Revealing the Importance of Iron Aerogel Features as Electrocatalysts for the Oxygen Reduction Reaction
Abstract
1. Introduction
2. Results and Discussion
2.1. Physicochemical Characterization
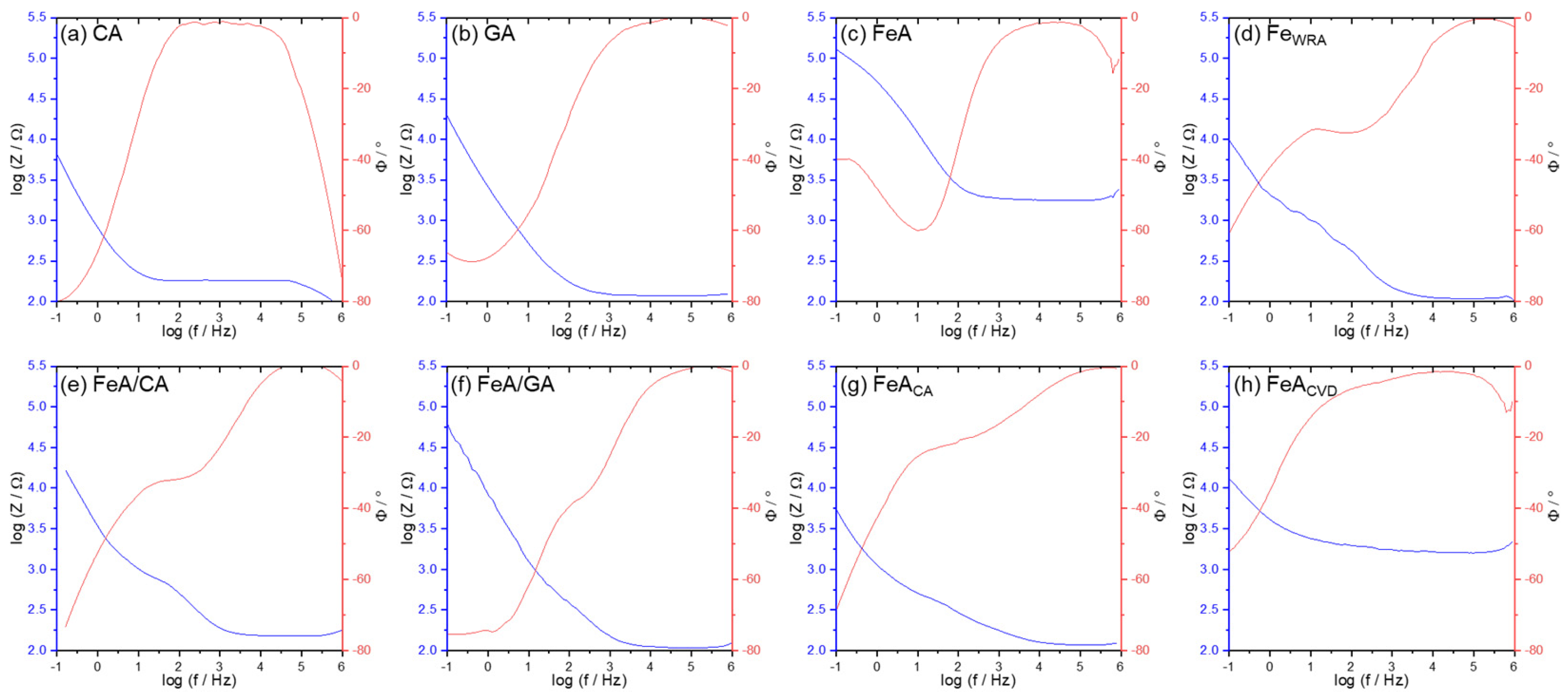
2.2. Electrochemical Performance
3. Conclusions
4. Materials and Methods
Supplementary Materials
Author Contributions
Funding
Institutional Review Board Statement
Informed Consent Statement
Data Availability Statement
Conflicts of Interest
Abbreviations
| CA | Carbon aerogel |
| CNTs | Carbon nanotubes |
| CV | Cyclic voltammetry |
| FeA | Iron aerogel |
| FeWRA | Iron obtained without reducing agent |
| FeACA | Iron aerogel doped with C by treatment with citric acid |
| FeACVD | Iron aerogel doped with C by chemical vapor deposition |
| GA | Graphene aerogel |
| LSV | Linear sweep voltammetry |
| MA | Metal aerogel |
| NMA | Noble metal aerogel |
| MNP | Metal nanoparticle |
| ORR | Oxygen reduction reaction |
| TMA | Transition metal aerogel |
References
- Meng, Z.; Cai, S.; Wang, R.; Tang, H.; Song, S.; Tsiakaras, P. Bimetallic−organic Framework-Derived Hierarchically Porous Co-Zn-N-C as Efficient Catalyst for Acidic Oxygen Reduction Reaction. Appl. Catal. B Environ. 2019, 244, 120–127. [Google Scholar] [CrossRef]
- Osmieri, L. Transition Metal-Nitrogen-Carbon (M-N-C) Catalysts for Oxygen Reduction Reaction. Insights on Synthesis and Performance in Polymer Electrolyte Fuel Cells. ChemEngineering 2019, 3, 16. [Google Scholar] [CrossRef]
- Zhu, Z.; Yin, H.; Wang, Y.; Chuang, C.-H.; Xing, L.; Dong, M.; Lu, Y.-R.; Casillas-Garcia, G.; Zheng, Y.; Chen, S.; et al. Coexisting Single-Atomic Fe and Ni Sites on Hierarchically Ordered Porous Carbon as a Highly Efficient ORR Electrocatalyst. Adv. Mater. 2020, 32, 2004670. [Google Scholar] [CrossRef] [PubMed]
- Esteves, B.M.; Morales-Torres, S.; Maldonado-Hódar, F.J.; Madeira, L.M. Catalytic Peroxidation of Winery Wastewater Contaminants Using Activated Carbon-Supported Magnetite Nanoparticles. J. Water Proc. Eng. 2024, 58, 104772–104785. [Google Scholar] [CrossRef]
- Chen, J.; Zhang, Y.; Zhang, Z.; Hou, D.; Bai, F.; Han, Y.; Zhang, C.; Zhang, Y.; Hu, J. Metal-Support Interactions for Heterogeneous Catalysis: Mechanisms, Characterization Techniques and Applications. J. Mater. Chem. A 2023, 11, 8540. [Google Scholar] [CrossRef]
- Suominen, M.; Kallio, T. What We Currently Know about Carbon-Supported Metal and Metal Oxide Nanomaterials in Electrochemical CO2 Reduction. ChemElectroChem 2021, 8, 2397–2406. [Google Scholar] [CrossRef]
- Quinson, J.; Kunz, S.; Arenz, M. Surfactant-Free Colloidal Syntheses of Precious Metal Nanoparticles for Improved Catalysts. ACS Catal. 2023, 13, 4903–4937. [Google Scholar] [CrossRef]
- Wu, X.; Shao, G.; Shen, X.; Cui, S.; Wang, L. Novel Al2O3-SiO2 Composite Aerogels with High Specific Surface Area at Elevated Temperatures with Different Alumina/Silica Molar Ratios Prepared by a Non-Alkoxide Sol-Gel Method. RSC Adv. 2016, 6, 5611–5620. [Google Scholar] [CrossRef]
- Li, Y.; Yu, J. Emerging Applications of Zeolites in Catalysis, Separation and Host–Guest Assembly. Nat. Rev. Mater. 2021, 6, 1156–1174. [Google Scholar] [CrossRef]
- Humayun, M.; Israr, M.; Li, Z.; Luo, W.; Wang, C. Metal Oxides Confine Single Atoms toward Efficient Thermal Catalysis. Coord. Chem. Rev. 2023, 488, 215189–215209. [Google Scholar] [CrossRef]
- Du, R.; Jin, X.; Hübner, R.; Fan, X.; Hu, Y.; Eychmüller, A. Engineering Self-Supported Noble Metal Foams Toward Electrocatalysis and Beyond. Adv. Energy Mater. 2020, 10, 1901945–1901975. [Google Scholar] [CrossRef]
- Hermawan, A.; Novita Alviani, V.; Wei Seh, Z. Fundamentals, Rational Catalyst Design, and Remaining Challenges in Electrochemical NOx Reduction Reaction. iScience 2023, 26, 107410–107441. [Google Scholar] [CrossRef] [PubMed]
- Vaitsis, C.; Kanellou, E.; Angelara, C.; Pandis, P.K.; Argirusis, N.; Sourkouni, G.; Zorpas, A.A.; Karantonis, A.; Argirusis, C. MOFs-Metal Oxides/Sulfides/Phosphides Nanocomposites for Supercapacitators. In Metal-Organic Framework-Based Nanomaterials for Energy Conversion and Storage; Ram, K.G., Tuan, A.N., Ghulam, Y., Eds.; Elsevier: Abingdon, UK, 2022; pp. 393–412. [Google Scholar]
- Saad Abbas, S.; Raouf, R.M.; Al-Moameri, H.H. A Review of Epoxy-Nanocomposite Properties. J. Eng. Sustain. Dev. 2024, 28, 75–94. [Google Scholar] [CrossRef]
- Guo, Y.-F.; Zhao, S.; Zhang, N.; Liu, Z.-L.; Wang, P.-F.; Zhang, J.-H.; Xie, Y.; Yi, T.-F. Advanced Design Strategies for Fe-Based Metal-Organic Framework-Derived Electrocatalysts toward High-Performance Zn-Air Batteries. Energy Environ. Sci 2024, 17, 1725–1755. [Google Scholar] [CrossRef]
- Chen, F.-Y.; Wu, Z.-Y.; Adler, Z.; Wang, H. Stability Challenges of Electrocatalytic Oxygen Evolution Reaction: From Mechanistic Understanding to Reactor Design. Joule 2021, 5, 1704–1731. [Google Scholar] [CrossRef]
- Yoo, J.K.; Kong, H.J.; Wagle, R.; Shon, B.H.; Kim, I.K.; Kim, T.H. A Study on the Methods for Making Iron Oxide Aerogel. J. Ind. Eng. Chem. 2019, 72, 332–337. [Google Scholar] [CrossRef]
- Schäfer, H.; Milow, B.; Ratke, L. Synthesis of Inorganic Aerogels via Rapid Gelation Using Chloride Precursors. RSC Adv. 2013, 3, 15263–15272. [Google Scholar] [CrossRef]
- Deng, K.; Ren, T.; Xu, Y.; Liu, S.; Dai, Z.; Wang, Z.; Li, X.; Wang, L.; Wang, H. Transition Metal M (M = Co, Ni, and Fe) and Boron Co-Modulation in Rh-Based Aerogels for Highly Efficient and PH-Universal Hydrogen Evolution Electrocatalysis. J. Mater. Chem. A 2020, 8, 5595–5600. [Google Scholar] [CrossRef]
- Persky, Y.; Kielesiński, Ł.; Reddy, S.N.; Zion, N.; Friedman, A.; Honig, H.C.; Koszarna, B.; Zachman, M.J.; Grinberg, I.; Gryko, D.T.; et al. Biomimetic Fe-Cu Porphyrrole Aerogel Electrocatalyst for Oxygen Reduction Reaction. ACS Catal. 2023, 13, 11012–11022. [Google Scholar] [CrossRef]
- Jiang, X.; Du, R.; Hübner, R.; Hu, Y.; Eychmüller, A. A Roadmap for 3D Metal Aerogels: Materials Design and Application Attempts. Matter 2021, 4, 54–94. [Google Scholar] [CrossRef]
- Liu, W.; Herrmann, A.-K.; Bigall, N.C.; Rodriguez, P.; Wen, D.; Oezaslan, M.; Schmidt, T.J.; Gaponik, N.; Eychmü, A. Noble Metal Aerogels-Synthesis, Characterization, and Application as Electrocatalysts. Acc. Chem. Res. 2015, 48, 42. [Google Scholar] [CrossRef] [PubMed]
- Li, W.; Weng, B.; Sun, X.; Cai, B.; Hübner, R.; Luo, Y.; Du, R. A Decade of Electrocatalysis with Metal Aerogels: A Perspective. Catalysts 2023, 13, 167. [Google Scholar] [CrossRef]
- Peles-Strahl, L.; Persky, Y.; Elbaz, L. Design of Advanced Aerogel Structures for Oxygen Reduction Reaction Electrocatalysis. SusMat 2023, 3, 44–57. [Google Scholar] [CrossRef]
- Zhang, R.; Zhao, Y. Preparation and Electrocatalysis Application of Pure Metallic Aerogel: A Review. Catalysts 2020, 10, 1376–1396. [Google Scholar] [CrossRef]
- Ren, S.; Liu, K.; Wang, K.; Fan, J.; Liang, J.; Yang, C. ZrC/C Aerogel with High Compressive Strength by a Carbothermic Process. J. Eur. Ceram. Soc. 2021, 41, 4710–4719. [Google Scholar] [CrossRef]
- Gao, H.; Zhang, Z.; Shi, Z.; Zhang, J.; Zhi, M.; Hong, Z. Synthesis of High-Temperature Resistant Monolithic Zirconia-Based Aerogel via Facile Water Glass Assisted Sol–Gel Method. J. Solgel Sci. Technol. 2018, 85, 567–573. [Google Scholar] [CrossRef]
- Wang, C.; Bai, L.; Xu, H.; Qin, S.; Li, Y.; Zhang, G. A Review of High-Temperature Aerogels: Composition, Mechanisms, and Properties. Gels 2024, 10, 286. [Google Scholar] [CrossRef]
- Wu, Y.; Wang, X.; Shen, J. Metal Oxide Aerogels for High-Temperature Applications. J. Solgel Sci. Technol. 2023, 106, 360–380. [Google Scholar] [CrossRef]
- Shi, Q.; Zhu, C.; Du, D.; Bi, C.; Xia, H.; Feng, S.; Engelhard, M.H.; Lin, Y. Kinetically Controlled Synthesis of AuPt Bi-Metallic Aerogels and Their Enhanced Electrocatalytic Performances. J. Mater. Chem. A Mater. 2017, 5, 19626–19631. [Google Scholar] [CrossRef]
- Yuan, Y.; Zhao, H.; Xv, W.; Zhang, D.; Wang, Z.; Li, H.; Qin, Y.; Li, S.; Lai, J.; Wang, L. Noble Metal Aerogels Rapidly Synthesized by Ultrasound for Electrocatalytic Reaction. Chin. Chem. Lett. 2022, 33, 2021–2025. [Google Scholar] [CrossRef]
- Burpo, F.J. Noble Metal Aerogels. In Springer Handbook of Aerogels; Aegerter, M.A., Leventis, N., Koebel, M., Steiner, S.A., III, Eds.; Springer Handbooks: Berlin/Heidelberg, Germany, 2023; pp. 1089–1127. [Google Scholar]
- Facchin, A.; Forrer, D.; Zerbetto, M.; Cazzadori, F.; Vittadini, A.; Durante, C. Single-Site Catalysts for the Oxygen Reduction Reaction: Why Iron Is Better than Platinum. ACS Catal. 2024, 14, 14373–14386. [Google Scholar] [CrossRef]
- Li, W.; Wu, J.; Higgins, D.C.; Choi, J.Y.; Chen, Z. Determination of Iron Active Sites in Pyrolyzed Iron-Based Catalysts for the Oxygen Reduction Reaction. ACS Catal. 2012, 2, 2761–2768. [Google Scholar] [CrossRef]
- Loyola, C.Z.; Gatica, A.; Troncoso, N.; Orellana, W.; Tasca, F. On the Effects of Br−, ClO4−, NO3− anions on the Oxygen Reduction Reaction Electrocatalysis at Fe Phthalocyanine Modified Electrodes. Electrochim. Acta 2024, 473, 143416. [Google Scholar] [CrossRef]
- González-Lavín, J.; Arenillas, A.; Rey-Raap, N. Microwave-Assisted Synthesis of Iron-Based Aerogels with Tailored Textural and Morphological Properties. ACS Appl. Nano. Mater. 2023, 6, 18582–18591. [Google Scholar] [CrossRef]
- Parale, V.G.; Lee, K.-Y.; Park, H.-H. Flexible and Transparent Silica Aerogels: An Overview. J. Korean Ceram. Soc. 2017, 54, 184–199. [Google Scholar] [CrossRef]
- Koç, F.; Çok, S.S.; Gizli, N. Tuning the Properties of Silica Aerogels through PH Controlled Sol-Gel Processes. Res. Eng. Struct. Mater. 2020, 6, 257–269. [Google Scholar] [CrossRef]
- Yang, H.; Li, H.; Ye, F. A New Route for Controlling the Microstructure and Properties of Carbon Aerogels via Sol-Gel and Impregnation Methods. RSC Adv. 2022, 12, 9299–9303. [Google Scholar] [CrossRef]
- Rey-Raap, N.; Angel Menéndez, J.; Arenillas, A. Optimization of the Process Variables in the Microwave-Induced Synthesis of Carbon Xerogels. J. Sol-Gel Sci. Technol. 2014, 69, 488–497. [Google Scholar] [CrossRef]
- Li, T.; Huang, M.; Bai, X.; Wang, Y.X. Metal–Air Batteries: A Review on Current Status and Future Applications. Prog. Nat. Sci. Mater. Int. 2023, 33, 151–171. [Google Scholar] [CrossRef]
- Rey-Raap, N.; Angel Menéndez, J.; Arenillas, A. Simultaneous Adjustment of the Main Chemical Variables to Fine-Tune the Porosity of Carbon Xerogels. Carbon 2014, 78, 490–499. [Google Scholar] [CrossRef]
- Tamon, H.; Ishizaka, H.; Mikami, M.; Okazaki, M. Porous Structure of Organic and Carbon Aerogels Synthesized by Sol-Gel Polycondensation of Resorcinol with Formaldehyde. Carbon 1997, 35, 791–796. [Google Scholar] [CrossRef]
- González-Barriuso, M.; Sánchez-Suárez, M.; González-Lavín, J.; Arenillas, A.; Rey-Raap, N. Synthesis of Ni-Doped Graphene Aerogels for Electrochemical Applications. Gels 2024, 10, 180. [Google Scholar] [CrossRef] [PubMed]
- Jian, S.; Chen, Y.; Shi, F.; Liu, Y.; Jiang, W.; Hu, J.; Han, X.; Jiang, S.; Yang, W. Template-Free Synthesis of Magnetic La-Mn-Fe Tri-Metal Oxide Nanofibers for Efficient Fluoride Remediation: Kinetics, Isotherms, Thermodynamics and Reusability. Polymers 2022, 14, 5417. [Google Scholar] [CrossRef] [PubMed]
- Shchukin, D.G.; Caruso, R.A. Template Synthesis and Photocatalytic Properties of Porous Metal Oxide Spheres Formed by Nanoparticle Infiltration. Chem. Mater. 2004, 16, 2287–2292. [Google Scholar] [CrossRef]
- Chandrasekaran, S.; Forien, J.B.; Campbell, P.G.; Oakdale, J.S.; Mancini, J.A.; Worsley, M.A.; Biener, J. Carbon Aerogels with Integrated Engineered Macroporous Architectures for Improved Mass Transport. Carbon 2021, 179, 125–132. [Google Scholar] [CrossRef]
- Arenillas, A.; Menéndez, J.A.; Reichenauer, G.; Celzard, A.; Fierro, V.; Maldonado Hodar, F.J.; Bailόn-Garcia, E.; Job, N. Properties of Carbon Aerogels and Their Organic Precursors. In Organic and Carbon Gels. Advances in Sol-Gel Derived Materials and Technologies; Aegerter, M.A., Prassas, M., Eds.; Springer: Cham, Switzerland, 2019; pp. 87–121. [Google Scholar]
- Li, J.; Li, L.; Lin, W.; Chen, X.; Yang, W. Boosting ORR Activity in π-Rich Carbon-Supported Sub-3 Nm Pt-Based Intermetallic Electrocatalysts via D−π Interaction. ACS Sustain. Chem. Eng. 2024, 12, 5241–5250. [Google Scholar] [CrossRef]
- Burpo, F.J.; Mitropoulos, A.N.; Nagelli, E.A.; Palmer, J.L.; Morris, L.A.; Ryu, M.Y.; Kenneth Wickiser, J. Cellulose Nanofiber Biotemplated Palladium Composite Aerogels. Molecules 2018, 23, 1405. [Google Scholar] [CrossRef]
- Burpo, F.J.; Nagelli, E.A.; Morris, L.A.; Mcclure, J.P.; Ryu, M.Y.; Palmer, J.L. Direct Solution-Based Reduction Synthesis of Au, Pd, and Pt Aerogels. J. Mater. Res. 2017, 32, 4153–4165. [Google Scholar] [CrossRef]
- Salihovic, M.; Schlee, P.; Herou, S.; Titirici, M.-M.; Hüsing, N.; Elsaesser, M.S. Monolithic Carbon Spherogels as Freestanding Electrodes for Supercapacitors. ACS Appl. Energy Mater. 2021, 4, 11183–11193. [Google Scholar] [CrossRef]
- Lee, S.; Kim, S.; Shin, J.W.; Kim, W. Analyzing and Mitigating Parasitic Capacitances in Planar Transformers for High-Frequency Operation. J. Power Electron. 2024, 24, 946–954. [Google Scholar] [CrossRef]
- Neugebauer, T.C.; Perreault, D.J. Parasitic Capacitance Cancellation in Filter Inductors. In Proceedings of the 35th Annual IEEE Power Electronics Specialists Conference, Aachen, Germany, 20–25 June 2004. [Google Scholar]
- Diard, J.P.; Le Gorrec, B.; Montella, C. Handbook of Electrochemical Impedance Spectroscopy. Distributed and Mixed Impedances; ERASE-LEPMI: Grenoble, France, 2020. [Google Scholar]
- Lazanas, A.C.; Prodromidis, M.I. Electrochemical Impedance Spectroscopy—A Tutorial. ACS Meas. Sci. Au 2023, 3, 162–193. [Google Scholar] [CrossRef] [PubMed]
- Alonso-Buenaposada, I.D.; Rey-Raap, N.; Calvo, E.G.; Angel Menéndez, J.; Arenillas, A. Effect of Methanol Content in Commercial Formaldehyde Solutions on the Porosity of RF Carbon Xerogels. J. Non-Cryst. Solids 2015, 426, 13–18. [Google Scholar] [CrossRef]
- Alonso-Buenaposada, I.D.; Rey-Raap, N.; Calvo, E.G.; Menéndez, J.A.; Arenillas, A. Acid-Based Resorcinol-Formaldehyde Xerogels Synthesized by Microwave Heating. J. Solgel Sci. Technol. 2017, 84, 60–69. [Google Scholar] [CrossRef]
- Canal-Rodríguez, M.; Menéndez, J.A.; Arenillas, A. Performance of Carbon Xerogel-Graphene Hybrids as Electrodes in Aqueous Supercapacitors. Electrochim. Acta 2018, 276, 28–36. [Google Scholar] [CrossRef]
- Canal-Rodríguez, M.; Arenillas, A.; Rey-Raap, N.; Ramos-Fernández, G.; Martín-Gullón, I.; Menéndez, J.A. Graphene-Doped Carbon Xerogel Combining High Electrical Conductivity and Surface Area for Optimized Aqueous Supercapacitors. Carbon 2017, 118, 291–298. [Google Scholar] [CrossRef]
- Gómez-Gualdrón, D.A.; Moghadam, P.Z.; Hupp, J.T.; Farha, O.K.; Snurr, R.Q. Application of Consistency Criteria to Calculate BET Areas of Micro- and Mesoporous Metal-Organic Frameworks. J. Am. Chem. Soc. 2016, 138, 215–224. [Google Scholar] [CrossRef]
- Galarneau, A.; Villemot, F.; Rodriguez, J.; Fajula, F.; Coasne, B. Validity of the T-Plot Method to Assess Microporosity in Hierarchical Micro/Mesoporous Materials. Langmuir 2014, 30, 13266–13274. [Google Scholar] [CrossRef]








| Sample | C (wt.%) | O (wt.%) | Fe (wt.%) |
|---|---|---|---|
| FeA/CA | 35.0 | 30.5 | 34.5 |
| FeA/GA | 28.2 | 35.6 | 36.2 |
| FeACA | 16.7 | 28.1 | 55.2 |
| FeACVD | 19.6 | 23.6 | 56.8 |
Disclaimer/Publisher’s Note: The statements, opinions and data contained in all publications are solely those of the individual author(s) and contributor(s) and not of MDPI and/or the editor(s). MDPI and/or the editor(s) disclaim responsibility for any injury to people or property resulting from any ideas, methods, instructions or products referred to in the content. |
© 2025 by the authors. Licensee MDPI, Basel, Switzerland. This article is an open access article distributed under the terms and conditions of the Creative Commons Attribution (CC BY) license (https://creativecommons.org/licenses/by/4.0/).
Share and Cite
González-Lavín, J.; Arenillas, A.; Rey-Raap, N. Revealing the Importance of Iron Aerogel Features as Electrocatalysts for the Oxygen Reduction Reaction. Gels 2025, 11, 154. https://doi.org/10.3390/gels11030154
González-Lavín J, Arenillas A, Rey-Raap N. Revealing the Importance of Iron Aerogel Features as Electrocatalysts for the Oxygen Reduction Reaction. Gels. 2025; 11(3):154. https://doi.org/10.3390/gels11030154
Chicago/Turabian StyleGonzález-Lavín, Judith, Ana Arenillas, and Natalia Rey-Raap. 2025. "Revealing the Importance of Iron Aerogel Features as Electrocatalysts for the Oxygen Reduction Reaction" Gels 11, no. 3: 154. https://doi.org/10.3390/gels11030154
APA StyleGonzález-Lavín, J., Arenillas, A., & Rey-Raap, N. (2025). Revealing the Importance of Iron Aerogel Features as Electrocatalysts for the Oxygen Reduction Reaction. Gels, 11(3), 154. https://doi.org/10.3390/gels11030154

