The Ratio Optimization and Strength Mechanism of Composite Cementitious Material with Low-Quality Fly Ash
Abstract
:1. Introduction
2. Results and Discussion
2.1. Effect of Active Ingredients on Strength
2.1.1. Orthogonal Results Analysis
2.1.2. Grey Correlation Analysis
2.2. Effect of Fly Ash Content on Hydration Product
2.2.1. XRD
2.2.2. TG/DTG
2.3. Effect of Fly Ash Content on Microstructure
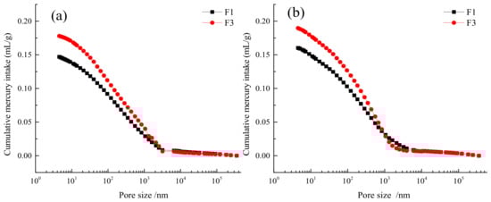
2.4. Effect of Fly Ash Content on Pore Characteristics
2.4.1. Pore Structure
2.4.2. Pore Morphology
3. Conclusions
- The proportion of low-quality fly ash-based cementitious composite is identified, whose cement strengths are R7 = 1.73 MPa and R28 = 3.63 MPa, thus conforming to the mine filling requirements.
- The grey correlation analysis revealed that the components with the greatest influence on 7 d and 28 d strength were slag and fly ash, respectively, and it was conjectured that the effect of fly ash on strength was mainly from the hydration reaction and micro-aggregate effect.
- Although fly ash damages the early strength, it has a gain effect on the long-term strength, which is mainly caused by the secondary hydration reaction of fly ash. Moreover, it was observed that excessive fly ash resulted in long-term strength deterioration, which may be caused by poor skeleton structure.
- The hydration reaction degree of the cementitious materials prepared with a high-volume of low-quality fly ash is low, and the difference in hydration products does not contribute much to the strength, while the strength difference of the cementitious body benefits from the change in pore structure brought by different ratios of cementitious materials.
4. Materials and Methods
4.1. Materials
4.2. Experimental Procedures
Author Contributions
Funding
Data Availability Statement
Conflicts of Interest
References
- Wei, X.; Yang, Q. Quality Evaluation of High Calcium Flyash-Evaluation on 《Fly Ash Used for Cement and Concrete》 GB/T1596-2005, 19 January 2005. Available online: https://www.chinesestandard.net/PDF/English.aspx/GBT1596-2005?Redirect=YES (accessed on 20 January 2022).
- Mehta, A.; Siddique, R. An overview of geopolymers derived from industrial by-products. Constr. Build. Mater. 2016, 127, 183–198. [Google Scholar] [CrossRef]
- Kong, D.L.; Sanjayan, J.G. Effect of elevated temperatures on geopolymer paste, mortar and concrete. Cem. Concr. Res. 2010, 40, 334–339. [Google Scholar] [CrossRef]
- Narayanan, A.; Shanmugasundaram, P. An Experimental Investigation on Flyash-based Geopolymer Mortar under different curing regime for Thermal Analysis. Energy Build. 2017, 138, 539–545. [Google Scholar] [CrossRef]
- Yan, P.Y. Mechanism of fly ash’s effects during hydration process of composite binder. J. Chin. Ceram. Soc. 2007, 35, 167–171. (In Chinese) [Google Scholar]
- Hao, C.W.; Deng, M.; Mo, L.W.; Liu, K. Surface modification of fly ashes and its effect on strength and autogenous shrinkage of cement pastes. J. Chin. Ceram. Soc. 2011, 39, 697–702. [Google Scholar]
- Guo-Jun, K.; Xiao-Feng, Y.; Hong, P.; Fei, J.; Hong-tao, Y. Progress of research on chemical activating mechanisms of fly ash. J. China Coal Soc. 2005, 30, 366–370. [Google Scholar]
- Nath, P.; Sarker, P.K. Effect of GGBFS on setting, workability and early strength properties of fly ash geopolymer concrete cured in ambient condition. Constr. Build. Mater. 2014, 66, 163–171. [Google Scholar] [CrossRef] [Green Version]
- Saha, S.; Rajasekaran, C. Enhancement of the properties of fly ash based geopolymer paste by incorporating ground granulated blast furnace slag. Constr. Build. Mater. 2017, 146, 615–620. [Google Scholar] [CrossRef]
- Song, X.F.; Zhu, J.J. The factors affecting the mechanical properties of fly ash and slag based geopolymer. J. Xian Univ. Archit. Technol. (Nat. Sci. Ed.) 2016, 48, 128–132. [Google Scholar]
- Yang, S.Y.; Zhao, R.D.; Jin, H.S.; Li, F.H. Analysis on mechanical properties and fractal characteristics of micropore structure of geopolymer mortar. J. South China Univ. Technol. (Nat. Sci. Ed.) 2020, 48, 126–135. [Google Scholar]
- Lv, Q.F.; Wang, Z.S.; Gu, L.Y.; Chen, Y.; Shan, X.K. Effect of sodium sulfate on strength and microstructure of alkali-activated fly ash based geopolymer. J. Cent. South Univ. 2020, 27, 1691–1702. [Google Scholar] [CrossRef]
- Zhang, Y.; Fang, X.M.; Yu, Q.; Zhao, T.J.; Xu, D.; Zhang, S.W.; Cheng, Y.J. Review on mechanical property of alkali-activated cementitious materials. Concrete 2018, 03, 60–64. [Google Scholar]
- Boonserm, K.; Sata, V.; Pimraksa, K.; Chindaprasirt, P. Improved geopolymerization of bottom ash by incorporating fly ash and using waste gypsum as additive. Cem. Concr. Compos. 2012, 34, 819–824. [Google Scholar] [CrossRef]
- Zhao, R.D.; Yang, S.Y.; Jia, W.T.; Zeng, X.S.; Jin, H.S.; Li, F.H. Review of recent progress in durability of fly ash based geopolymer concrete. J. Southwest Jiaotong Univ. 2021, 56, 1065–1074. [Google Scholar]
- Feng, G.R.; Jia, X.Q.; Guo, Y.X.; Qi, T.Y.; Li, D.; Li, Z.; Feng, J.R.; Liu, G.Y.; Song, K.G.; Kang, L.X. Influence of the wasted concrete coarse aggregate on the performance of cemented paste backfill. J. China Coal Soc. 2015, 40, 1320–1325. [Google Scholar]
- Cui, Z.T.; Sun, H.H. The preparation and properties of coal gangue based sialite paste-like backfill material. J. China Coal Soc. 2010, 35, 896–899. [Google Scholar]
- Wu, L.L.; Kang, K.T.; Yin, B.; Du, M.Z. Microcalorimetric test and analysis of hydration heat of fly ash paste-filling materia. J. China Coal Soc. 2015, 40, 2801–2806. [Google Scholar]
- Rafeet, A.; Vinai, R.; Soutsos, M.; Sha, W. Effects of slag substitution on physical and mechanical properties of fly ash-based alkali activated binders (AABs). Cem. Concr. Res. 2019, 122, 118–135. [Google Scholar] [CrossRef]
- Jiang, H.; Qi, Z.; Yilmaz, E.; Han, J.; Qiu, J.; Dong, C. Effectiveness of alkali-activated slag as alternative binder on workability and early age compressive strength of cemented paste backfills. Constr. Build. Mater. 2019, 218, 689–700. [Google Scholar] [CrossRef]
- Part, W.K.; Ramli, M.; Cheah, C.B. An overview on the influence of various factors on the properties of geopolymer concrete derived from industrial by-products. Constr. Build. Mater. 2015, 77, 370–395. [Google Scholar] [CrossRef]
- Chen, H.F.; Li, S.X.; Tian, Y.C.; Meng, Y.Y.; Lu, Y.; Shi, W.Y. Study on activator activity and cementation mechanism of slag cementitious material. Fly Ash Compr. Util. 2020, 34, 44–48. [Google Scholar]
- Ahmari, S.; Ren, X.; Toufigh, V.; Zhang, L. Production of geopolymeric binder from blended waste concrete powder and fly ash. Constr. Build. Mater. 2012, 35, 718–729. [Google Scholar] [CrossRef]
- Li, S.H. Influences of Complement Gypsum on the Performances of Cement-Slag Binder. Master’s Thesis, Xi’an University of Architecture and Technology, Xi’an, China, 2010. [Google Scholar]
- Wu, P.; Lyu, X.; Wang, J.; Qiu, J.; Hu, S.; Zhang, Y. Effect of anhydrite on hydration of clinker activated slag cementing materials. J. China Univ. Min. Technol. 2016, 45, 615–622. [Google Scholar]
- Li, M.; Yang, Z.; Wang, Y.; Gao, Q. Experiment study of compressive strengthand mechanical property of filling body for fly ash composite cementitious materials. J. China Univ. Min. Technol. 2015, 44, 650–655. [Google Scholar]
- Chen, Z.B.; Jian, W.B. Sensibility Analysis of Slopes Stability Based on Grey Correlation Analysis. J. Disaster Prev. Mitig. Eng. 2006, 26, 473–477. [Google Scholar]
- Zhang, C.; Fu, J.; Song, W.; Du, C.; Fu, H. High-volume ultrafine fly ash-cement slurry mechanical properties and strength development model establishment. Constr. Build. Mater. 2021, 277, 122350. [Google Scholar] [CrossRef]
- Lza, B.; Cheng, Z.B.; Jd, B. Prediction of compressive strength of recycled aggregate concrete based on gray correlation analysis. Constr. Build. Mater. 2021, 273, 121750. [Google Scholar]
- Wang, X.; Yang, W.; Ge, Y.; Feng, D. The influence of shrinkage-reducing agent solution properties on shrinkage of cementitious composite using grey correlation analysis. Constr. Build. Mater. 2020, 264, 120194. [Google Scholar]
- Zheng, C.; Li, R.; Hu, M.; Zou, L. Determination of low-temperature crack control parameter of binding asphalt materials based on gray correlation analysis. Constr. Build. Mater. 2019, 217, 226–233. [Google Scholar] [CrossRef]
- Zhang, Y.; Zhang, X. Grey correlation analysis between strength of slag cement and particle fractions of slag powder. Cem. Concr. Compos. 2007, 29, 498–504. [Google Scholar] [CrossRef]
- Chen, G.F.; Gao, J.M.; Zhao, Y.S. Research on properties of recycled clay brick powder-limestone powder-cement cementitious material. J. Southeast Univ. (Nat. Sci. Ed.) 2020, 50, 858–865. [Google Scholar]
- Wu, Z.W. Discussion on the recent development direction of concrete science and technology. J. Chin. Ceram. Soc. 1979, 7, 262–270. [Google Scholar]
- Zhang, B.; Liu, W.; Liu, X. Scale-dependent nature of the surface fractal dimension for bi- and multi-disperse porous solids by mercury porosimetry. Appl. Surf. Sci. 2006, 253, 1349–1355. [Google Scholar] [CrossRef]
- Zhang, B.; Li, S. Determination of the surface fractal dimension for porous media by mercury porosimetry. Ind. Eng. Chem. Res. 1995, 34, 1383–1386. [Google Scholar] [CrossRef]
- Yin, S.H.; Liu, J.M.; Chen, W.; Zou, L.; Kou, Y.; Li, X. Optimization of the effect and formulation of different coarse aggregates on performance of the paste backfill condensation. Chin. J. Eng. 2020, 42, 829–837. [Google Scholar]
- Xue, Z.; Gan, D.; Zhang, Y.; Liu, Z. Rheological behavior of ultrafine-tailings cemented paste backfill in high-temperature mining conditions. Constr. Build. Mater. 2020, 253, 119212. [Google Scholar] [CrossRef]












| Curing Age | Influencing Factors | Fly Ash | Cement Clinker | Desulfurization Gypsum | Slag |
|---|---|---|---|---|---|
| 7 d | Correlation | 0.7839 | 0.7038 | 0.7907 | 0.8891 |
| Correlation order | 3 | 4 | 2 | 1 | |
| 28 d | Correlation | 0.7551 | 0.6795 | 0.6913 | 0.7531 |
| Correlation order | 1 | 4 | 3 | 2 |
| Curing Age | Number | Porosity/% | Pore Diameter Distribution/% | |||
|---|---|---|---|---|---|---|
| <20 nm | 20–50 nm | 50–200 nm | >200 nm | |||
| 7 d | F1 | 22.1 | 21.65 | 11.50 | 24.67 | 42.18 |
| F3 | 27.2 | 19.31 | 12.43 | 25.83 | 42.42 | |
| 28 d | F1 | 25.0 | 20.47 | 10.01 | 24.88 | 44.63 |
| F3 | 29.4 | 18.84 | 9.51 | 24.57 | 47.08 | |
| Materials | SiO2 | Al2O3 | Fe2O3 | CaO | MgO | SO3 |
|---|---|---|---|---|---|---|
| Fly ash/% | 48.76 | 16.22 | 23.91 | 2.05 | 1.44 | 0.89 |
| Slag/% | 32.02 | 10.19 | 1.31 | 40.99 | 9.33 | 1.82 |
| Clinker/% | 21.46 | 4.44 | 4.69 | 64.69 | 2.89 | 0.25 |
| Gypsum/% | 5.68 | 1.48 | 1.91 | 44.51 | 4.06 | 41.45 |
| Number | Fly Ash/% | Cement Clinker/% | Desulfurization Gypsum/% | Experimental Design Ideas |
|---|---|---|---|---|
| A1 | 40 | 10 | 8 | L9(33) orthogonal test |
| A2 | 45 | 15 | 8 | |
| A3 | 50 | 20 | 8 | |
| A4 | 50 | 15 | 10 | |
| A5 | 45 | 10 | 10 | |
| A6 | 40 | 20 | 10 | |
| A7 | 40 | 15 | 12 | |
| A8 | 45 | 20 | 12 | |
| A9 | 50 | 10 | 12 | |
| B1 | 40 | 8 | 10 | Less clinker and more gypsum |
| B2 | 8 | 12 | ||
| B3 | 8 | 14 | ||
| B4 | 10 | 10 | ||
| B5 | 10 | 12 | ||
| B6 | 10 | 14 | ||
| B7 | 12 | 10 | ||
| B8 | 12 | 12 | ||
| B9 | 12 | 14 | ||
| C1 | 45 | 10 | 8 | More clinker and less gypsum |
| C2 | 10 | 10 | ||
| C3 | 10 | 12 | ||
| C4 | 12 | 8 | ||
| C5 | 12 | 10 | ||
| C6 | 12 | 12 | ||
| C7 | 14 | 8 | ||
| C8 | 14 | 10 | ||
| C9 | 14 | 12 |
Publisher’s Note: MDPI stays neutral with regard to jurisdictional claims in published maps and institutional affiliations. |
© 2022 by the authors. Licensee MDPI, Basel, Switzerland. This article is an open access article distributed under the terms and conditions of the Creative Commons Attribution (CC BY) license (https://creativecommons.org/licenses/by/4.0/).
Share and Cite
Yang, X.; Yan, Z.; Yin, S.; Gao, Q.; Li, W. The Ratio Optimization and Strength Mechanism of Composite Cementitious Material with Low-Quality Fly Ash. Gels 2022, 8, 151. https://doi.org/10.3390/gels8030151
Yang X, Yan Z, Yin S, Gao Q, Li W. The Ratio Optimization and Strength Mechanism of Composite Cementitious Material with Low-Quality Fly Ash. Gels. 2022; 8(3):151. https://doi.org/10.3390/gels8030151
Chicago/Turabian StyleYang, Xiaobing, Zepeng Yan, Shenghua Yin, Qian Gao, and Weiguang Li. 2022. "The Ratio Optimization and Strength Mechanism of Composite Cementitious Material with Low-Quality Fly Ash" Gels 8, no. 3: 151. https://doi.org/10.3390/gels8030151
APA StyleYang, X., Yan, Z., Yin, S., Gao, Q., & Li, W. (2022). The Ratio Optimization and Strength Mechanism of Composite Cementitious Material with Low-Quality Fly Ash. Gels, 8(3), 151. https://doi.org/10.3390/gels8030151

