Carbocycle-Based Organogelators: Influence of Chirality and Structural Features on Their Supramolecular Arrangements and Properties
Abstract
1. Introduction
2. Cyclohexane Derivatives
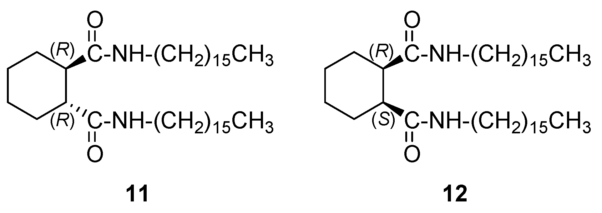
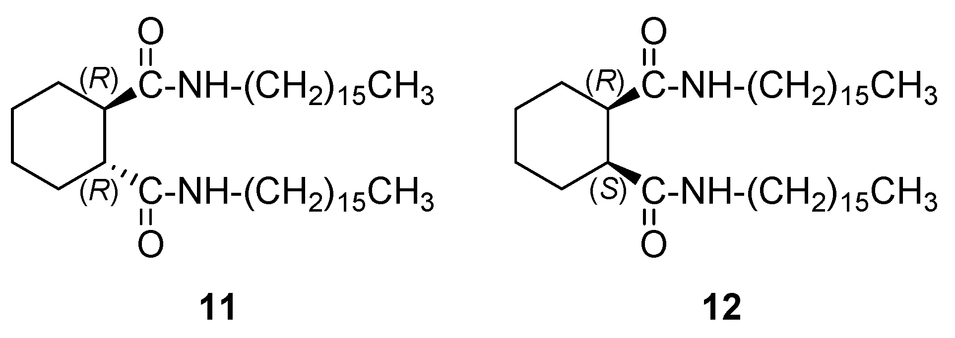
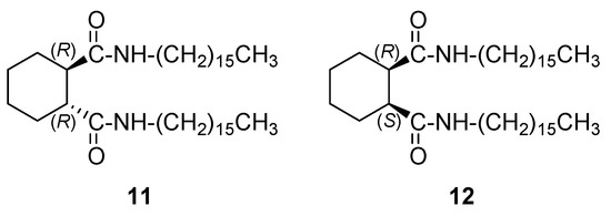
2.1. Dialkyl Bisamide and Bisurea-Based Organogelators
2.2. Trisamide-Based Organo- or Hydrogelators
2.3. Bis(Acyl-Semicarbazide)-Based Organogelators
3. Cyclobutane Derivatives
3.1. Bisamides
3.2. Amino Acid Derivatives with Alkyl Tails
3.3. Peptidomimetics
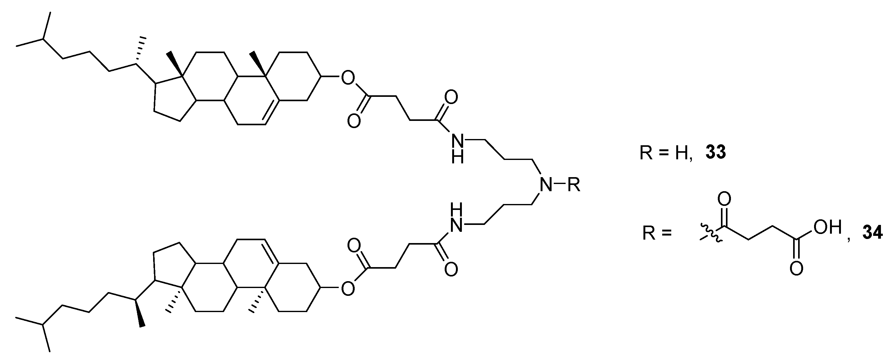
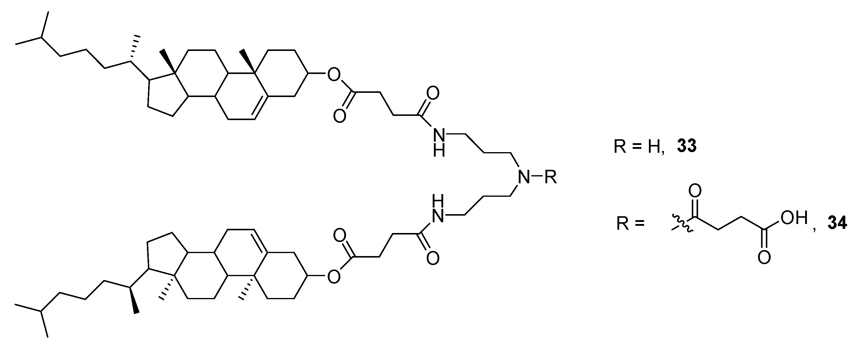
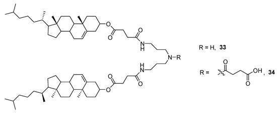
4. Cholesterol-Based Organogelators
5. Summary and Conclusions
Funding
Institutional Review Board Statement
Informed Consent Statement
Data Availability Statement
Conflicts of Interest
References
- Saikia, B.; Mulvee, M.; Torres-Moya, I.; Sarma, B.; Steed, J.W. Drug Mimetic Organogelators for the Control of Concomitant Crystallization of Barbital and Thalidomide. Cryst. Grow Des. 2020, 20, 7989–7996. [Google Scholar] [CrossRef]
- Kaplan, S.; Colak, M.; Hosgorwn, H.; Pirinccioglu, N. Design of L-Lysine-Based Organogelators and Their Applications in Drug Release Processes. ACS Omega 2019, 4, 12342–12356. [Google Scholar] [CrossRef]
- Ohsedo, Y. Low-Molecular-Weight Gelators as Base Materials for Ointments. Gels 2016, 2, 13. [Google Scholar] [CrossRef]
- Valls, A.; Castillo, A.; Porcar, R.; Hietala, S.; Altava, B.; García-Verdugo, E.; Luis, S.V. Urea-Based Low-Molecular-Weight Pseudopeptidic Organogelators for the Encapsulation and Slow Release of (R)-Limonene. J. Agric. Food Chem. 2020, 68, 7051–7061. [Google Scholar] [CrossRef]
- Okesola, B.O.; Smith, D.K. Applying Low-Molecular Weight Supramolecular Gelators in an Environmental Setting—Self-Assembled Gels as Smart Materials for Pollutant Removal. Chem. Soc. Rev. 2016, 45, 4226–4251. [Google Scholar] [CrossRef]
- Babu, S.S.; Prasanthkumar, S.; Ajayaghosh, A. Self-Assembled Gelators for Organic Electronics. Angew. Chem. Int. Ed. 2012, 51, 1766–1776. [Google Scholar] [CrossRef]
- Malviya, N.; Sonkar, C.; Kundu, B.K.; Mukhopadhyay, S. Discotic Organogelators in Ion Sensing, Metallogel Formation, and Bioinspired Catalysis. Langmuir 2018, 34, 11575–11585. [Google Scholar] [CrossRef]
- Sharma, S.; Kumari, M.; Singh, N. A C3-symmetrical tripodal acylhydrazone organogelator for the selective recognition of cyanide ions in the gel and solution phases: Practical applications in food samples. Soft Matter 2020, 16, 6532. [Google Scholar] [CrossRef] [PubMed]
- Panja, A.; Ghosh, K. Cholesterol-based simple molecular gelators: An approach to selective sensing of CN¯ ion with application in dye adsorption. Supramol. Chem. 2019, 31, 239–250. [Google Scholar] [CrossRef]
- Prathap, A.; Sureshan, K.M. Organogelator-Cellulose Composite for Practical and Eco-Friendly Marine Oil-Spill Recovery. Angew. Chem. Int. Ed. 2017, 56, 9405–9409. [Google Scholar] [CrossRef] [PubMed]
- Raju, C.S.K.; Pramanik, B.; Ravishankar, R.; Rao, P.V.C.; Sriganesh, G. Xylitol based phase selective organogelators for potential oil spillage recovery. RSC Adv. 2017, 7, 37175–37180. [Google Scholar] [CrossRef]
- Vibhute, A.M.; Sureshan, K.M. How Far Are We in Combating Marine Oil Spills by Using Phase-Selective Organogelators? ChemSusChem 2020, 13, 5343–5360. [Google Scholar] [CrossRef] [PubMed]
- Hirst, A.R.; Escuder, B.; Miravet, J.F.; Smith, D.K. High-tech applications of self-assembling supramolecular nanostructured gel phase materials: From regenerative medicine to electronic devices. Angew. Chem., Int. Ed. 2008, 47, 8002–8018. [Google Scholar] [CrossRef] [PubMed]
- Fernández-Barbero, A.; Suárez, I.J.; Sierra-Martín, B.; Fernández-Nieves, A.; de las Nieves, F.J.; Marquez, M.; Rubio-Retama, J.; López-Cabarcos, E. Gels and microgels for nanotechnological applications. Adv. Colloid Interface Sci. 2009, 88–108. [Google Scholar] [CrossRef] [PubMed]
- Prathap, A.; Sureshan, K.M. Sugar-Based Organogelators for Various Applications. Langmuir 2019, 35, 6005–6014. [Google Scholar] [CrossRef] [PubMed]
- Van Esch, J.H.; Feringa, B.L. New Functional Materials Based on Self-Assembling Organogels: From Serendipity towards Design. Angew. Chem. Int. Ed. 2000, 39, 2263–2266. [Google Scholar] [CrossRef]
- Lan, Y.; Corradini, M.G.; Weiss, R.G.; Raghvan, S.R.; Rogers, M.A. To gel or not to gel: Correlating molecular gelation with solvent parameters. Chem. Soc. Rev. 2015, 44, 6035–6058. [Google Scholar] [CrossRef] [PubMed]
- Draper, E.R.; Adams, D.J. Low-Molecular-Weigth Gels: The State of the Art. Chem 2017, 3, 390–410. [Google Scholar] [CrossRef]
- Duan, P.; Cao, H.; Zhang, L.; Liu, M. Gelation induced supramolecular chirality: Chirality transfer, amplification, and application. Soft Matter 2014, 10, 5428–5448. [Google Scholar] [CrossRef]
- Smith, D.K. Lost in translation: Chirality effects in the self-assembly of nanostructured gel-phase materials. Chem. Soc. Rev. 2009, 38, 684–694. [Google Scholar] [CrossRef]
- Stupp, S.I.; Palmer, L.C. Supramolecular Chemistry and Self-Assembly in Organic Materials Design. Chem. Mater. 2014, 26, 507–518. [Google Scholar] [CrossRef]
- Jones, C.D.; Steed, J.W. Gels with sense: Supramolecular materials that respond to heat, light and sound. Chem. Soc. Rev. 2016, 45, 6546–6596. [Google Scholar] [CrossRef]
- Arumugaperumal, R.; Hua, W.-L.; Raghunath, P.; Lin, M.-C.; Chung, W.-S. Controlled Sol-Gel and Diversiform Nanostructure Transitions by Photoresponsive Molecular Switching of Tetraphenylethene-and Azobenzene-Functionalized Organogelators. ACS Appl. Mater. Interfaces 2020, 12, 29650–29660. [Google Scholar]
- Zhang, T.; Chen, F.; Zhang, C.; Che, X.; Li, W.; Bai, B.; Wang, H.; Li, M. Multistimuli-Responsive Fluorescent Organogelator Based on Triphenylamine-Substituted Acylhydrazone Derivative. ACS Omega 2020, 5, 5675–5683. [Google Scholar] [CrossRef]
- Ren, Y.-Y.; Xu, Z.; Li, G.; Huang, J.; Fan, X.; Xu, L. Hierarchical self-assembly of a fluorescence emission-enhanced organogelator and its multipe stimuli-responsive behaviors. Dalton Trans. 2017, 46, 333–337. [Google Scholar] [CrossRef] [PubMed]
- Morris, J.; Bietsch, J.; Bashaw, K.; Wang, G. Recently Developed Carbohydrate Based gelators and Their Applications. Gels 2021, 7, 24. [Google Scholar] [CrossRef] [PubMed]
- Hanabusa, Y.; Yamada, M.; Mutsumi, K.; Shirai, H. Prominent Gelation and Chiral Aggregation of Alkylamides Derived from trans-1,2-diaminocyclohexane. Angew. Chem. Int. Ed. Engl. 1996, 35, 1949–1951. [Google Scholar] [CrossRef]
- Kobayashi, S.; Hanabusa, K.; Hamasaki, N.; Kimura, M.; Shirai, H.; Shinkai, S. Preparation of TiO2 Hollow-Fibers Using Supramolecular Assemblies. Chem. Matter. 2000, 12, 1523–1525. [Google Scholar] [CrossRef]
- Kobayashi, S.; Hamasaki, N.; Suzuki, M.; Kimura, M.; Shirai, H.; Hanabusa, K. Preparation of Helical Transition-Metal Oxide Tubes Using Organogelators as Structure-Directing Agents. J. Am. Chem. Soc. 2002, 124, 6550–6551. [Google Scholar] [CrossRef]
- Jung, J.H.; Ono, Y.; Hanabusa, K.; Shinkai, S. Creation of Both Right-Handed and Left-Handed Silica Structures by Sol-Gel Transcription of Organic Fibers Comprised of Chiral Diaminocyclohexane Derivatives. J. Am. Chem. Soc. 2000, 122, 5008–5009. [Google Scholar] [CrossRef]
- Jung, J.H.; Ono, Y.; Shinkai, S. Sol-Gel Polycondensation in a Cyclohexane-Based Organogel Sysytem in Helical Silica: Creation of Both Right- and Left-Handed Silica Structures by Helical Organogel Fibers. Chem. Eur. J. 2000, 6, 4552–4557. [Google Scholar] [CrossRef]
- Zweep, N.; Hopkinson, A.; Meetsma, A.; Browne, W.R.; Feringa, B.L.; van Esch, J.H. Balancing Hydrogen Bonding and van der Waals Interactions in Cyclohexane-Based Bisamide and Bisurea Organogelators. Langmuir 2009, 25, 8802–8809. [Google Scholar] [CrossRef]
- Pi-Boleda, B.; Sans, M.; Campos, M.; Nolis, P.; Illa, O.; Estévez, J.C.; Branchadell, V.; Ortuño, R.M. Studies on Cycloalkane-based Bisamide Organogelators: A New Example of Stochastic Chiral Symmetry-Breaking Induced by Sonication. Chem. Eur. J. 2017, 23, 3357–3365. [Google Scholar] [CrossRef]
- Kushida, Y.; Sawato, T.; Shigeno, M.; Saito, N.; Yanmaguchi, M. Deterministic and Stochastic Chiral Symmetry Breaking Exhibited by Racemic Aminomethylenehelicene Oligomers. Chem. Eur. J. 2016, 22, 1–8. [Google Scholar] [CrossRef]
- Liu, M.; Zhang, L.; Wang, T. Supramolecular Chirality in Self-Assembled Systems. Chem. Rev. 2015, 115, 7304–7397. [Google Scholar] [CrossRef]
- Maity, S.; Das, P.; Reches, M. Inversion of Supramolecular Chirality. Sci. Rep. 2015, 5, 16365. [Google Scholar]
- Shen, Z.; Jiang, Y.; Wang, T.; Liu, M. Symmetry Breaking in the Supramolecular Gels of an Achiral Gelator Exclusively Driven by π−π Stacking. J. Am. Chem. Soc. 2015, 137, 16109–16115. [Google Scholar] [CrossRef]
- Pi-Boleda, B.; Campos, M.; Sans, M.; Basavilbaso, A.; Illa, O.; Branchadell, V.; Estévez, J.C.; Ortuño, R.M. Synthesis and Gelling Abilities of Polyfunctional Cyclohexane-1,2-dicarboxylic Acid Bisamides: Influence of the Hydroxyl Groups. Molecules 2019, 24, 352. [Google Scholar] [CrossRef]
- González, M.A.; Estévez, A.M.; Campos, M.; Estévez, J.C.; Estévez, R.J. Protocol for the Incorporation of γ-Amino Acids into Peptides: Application to (−)-Shikimic Acid Based 2-Amino-Methylcyclohexanecarboxylic Acids. J. Org. Chem. 2018, 83, 1543–1550. [Google Scholar] [CrossRef]
- Delbecq, F.; Adenier, G.; Ogue, Y.; Kawai, T. Gelation properties of various long chain amidoamines: Prediction of solvent gelation via machine learning using Hansen solubility parameters. J. Mol. Liq. 2020, 303, 112587. [Google Scholar] [CrossRef]
- Wang, T.; Li, Y.; Shen, F.; Ren, J.; Yu, X. Isomeric effect of solvents on a sugar-based supergelator with self-healing ability. Appl. Surf. Sci. 2020, 513, 145814. [Google Scholar] [CrossRef]
- Hanabusa, K.; Kawakami, A.; Kimura, M.; Shirai, H. Small Molecular Gelling Agents to Harden Organic Liquids: Trialkyl cis-1,3,5-Cyclohexanetricarboxamides. Chem. Lett. 1997, 191–192. [Google Scholar] [CrossRef]
- Van Bommel, K.J.C.; van der Pol, C.; Muizebelt, I.; Friggeri, A.; Heeres, A.; Meetsma, A.; Feringa, B.L.; van Esch, J. Responsive Cyclohexane-Based Low-Molecular-Weight Hydrogelators with Modular Architecture. Angew. Chem. Int. Ed. 2004, 43, 1663–1667. [Google Scholar] [CrossRef] [PubMed]
- Friggeri, A.; van der Pol, C.; van Bommel, K.J.C.; Heeres, A.; Stuart, M.C.A.; Feringa, B.L.; van Esch, J. Cyclohexane-Based Low Molecular Weight Hydrogelators: A Chirality Investigation. Chem. Eur. J. 2005, 11, 5353–6361. [Google Scholar] [CrossRef] [PubMed]
- Baddi, S.; Madugula, S.S.; Sarma, D.S.; Soujanya, Y.; Palanisamy, A. Combined Experimental and Computational Study of the Gelation of Cyclohexane-Based Bis(acyl-semicarbazides) and the Multi-Stimuli Responsive Properties of Their Gels. Langmuir 2016, 32, 889–899. [Google Scholar] [CrossRef] [PubMed]
- Fernandes, C.; Gauzy, C.; Yang, Y.; Roy, O.; Pereira, E.; Faure, S.; Aitken, D.J. [2+2] Photocycloadditions with chiral uracil derivatives: Access to all four stereoisomers of 2-aminocyclobutanecarboxylic acid. Synthesis 2007, 2222–2232. [Google Scholar] [CrossRef]
- Illa, O.; Serra, A.; Ardiaca, A.; Herrero, X.; Closa, G.; Ortuño, R.M. Cyclobutane-Containing Scaffolds as Useful Intermediates in the Stereoselective Synthesis of Suitable Candidates for Biomedical Purposes: Surfactants, Gelators and Metal Cation Ligands. Int. J. Mol. Sci. 2019, 20, 4333. [Google Scholar] [CrossRef]
- Gorrea, E.; Pohl, G.; Nolis, P.; Celis, S.; Burusco, K.K.; Branchadell, V.; Perczel, A.; Ortuño, R.M. Secondary structure of short β−peptides as the chiral expression of monomeric building units: A rational and predictive model. J. Org. Chem. 2012, 77, 9795–9806. [Google Scholar] [CrossRef]
- Gorrea, E.; Torres, E.; Nolis, P.; da Silva, E.; Amabilino, D.B.; Branchadell, V.; Ortuño, R.M. Self-assembly of chiral trans-cyclobutane containing β-dipeptides into ordered aggregates. Chem. Eur. J. 2011, 17, 4588–4597. [Google Scholar] [CrossRef]
- Celis, S.; Nolis, P.; Illa, O.; Branchadell, V.; Ortuño, R.M. Low-molecular-weight gelators consisting of hybrid cyclobutane-based peptides. Org. Biomol. Chem. 2013, 11, 2839–2846. [Google Scholar] [CrossRef]
- Rúa, F.; Boussert, S.; Parella, T.; Diez-Pérez, I.; Branchadell, V.; Giralt, E.; Ortuño, R.M. Self-Assembly of a cyclobutane β-tetrapeptide to form nano-sized structures. Org. Lett. 2007, 9, 3643–3645. [Google Scholar] [CrossRef]
- Porcar-Tost, O.; Pi-Boleda, B.; García-Anton, J.; Illa, O.; Ortuño, R.M. Cyclobutane-based peptides/terpyridine conjugates: Their use in metal catalysis and as functional organogelators. Tetrahedron 2018, 74, 7252–7260. [Google Scholar] [CrossRef]
- Awada, H.; Grison, C.M.; Charnay-Pouget, F.; Baltaze, J.-P.; Brisset, F.; Guillot, R.; Robin, S.; Hachem, A.; Jaber, N.; Naoufal, D.; et al. Conformational Effects through Hydrogen Bonding in a Constrained γ-Peptide Template: From Intraresidue Seven-Membered Rings to a Gel-Forming Sheet Structure. J. Org. Chem. 2017, 82, 4819–4828. [Google Scholar] [CrossRef] [PubMed]
- André, V.; Gras, M.; Awada, H.; Guillot, R.; Robin, S.; Aitken, D.J. A unified synthesis of all stereoisomers of 2-(aminomethyl)cyclobutane-1-carboxylic acid. Tetrahedron 2013, 69, 3571–3576. [Google Scholar] [CrossRef]
- Svobodová, H.; Noponen, V.; Kolehmainena, E.; Sievänen, E. Recent Advances in Steroidal Supramolecular Gels. RSC Adv. 2012, 2, 4985–5007. [Google Scholar] [CrossRef]
- Albuquerque, H.M.T.; Santos, C.M.M.; Silva, A.M.S. Cholesterol-Based Compounds: Recent Advances in Synthesis and Applications. Molecules 2019, 24, 116. [Google Scholar] [CrossRef] [PubMed]
- Yang, H.-K.; Wang, X.-M.; Liu, L.-L.; Shi, H.-X. Design and gelation behaviors of cholesterol-based derivatives as organogelators: An investigation on the correlation between molecular structures and gelation behaviors. N. J. Chem. 2019, 43, 3366–3373. [Google Scholar] [CrossRef]
- Xing, P.; Zhao, Y. Controlling Supramolecular Chirality in Multicomponent Self-Assembled Systems. Acc. Chem. Res. 2018, 51, 2324–2334. [Google Scholar] [CrossRef] [PubMed]
- Xing, P.; Chen, H.; Bai, L.; Hao, A.; Zhao, Y. Superstructure Formation and Topological Evolution Achieved by Self-Organizatio of a Highly Adaptive Dynamer. ACS Nano 2016, 10, 2716–2727. [Google Scholar] [CrossRef]
- Xing, P.; Tham, H.P.; Li, P.; Chen, H.; Xiang, H.; Zhao, Y. Environment-Adaptive Coassembly/Self-Sorting and Stimulus Responsiveness Transfer Based on Cholesterol Building Blocks. Adv. Sci. 2018, 5, 1700552. [Google Scholar] [CrossRef]
- Xing, P.; Li, Y.; Wang, Y.; Li, P.-Z.; Chen, H.; Phua, S.Z.F.; Zhao, Y. Water Binding-Mediated Gelation/Crystallization and Thermosensitive Superchirality. Angew. Chem. Int. Ed. 2018, 57, 7774–7779. [Google Scholar] [CrossRef]
- Wu, J.; Yi, T.; Xia, Q.; Zou, Y.; Liu, F.; Dong, J.; Shu, T.; Li, F.; Huang, C. Tunable Gel Formation by Both Sonication and Thermal processing in a Cholesterol-Based Self-Assembly System. Chem. Eur. J. 2009, 15, 6234–6243. [Google Scholar] [CrossRef] [PubMed]
- Guo, J.; Yu, X.; Zhang, Z.; Li, Y. Self-healing gels triggered by ultrasound with color-tunable emission based on ion recognition. J. Colloid Interface Sci. 2019, 540, 134–141. [Google Scholar] [CrossRef]
- Chivers, P.R.A.; Smith, D.K. Shaping and structuring supramolecular gels. Nat. Rev. Mater. 2019, 4, 463–478. [Google Scholar] [CrossRef]
- Pang, X.; Yu, X.; Xie, D.; Li, Y.; Geng, L.; Ren, J.; Zhen, X. Tunable multicolor emissions in a monocomponent gel system by varying the solvent, temperature, and fluoride anion. Org. Biomol. Chem. 2016, 14, 11176–11182. [Google Scholar] [CrossRef]
- Wang, T.; Yu, X.; Li, Y.; Ren, J.; Zhen, X. Robust, self-healing, and Multistimuli-Responsive Supergelator for the Visual Recognition and Separation of Short-Chain Cycloalkanes and Alkanes. ACS Appl. Mater. Interfaces 2017, 9, 13666–13675. [Google Scholar] [CrossRef]
- Más-Montoya, M.; Janssen, R.A. The Effect of H-and J-Aggregation on the Photophysical and Photovoltaic Properties of Small Thiophene–Pyridine–DPP Molecules for Bulk-Heterojunction Solar Cells. Adv. Funct. Matter. 2017, 27, 1605779. [Google Scholar] [CrossRef]
- Eder, T.; Stangl, T.; Gmelch, M.; Remmerssen, K.; Laux, D.; Höger, S.; Lupton, J.M.; Vogelsang, J. Switching between H-and J-type electronic coupling in single conjugated polymer aggregates. Nat. Com. 2017, 8, 1641. [Google Scholar] [CrossRef]































Publisher’s Note: MDPI stays neutral with regard to jurisdictional claims in published maps and institutional affiliations. |
© 2021 by the author. Licensee MDPI, Basel, Switzerland. This article is an open access article distributed under the terms and conditions of the Creative Commons Attribution (CC BY) license (https://creativecommons.org/licenses/by/4.0/).
Share and Cite
Ortuño, R.M. Carbocycle-Based Organogelators: Influence of Chirality and Structural Features on Their Supramolecular Arrangements and Properties. Gels 2021, 7, 54. https://doi.org/10.3390/gels7020054
Ortuño RM. Carbocycle-Based Organogelators: Influence of Chirality and Structural Features on Their Supramolecular Arrangements and Properties. Gels. 2021; 7(2):54. https://doi.org/10.3390/gels7020054
Chicago/Turabian StyleOrtuño, Rosa M. 2021. "Carbocycle-Based Organogelators: Influence of Chirality and Structural Features on Their Supramolecular Arrangements and Properties" Gels 7, no. 2: 54. https://doi.org/10.3390/gels7020054
APA StyleOrtuño, R. M. (2021). Carbocycle-Based Organogelators: Influence of Chirality and Structural Features on Their Supramolecular Arrangements and Properties. Gels, 7(2), 54. https://doi.org/10.3390/gels7020054

