Development of Flexible Plasticized Ion Conducting Polymer Blend Electrolytes Based on Polyvinyl Alcohol (PVA): Chitosan (CS) with High Ion Transport Parameters Close to Gel Based Electrolytes
Abstract
1. Introduction
2. Results and Discussion
2.1. FTIR Study
2.2. XRD Study
2.3. Complex Impedance Spectroscopy (CIS) and Ion Transport Study
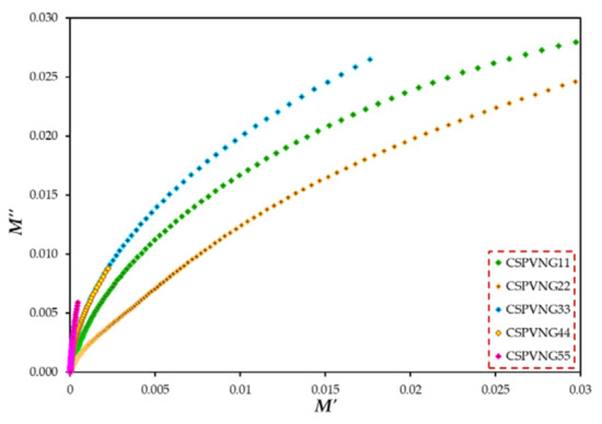
2.4. Dielectric Properties
2.5. Tanδ Study
2.6. Electric Modulus and Relaxation Study
2.7. AC Conductivity Analysis (σac)
3. Conclusions
4. Materials and Methods
4.1. Material Components
4.2. Electrolyte Preparation Using Polymer Blends
4.3. XRD and FTIR Spectra Analysis
4.4. Electrical Impedance Spectroscopy (EIS)
Author Contributions
Funding
Institutional Review Board Statement
Informed Consent Statement
Acknowledgments
Conflicts of Interest
References
- Zhou, Y.; Wang, P.; Ruan, G.; Xu, P.; Ding, Y. Synergistic Effect of P[MPEGMA-IL] Modified Graphene on Morphology and Dielectric Properties of PLA/PCL Blends. ES Mater. Manuf. 2020, 11, 20–29. [Google Scholar] [CrossRef]
- Wang, Z.; He, S.; Nguyen, V.; Riley, K.E. Ionic liquids as “Green solvent and/or electrolyte” for energy interface. Eng. Sci. 2020, 11, 3–18. [Google Scholar] [CrossRef]
- Wang, Y.P.; Gao, X.H.; Li, H.K.; Li, H.J.; Liu, H.G.; Guo, H.X. Effect of active filler addition on the ionic conductivity of PVDF-PEG polymer electrolyte. J. Macromol. Sci. Part A Pure Appl. Chem. 2009, 46, 461–467. [Google Scholar] [CrossRef]
- Angell, C.A. Polymer electrolytes—Some principles, cautions, and new practices. Electrochim. Acta 2017, 250, 368–375. [Google Scholar] [CrossRef]
- Elayappan, V.; Murugadoss, V.; Fei, Z.; Dyson, P.J.; Angaiah, S. Influence of polypyrrole incorporated electrospun poly (vinylidene fluoride-co-hexafluoropropylene) nanofibrous composite membrane electrolyte on the photovoltaic performance of dye sensitized solar cell. Eng. Sci. 2020, 10, 78–84. [Google Scholar] [CrossRef]
- Srivastava, M.; Surana, K.; Singh, P.K.; Ch, R. Nickel Oxide embedded with Polymer Electrolyte as Efficient Hole Transport Material for Perovskite Solar Cell. Eng. Sci. 2021, 17, 216–223. [Google Scholar] [CrossRef]
- Wu, X.; Zhong, J.; Zhang, H.; Liu, H.; Mai, J.; Shi, S.; Deng, Q.; Wang, N. Garnet Li7La3Zr2O12 Solid-State Electrolyte: Environmental Corrosion. Countermeas. Appl. ES Energy Environ. 2021, 14, 22–33. [Google Scholar] [CrossRef]
- Maitra, A.; Heuer, A. Understanding correlation effects for ion conduction in polymer electrolytes. J. Phys. Chem. B 2008, 112, 9641–9651. [Google Scholar] [CrossRef]
- Aziz, S.B. Li+ ion conduction mechanism in poly (ε-caprolactone)-based polymer electrolyte. Iran. Polym. J. 2013, 22, 877–883. [Google Scholar] [CrossRef]
- Hassan, M.; Rafiuddin, R. Ionic Conductivity and Phase Transition Behaviour in 4AgI-(1-)-2CuI System. Res. Lett. Phys. 2008, 2008, 249402. [Google Scholar] [CrossRef]
- Wiśniewski, Z.; Górski, L.; Zasada, D. Investigation of structure and conductivity of superionic conducting materials obtained on the basis of silver iodide. Acta Phys. Pol. A 2008, 113, 1231–1236. [Google Scholar] [CrossRef]
- Mourya, V.K.; Inamdar, N.N. Chitosan-modifications and applications: Opportunities galore. React. Funct. Polym. 2008, 68, 1013–1051. [Google Scholar] [CrossRef]
- Aziz, S.B.; Rasheed, M.A.; Abidin, Z.H.Z. Optical and Electrical Characteristics of Silver Ion Conducting Nanocomposite Solid Polymer Electrolytes Based on Chitosan. J. Electron. Mater. 2017, 46, 6119–6130. [Google Scholar] [CrossRef]
- Aguirre-chagala, Y.E.; Pavón-pérez, L.B.; Altuzar, V.; Domínguez-chávez, J.G.; Muñoz-aguirre, S. Comparative Study of One-Step Cross-Linked Electrospun Chitosan-Based Membranes. J. Nanomater. 2017, 2017, 1980714. [Google Scholar] [CrossRef]
- Fernandes, D.M.; Andrade, J.L.; Lima, M.K.; Silva, M.F.; Andrade, L.H.C.; Lima, S.M.; Hechenleitner, A.A.W.; Pineda, E.A.G. Thermal and photochemical effects on the structure, morphology, thermal and optical properties of PVA/Ni0.04Zn0.96O and PVA/Fe 0.03Zn0.97O nanocomposite films. Polym. Degrad. Stab. 2013, 98, 1862–1868. [Google Scholar] [CrossRef]
- Li, X.; Chen, K.; Ji, X.; Yuan, X.; Lei, Z.; Ullah, M.W.; Xiao, J.; Yang, G. Microencapsulation of poorly water-soluble finasteride in polyvinyl alcohol/chitosan microspheres as a long-term sustained release system for potential embolization applications. Eng. Sci. 2021, 13, 105–120. [Google Scholar] [CrossRef]
- Rao, C.V.S.; Ravi, M.; Raja, V.; Bhargav, P.B.; Sharma, A.K.; Rao, V.V.R.N. Preparation and characterization of PVP-based polymer electrolytes for solid-state battery applications. Iran. Polym. J. 2012, 21, 531–536. [Google Scholar] [CrossRef]
- Nofal, M.M.; Aziz, S.B.; Hadi, J.M.; Karim, W.O.; Dannoun, E.M.A.; Hussein, A.M.; Hussen, S.A. Polymer composites with 0.98 transparencies and small optical energy band gap using a promising green methodology: Structural and optical properties. Polymers 2021, 13, 1648. [Google Scholar] [CrossRef] [PubMed]
- Borgohain, M.M.; Joykumar, T.; Bhat, S.V. Studies on a nanocomposite solid polymer electrolyte with hydrotalcite as a filler. Solid State Ion. 2010, 181, 964–970. [Google Scholar] [CrossRef]
- Kumar, J.; Rodrigues, S.J.; Kumar, B. Interface-mediated electrochemical effects in lithium/polymer-ceramic cells. J. Power Sources 2010, 195, 327–334. [Google Scholar] [CrossRef]
- Aziz, S.B.; Abidin, Z.H.Z. Electrical Conduction Mechanism in Solid Polymer Electrolytes: New Concepts to Arrhenius Equation. J. Soft Matter 2013, 2013, 323868. [Google Scholar] [CrossRef]
- Yusof, Y.M.; Illias, H.A.; Kadir, M.F.Z. Incorporation of NH4Br in PVA-chitosan blend-based polymer electrolyte and its effect on the conductivity and other electrical properties. Ionics 2014, 20, 1235–1245. [Google Scholar] [CrossRef]
- Buraidah, M.H.; Arof, A.K. Characterization of chitosan/PVA blended electrolyte doped with NH 4I. J. Non. Cryst. Solids 2011, 357, 3261–3266. [Google Scholar] [CrossRef]
- Kadir, M.F.Z.; Majid, S.R.; Arof, A.K. Plasticized chitosan-PVA blend polymer electrolyte based proton battery. Electrochim. Acta 2010, 55, 1475–1482. [Google Scholar] [CrossRef]
- Kadir, M.F.Z.; Arof, A.K. Application of PVA-chitosan blend polymer electrolyte membrane in electrical double layer capacitor. Mater. Res. Innov. 2011, 15 (Suppl. 2), s217–s220. [Google Scholar] [CrossRef]
- Hadi, J.M.; Aziz, S.B.; Nofal, M.M.; Hussen, S.A.; Hamsan, M.H.; Brza, M.A.; Abdulwahid, R.T.; Kadir, M.F.Z.; Woo, H.J. Electrical, dielectric property and electrochemical performances of plasticized silver ion-conducting chitosan-based polymer nanocomposites. Membranes 2020, 10, 151. [Google Scholar] [CrossRef]
- Jung, H.-E.; Shin, M. Surface-Roughness-Limited Mean Free Path in Si Nanowire FETs. 2013. Available online: http://arxiv.org/abs/1304.5597 (accessed on 11 May 2015).
- Ayala, G.; Agudelo, A.; Vargas, R. Effect of glycerol on the electrical properties and phase behavior of cassava starch biopolymers. Dyna 2012, 79, 138–147. [Google Scholar]
- Seoane, N.; Martinez, A.; Brown, A.R.; Asenov, A. Study of surface roughness in extremely small Si nanowire MOSFETs using fully-3D NEGFs. In Proceedings of the 2009 Spanish Conference Electron Devices, Santiago de Compostela, Spain, 11–13 February 2009; pp. 180–183. [Google Scholar] [CrossRef]
- Bhargav, P.B.; Sarada, B.A.; Sharma, A.K.; Rao, V.V.R.N. Electrical conduction and dielectric relaxation phenomena of PVA based polymer electrolyte films. J. Macromol. Sci. Part A Pure Appl. Chem. 2010, 47, 131–137. [Google Scholar] [CrossRef]
- Mohan, V.M.; Bhargav, P.B.; Raja, V.; Sharma, A.K.; Rao, V.V.R.N. Optical and electrical properties of pure and doped PEO polymer electrolyte films. Soft Mater. 2007, 5, 33–46. [Google Scholar] [CrossRef]
- Olewnik-Kruszkowska, E.; Gierszewska, M.; Jakubowska, E.; Tarach, I.; Sedlarik, V.; Pummerova, M. Antibacterial films based on PVA and PVA-chitosan modified with poly(hexamethylene guanidine). Polymers 2019, 11, 2093. [Google Scholar] [CrossRef] [PubMed]
- Sharma, P.; Mathur, G.; Goswami, N.; Sharma, S.K.; Dhakate, S.R.; Chand, S.; Mathur, A. Evaluating the potential of chitosan/poly(vinyl alcohol) membranes as alternative carrier material for proliferation of Vero cells. E-Polymers 2015, 15, 237–243. [Google Scholar] [CrossRef]
- Tretinnikov, O.N.; Zagorskaya, S.A. Determination of the degree of crystallinity of poly(Vinyl alcohol) by ftir spectroscopy. J. Appl. Spectrosc. 2012, 79, 521–526. [Google Scholar] [CrossRef]
- Aziz, S.B.; Nofal, M.M.; Ghareeb, H.O.; Dannoun, E.M.A.; Hussen, S.A.; Hadi, J.M.; Ahmed, K.K.; Hussein, A.M. Characteristics of poly(Vinyl alcohol) (PVA) based composites integrated with green synthesized Al3+-metal complex: Structural, optical, and localized density of state analysis. Polymers 2021, 13, 1316. [Google Scholar] [CrossRef] [PubMed]
- Kadir, M.F.Z.; Aspanut, Z.; Majid, S.R.; Arof, A.K. FTIR studies of plasticized poly(vinyl alcohol)-chitosan blend doped with NH4NO3 polymer electrolyte membrane. Spectrochim. Acta—Part A Mol. Biomol. Spectrosc. 2011, 78, 1068–1074. [Google Scholar] [CrossRef]
- Wei, D.; Sun, W.; Qian, W.; Ye, Y.; Ma, X. The synthesis of chitosan-based silver nanoparticles and their antibacterial activity. Carbohydr. Res. 2009, 344, 2375–2382. [Google Scholar] [CrossRef] [PubMed]
- Abdullah, O.G.; Aziz, S.B.; Omer, K.M.; Salih, Y.M. Reducing the optical band gap of polyvinyl alcohol (PVA) based nanocomposite. J. Mater. Sci. Mater. Electron. 2015, 26, 5303–5309. [Google Scholar] [CrossRef]
- Krithiga, N.; Rajalakshmi, A.; Jayachitra, A. Green Synthesis of Silver Nanoparticles Using Leaf Extracts of Clitoria ternatea and Solanum nigrum and Study of Its Antibacterial Effect against Common Nosocomial Pathogens. J. Nanosci. 2015, 2015, 928204. [Google Scholar] [CrossRef]
- Salleh, N.S.; Aziz, S.B.; Aspanut, Z.; Kadir, M.F.Z. Electrical impedance and conduction mechanism analysis of biopolymer electrolytes based on methyl cellulose doped with ammonium iodide. Ionics 2016, 22, 2157–2167. [Google Scholar] [CrossRef]
- Amran, N.N.A.; Manan, N.S.A.; Kadir, M.F.Z. The effect of LiCF3SO3 on the complexation with potato starch-chitosan blend polymer electrolytes. Ionics 2016, 22, 1647–1658. [Google Scholar] [CrossRef]
- Aziz, S.B. Modifying Poly(Vinyl Alcohol) (PVA) from Insulator to Small-Bandgap Polymer: A Novel Approach for Organic Solar Cells and Optoelectronic Devices. J. Electron. Mater. 2016, 45, 736–745. [Google Scholar] [CrossRef]
- Ricciardi, R.; Auriemma, F.; De Rosa, C.; Lauprêtre, F. X-ray Diffraction Analysis of Poly(vinyl alcohol) Hydrogels, Obtained by Freezing and Thawing Techniques. Macromolecules 2004, 37, 1921–1927. [Google Scholar] [CrossRef]
- Aziz, S.B.; Abidin, Z.H.Z.; Arof, A.K. Effect of silver nanoparticles on the DC conductivity in chitosansilver triflate polymer electrolyte. Phys. B Condens. Matter 2010, 405, 4429–4433. [Google Scholar] [CrossRef]
- Yusuf, S.N.F.; Azzahari, A.D.; Yahya, R.; Majid, S.R.; Careem, M.A.; Arof, A.K. From crab shell to solar cell: A gel polymer electrolyte based on N-phthaloylchitosan and its application in dye-sensitized solar cells. RSC Adv. 2016, 6, 27714–27724. [Google Scholar] [CrossRef]
- Malathi, J.; Kumaravadivel, M.; Brahmanandhan, G.M.; Hema, M.; Baskaran, R.; Selvasekarapandian, S. Structural, thermal and electrical properties of PVA-LiCF3SO3 polymer electrolyte. J. Non. Cryst. Solids 2010, 356, 2277–2281. [Google Scholar] [CrossRef]
- Gasperini, A.; Wang, G.J.N.; Molina-Lopez, F.; Wu, H.C.; Lopez, J.; Xu, J.; Luo, S.; Zhou, D.; Xue, G.; Tok, J.B.H.; et al. Characterization of Hydrogen Bonding Formation and Breaking in Semiconducting Polymers under Mechanical Strain. Macromolecules 2019, 52, 2476–2486. [Google Scholar] [CrossRef]
- Stephan, A.M.; Kumar, T.P.; Kulandainathan, M.A.; Lakshmi, N.A. Chitin-incorporated poly(ethylene oxide)-based nanocomposite electrolytes for lithium batteries. J. Phys. Chem. B 2009, 113, 1963–1971. [Google Scholar] [CrossRef]
- Honary, S.; Orafai, H. The effect of different plasticizer molecular weights and concentrations on mechanical and thermomechanical properties of free films. Drug Dev. Ind. Pharm. 2002, 28, 711–715. [Google Scholar] [CrossRef] [PubMed]
- Honary, S.; Golkar, M. Effect of Polymer Grade and Plasticizer Molecular Weights on Viscoelastic Behavior of Coating Solutions. Iran. J. Pharm. Res. 2003, 2, 125–127. [Google Scholar] [CrossRef]
- Asami, K. Characterization of heterogeneous systems by dielectric spectroscopy. Prog. Polym. Sci. 2002, 27, 1617–1659. [Google Scholar] [CrossRef]
- Polu, A.R.; Kumar, R. Impedance spectroscopy and FTIR studies of PEG—Based polymer electrolytes. E-J. Chem. 2011, 8, 347–353. [Google Scholar] [CrossRef]
- Mahato, D.K.; Dutta, A.; Sinha, T.P. Impedance spectroscopy analysis of double perovskite Ho2NiTiO6. J. Mater. Sci. 2010, 45, 6757–6762. [Google Scholar] [CrossRef]
- Fortunato, R.; Branco, L.C.; Afonso, C.A.M.; Benavente, J.; Crespo, J.G. Electrical impedance spectroscopy characterisation of supported ionic liquid membranes. J. Memb. Sci. 2006, 270, 42–49. [Google Scholar] [CrossRef]
- Aziz, S.B.; Abdullah, R.M. Crystalline and amorphous phase identification from the tanδ relaxation peaks and impedance plots in polymer blend electrolytes based on [CS:AgNt]x:PEO(x-1) (10 ≤ x ≤ 50). Electrochim. Acta 2018, 285, 30–46. [Google Scholar] [CrossRef]
- Benavente, J.; García, J.M.; Riley, R.; Lozano, A.E.; De Abajo, J. Sulfonated poly(ether ether sulfones): Characterization and study of dielectrical properties by impedance spectroscopy. J. Memb. Sci. 2000, 175, 43–52. [Google Scholar] [CrossRef]
- Benavente, J.; Zhang, X.; Valls, R.G. Modification of polysulfone membranes with polyethylene glycol and lignosulfate: Electrical characterization by impedance spectroscopy measurements. J. Colloid Interface Sci. 2005, 285, 273–280. [Google Scholar] [CrossRef] [PubMed]
- Aziz, S.B.; Abdullah, R.M.; Rasheed, M.A.; Ahmed, H.M. Role of Ion Dissociation on DC Conductivity and Silver Nanoparticle Formation in PVA:AgNt Based Polymer Electrolytes: Deep Insights to Ion Transport Mechanism. Polymers 2017, 9, 338. [Google Scholar] [CrossRef] [PubMed]
- Jacob, M.M.E.; Prabaharan, S.R.S.; Radhakrishna, S. Effect of PEO addition on the electrolytic and thermal properties of PVDF-LiClO4 polymer electrolytes. Solid State Ion. 1997, 4, 267–276. [Google Scholar] [CrossRef]
- Qian, H.; Wang, Y.; Fang, Y.; Gu, L.; Lu, R.; Sha, J. High-performance ZnO nanowire field-effect transistor with forming gas treated SiO2 gate dielectrics. J. Appl. Phys. 2015, 117, 164308. [Google Scholar] [CrossRef]
- Shukur, M.F.; Ithnin, R.; Kadir, M.F.Z. Electrical characterization of corn starch-LiOAc electrolytes and application in electrochemical double layer capacitor. Electrochim. Acta 2014, 136, 204–216. [Google Scholar] [CrossRef]
- Teo, L.P.; Buraidah, M.H.; Nor, A.F.M.; Majid, S.R. Conductivity and dielectric studies of Li2SnO3. Ionics 2012, 18, 655–665. [Google Scholar] [CrossRef]
- Asnawi, A.S.F.M.; Aziz, S.B.; Brevik, I.; Brza, M.A.; Yusof, Y.M.; Alshehri, S.M.; Ahamad, T.; Kadir, M.F.Z. The Study of Plasticized Sodium Ion Conducting Polymer Blend Electrolyte Membranes Based on Chitosan/Dextran Biopolymers: Ion Transport, Structural, Morphological and Potential Stability. Polymers 2021, 13, 383. [Google Scholar] [CrossRef]
- Paluch, M.; Ostrowska, J.; Tyński, P.; Sadurski, W.; Konkol, M. Structural and Thermal Properties of Starch Plasticized with Glycerol/Urea Mixture. J. Polym. Environ. 2021, 30, 728–740. [Google Scholar] [CrossRef]
- Kobayashi, K.; Pagot, G.; Vezzù, K.; Bertasi, F.; di Noto, V.; Tominaga, Y. Effect of plasticizer on the ion-conductive and dielectric behavior of poly(ethylene carbonate)-based Li electrolytes. Polym. J. 2021, 53, 149–155. [Google Scholar] [CrossRef]
- Dinoto, V.; Negro, E.; Lavina, S.; Vittadello, M. Hybrid inorganic-organic polymer electrolytes. In Polymer Electrolytes; Woodhead Publishing: Sawston, UK, 2010; pp. 219–277. [Google Scholar] [CrossRef]
- Muldoon, J.; Bucur, C.B.; Boaretto, N.; Gregory, T.; di Noto, V. Polymers: Opening doors to future batteries. Polym. Rev. 2015, 55, 208–246. [Google Scholar] [CrossRef]
- di Noto, V.; Lavina, S.; Giffin, G.A.; Negro, E.; Scrosati, B. Polymer electrolytes: Present, past and future. Electrochim. Acta 2011, 57, 4–13. [Google Scholar] [CrossRef]
- Arof, A.K.; Amirudin, S.; Yusof, S.Z.; Noor, I.M. A method based on impedance spectroscopy to determine transport properties of polymer electrolytes. Phys. Chem. Chem. Phys. 2014, 16, 1856–1867. [Google Scholar] [CrossRef] [PubMed]
- Shukur, M.F.; Ithnin, R.; Kadir, M.F.Z. Electrical properties of proton conducting solid biopolymer electrolytes based on starch-chitosan blend. Ionics 2014, 20, 977–999. [Google Scholar] [CrossRef]
- Yusof, Y.M.; Shukur, M.F.; Hamsan, M.H.; Jumbri, K.; Kadir, M.F.Z. Plasticized solid polymer electrolyte based on natural polymer blend incorporated with lithium perchlorate for electrical double-layer capacitor fabrication. Ionics 2019, 25, 5473–5484. [Google Scholar] [CrossRef]
- Asnawi, A.S.F.M.; Aziz, B.S.; Nofal, M.M.; Hamsan, M.H.; Brza, M.A.; Yusof, Y.M.; Abdilwahid, R.T.; Muzakir, S.K.; Kadir, M.F.Z. Glycerolized Li+ Ion Conducting Chitosan-Based Polymer Electrolyte for Energy Storage EDLC Device Applications with Relatively High Energy Density. Polymers 2020, 12, 1433. [Google Scholar] [CrossRef] [PubMed]
- Lu, J.; Deng, Y.; Song, J.; Hu, Y.; Deng, Z.; Cui, Q.; Lou, Z. Role of Hydroxyl on Conductivity Switching of Poly(ethylene oxide)/TiO2 Electrical Bistable Devices. Phys. Status Solidi Appl. Mater. Sci 2019, 216, 1900443. [Google Scholar] [CrossRef]
- Müller, C.M.O.; Yamashita, F.; Laurindo, J.B. Evaluation of the effects of glycerol and sorbitol concentration and water activity on the water barrier properties of cassava starch films through a solubility approach. Carbohydr. Polym. 2008, 72, 82–87. [Google Scholar] [CrossRef]
- Impedance Spectroscopy. In Gas Adsorption Equilibria; Springer: Boston, MA, USA, 2005; pp. 287–357. [CrossRef]
- Aziz, S.B. Role of dielectric constant on ion transport: Reformulated Arrhenius equation. Adv. Mater. Sci. Eng. 2016, 2016, 2527013. [Google Scholar] [CrossRef]
- Okutan, M.; Şentürk, E. β Dielectric relaxation mode in side-chain liquid crystalline polymer film. J. Non. Cryst. Solids 2008, 354, 1526–1530. [Google Scholar] [CrossRef]
- Sun, L.; Liang, L.; Shi, Z.; Wang, H.; Xie, P.; Dastan, D.; Sun, K.; Fan, R. Optimizing strategy for the dielectric performance of topological-structured polymer nanocomposites by rationally tailoring the spatial distribution of nanofillers. Eng. Sci. 2020, 12, 95–105. [Google Scholar] [CrossRef]
- Pradhan, D.K.; Choudhary, R.N.P.; Samantaray, B.K. Studies of dielectric relaxation and AC conductivity behavior of plasticized polymer nanocomposite electrolytes. Int. J. Electrochem. Sci. 2008, 3, 597–608. [Google Scholar]
- Marzantowicz, M.; Dygas, J.R.; Krok, F.; Łasińska, A.; Florjańczyk, Z.; Zygadło-Monikowska, E. In situ microscope and impedance study of polymer electrolytes. Electrochim. Acta 2006, 51, 1713–1727. [Google Scholar] [CrossRef]
- Marzantowicz, M.; Dygas, J.R.; Krok, F.; Łasińska, A.; Florjańczyk, Z.; Zygadło-Monikowska, E.; Affek, A. Crystallization and melting of PEO:LiTFSI polymer electrolytes investigated simultaneously by impedance spectroscopy and polarizing microscopy. Electrochim. Acta 2005, 50, 3969–3977. [Google Scholar] [CrossRef]
- Aziz, S.B.; Abidin, Z.H.Z. Electrical and morphological analysis of chitosan:AgTf solid electrolyte. Mater. Chem. Phys. 2014, 144, 280–286. [Google Scholar] [CrossRef]
- Hurd, J.A.; Vaidhyanathan, R.; Thangadurai, V.; Ratcliffe, C.I.; Moudrakovski, I.L.; Shimizu, G.K.H. Anhydrous proton conduction at 150 °C in a crystalline metal-organic framework. Nat. Chem. 2009, 1, 705–710. [Google Scholar] [CrossRef]
- Bureekaew, S.; Horike, S.; Higuchi, M.; Mizuno, M.; Kawamura, T.; Tanaka, D.; Yanai, N.; Kitagawa, S. One-dimensional imidazole aggregate in aluminium porous coordination polymers with high proton conductivity. Nat. Mater. 2009, 8, 831–836. [Google Scholar] [CrossRef]
- Nicolau, A.; Nucci, A.M.; Martini, E.M.A.; Samios, D. Electrical impedance spectroscopy of epoxy systems II: Molar fraction variation, resistivity, capacitance and relaxation processes of 1,4-butanediol diglycidyl ether/succinic anhydride and triethylamine as initiator. Eur. Polym. J. 2007, 43, 2708–2717. [Google Scholar] [CrossRef]
- Wang, W.; Alexandridis, P. Composite Polymer Electrolytes: Nanoparticles Affect Structure and Properties. Polymers 2016, 8, 387. [Google Scholar] [CrossRef] [PubMed]
- Aziz, S.B.; Abdullah, O.G.; Rasheed, M.A. Structural and electrical characteristics of PVA:NaTf based solid polymer electrolytes: Role of lattice energy of salts on electrical DC conductivity. J. Mater. Sci. Mater. Electron. 2017, 28, 12873–12884. [Google Scholar] [CrossRef]
- Marzantowicz, M.; Dygas, J.R.; Krok, F.; Florjaczyk, Z.; Zygado-Monikowska, E. Conductivity and dielectric properties of polymer electrolytes PEO:LiN(CF3SO2)2 near glass transition. J. Non. Cryst. Solids 2007, 353, 4467–4473. [Google Scholar] [CrossRef]
- Mohomed, K.; Moussy, F.; Harmon, J.P. Dielectric analyses of a series of poly(2-hydroxyethyl methacrylate-co-2,3-dihydroxypropyl methacylate) copolymers. Polymer 2006, 47, 3856–3865. [Google Scholar] [CrossRef]
- Kamal, A.; Rafiq, M.A.; Rafiq, M.N.; Usman, M.; Waqar, M.; Anwar, M.S. Structural and impedance spectroscopic studies of CuO-doped (K0.5Na0.5Nb0.995Mn0.005O3) lead-free piezoelectric ceramics. Appl. Phys. A Mater. Sci. Process. 2016, 122, 1037. [Google Scholar] [CrossRef]
- Rayssi, C.; El Kossi, S.; Dhahri, J.; Khirouni, K. Frequency and temperature-dependence of dielectric permittivity and electric modulus studies of the solid solution Ca0.85Er0.1Ti1-: XCo4 x /3O3 (0 ≤ x ≤ 0.1). RSC Adv. 2018, 8, 17139–17150. [Google Scholar] [CrossRef]
- Smaoui, H.; Arous, M.; Guermazi, H.; Agnel, S.; Toureille, A. Study of relaxations in epoxy polymer by thermally stimulated depolarization current (TSDC) and dielectric relaxation spectroscopy (DRS). J. Alloys Compd. 2010, 489, 429–436. [Google Scholar] [CrossRef]
- Agrawal, S.L.; Singh, M.; Asthana, N.; Dwivedi, M.M.; Pandey, K. Dielectric and ion transport studies in [PVA: LiC2H3O2]: Li2Fe5O8 polymer nanocomposite electrolyte system. Int. J. Polym. Mater. Polym. Biomater. 2011, 60, 276–289. [Google Scholar] [CrossRef]
- Ayesh, A.S. Dielectric relaxation and thermal stability of polycarbonate doped with MnCl2 salt. J. Thermoplast. Compos. Mater. 2008, 21, 309–322. [Google Scholar] [CrossRef]
- Ayesh, A.S. Electrical and optical characterization of PMMA doped with Y 0.0025Si0.025Ba0.9725 (Ti(0.9)Sn0.1)O3 ceramic. Chin. J. Polym. Sci. 2010, 28, 537–546. [Google Scholar] [CrossRef]
- Aziz, S.B.; Karim, W.O.; Brza, M.A.; Abdulwahid, R.T.; Saeed, S.R.; Al-Zangana, S.; Kadir, M.F.Z. Ion Transport Study in CS: POZ Based Polymer Membrane Electrolytes Using Trukhan Model. Int. J. Mol. Sci. 2019, 20, 5265. [Google Scholar] [CrossRef] [PubMed]
- Mohomed, K.; Gerasimov, T.G.; Moussy, F.; Harmon, J.P. A broad spectrum analysis of the dielectric properties of poly(2-hydroxyethyl methacrylate). Polymer 2005, 46, 3847–3855. [Google Scholar] [CrossRef]
- Gommans, H.H.P. Charge Transport and Interface Phenomena in Semiconducting Polymers. Ph.D.Thesis, Technische Universiteit Eindhoven, Eindhoven, The Netherlands, September 2005. [Google Scholar]
- Barker, R.E. Mobility and Conduction of Ions in and into Polymeric Solids. Pure & Appi. Chem. 1976, 46, 157–170. [Google Scholar] [CrossRef][Green Version]
- Rozanskia, S.A.; Kremer, F.; Kijberle, P. Relaxation and charge transport in mixtures of zwitterionic polymers and inorganic salts. Macromol. Chem. Phys. 1995, 890, 877–890. [Google Scholar] [CrossRef]
- Bassiouni, M.E.; Al-shamy, F.; Madi, N.K.; Kassem, M.E. Temperature and electric field effects on the dielectric dispersion of modified polyvinyl chloride. Mater. Lett. 2003, 57, 1595–1603. [Google Scholar] [CrossRef]
- Hema, M.; Selvasekerapandian, S.; Sakunthala, A.; Arunkumar, D.; Nithya, H. Structural, vibrational and electrical characterization of PVA-NH4Br polymer electrolyte system. Phys. B Condens. Matter 2008, 403, 2740–2747. [Google Scholar] [CrossRef]
- Yang, J.; Meng, X.J.; Shen, M.R.; Fang, L.; Wang, J.L.; Lin, T.; Sun, J.L.; Chu, J.H. Hopping conduction and low-frequency dielectric relaxation in 5 mol % Mn doped (Pb, Sr) TiO3 films. J. Appl. Phys. 2008, 104, 113. [Google Scholar] [CrossRef]
- Migahed, M.D.; Ishra, M.; Fahmy, T.; Barakat, A. Electric modulus and AC conductivity studies in conducting PPy composite films at low temperature. J. Phys. Chem. Solids 2004, 65, 1121–1125. [Google Scholar] [CrossRef]
- Ravi, M.; Pavani, Y.; Kumar, K.K.; Bhavani, S.; Sharma, A.K.; Rao, V.V.R.N. Studies on electrical and dielectric properties of PVP: KBrO4 complexed polymer electrolyte films. Mater. Chem. Phys. 2011, 130, 442–448. [Google Scholar] [CrossRef]
- Bhadra, S.; Singha, N.K.; Khastgir, D. Dielectric properties and EMI shielding efficiency of polyaniline and ethylene 1-octene based semi-conducting composites. Curr. Appl. Phys. 2009, 9, 396–403. [Google Scholar] [CrossRef]
- Daniel, R.; Janet Priscilla, S.; Karthikeyan, S.; Selvasekarapandian, S.; Madeswaran, S.; Sivaji, K. Structural and Electrical Studies on PVP—Pan Blend Polymer System for Energy Storage Devices. Int. J. Curr. Res. Rev. 2018, 10, 19–24. [Google Scholar] [CrossRef]
- Ibrahim, S.; Yasin, S.M.M.; Nee, N.M.; Ahmad, R.; Johan, M.R. Conductivity and dielectric behaviour of PEO-based solid nanocomposite polymer electrolytes. Solid State Commun. 2012, 152, 426–434. [Google Scholar] [CrossRef]

















| Samples | Wavenumbers (cm−1) | |||
|---|---|---|---|---|
| C–O Band | NH2 | C–H Band | O–H Band | |
| CSPVNG0 | 1015.61 | 1545.66 | - | - |
| CSPVNG11 | 1020.04 | 1558.79 | - | 3374.36 |
| CSPVNG22 | 1039.06 | 1559.40 | 2938.77 | 3374.69 |
| CSPVNG33 | 1032.10 | 1559.33 | 2938.70 | 3317.19 |
| CSPVNG44 | 1031.21 | 1559.41 | 2937.25 | 3316.19 |
| CSPVNG55 | 1031.29 | 1559.47 | 2936.4 | 3312.77 |
| σ | |||||
|---|---|---|---|---|---|
| 62,600 | |||||
| 2815 | |||||
| 369 | |||||
| 73 | |||||
| 40 |
| 11 | 0.190 | ||
Publisher’s Note: MDPI stays neutral with regard to jurisdictional claims in published maps and institutional affiliations. |
© 2022 by the authors. Licensee MDPI, Basel, Switzerland. This article is an open access article distributed under the terms and conditions of the Creative Commons Attribution (CC BY) license (https://creativecommons.org/licenses/by/4.0/).
Share and Cite
Sadiq, N.M.; Aziz, S.B.; Kadir, M.F.Z. Development of Flexible Plasticized Ion Conducting Polymer Blend Electrolytes Based on Polyvinyl Alcohol (PVA): Chitosan (CS) with High Ion Transport Parameters Close to Gel Based Electrolytes. Gels 2022, 8, 153. https://doi.org/10.3390/gels8030153
Sadiq NM, Aziz SB, Kadir MFZ. Development of Flexible Plasticized Ion Conducting Polymer Blend Electrolytes Based on Polyvinyl Alcohol (PVA): Chitosan (CS) with High Ion Transport Parameters Close to Gel Based Electrolytes. Gels. 2022; 8(3):153. https://doi.org/10.3390/gels8030153
Chicago/Turabian StyleSadiq, Niyaz M., Shujahadeen B. Aziz, and Mohd F. Z. Kadir. 2022. "Development of Flexible Plasticized Ion Conducting Polymer Blend Electrolytes Based on Polyvinyl Alcohol (PVA): Chitosan (CS) with High Ion Transport Parameters Close to Gel Based Electrolytes" Gels 8, no. 3: 153. https://doi.org/10.3390/gels8030153
APA StyleSadiq, N. M., Aziz, S. B., & Kadir, M. F. Z. (2022). Development of Flexible Plasticized Ion Conducting Polymer Blend Electrolytes Based on Polyvinyl Alcohol (PVA): Chitosan (CS) with High Ion Transport Parameters Close to Gel Based Electrolytes. Gels, 8(3), 153. https://doi.org/10.3390/gels8030153

