Soft Movable Polymer Gel for Controlling Water Coning of Horizontal Well in Offshore Heavy Oil Cold Production
Abstract
:1. Introduction
2. Experimental
2.1. Experimental Materials
2.2. Preparation of Brine
2.3. Optimum Formula of Soft Movable Polymer Gels
- (1)
- Gelation time
- (2)
- Water-plugging capacity
2.4. Creep Recovery Property
2.5. Microstructure of Gel
2.6. Visual Physical Simulation Experiments
2.7. Flowchart of Soft Movable Polymer Gel for Controlling Water Coning in Horizontal Well
2.8. Construction Plan of HX Well
3. Results and Discussion
3.1. Density and Viscosity Properties of Brine
3.2. Optimum Formula of Soft Movable Polymer Gels
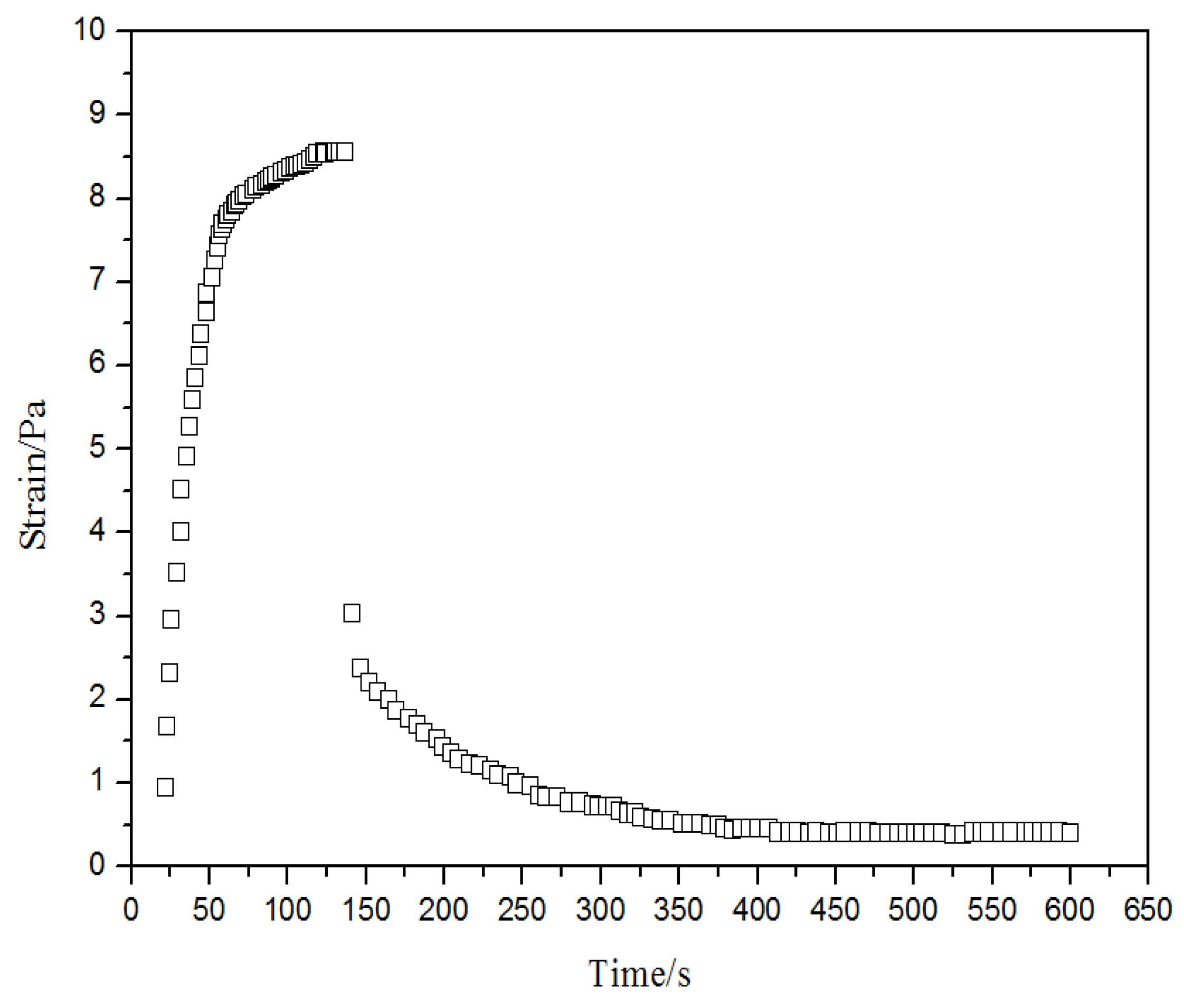
3.3. Creep Recovery Property
3.4. Microstructure of the Gel Systems
3.5. Visual Model Experiment of Water-Coning Control in the Horizontal Well
3.6. Field Application
3.6.1. Background of HX Well
3.6.2. Gelants Formula (A + B) of Polymer Gel
- (1)
- Gelant A formula for far from wellbore
- (2)
- Gelant B formula for near-wellbore zone
3.6.3. Volume of Gelants
3.6.4. Detail of Measurements
3.6.5. Field-Test Results
4. Conclusions
- (1)
- The designed gelant formula of soft movable polymer gel was 0.30~0.45% HPAM + 0.30~0.5% phenolic resin + 0.10~0.15% chromium acetate, with a corresponding gelation time of 26~34 h at 55 °C. The formula meets the technological requirements of controlling bottom-water coning in horizontal wells in offshore oil fields.
- (2)
- The visual glass plate simulation device can intuitively present the phenomenon of bottom-water coning and the effect of high-density brine injection and chemical packer control, which confirmed the feasibility of the process.
- (3)
- Combined with the production status and reservoir conditions of the HX well in the Y oil field, the technology of soft movable polymer gel for controlling water coning was successfully applied, which provides a technical basis for cost reduction and efficiency improvement in offshore oil fields.
Author Contributions
Funding
Institutional Review Board Statement
Informed Consent Statement
Data Availability Statement
Conflicts of Interest
References
- Machale, J.; Majumder, S.K.; Ghosh, P.; Sen, T.K. Development of a novel biosurfactant for enhanced oil recovery and its influence on the rheological properties of polymer. Fuel 2019, 257, 116067. [Google Scholar] [CrossRef]
- Liu, Y.; Zou, C.; Zhou, D.; Dai, C. Novel chemical flooding system based on dispersed particle gel coupling in-depth profile control and high efficient oil displacement. Energy Fuels 2019, 33, 3123–3132. [Google Scholar] [CrossRef]
- Dehaghani, A.; Badizad, M.H. Impact of ionic composition on modulating wetting preference of calcite surface: Implication for chemically tuned water flooding. Colloids Surfaces A 2019, 568, 470–480. [Google Scholar] [CrossRef]
- Wei, P.; Zheng, L.; Yang, M. Fuzzy-ball fluid self-selective profile control for enhanced oil recovery in heterogeneous reservoirs: The techniques and the mechanisms. Fuel 2020, 275, 117959. [Google Scholar] [CrossRef]
- Bai, Y.; Lian, Y.; Ban, C.; Wang, Z.; Zhao, J.; Zhang, H. Facile synthesis of temperature-resistant hydroxylated carbon black/polyacrylamide nanocomposite gel based on chemical crosslinking and its application in oilfield. J. Mol. Liq. 2021, 329, 115578. [Google Scholar] [CrossRef]
- Song, Z.; Bai, B.; Challa, R. Using Screen models to evaluate the injection characteristics of particle gels for water control. Energy Fuels 2018, 32, 352–359. [Google Scholar] [CrossRef]
- You, Q.; Zhao, F. Research and application of deep plugging water in oil well. Drill Prod. Technol. 2007, 30, 85–87. [Google Scholar]
- Bartosek, M.; Mennella, A.; Lockhart, T. Polymer gels for conformance treatments: Propagation on Cr (III) crosslinked complexes in porous media. In Proceedings of the SPE/DOE Symposium on Enhanced Oil Recovery, Tulsa, OK, USA, 17–20 April 1994. [Google Scholar]
- Seright, R.S.; Lane, R.H.; Sydansk, R.D. A strategy for attacking excess water production. SPE Prod. Facil. 2003, 18, 158–169. [Google Scholar] [CrossRef] [Green Version]
- Albonico, P.; Bartosek, M.; Malandrino, A. Studies on phenol-formaldehyde crosslinked polymer gels in bulk and in porous media. In Proceedings of the SPE International Symposium on Oilfield Chemistry, San Antonio, TX, USA, 14–17 February 1995. [Google Scholar]
- Reddy, B.R.; Eoff, L.; Dalrymple, E.D.; Black, K.; Brown, D.; Rietjens, M. A natural polymer-based cross-linker system for conformance gel systems. SPE J. 2003, 8, 99–106. [Google Scholar] [CrossRef]
- Zhao, F. Chemicals for Oil Recovery; China University of Petroleum Press: Dongying, China, 2001. [Google Scholar]
- Zhao, F. Principle of Enhanced Oil Recovery; China University of Petroleum Press: Dongying, China, 2006. [Google Scholar]
- Strelets, L.A.; Ilyin, S.O. Effect of enhanced oil recovery on the composition and rheological properties of heavy crude oil. J. Pet. Sci. Eng. 2021, 203, 108641. [Google Scholar] [CrossRef]
- Ilyin, S.O.; Strelets, L.A. Basic Fundamentals of Petroleum Rheology and Their Application for the Investigation of Crude Oils of Different Natures. Energy Fuels 2018, 32, 268–278. [Google Scholar] [CrossRef]
- Gorbacheva, S.N.; Ilyin, S.O. Morphology and rheology of heavy crude oil/water emulsions stabilized by microfibrillated cellulose. Energy Fuels 2021, 35, 6527–6540. [Google Scholar] [CrossRef]
- Amir, Z.; Saaid, I.; Junaidi, M.; Baker, W. Weakened PAM/PEI polymer gel for oilfield water control: Remedy with silica nanoparticles. Gels 2022, 8, 265. [Google Scholar] [CrossRef] [PubMed]
- Whitney, D.; Montgomery, D.; Hutchins, R. Water shutoff in the North sea: Testing a new polymer gel system in the heather field, UKCS Block 2/5. SPE Prod. Facil. 1996, 11, 108–112. [Google Scholar] [CrossRef]
- Sydansk, R.D. Acrylamide-polymer/chromium (III)-carboxylate gels for near wellbore matrix treatments. SPE Adv. Technol. Ser. 1993, 1, 146–152. [Google Scholar] [CrossRef]
- Southwell, G.P.; Posey, S.M. Applications and results of acrylamide-polymer/chrnmium (III) Carboxylate Gels. In Proceedings of the SPE 27779, SPE/DOE Improved Oil Recovery Symposium, Tulsa, OK, USA, 17–20 April 1994. [Google Scholar]
- Larry, E.; Eldon, D.; Don, M.; Julio, V. Worldwide field applications of a polymeric gel system for conformance applications. SPE Prod. Oper. 2007, 22, 231–235. [Google Scholar]
- Gino, D.; Phil, R. New insights into water control—A review of the state of the art. In Proceedings of the SPE77963, SPE Asia Pacific Oil and Gas Conference and Exhibition, Melbourne, Australia, 8–10 October 2002. [Google Scholar]
- Liu, J.; Li, L.; Sun, Y. Biomimetic functional hydrogel particles with enhanced adhesion characteristics for applications in fracture conformance control. J. Ind. Eng. Chem. 2022, 106, 482–491. [Google Scholar] [CrossRef]
- Zhao, G.; Dai, C.; You, Q. Characteristics and displacement mechanisms of the dispersed particle gel soft heterogeneous compound flooding system. Pet. Explor. Dev. 2018, 45, 464–473. [Google Scholar] [CrossRef]
- Jia, H.; Pu, W.; Zhao, J.; Liao, R. Experimental investigation of the novel phenol-formaldehyde cross-linking HPAM gel system: Based on the secondary cross-linking method of organic cross-linkers and its gelation performance study after flowing through porous media. Energy Fuels 2011, 25, 727–736. [Google Scholar] [CrossRef]
- Yang, H.; Iqbal, M.; Lashari, Z.; Kang, W. Experimental research on amphiphilic polymer/organic chromium gel for high salinity reservoirs. Colloids Surf. A: Physicochem. Eng. Asp. 2019, 582, 123900. [Google Scholar] [CrossRef]
- Zhu, D.; Bai, B.; Hou, J. Polymer gel systems for water management in high-temperature petroleum reservoirs: A chemical review. Energy Fuels 2017, 31, 13063–13087. [Google Scholar] [CrossRef]
- Pu, J.; Geng, J.; Han, P.; Bai, B. Preparation and salt-insensitive behavior study of swellable, Cr3+-embedded microgels for water management. J. Mol. Liq. 2019, 273, 551–558. [Google Scholar] [CrossRef]
- Zhang, W.; Yang, H.; Sarsenbekuly, B.; Zhang, M.; Aidarova, S. The advances of organic chromium based polymer gels and their application in improved oil recovery. Adv. Colloid Interface Sci. 2020, 282, 102214. [Google Scholar] [CrossRef] [PubMed]
- Sabhapondit, A.; Borthakur, A.; Haque, I. Water soluble acrylamidomethyl propane sulfonate (AMPS) copolymer as an enhanced oil recovery chemical. Energy Fuels 2003, 17, 683–688. [Google Scholar] [CrossRef]
- Sydansk, R.D.; Marathon Oil Co. A new conformance improvement treatment chromium(III) gel technology. In Proceedings of the SPE 17329 Presented at SPE Enhanced Oil Recovery Symposium, Tulsa, OK, USA, 17–20 April 1988. [Google Scholar]
- Liu, Y.; Dai, C.; Wang, K.; Zou, C.; Gao, M.; Fang, Y.; You, Q. Study on a novel cross-linked polymer gel strengthened with silica nanoparticles. Energy Fuel 2017, 31, 9152–9161. [Google Scholar] [CrossRef]



 oil layer;
 oil layer;   aquifer;
 aquifer;   high-density brine;
 high-density brine;   gelant;
 gelant;   displacement fluid.
 displacement fluid.
   oil layer;
 oil layer;   aquifer;
 aquifer;   high-density brine;
 high-density brine;   gelant;
 gelant;   displacement fluid.
 displacement fluid.










| Components | Na+ and K+ | Ca2+ | Mg2+ | HCO3− | SO42− | Cl− | 
|---|---|---|---|---|---|---|
| Concentration (mg/L) | 10,516.2 | 423.5 | 1524.6 | 139.8 | 2821.6 | 18,752.5 | 
| Code | Detailed Gel Description | 
|---|---|
| A | No detectable gel formed: gel has the same viscosity as the original polymer solution. | 
| B | Highly flowing gel: gel is slightly more viscous than the original polymer solution. | 
| C | Flowing gel: most of the gel flows to the vial/tube top upon inversion. | 
| D | Moderately flowing gel: only a small portion (5~15%) of the gel does not readily flow to the vial/tube top upon inversion. | 
| E | Barely flowing gel: gel barely flows to the vial/tube top; a significant portion (>15%) of the gel does not flow upon inversion. | 
| F | Highly deformable nonflowing gel: gel does not quite reach the vial/tube top upon inversion. | 
| G | Moderately deformable nonflowing gel: gel deforms about half the distance to the vial/tube top upon inversion. | 
| H | Slightly deformable nonflowing gel: gel surface slightly deforms upon inversion. | 
| I | Rigid gel: no gel surface deformation occurs upon inversion. | 
| J | Ringing rigid gel: a tuning fork-like mechanical vibration occurs upon tapping. | 
| HPAM/% | PR/% | Cr3+/% | Gel Strength/% | Aging 30 d at 55 °C | 
|---|---|---|---|---|
| 0.30 | 0.30 | 0.05 | D~E | No syneresis | 
| 0.10 | F | No syneresis | ||
| 0.15 | E | No syneresis | ||
| 0.2 | E | No syneresis | ||
| 0.40 | 0.05 | C~D | No syneresis | |
| 0.10 | F | No syneresis | ||
| 0.15 | F | No syneresis | ||
| 0.20 | E~F | No syneresis | ||
| 0.50 | 0.05 | C | No syneresis | |
| 0.10 | F | No syneresis | ||
| 0.15 | F~G | No syneresis | ||
| 0.20 | F | No syneresis | ||
| 0.60 | 0.05 | C | No syneresis | |
| 0.10 | E~F | No syneresis | ||
| 0.15 | F~G | No syneresis | ||
| 0.20 | F~G | No syneresis | 
| HPAM/% | PR/% | Cr3+/% | Gel Strength/% | Aging 30 d at 55 °C | 
|---|---|---|---|---|
| 0.45 | 0.30 | 0.05 | F | No syneresis | 
| 0.10 | F | No syneresis | ||
| 0.15 | F~G | No syneresis | ||
| 0.2 | F~G | No syneresis | ||
| 0.40 | 0.05 | D~E | No syneresis | |
| 0.100 | F~G | No syneresis | ||
| 0.15 | F~G | No syneresis | ||
| 0.20 | G | No syneresis | ||
| 0.50 | 0.05 | C | No syneresis | |
| 0.10 | F | No syneresis | ||
| 0.15 | G~H | No syneresis | ||
| 0.20 | G~H | No syneresis | ||
| 0.60 | 0.05 | C | No syneresis | |
| 0.10 | F | No syneresis | ||
| 0.15 | G~H | No syneresis | ||
| 0.20 | G~H | No syneresis | 
| Gel Type | Gel Formula (wt) | Gelation Time/h | Initial Permeability/μm2 | Plugging Efficiency/% | Residual Resistance Factor | 
|---|---|---|---|---|---|
| HPAM + PR + Cr3+ | 0.30% + 0.50% + 0.20% | 26 | 3.89 | 99.85 | 769.2 | 
| 0.30% + 0.40% + 0.15% | 34 | 3.09 | 99.16 | 109.1 | |
| 0.30% + 0.30% + 0.10% | 32 | 4.24 | 96.94 | 32.2 | |
| 0.45% + 0.50% + 0.20% | 22 | 3.87 | 99.65 | 356.8 | |
| 0.45% + 0.4% + 0.15% | 24 | 3.08 | 98.75 | 80.0 | |
| 0.45% + 0.3% + 0.10% | 24 | 2.83 | 95.75 | 23.5 | 
| Publisher’s Note: MDPI stays neutral with regard to jurisdictional claims in published maps and institutional affiliations. | 
© 2022 by the authors. Licensee MDPI, Basel, Switzerland. This article is an open access article distributed under the terms and conditions of the Creative Commons Attribution (CC BY) license (https://creativecommons.org/licenses/by/4.0/).
Share and Cite
Qu, J.; Wang, P.; You, Q.; Zhao, G.; Sun, Y.; Liu, Y. Soft Movable Polymer Gel for Controlling Water Coning of Horizontal Well in Offshore Heavy Oil Cold Production. Gels 2022, 8, 352. https://doi.org/10.3390/gels8060352
Qu J, Wang P, You Q, Zhao G, Sun Y, Liu Y. Soft Movable Polymer Gel for Controlling Water Coning of Horizontal Well in Offshore Heavy Oil Cold Production. Gels. 2022; 8(6):352. https://doi.org/10.3390/gels8060352
Chicago/Turabian StyleQu, Jie, Pan Wang, Qing You, Guang Zhao, Yongpeng Sun, and Yifei Liu. 2022. "Soft Movable Polymer Gel for Controlling Water Coning of Horizontal Well in Offshore Heavy Oil Cold Production" Gels 8, no. 6: 352. https://doi.org/10.3390/gels8060352
APA StyleQu, J., Wang, P., You, Q., Zhao, G., Sun, Y., & Liu, Y. (2022). Soft Movable Polymer Gel for Controlling Water Coning of Horizontal Well in Offshore Heavy Oil Cold Production. Gels, 8(6), 352. https://doi.org/10.3390/gels8060352
 
         
                                                



 
       