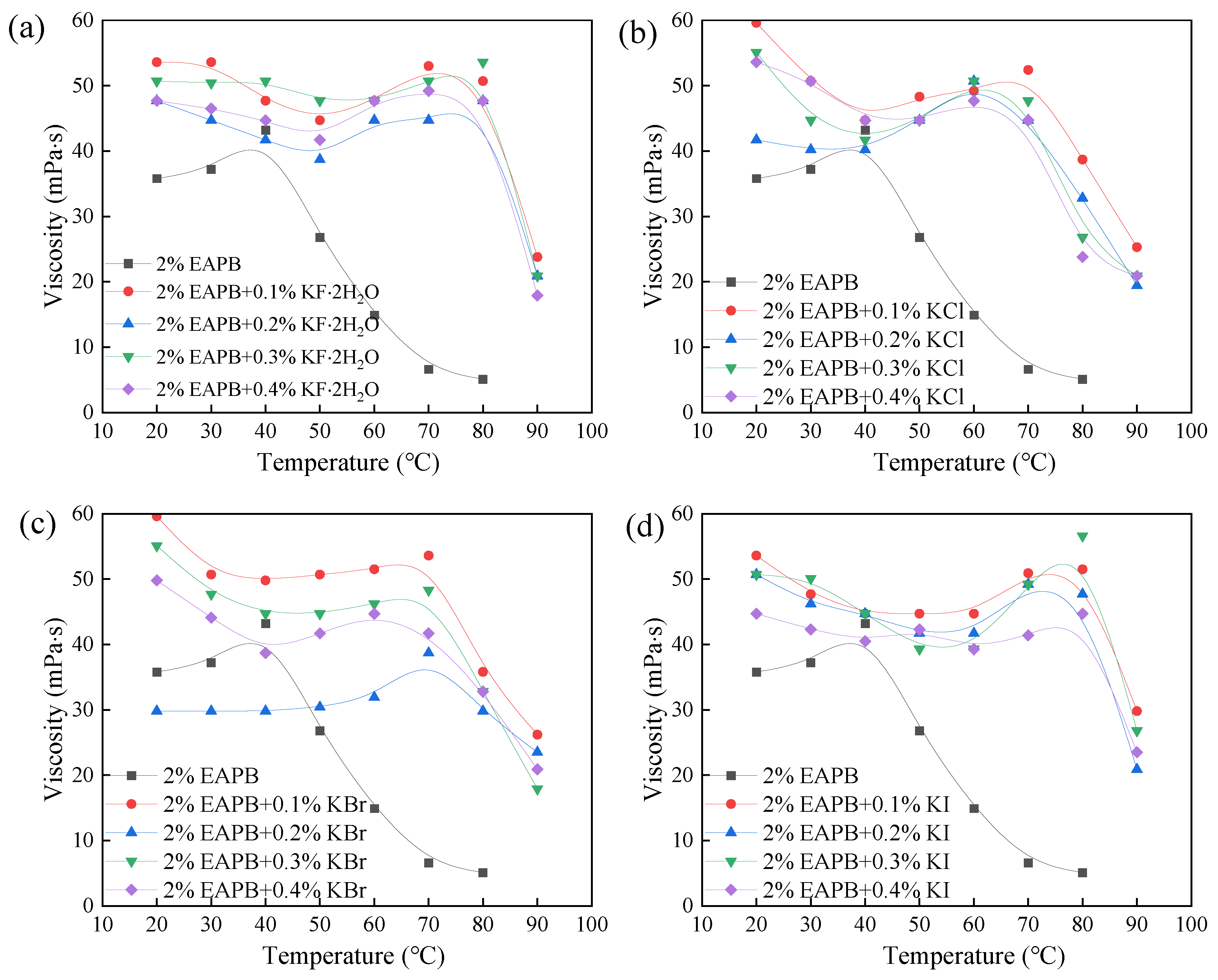
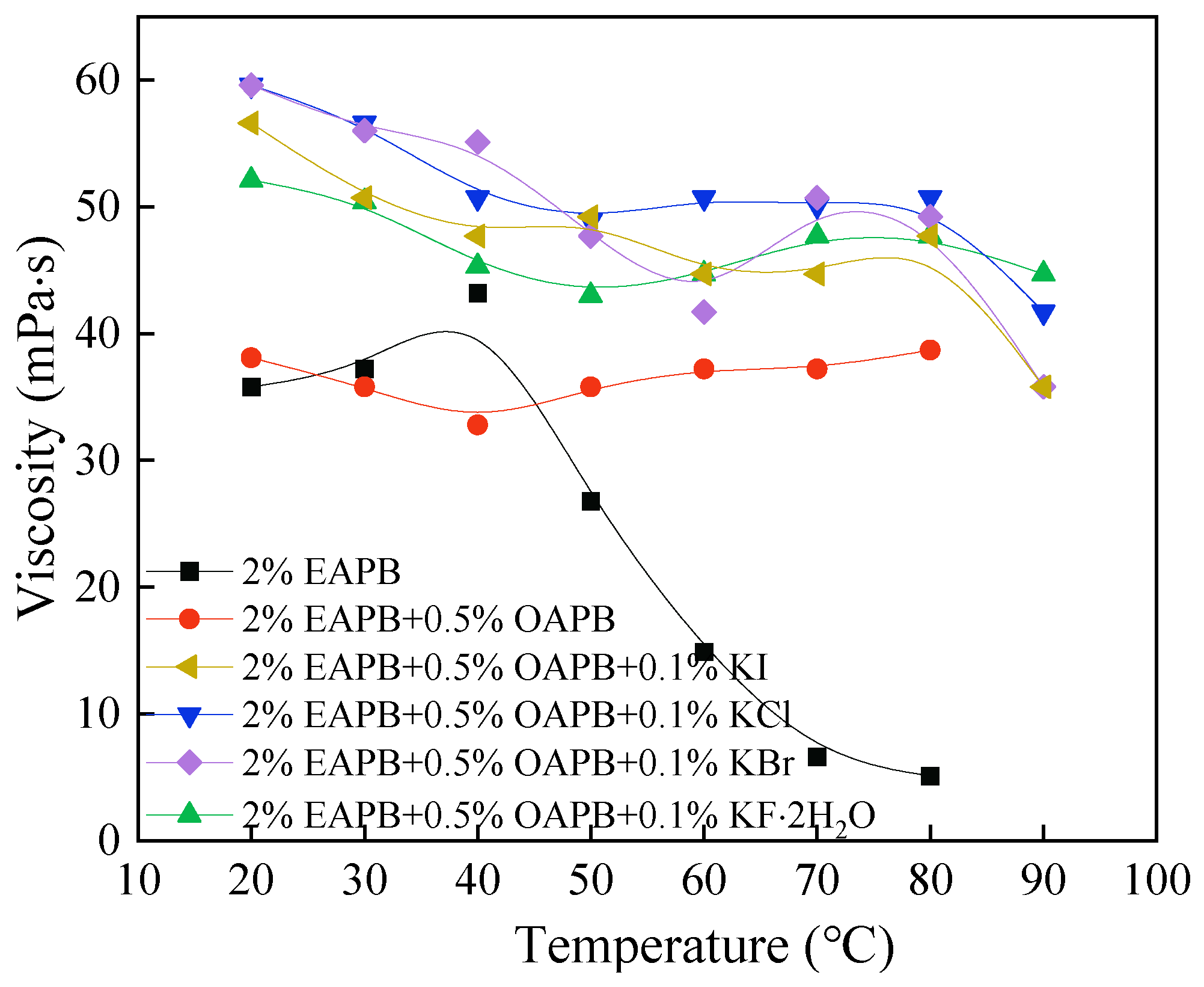
3.2.2. Salt Screening
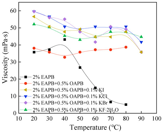
3.3. Viscosity Stability Test
3.4. Shear Resistance
3.5. Viscoelastic Experiment
3.6. Proppants Suspending Performance
3.7. Gel-Breaking Properties
3.8. Surface Tension
3.9. Oil Displacement
4. Conclusions
Author Contributions
Funding
Institutional Review Board Statement
Informed Consent Statement
Data Availability Statement
Acknowledgments
Conflicts of Interest
References
- Thomas, L.; Tang, H.; Kalyon, D.M.; Aktas, S.; Arthur, J.D.; Blotevogel, J.; Carey, J.W.; Filshill, A.; Fu, P.; Hsuan, G.; et al. Toward better hydraulic fracturing fluids and their application in energy production: A review of sustainable technologies and reduction of potential environmental impacts. J. Pet. Sci. Eng. 2019, 173, 793–803. [Google Scholar] [CrossRef]
- Tang, S.; Zheng, Y.; Yang, W.; Wang, J.; Fan, Y.; Lu, J. Experimental study of sulfonate gemini surfactants as thickeners for clean fracturing fluids. Energies 2018, 11, 3182. [Google Scholar] [CrossRef] [Green Version]
- Faber, A.-H.; Brunner, A.M.; Dingemans, M.M.L.; Baken, K.A.; Kools, S.A.E.; Schot, P.P.; de Voogt, P.; van Wezel, A.P. Comparing conventional and green fracturing fluids by chemical characterisation and effect-based screening. Sci. Total Environ. 2021, 794, 148727. [Google Scholar] [CrossRef] [PubMed]
- Pu, W.-F.; Du, D.-J.; Liu, R. Preparation and evaluation of supramolecular fracturing fluid of hydrophobically associative polymer and viscoelastic surfactant. J. Pet. Sci. Eng. 2018, 167, 568–576. [Google Scholar] [CrossRef]
- Abdel-Halim, E.S.; Al-Deyab, S.S. Hydrogel from crosslinked polyacrylamide/guar gum graft copolymer for sorption of hexavalent chromium ion. Carbohydr. Polym. 2011, 86, 1306–1312. [Google Scholar] [CrossRef]
- Bahamdan, A.; Daly, W.H. Hydrophobic guar gum derivatives prepared by controlled grafting processes. Polym. Adv. Technol. 2007, 18, 652–659. [Google Scholar] [CrossRef]
- Risica, D.; Barbetta, A.; Vischetti, L.; Cametti, C.; Dentini, M. Rheological properties of guar and its methyl, hydroxypropyl and hydroxypropyl-methyl derivatives in semidilute and concentrated aqueous solutions. Polymer 2010, 51, 1972–1982. [Google Scholar] [CrossRef]
- Huang, T.; Crews, J.B. Nanotechnology applications in viscoelastic surfactant stimulation fluids. SPE Prod. Oper. 2008, 23, 512–517. [Google Scholar] [CrossRef]
- Zhang, W.; Mao, J.; Yang, X.; Zhang, H.; Zhang, Z.; Yang, B.; Zhang, Y.; Zhao, J. Study of a novel gemini viscoelastic surfactant with high performance in clean fracturing fluid application. Polymers 2018, 10, 1215. [Google Scholar] [CrossRef] [Green Version]
- Yan, Z.; Dai, C.; Zhao, M.; Sun, Y.; Zhao, G. Development, formation mechanism and performance evaluation of a reusable viscoelastic surfactant fracturing fluid. J. Ind. Eng. Chem. 2016, 37, 115–122. [Google Scholar] [CrossRef]
- Zhao, J.; Fan, J.; Mao, J.; Yang, X.; Zhang, H.; Zhang, W. High performance clean fracturing fluid using a new tri-cationic surfactant. Polymers 2018, 10, 535. [Google Scholar] [CrossRef] [PubMed] [Green Version]
- Yang, M.; Lu, Y.; Ge, Z.; Zhou, Z.; Chai, C.; Wang, H.; Zhang, L.; Bo, T. Viscoelastic surfactant fracturing fluids for use in coal seams: Effects of surfactant composition and formulation. Chem. Eng. Sci. 2020, 215, 115370. [Google Scholar] [CrossRef]
- Yang, J.; Hou, J. Synthesis of erucic amide propyl betaine compound fracturing fluid system. Colloids Surf. A Physicochem. Eng. Asp. 2020, 602, 125098. [Google Scholar] [CrossRef]
- Baruah, A.; Pathak, A.K.; Ojha, K. Phase behaviour and thermodynamic properties of lamellar liquid crystal developed for viscoelastic surfactant based fracturing fluid. Chem. Eng. Sci. 2015, 131, 146–154. [Google Scholar] [CrossRef]
- Zhang, Y.; Han, Y.; Chu, Z.; He, S.; Zhang, J.; Feng, Y. Thermally induced structural transitions from fluids to hydrogels with pH-switchable anionic wormlike micelles. J. Colloid Interface Sci. 2013, 394, 319–328. [Google Scholar] [CrossRef]
- Panchal, H.; Patel, H.; Patel, J.; Shah, M. A systematic review on nanotechnology in enhanced oil recovery. Pet. Res. 2021, 6, 204–212. [Google Scholar] [CrossRef]
- Yue, P.; Zhang, F.; Fan, H.L. Study of oil displacement performance of hydroxyl sulfobetaine surfactant. Adv. Mater. Res. 2014, 853, 223–228. [Google Scholar] [CrossRef]
- Bai, Y.; Zhang, J.; Dong, S.; Zhu, S.; Wang, M.; Wu, Y.; Pu, C.; Chen, G. The effect of halide counter ions and methanol on the foaming behavior of cationic surfactants and a mechanism study. Tenside Surfactants Deterg. 2021, 58, 278–286. [Google Scholar] [CrossRef]
- Liu, Q.; Bai, Y.; Dong, S.; Li, J.; Song, Z.; Chen, S.; Zhang, J.; Chen, G. Preparation and the foaming activity study of hydroxymethyl cetyltrimethyl ammonium chloride: Herstellung von hydroxymethylcetyltrimethylammoniumchlorid und untersuchung seines schaumvermögens. Tenside Surfactants Deterg. 2021, 58, 153–160. [Google Scholar] [CrossRef]
- Gao, M.; Jia, Y.; Lv, S.; Dong, S.; Wang, M.; Zhu, S.; Zhang, J.; Chen, G. Synergistic effect of octadecyl ammonium oxide and oleate amide propyl betaine and development of a foam drainage reagent for natural gas production. Comptes Rendus Chimie 2021, 24, 11–20. [Google Scholar] [CrossRef]
- Chen, G.; Zhou, Z.; Shi, X.; Zhang, X.; Dong, S.; Zhang, J. Synthesis of alkylbenzenesulfonate and its behavior as flow improver in crude oil. Fuel 2021, 288, 119644. [Google Scholar] [CrossRef]
- Zhou, Z.; Zhang, W.; Zhang, F.; Zhang, X.; Dong, S.; Zhang, J.; Chen, G. Synthesis of barium alkylbenzene sulfonate and its behavior as a flow improver for crude oil. Comptes Rendus. Chimie 2021, 24, 83–89. [Google Scholar] [CrossRef]
- Zhou, Z.; Dong, S.; Zhang, X.; Zhang, J.; Song, H.; Chen, G. Synthesis of multi-alkylpolyamines and their performance as flow improver in crude oil. Tenside Surfactants Deterg. 2022, 59, 104–110. [Google Scholar] [CrossRef]
- Chen, G.; Yan, J.; Bai, Y.; Dong, S.; Liu, D.; Zhang, J.; Zhu, S.; Qu, C. Synthesis of two chiral surfactants by a simple method and the surface activity evaluation. J. Mol. Liq. 2020, 316, 113892. [Google Scholar] [CrossRef]
- Yang, H.; Zhang, H.; Zheng, W.; Zhou, B.; Zhao, H.; Li, X.; Zhang, L.; Zhu, Z.; Kang, W.; Ketova, Y.A.; et al. Effect of hydrophobic group content on the properties of betaine-type binary amphiphilic polymer. J. Mol. Liq. 2020, 311, 113358. [Google Scholar] [CrossRef]
- Yan, J.; Liu, Q.; Du, W.; Qu, C.; Song, Z.; Li, J.; Zhang, J.; Chen, G. Synthesis and properties of octadecyl trimethyl ammonium polyacrylic surfactants. Tenside Surfactants Deterg. 2020, 57, 122–128. [Google Scholar] [CrossRef]
- Chen, G.; Bai, Y.; Liu, Q.; Zhang, J.; Gu, X.; Li, H.; Qu, C.; Zhang, Y. Synthesis and interface activity of a series of dicarboxylic cationic surfactants and a structure–efficiency relationship study. J. Surfactants Deterg. 2019, 22, 691–698. [Google Scholar] [CrossRef]
- Gao, M.; Tian, W.; Ma, Z.; Dong, S.; Ke, C.; Zhang, J.; Chen, G. Research of a surfactant gel with potential application in oilfield. Tenside Surfactants Deterg. 2021, 58, 360–370. [Google Scholar] [CrossRef]
- Wu, X.; Song, Z.; Zhen, J.; Wang, H.; Yao, L.; Zhao, M.; Dai, C. A smart recyclable VES fluid for high temperature and high pressure fracturing. J. Pet. Sci. Eng. 2020, 190, 107097. [Google Scholar] [CrossRef]
- Jensen, G.V.; Lund, R.; Gummel, J.; Narayanan, T.; Pedersen, J.S. Monitoring the transition from spherical to polymer-like surfactant micelles using small-angle X-ray scattering. Angew. Chem. Int. Ed. Engl. 2014, 53, 11524–12528. [Google Scholar] [CrossRef]
- Mao, J.; Yang, X.; Chen, Y.; Zhang, Z.; Zhang, C.; Yang, B.; Zhao, J. Viscosity reduction mechanism in high temperature of a Gemini viscoelastic surfactant (VES) fracturing fluid and effect of counter-ion salt (KCl) on its heat resistance. J. Pet. Sci. Eng. 2018, 164, 189–195. [Google Scholar] [CrossRef]
- Israelachvili, J.N.; Mitchell, D.J.; Ninham, B.W. Theory of self-assembly of hydrocarbon amphiphiles into micelles and bilayers. J. Chem. Soc. Faraday Trans. 2 Mol. Chem. Phys. 1976, 72, 1525–1568. [Google Scholar] [CrossRef]
- Chieng, Z.H.; Mohyaldinn, M.E.; Hassan, A.M.; Bruining, H. Experimental investigation and performance evaluation of modified viscoelastic surfactant (VES) as a new thickening fracturing fluid. Polymers 2020, 12, 1470. [Google Scholar] [CrossRef] [PubMed]
- Mushi, S.J.; Kang, W.; Yang, H.; Li, Z.; Ibrashev, K.; Issakhov, M.; Mabeyo, P.E. Effect of aromatic acid on the rheological behaviors and microstructural mechanism of wormlike micelles in betaine surfactant. J. Mol. Liq. 2021, 332, 115908. [Google Scholar] [CrossRef]
- Mao, J.; Tian, J.; Zhang, W.; Yang, X.; Zhang, H.; Lin, C.; Zhang, Y.; Zhang, Z.; Zhao, J. Effects of a counter-ion salt (potassium chloride) on gemini cationic surfactants with different spacer lengths. Colloids Surf. A Physicochem. Eng. Asp. 2019, 578, 123619. [Google Scholar] [CrossRef]
- Ma, X.; Zhu, Z.; Dai, L.; Liu, L.; Shi, W. Introducing hydroxyl into cationic surfactants as viscoelastic surfactant fracturing fluid with high temperature resistance. Russ. J. Appl. Chem. 2016, 89, 2016–2026. [Google Scholar] [CrossRef]
- Kianinejad, A.; Rashtchian, D.; Ghazanfari, M.H.; Kharrat, R. A Pore-level Investigation of Surfactant-crude Oil Displacements Behavior in Fractured Porous Media Using One-quarter Five Spot Micromodels. Energy Sources Part A Recovery Util. Environ. Eff. 2014, 36, 727–737. [Google Scholar] [CrossRef]
- Yu, Q.; Liu, Y.; Liang, S.; Tan, S.; Sun, Z.; Yu, Y. Experimental study on surface-active polymer flooding for enhanced oil recovery: A case study of Daqing placanticline oilfield, NE China. Pet. Explor. Dev. 2019, 46, 1206–1217. [Google Scholar] [CrossRef]













| Content of Crude Oil/wt% | Viscosity of Gel-Breaking Fracturing Fluid/mPa·s | |||
|---|---|---|---|---|
| 1 h | 2 h | 2.5 h | 3 h | |
| 100 | 2.98 | |||
| 4 | 29.79 | 11.92 | 8.94 | 5.96 |
| 5 | 20.86 | 7.45 | 5.96 | 5.96 |
| 6 | 5.96 | 5.96 | 5.96 | 5.96 |
Publisher’s Note: MDPI stays neutral with regard to jurisdictional claims in published maps and institutional affiliations. |
© 2022 by the authors. Licensee MDPI, Basel, Switzerland. This article is an open access article distributed under the terms and conditions of the Creative Commons Attribution (CC BY) license (https://creativecommons.org/licenses/by/4.0/).
Share and Cite
Wu, Y.; Zhang, J.; Dong, S.; Li, Y.; Slaný, M.; Chen, G. Use of Betaine-Based Gel and Its Potential Application in Enhanced Oil Recovery. Gels 2022, 8, 351. https://doi.org/10.3390/gels8060351
Wu Y, Zhang J, Dong S, Li Y, Slaný M, Chen G. Use of Betaine-Based Gel and Its Potential Application in Enhanced Oil Recovery. Gels. 2022; 8(6):351. https://doi.org/10.3390/gels8060351
Chicago/Turabian StyleWu, Yuman, Jie Zhang, Sanbao Dong, Yongfei Li, Michal Slaný, and Gang Chen. 2022. "Use of Betaine-Based Gel and Its Potential Application in Enhanced Oil Recovery" Gels 8, no. 6: 351. https://doi.org/10.3390/gels8060351
APA StyleWu, Y., Zhang, J., Dong, S., Li, Y., Slaný, M., & Chen, G. (2022). Use of Betaine-Based Gel and Its Potential Application in Enhanced Oil Recovery. Gels, 8(6), 351. https://doi.org/10.3390/gels8060351

