Flocculation Mechanism and Microscopic Statics Analysis of Polyacrylamide Gel in Underwater Cement Slurry
Abstract
1. Introduction
2. Results and Discussion
2.1. Flocculation Microscopic Mechanism
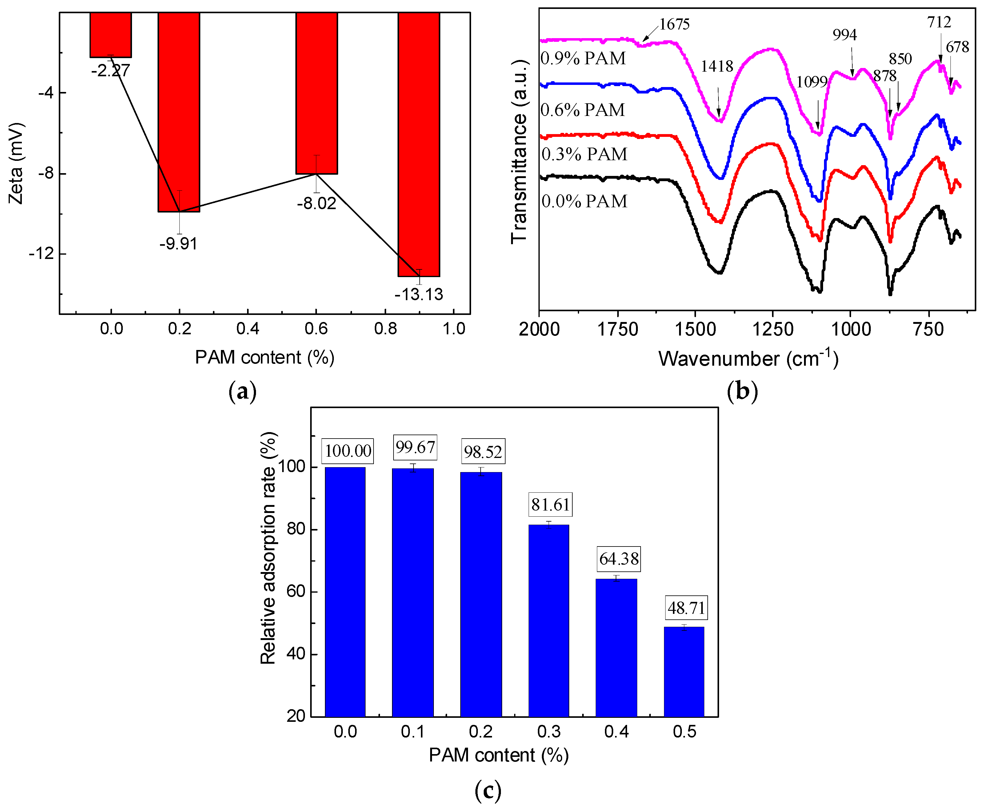
2.1.1. Zeta Potential Analysis
2.1.2. Fourier Transform Infrared Spectroscopy (FTIR)
2.1.3. Total Organic Carbon Test (TOC)
2.1.4. Critical Concentration Theory
2.2. PAM Mechanism Concept Model
2.2.1. Adsorption Mechanism
2.2.2. Lubrication Mechanism
2.2.3. Entanglement Mechanism
2.2.4. Model Verification
Workability Performance of PAM-CSA Slurry
PAM-CSA Slurry Flocculation Mechanism
2.3. PAM Paste Microscopic Statics Analysis
2.3.1. Interparticle Forces
2.3.2. Evolution Trend of Microscopic Cohesive Forces
3. Conclusions
- As PAM content increases, the zeta potential of the OPC slurry firstly rises (from −4.21 mV to −9.94 mV), then falls (to −8.06 mV), and finally rises again (to −11.57 mV). Different PAM concentrations exhibit varying effects in the solution;
- Fourier transform infrared spectroscopy confirmed interactions between metal cations and COO- groups as well as hydrogen bonding between -NH2 groups and water. These interactions drive the adsorption of PAM’s long chains onto cement particles;
- Total organic carbon tests showed that PAM adsorption on cement particles peaks at around 0.3%, reaching saturation. The critical concentration indicates that the polymer winding application point occurs at 0.67% PAM content;
- With increasing PAM concentration, the polymer long chains follow an “adsorption–lubrication–entanglement” model, which explains changes in rheological parameters. This finding also applies to CSA cement solutions;
- Microscopic static analysis revealed steric hindrance, depletion attraction, and net forces in the PAM–slurry system, demonstrating that the polymer’s gelling force effectively indicates its resistance to water erosion.
4. Materials and Methods
4.1. Materials and Protocol
4.2. Testing Methods
4.2.1. Zeta Potential Testing
4.2.2. Fourier Transform Infrared Spectroscopy
4.2.3. Total Organic Carbon Test
Author Contributions
Funding
Institutional Review Board Statement
Informed Consent Statement
Data Availability Statement
Acknowledgments
Conflicts of Interest
References
- Bessaies-Bey, H.; Baumann, R.; Schmitz, M.; Radler, M.; Roussel, N. Effect of polyacrylamide on rheology of fresh cement pastes. Cem. Concr. Res. 2015, 76, 98–106. [Google Scholar] [CrossRef]
- Mechtcherine, V.; Secrieru, E.; Schröfl, C. Effect of superabsorbent polymers (SAPs) on rheological properties of fresh cement-based mortars-Development of yield stress and plastic viscosity over time. Cem. Concr. Res. 2015, 67, 52–65. [Google Scholar] [CrossRef]
- Dang, J.; Zhao, J.; Du, Z. Effect of Superabsorbent Polymer on the Properties of Concrete. Polymers 2017, 9, 672. [Google Scholar] [CrossRef]
- Yang, J.; Wang, F.; Liu, Z.; Liu, Y.; Hu, S. Early-state water migration characteristics of superabsorbent polymers in cement pastes. Cem. Concr. Res. 2019, 118, 25–37. [Google Scholar] [CrossRef]
- Negro, C.; Blanco, A.; Fuente, E.; Sánchez, L.M.; Tijero, J. Influence of flocculant molecular weight and anionic charge on flocculation behaviour and on the manufacture of fibre cement composites by the Hatschek process. Cem. Concr. Res. 2005, 35, 2095–2103. [Google Scholar] [CrossRef]
- Negro, C.; Sánchez, L.M.; Fuente, H.; Blanco, A. Effects of flocculants and sizing agents on bending strength of fiber cement composites. Cem. Concr. Res. 2005, 35, 2104–2109. [Google Scholar] [CrossRef]
- Han, B.; Zhang, L.; Ou, J. Smart and Multifunctional Concrete Toward Sustainable Infrastructures; Chapter 22: Non-Dispersible Underwater Concrete; Springer: Berlin/Heidelberg, Germany, 2017; pp. 369–377. [Google Scholar]
- Lu, H.; Sun, X.; Ma, H. Anti-washout Concrete: An overview. Constr. Build. Mater. 2022, 344, 128151. [Google Scholar] [CrossRef]
- Lu, H.; Tian, Z.; Zhang, M.; Sun, X.; Ma, Y. Study on testing methods for water resistance of underwater cement paste. Mater. Struct. 2021, 54, 180. [Google Scholar] [CrossRef]
- Snoeck, D.; Goethals, W.; Hovind, J.; Trtik, P.; Van Mullem, T.; Van den Heede, P.; De Belie, N. Internal curing of cement pastes by means of superabsorbent polymers visualized by neutron tomography. Cem. Concr. Res. 2021, 147, 106528. [Google Scholar] [CrossRef]
- Snoeck, D.; Steuperaert, S.; Van Tittelboom, K.; Dubruel, P.; De Belie, N. Visualization of water penetration in cementitious materials with superabsorbent polymers by means of neutron radiography. Cem. Concr. Res. 2012, 42, 1113–1121. [Google Scholar] [CrossRef]
- Telin, A.; Safarov, F.; Yakubov, R. Thermal Degradation Study of Hydrogel Nanocomposites Based on Polyacrylamide and Nanosilica Used for Conformance Control and Water Shutoff. Gels 2024, 10, 846. [Google Scholar] [CrossRef] [PubMed]
- Poyraz, Y.; Baltaci, N.; Hassan, G.; Alayoubi, O. Composite Hydrogel of Polyacrylamide/Starch/Gelatin as a Novel Amoxicillin Delivery System. Gels 2024, 10, 625. [Google Scholar] [CrossRef] [PubMed]
- Wang, Q.; Zhou, C.; Zhang, H.; Zhang, X. Preparation of Low-Molecular-Weight Polyacrylamide as the Delayed Crosslinking Plugging Agent for Drilling Fluid. Gels 2024, 10, 112. [Google Scholar] [CrossRef] [PubMed]
- Li, H.; Ni, D.; Li, L.; Dong, B.; Chen, Q.; Gu, L. Insight into the role of polyacrylamide polymer powder on the cracking in plastic period of cement mortar. Constr. Build. Mater. 2020, 260, 119914. [Google Scholar] [CrossRef]
- Chen, J.; Gao, N.; Wu, J.; Shan, G.; Qiao, M.; Ran, Q.; Liu, J. Effects of the charge density of anionic copolymers on the properties of fresh cement pastes. Constr. Build. Mater. 2020, 263, 120207. [Google Scholar] [CrossRef]
- Hou, D.; Xu, J.; Zhang, Y.; Sun, G. Insights into the molecular structure and reinforcement mechanism of the hydrogel-cement nanocomposite: An experimental and molecular dynamics study. Compos. Part B Eng. 2019, 177, 107421. [Google Scholar] [CrossRef]
- Sanchez, F.; Zhang, L. Molecular dynamics modeling of the interface between surface functionalized graphitic structures and calcium-silicate-hydrate: Interaction energies, structure, and dynamics. J. Colloid Interface Sci. 2008, 323, 349–358. [Google Scholar] [CrossRef]
- Simeonov, M.; Apostolov, A.A.; Geogieva, M.; Tzankov, D. Poly(acrylic acid-co-acrylamide)/Polyacrylamide pIPNs/Magnetite Composite Hydrogels: Synthesis and Characterization. Gels 2023, 9, 365. [Google Scholar] [CrossRef]
- Long, Y.; Zhang, C.; Yin, D.; Huang, T. Rheological Properties of Weak Gel System Cross-Linked from Chromium Acetate and Polyacrylamide and Its Application in Enhanced Oil Recovery After Polymer Flooding for Heterogeneous Reservoir. Gels 2024, 10, 784. [Google Scholar] [CrossRef]
- Lu, H.; Li, C.; Jiang, G.; Fan, H.; Zuo, X.; Liu, H. Rheology Properties of Underwater Cement Paste with Nonionic Polyacrylamide. Iran. J. Sci. Technol. Trans. Civ. Eng. 2022, 47, 1995–2005. [Google Scholar] [CrossRef]
- Chen, Y.K.; Sun, Y.; Wang, K.Q.; Kuang, W.Y.; Yan, S.R.; Wang, Z.H.; Lee, H.S. Utilization of bio-waste eggshell powder as a potential filler material for cement Analyses of zeta potential, hydration and sustainability. Constr. Build. Mater. 2022, 325, 126220. [Google Scholar] [CrossRef]
- Bessaies-Bey, H.; Palacios, M.; Pustovgar, E.; Hanafi, M.; Baumann, R.; Flatt, R.J.; Roussel, N. Non-adsorbing polymers and yield stress of cement paste: Effect of depletion forces. Cem. Concr. Res. 2018, 111, 209–217. [Google Scholar] [CrossRef]
- Liu, Q.; Liu, W.; Li, Z.; Guo, S.; Sun, G. Ultra-lightweight cement composites with excellent flexural strength, thermal insulation and water resistance achieved by establishing interpenetrating network. Constr. Build. Mater. 2020, 250, 118923. [Google Scholar] [CrossRef]
- Liu, R.; Liang, S.; Tang, X.-Z.; Yan, D.; Li, X.; Yu, Z.-Z. Tough and highly stretchable graphene oxide/polyacrylamide nanocomposite hydrogels. J. Mater. Chem. 2012, 22, 14160. [Google Scholar] [CrossRef]
- Snoeck, D.; Schaubroeck, D.; Dubruel, P.; De Belie, N. Effect of high amounts of superabsorbent polymers and additional water on the workability, microstructure and strength of mortars with a water-to-cement ratio of 0.50. Constr. Build. Mater. 2014, 72, 148–157. [Google Scholar] [CrossRef]
- Bülichen, D.; Plank, J. Role of colloidal polymer associates for the effectiveness of hydroxyethyl cellulose as a fluid loss control additive in oil well cement. J. Appl. Polym. Sci. 2012, 126, E25–E34. [Google Scholar] [CrossRef]
- Arinaitwe, E.; Pawlik, M. A role of flocculant chain flexibility in flocculation of fine quartz. Part I. Intrinsic viscosities of polyacrylamide-based flocculants. Int. J. Miner. Process. 2013, 124, 50–57. [Google Scholar] [CrossRef]
- Brumaud, C.; Bessaies-Bey, H.; Mohler, C. Cellulose ethers and water retention. Cem. Concr. Res. 2013, 53, 176–184. [Google Scholar] [CrossRef]
- Ke, G.; Zhang, J.; Xie, S.; Pei, T. Rheological behavior of calcium sulfoaluminate cement paste with supplementary cementitious materials. Constr. Build. Mater. 2020, 243, 118234. [Google Scholar] [CrossRef]
- Guo, Y.; Zhang, T.; Wei, J.; Yu, Q.; Ouyang, S. Evaluating the distance between particles in fresh cement paste based on the yield stress and particle size. Constr. Build. Mater. 2017, 142, 109–116. [Google Scholar] [CrossRef]
- Flatt, R.J. Dispersion forces in cement suspensions. Cem. Concr. Res. 2004, 34, 399–408. [Google Scholar] [CrossRef]
- Roussel, N.; Lemaître, A.; Flatt, R.J.; Coussot, P. Steady state flow of cement suspensions: A micromechanical state of the art. Cem. Concr. Res. 2010, 40, 77–84. [Google Scholar] [CrossRef]
- Flatt, R.J.; Bowen, P. Electrostatic repulsion between particles in cement suspensions: Domain of validity of linearized Poisson–Boltzmann equation for nonideal electrolytes. Cem. Concr. Res. 2003, 33, 781–791. [Google Scholar] [CrossRef]
- GB 175-2020; General Portland Cement. National Standardization Administration of China: Beijing, China, 2020.
- GB20472-2006; Sulphoaluminate Cement. National Standardization Administration of China: Beijing, China, 2006.
- Cui, W.; Huang, J.; Song, H.; Xiao, M. Development of two new anti-washout grouting materials using multi-way ANOVA in conjunction with grey relational analysis. Constr. Build. Mater. 2017, 156, 184–198. [Google Scholar] [CrossRef]
- Su, Z.; Li, C.; Jiang, G.; Li, J.; Lu, H.; Guo, F.; Pan, D. Rheology and Thixotropy of Cement Pastes Containing Polyacrylamide. Geofluids 2022, 2022, 1–10. [Google Scholar] [CrossRef]
- Jose, A.; Nivitha, M.R.; Krishnan, J.M.; Robinson, R.G. Characterization of cement stabilized pond ash using FTIR spectroscopy. Constr. Build. Mater. 2020, 263, 120136. [Google Scholar] [CrossRef]
- ISO 13099-2:2012; Colloidal Systems—Methods for Zeta-Potential Determination. Available online: https://www.iso.org/standard/52832.html (accessed on 24 December 2024).


















| Compositions | CaO | SiO2 | Al2O3 | Fe2O3 | SO3 | MgO | K2O | Na2O | Others |
|---|---|---|---|---|---|---|---|---|---|
| OPC | 66.65 | 17.88 | 6.35 | 3.72 | 2.66 | 0.61 | 0.85 | 0.12 | 1.16 |
| CSA | 46.73 | 8.14 | 28.17 | 2.48 | 12.01 | 0.81 | 0.23 | 0.000 | 1.43 |
Disclaimer/Publisher’s Note: The statements, opinions and data contained in all publications are solely those of the individual author(s) and contributor(s) and not of MDPI and/or the editor(s). MDPI and/or the editor(s) disclaim responsibility for any injury to people or property resulting from any ideas, methods, instructions or products referred to in the content. |
© 2025 by the authors. Licensee MDPI, Basel, Switzerland. This article is an open access article distributed under the terms and conditions of the Creative Commons Attribution (CC BY) license (https://creativecommons.org/licenses/by/4.0/).
Share and Cite
Lu, H.; Dai, B.; Li, C.; Wei, H.; Wang, J. Flocculation Mechanism and Microscopic Statics Analysis of Polyacrylamide Gel in Underwater Cement Slurry. Gels 2025, 11, 99. https://doi.org/10.3390/gels11020099
Lu H, Dai B, Li C, Wei H, Wang J. Flocculation Mechanism and Microscopic Statics Analysis of Polyacrylamide Gel in Underwater Cement Slurry. Gels. 2025; 11(2):99. https://doi.org/10.3390/gels11020099
Chicago/Turabian StyleLu, Hao, Bo Dai, Chunhe Li, Hua Wei, and Jinhui Wang. 2025. "Flocculation Mechanism and Microscopic Statics Analysis of Polyacrylamide Gel in Underwater Cement Slurry" Gels 11, no. 2: 99. https://doi.org/10.3390/gels11020099
APA StyleLu, H., Dai, B., Li, C., Wei, H., & Wang, J. (2025). Flocculation Mechanism and Microscopic Statics Analysis of Polyacrylamide Gel in Underwater Cement Slurry. Gels, 11(2), 99. https://doi.org/10.3390/gels11020099

