Rheological Properties of Fish and Mammalian Gelatin Hydrogels as Bases for Potential Practical Formulations
Abstract
1. Introduction
2. Results and Discussion
2.1. Rheological Properties of Fish and Mammalian Gelatin Hydrogels
2.1.1. Sol–Gel Transition in the Gelatin–Water System at Constant Temperature
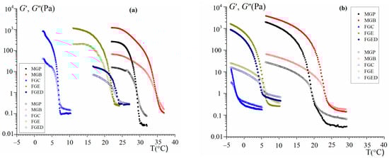
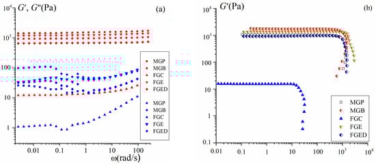
2.1.2. Viscoelastic Properties of Gelatin Hydrogels
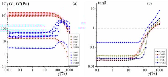
2.1.3. Flow Curves and Yield Stress of Gelatin Gels
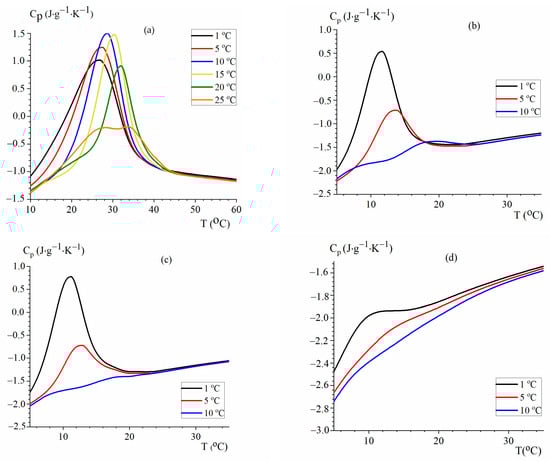
2.1.4. Gel–Sol Transition with the Increase in the Temperature: Thermal Stability of Gels
2.2. Amino Acid Analysis
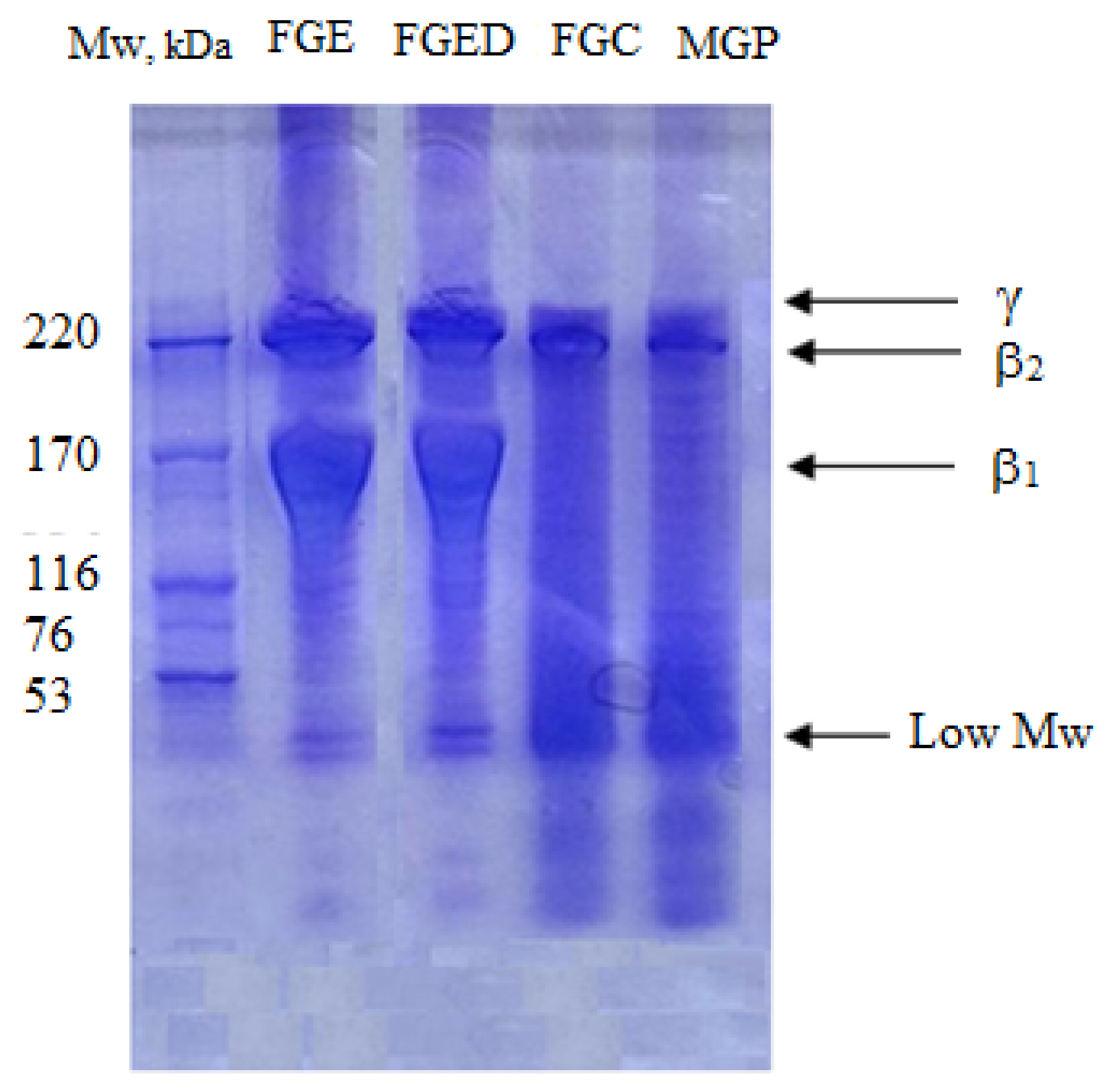
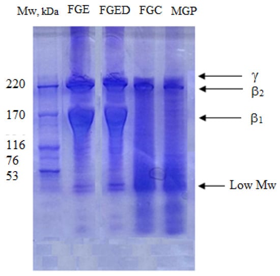
2.3. Molecular Weight Distribution
2.4. Secondary Structure Analysis
2.5. Microstructures of Gels
2.6. Comparative Analysis
3. Conclusions
4. Materials and Methods
4.1. Materials
- MGP—mammalian gelatin from porcine skin (Type A) G6144, Lot No BCBR5299V, Switzerland;
- MGB—mammalian gelatin from bovine skin (Type B) G9382, Lot No SLBM7200V, USA;
- FGC—fish gelatin (commercial) from cold-water fish skin G7041, Lot No SLCC7087, Canada.
- 4.
- FGE—fish gelatin extracted (at pH 5.0) from codfish skin [34];
- 5.
- FGED—fish gelatin extracted (at pH 5.0) from codfish skin and then dialyzed.
4.2. Preparation of Hydrogels
4.3. Determination of Chemical Composition
4.4. Rheological Methods
- Time dependence of the complex modulus (G*) at a constant frequency (f = 1 Hz; ω = 2π rad/s) and deformation amplitude (γ = 1%) and initial temperature of 30.0 °C;
- Periodic oscillations with a deformation amplitude (γ) in the range of 10−2–103% at the constant f = 1 Hz;
- Periodic oscillations with frequency (ω) in the range of 10−3–102 rad/s at γ = 1%;
- Shear rate () control mode in the range of 10−1–102 s−1;
- Temperature scanning in the heating and cooling modes with a ramp rate of 1 °C/min at the constant f = 1 Hz and γ = 1%.
4.5. GPC
4.6. SDS-PAGE
4.7. DSC
4.8. ATR-FTIR Spectroscopy
4.9. SEM
Supplementary Materials
Author Contributions
Funding
Institutional Review Board Statement
Informed Consent Statement
Data Availability Statement
Acknowledgments
Conflicts of Interest
References
- Lv, L.-C.; Huang, Q.-Y.; Ding, W.; Xiao, X.-H.; Zhang, H.-Y.; Xiong, L.-X. Fish gelatin: The novel potential applications. J. Funct. Food 2019, 63, 103581. [Google Scholar] [CrossRef]
- Nitsuwat, S.; Zhang, P.; Ng, K.; Fang, Z. Fish gelatin as an alternative to mammalian gelatin for food industry: A meta-analysis. LWT Food Sci. Technol. 2021, 141, 110899. [Google Scholar] [CrossRef]
- Tan, Y.; Zi, Y.; Peng, J.; Shi, C.; Zheng, Y.; Zhong, J. Gelatin as a bioactive nanodelivery system for functional food applications. Food Chem. 2023, 423, 136265. [Google Scholar] [CrossRef] [PubMed]
- Ahmad, M.I.; Li, Y.; Pan, J.; Liu, F.; Dai, H.; Fu, Y.; Huang, T.; Farooq, S.; Zhang, H. Collagen and gelatin: Structure, properties, and applications in food industry. Int. J. Biol. Macromol. 2024, 254, 128037. [Google Scholar] [CrossRef] [PubMed]
- Lim, Y.; Ok, Y.; Hwang, S.; Kwak, J.; Yoon, S. Marine Collagen as A Promising Biomaterial for Biomedical Applications. Mari. Drugs 2019, 17, 467. [Google Scholar] [CrossRef] [PubMed]
- Nikkhah, M.; Akbari, M.; Paul, A.; Memic, A.; Dolatshahi-Pirouz, A.; Khademhosseini, A. Gelatin-based biomaterials for tissue engineering and stem cell bioengineering. In Biomaterials from Nature for Advanced Devices and Therapies; Neves, N.M., Reis, R.L., Eds.; Wiley-Blackwell: Hoboken, NJ, USA, 2016; pp. 37–62. [Google Scholar] [CrossRef]
- Gomez-Guillen, M.C.; Gimenez, B.; Lopez-Caballero, M.E.; Montero, M.P. Functional and bioactive properties of collagen and gelatin from alternative sources: A review. Food Hydrocoll. 2011, 25, 1813–1827. [Google Scholar] [CrossRef]
- Gubaidullin, A.T.; Makarova, A.O.; Derkach, S.R.; Voron’ko, N.G.; Kadyirov, A.I.; Ziganshina, S.A.; Salnikov, V.V.; Zueva, O.S.; Zuev, Y.F. Modulation of Molecular Structure and Mechanical Properties of k-Carrageenan-Gelatin Hydrogel with Multi-Walled Carbon Nanotubes. Polymers 2022, 14, 2346. [Google Scholar] [CrossRef] [PubMed]
- Veis, A. The Macromolecular Chemistry of Gelatin; Academic Press: New York, NY, USA, 1964. [Google Scholar]
- Bateman, J.F.; Lamande, S.R.; Ramshaw, J.A.M. Collagen superfamily. In Extracellular Matrix. Molecular Components and Interactions; Comper, W.D., Ed.; Harwood Academic Publishers: London, UK, 1996; Volume 2, pp. 22–27. [Google Scholar]
- Te Nijenhuis, K. Thermoreversible network. Adv. Polym. Sci. 1997, 130, 1–235. [Google Scholar]
- Alipal, J.; Mohd Pu’ad, N.A.S.; Lee, T.C.; Nayan, N.H.M.; Sahari, N.; Basri, H.; Idris, M.I.; Abdullah, H.Z. A review of gelatin: Properties, sources, process, applications, and commercialization. Mater. Today Proc. 2021, 42, 240–250. [Google Scholar] [CrossRef]
- Rather, J.A.; Akhter, N.; Ashraf, Q.S.; Mir, S.A.; Makroo, H.A.; Majid, D.; Barba, F.J.; Khaneghah, A.H.; Dar, B.N. A comprehensive review on gelatin: Understanding impact of the sources, extraction methods, and modifications on potential packaging applications. Food Packag. Shelf. 2022, 34, 100945. [Google Scholar] [CrossRef]
- Schrieber, R.; Gareis, H. Gelatine Handbook: Theory and Industrial Practice; Wiley-VCH GmbH. & Co.: Weinheim, Germany, 2007. [Google Scholar]
- Ramli, S.S.; Nizar, N.N.A.; Heng, J.Y.Y.; Karde, V.; Abidin, S.A.S.Z.; Taib, M.N. Chapter 9—Gelatin Substitute. In Innovation of Food Products in Halal Supply Chain Worldwide; Nizar, N.N.A., Abidin, S.A.S.Z., Bujang, A., Eds.; Academic Press: London, UK, 2023; pp. 87–109. [Google Scholar] [CrossRef]
- Gelse, K.; Poschl, E.; Aigner, T. Collagens—Structure, function, and biosynthesis. Adv. Drug Deliv. Rev. 2003, 55, 1531–1546. [Google Scholar] [CrossRef]
- Netter, A.B.; Goudoulas, T.B.; Germann, N. Effects of Bloom number on phase transition of gelatin determined by means of rheological characterization. LWT Food Sci. Technol. 2020, 132, 109813. [Google Scholar] [CrossRef]
- Gornall, J.L.; Terentjev, E.M. Helix–coil transition of gelatin: Helical morphology and stability. Soft. Matter. 2008, 4, 544–549. [Google Scholar] [CrossRef]
- Puri, S.; Wadhavan, V. Kinetics of Phase Transitions; CRC Press: Boca Raton, FL, USA, 2009. [Google Scholar]
- Ross-Murphy, S.B. Structure and Rheology of Gelatin Gels. Imaging Sci. J. 1997, 45, 205–209. [Google Scholar] [CrossRef]
- Babin, H.; Dickinson, E. Influence of transglutaminase treatment on the thermoreversible gelation of gelatin. Food Hydrocoll. 2001, 15, 271–276. [Google Scholar] [CrossRef]
- Haug, I.J.; Draget, K.I. Gelatin. In Handbook of Hydrocolloids, 2nd ed.; Phillips, G.O., Williams, P.A., Eds.; CRC Press: Boca Raton, FL, USA, 2009; pp. 142–163. [Google Scholar]
- Avallone, P.R.; Pasquino, R.; Costanzo, S.; Sarrica, A.; Delmonte, M.; Greco, F.; Grizzuti, N. On the inverse quenching technique applied to gelatin solutions. J. Rheol. 2021, 65, 1081–1088. [Google Scholar] [CrossRef]
- Ahmad, T.; Ismail, A.; Ahmad, S.A.; Khalil, K.A.; Kumar, Y.; Adeyemi, K.D.; Sazili, A.Q. Recent advances on the role of process variables affecting gelatin yield and characteristics with special reference to enzymatic extraction: A review. Food Hydrocoll. 2017, 63, 85–96. [Google Scholar] [CrossRef]
- Mushtaq, F.; Raza, Z.A.; Batool, S.R.; Zahid, M.; Onder, O.C.; Rafique, A.; Nazeer, M.A. Preparation, properties, and applications of gelatin-based hydrogels (GHs) in the environmental, technological, and biomedical sectors. Int. J. Biol. Macromol. 2022, 218, 601–633. [Google Scholar] [CrossRef] [PubMed]
- Mohanto, S.; Narayana, S.; Merai, K.P.; Kumar, J.A.; Bhunia, A.; Hani, U.; Al Fatease, A.; Gowda, B.H.J.; Nag, S.; Ahmed, M.J.; et al. Advancements in gelatin-based hydrogel systems for biomedical applications: A state-of-the-art review. Int. J. Biol. Macromol. 2023, 253, 127143. [Google Scholar] [CrossRef]
- Ahmed, J. Chapter 20—Rheology of gelatin and advances in rheological measurements. In Food Rheology and Its Applications, 2nd ed.; Ahmed, J., Basu, S., Eds.; Woodhead Publishing: Sawston, Cambridge, UK, 2023; pp. 591–636. [Google Scholar] [CrossRef]
- Enrione, J.; Char, C.; Pepczynska, M.; Padilla, C.; Gonzalez-Munoz, A.; Olguin, Y.; Quinzio, C.; Iturriaga, L.; Díaz-Calderón, P. Rheological and Structural Study of Salmon Gelatin with Controlled Molecular Weight. Polymers 2020, 12, 1587. [Google Scholar] [CrossRef] [PubMed]
- Karim, A.A.; Bhat, R. Fish gelatin: Properties, challenges, and prospects as an alternative to mammalian gelatins. Food Hydrocoll. 2009, 23, 563–576. [Google Scholar] [CrossRef]
- Lin, L.; Regenstein, J.M.; Lv, S.; Lu, J.; Jiang, S. An overview of gelatin derived from aquatic animals: Properties and modification. Trends Food Sci. Technol. 2017, 68, 102–112. [Google Scholar] [CrossRef]
- Yang, H.; Wang, H.; Huang, M.; Cao, G.; Tao, F.; Shen, Q.; Zhou, G.; Yang, H. Repurposing fish waste into gelatin as a potential alternative for mammalian sources: A review. Compr. Rev. Food Sci. Food. Saf. 2022, 21, 942–963. [Google Scholar] [CrossRef]
- Blanco, M.; Vazquez, J.A.; Perez-Martín, R.I.; Sotelo, C.G. Hydrolysates of fish skin collagen: An opportunity for valorizing fish industry byproducts. Mar. Drugs 2017, 15, 131. [Google Scholar] [CrossRef]
- Bjørndal, T.; Foss, T.; Munro, G.R.; Schou, M. Brexit and consequences for quota sharing in the Barents Sea cod fishery. Mar. Policy 2021, 131, 104622. [Google Scholar] [CrossRef]
- Zuev, Y.F.; Derkach, S.R.; Bogdanova, L.R.; Voron’ko, N.G.; Kuchina, Y.A.; Gubaidullin, A.T.; Lunev, I.V.; Gnezdilov, O.I.; Sedov, I.A.; Larionov, R.A.; et al. Underused Marine Resources: Sudden Properties of Cod Skin Gelatin Gel. Gels 2023, 9, 990. [Google Scholar] [CrossRef]
- Izmailova, V.N.; Derkach, S.R.; Sakvarelidze, M.A.; Levachev, S.M.; Voron’ko, N.G.; Yampol’skaya, G.P. Gelation in gelatin and gelatin-containing multicomponent blends. Polym. Sci. Ser. C 2004, 46, 73–92. [Google Scholar]
- Haug, I.J.; Draget, K.I.; Smidsrød, O. Physical and rheological properties of fish gelatin compared to mammalian gelatin. Food Hydrocoll. 2004, 18, 203–213. [Google Scholar] [CrossRef]
- Kavanagh, G.M.; Ross-Murphy, S.B. Rheological characterization of polymer gels. Prog. Polym. Sci. 1998, 23, 533–562. [Google Scholar] [CrossRef]
- Malkin, A.Y.; Derkach, S.R.; Kulichikhin, V.G. Rheology of Gels and Yielding Liquids. Gels 2023, 9, 715. [Google Scholar] [CrossRef]
- Malkin, A.Y.; Isayev, A.I. Rheology. In Concepts, Methods, and Applications, 3rd ed.; ChemTec Publishing: Toronto, ON, Canada, 2017. [Google Scholar]
- Almdal, K.; Dyre, J.; Hvidt, S.; Kramer, O. Towards a phenomenological definition of the term ‘gel’. Polym. Gels Netw. 1993, 1, 5–17. [Google Scholar] [CrossRef]
- Dimitriou, C.J.; Ewolt, R.H.; McKinley, G.H. Describing and prescribing the constitutive response of yield stress fluids using large amplitude oscillatory shear stress (LAOStress). J. Rheol. 2013, 57, 27–70. [Google Scholar] [CrossRef]
- Kamkar, M.; Salehiyan, R.; Goudoulas, T.B.; Abbasi, M.; Saengow, C.; Erfanian, E.; Sadeghi, S.; Natale, G.; Rogers, S.A.; Giacomin, A.J.; et al. Large amplitude oscillatory shear flow: Microstructural assessment of polymeric systems. Prog. Polym. Sci. 2022, 132, 101580. [Google Scholar] [CrossRef]
- Clark, A.H.; Ross-Murphy, S.B. Biopolymer Network Assembly: Measurements and Theory. In Modern Biopolymer Science; Kasapis, S., Norton, I.T., Ubbink, J.B., Eds.; Academic Press: London, UK, 2009; pp. 1–27. [Google Scholar]
- Goudoulas, T.B.; Germann, N. Nonlinear rheological behavior of gelatin gels: In situ gels and individual layers. J. Colloid Interface Sci. 2019, 553, 746–757. [Google Scholar] [CrossRef] [PubMed]
- Derkach, S.R.; Ilyin, S.O.; Maklakova, A.A.; Kulichikhin, V.G.; Malkin, A.Y. The rheology of gelatin hydrogels modified by κ-carrageenan. LWT Food Sci. Technol. 2015, 63, 612–619. [Google Scholar] [CrossRef]
- Derkach, S.R.; Kolotova, D.S.; Kuchina, Y.A.; Shumskaya, N.V. Characterization of Fish Gelatin Obtained from Atlantic Cod Skin Using Enzymatic Treatment. Polymers 2022, 14, 751. [Google Scholar] [CrossRef] [PubMed]
- Huang, T.; Tu, Z.; Shangguan, X.; Wang, H.; Zhang, L.; Sha, X. Rheological and structural properties of fish scales gelatin: Effects of conventional and ultrasound-assisted extraction. Int. J. Food Prop. 2017, 20, 1210–1220. [Google Scholar] [CrossRef]
- Barnes, H.A. The yield stress—A review or ‘παντα ρει’—Everything flows? J. Non-Newton Fluid Mech. 1999, 81, 133–178. [Google Scholar] [CrossRef]
- Mezger, T.G. The Rheology Handbook: For Users of Rotational and Oscillatory Rheometers, 5th ed.; Vincentz Network: Hannover, Germany, 2020. [Google Scholar]
- Cai, L.; Nian, L.; Cao, A.; Wu, W.; Wang, J.; Wang, Y.; Li, J. Effects of xylitol and stevioside on the physical and rheological properties of gelatin from cod skin. Food Sci. Technol. Int. 2018, 24, 639–650. [Google Scholar] [CrossRef]
- Nian, L.; Cao, A.; Wang, J.; Tian, H.; Liu, Y.; Gong, L.; Cai, L.; Wang, Y. Viscoelastic and functional properties of cod-bone gelatin in the presence of xylitol and stevioside. Front. Chem. 2018, 6, 111. [Google Scholar] [CrossRef]
- Alves, A.A.; Fraguas, F.J.; Carvalho, A.C.; Valcarcel, J.; Perez-Martín, R.I.; Reis, R.L.; Vazquez, J.A.; Silva, T.H. Characterization of codfish gelatin: A comparative study of fresh and salted skins and different extraction methods. Food Hydrocoll. 2022, 124, 107238. [Google Scholar] [CrossRef]
- Nikoo, M.; Benjakul, S.; Ocen, D.; Yang, N.; Xu, B.; Zhang, L.; Xu, X. Physical and chemical properties of gelatin from the skin of cultured Amur sturgeon (Acipenser schrenckii). J. Appl. Ichthyol. 2013, 29, 943–950. [Google Scholar] [CrossRef]
- Díaz-Calderon, P.; Flores, E.; Gonzalez-Munoz, A.; Pepczynska, M.; Quero, F.; Enrione, J. Influence of extraction variables on the structure and physical properties of salmon gelatin. Food Hydrocoll. 2017, 71, 118–128. [Google Scholar] [CrossRef]
- Burjandze, T.V. New analysis of the phylogenetic change of collagen thermostability. Biopolymers. 2000, 53, 523–528. [Google Scholar] [CrossRef]
- Arnesen, J.A.; Gildberg, A. Extraction and characterisation of gelatine from Atlantic salmon (Salmo salar) skin. Bioresour. Technol. 2007, 98, 53–57. [Google Scholar] [CrossRef]
- Shyni, K.; Hema, G.S.; Ninan, G.; Mathew, S.; Joshy, C.G.; Lakshmanan, P.T. Isolation and characterization of gelatin from the skins of skipjack tuna (Katsuwonus pelamis), dog shark (Scoliodon sorrakowah), and rohu (Labeo rohita). Food Hydrocoll. 2014, 39, 68–76. [Google Scholar] [CrossRef]
- Silva, S.G.S.; Bandeira, S.F.; Pinto, L.A.A. Characteristics and chemical composition of skins gelatin from cobia (Rachycentron canadum). LWT Food Sci. Technol. 2014, 57, 580–585. [Google Scholar] [CrossRef]
- Chen, J.; Li, L.; Yi, R.; Xu, N.; Gao, R.; Hong, B. Extraction and characterization of acid-soluble collagen from scales and skin of tilapia (Oreochromis niloticus). LWT Food Sci. Technol. 2016, 66, 453–459. [Google Scholar] [CrossRef]
- Zhang, Y.; Dutilleul, P.; Li, C.; Simpson, B.K. Alcalase-assisted production of fish skin gelatin rich in high molecular weight (HMW) polypeptide chains and their characterization for film forming capacity. LWT Food Sci. Technol. 2019, 110, 117–125. [Google Scholar] [CrossRef]
- Yang, M.; Yang, L.; Xu, J.; Nie, Y.; Wu, W.; Zhang, T.; Wang, X.; Zhong, J. Comparison of silver carp fin gelatins extracted by three types of methods: Molecular characteristics, structure, function, and Pickering emulsion stabilization. Food Chem. 2022, 368, 130818. [Google Scholar] [CrossRef] [PubMed]
- Derkach, S.R.; Voron’ko, N.G.; Kuchina, Y.A.; Kolotova, D.S. Modified Fish Gelatin as an Alternative to Mammalian Gelatin in Modern Food Technologies. Polymers 2020, 12, 3051. [Google Scholar] [CrossRef]
- Derkach, S.R.; Kuchina, Y.A.; Baryshnikov, A.V.; Kolotova, D.S.; Voron’ko, N.G. Tailoring Cod Gelatin Structure and Physical Properties with Acid and Alkaline Extraction. Polymers 2019, 11, 1724. [Google Scholar] [CrossRef]
- Eysturskarð, J.; Haug, I.J.; Ulset, A.-S.; Draget, K.I. Mechanical properties of mammalian and fish gelatins based on their weight average molecular weight and molecular weight distribution. Food Hydrocoll. 2009, 23, 2315–2321. [Google Scholar] [CrossRef]
- Duan, R.; Zhang, J.; Liu, L.; Cui, W.; Regenstein, J.M. The functional properties and application of gelatin derived from the skin of channel catfish (Ictalurus punctatus). Food Chem. 2018, 239, 464–469. [Google Scholar] [CrossRef]
- Chen, T.; Song, Z.; Liu, H.; Zhou, C.; Hong, P.; Deng, C. Physicochemical properties of gelatin produced from Nile tilapia skin using chemical and fermentation pretreatments. Food Biosci. 2022, 47, 101650. [Google Scholar] [CrossRef]
- da Silva, C.G.; Rodrigues, A.S.; Lima, A.C.; Mello, R.d.O.; Morisso, F.D.P.; Dornelles, R.C.P.; Kubota, E.H. Gelatin extracted from jundia skin (Rhamdia quelen): An alternative to the discarded by-product. Food Res. Int. 2022, 161, 111829. [Google Scholar] [CrossRef] [PubMed]
- Kołodziejska, I.; Skierka, E.; Sadowska, M.; Kołodziejski, W.; Niecikowska, C. Effect of extracting time and temperature on yield of gelatin from different fish offal. Food Chem. 2008, 107, 700–706. [Google Scholar] [CrossRef]
- Ali, A.M.M.; Kishimura, H.; Benjakul, S. Physicochemical and molecular properties of gelatin from skin of golden carp (Probarbus jullieni) as influenced by acid pretreatment and prior-ultrasonication. Food Hydrocoll. 2018, 82, 164–172. [Google Scholar] [CrossRef]
- Ahmad, M.; Bushra, R.; Ritzoulis, C.; Meigui, H.; Yongcan, J.; Xiao, H. Molecular characterisation, gelation kinetics and rheological enhancement of ultrasonically extracted triggerfish skin gelatine. J. Mol. Struct. 2024, 1296, 136931. [Google Scholar] [CrossRef]
- Montero, M.P.; Tovar, C.A.; Aleman, A.; Gomez-Guillen, M.C. Characterisation of desolvation-produced high-molecular-weight gelatin fractions and their use for nanoparticles synthesis. J. Food Eng. 2024, 370, 111965. [Google Scholar] [CrossRef]
- Khiari, Z.; Rico, D.; Martin-Diana, A.B.; Barry-Ryan, C. Valorization of fish by-products: Rheological, textural and microstructural properties of mackerel skin gelatins. J. Mater. Cycles Waste Manag. 2017, 19, 180–191. [Google Scholar] [CrossRef]
- Rbi, K.; Sure, O.; Brambati, N.; Buchert, A.-M.; Violleau, F. Study of gelatin renaturation in aqueous solution by AFlFFF–MALS: Influence of a thermal pretreatment applied on gelatin. Food Hydrocoll. 2011, 25, 511–514. [Google Scholar] [CrossRef]
- Sousa, R.O.; Martins, E.; Carvalho, D.N.; Alves, A.L.; Oliveira, C.; Duarte, A.R.C.; Silva, T.H. Collagen from Atlantic cod (Gadus morhua) skins extracted using CO2 acidified water with potential application in healthcare. J. Polym. Res. 2020, 27, 73. [Google Scholar] [CrossRef]
- Eysturskarð, J.; Haug, I.J.; Elharfaoui, N.; Djabourov, M.; Draget, K.I. Structural and mechanical properties of fish gelatin as a function of extraction conditions. Food Hydrocoll. 2009, 23, 1702–1711. [Google Scholar] [CrossRef]
- Dong, A.; Huang, P.; Caughey, W.S. Protein secondary structures in water from second-derivative amid I infrared spectra. Biochemistry 1990, 29, 3303–3308. [Google Scholar] [CrossRef]
- Stuart, B.H. Infrared Spectroscopy: Fundamentals and Applications; John Wiley & Sons, Ltd.: Chichester, UK, 2004. [Google Scholar]
- Kong, J.; Yu, S. Fourier transform infrared spectroscopic analysis of protein secondary structures. Acta Biochim. Biophys. Sin. 2007, 39, 549–559. [Google Scholar] [CrossRef] [PubMed]
- Faizullin, D.A.; Konnova, T.A.; Haertle, T.; Zuev, Y.F. Secondary structure and colloidal stability of beta-casein in microheterogeneous water-ethanol solutions. Food Hydrocoll. 2017, 63, 349–355. [Google Scholar] [CrossRef]
- Nagarajan, M.; Benjakul, S.; Prodpran, T.; Songtipya, P.; Kishimura, H. Characteristics and functional properties of gelatin from splendid squid (Loligo formosana) skin as affected by extraction temperatures. Food Hydrocoll. 2012, 29, 389–397. [Google Scholar] [CrossRef]
- Ilinskaya, O.; Ulyanova, V.; Lisevich, I.; Dudkina, E.; Zakharchenko, N.; Kusova, A.; Faizullin, D.; Zuev, Y. The Native Monomer of Bacillus Pumilus Ribonuclease Does Not Exist Extracellularly. BioMed Res. Int. 2018, 2018, 4837623. [Google Scholar] [CrossRef]
- Muyonga, J.N.; Cole, C.G.B.; Dyodu, K.G. Fourier transform infrared (FTIR) spectroscopy study of acid soluble collagen and gelatin from skin and bones of young and adult Nile perch (Lates niloticus). Food Chem. 2004, 86, 325–332. [Google Scholar] [CrossRef]
- Prystupa, D.A.; Donald, A.M. Infrared study of gelatin conformations in the gel and sol states. Polym. Gels Netw. 1996, 4, 87–110. [Google Scholar] [CrossRef]
- Yakimets, I.; Wellner, N.; Smith, A.C.; Wilson, R.H.; Farhat, I.; Mitchell, J. Mechanical properties with respect to water content of gelatin films in glassy state. Polymer 2005, 46, 12577–12585. [Google Scholar] [CrossRef]
- Sila, A.; Martinez-Alvarez, O.; Krichen, F.; Gómez-Guillén, M.C.; Bougatef, A. Gelatin prepared from European eel (Anguilla anguilla) skin: Physicochemical, textural, viscoelastic and surface properties. Colloids Surf. A Physicochem. Eng. 2017, 529, 643–650. [Google Scholar] [CrossRef]
- Zhou, P.; Regenstein, J.M. Effects of Alkaline and Acid Pretreatments on Alaska Pollock Skin Gelatin Extraction. J. Food Sci. 2005, 70, 392–396. [Google Scholar] [CrossRef]
- Wangtueai, S.; Noomhorm, A.; Regenstein, J.M. Effect of Microbial Transglutaminase on Gel Properties and Film Characteristics of Gelatin from Lizardfish (Saurida spp.) Scales. J. Food Sci. 2010, 75, 731–739. [Google Scholar] [CrossRef] [PubMed]
- Tu, Z.; Huang, T.; Wang, H.; Sha, X.; Shi, Y.; Huang, X.; Man, Z. Physico-chemical properties of gelatin from bighead carp (Hypophthalmichthys nobilis) scales by ultrasound-assisted extraction. J. Food Sci. Technol. 2015, 52, 2166–2174. [Google Scholar] [CrossRef] [PubMed]
- Chandra, V.M.; Shamasundar, A.B. Rheological and physico-chemical properties of gelatin extracted from the skin of a few species of freshwater carp. Int. J. Food Sci. Technol. 2014, 49, 1758–1764. [Google Scholar] [CrossRef]
- Yang, Z.; Hemar, Y.; Hilliou, L.; Gilbert, E.P.; McGillivray, D.J.; Williams, M.A.; Chaieb, S. Nonlinear Behavior of Gelatin Networks Reveals a Hierarchical Structure. Biomacromolecules 2016, 17, 590–600. [Google Scholar] [CrossRef] [PubMed]
- Gilsenan, P.M.; Ross-Murphy, S.B. Rheological characterization of gelatin gels from mammalian and marine sources. Food Hydrocoll. 2000, 14, 191–195. [Google Scholar] [CrossRef]











| Gelatin Tissue | tmax (°C) | ∆H (J·g–1) | ||||
|---|---|---|---|---|---|---|
| 1 °C | 5 °C | 10 °C | 1 °C | 5 °C | 10 °C | |
| MGP | 27.0 | 27.5 | 28.3 | 22.2 | 25.1 | 25.6 |
| FGE | 11.4 | 13.8 | 18.4 | 12.3 | 4.6 | 1.6 |
| FGED | 11.2 | 12.4 | 18.3 | 12.7 | 3.0 | 0.5 |
| FGC | 10.8 | 13.5 | 17.4 | 1.0 | 0.2 | 0.1 |
| Amino Acids | Amino Acids | MGP | MGB | FGC | FGE |
|---|---|---|---|---|---|
| Glycine | Gly | 23.24 ± 1.16 | 22.87 ± 1.14 | 18.62 ± 0.93 | 18.48 ± 0.92 |
| Proline | Pro | 21.30 ± 1.06 | 19.96 ± 1.00 | 12.90 ± 0.64 | 12.25 ± 0.61 |
| Hydroxyproline | Hyp | 17.16 ± 0.86 | 18.58 ± 0.93 | 9.58 ± 0.48 | 7.46 ± 0.37 |
| Aspartic acid | Asp | 6.04 ± 0.30 | 5.17 ± 0.26 | 5.62 ± 0.28 | 5.57 ± 0.28 |
| Glutamic acid | Glu | 10.81 ± 0.54 | 10.09 ± 0.50 | 9.31 ± 0.47 | 9.13 ± 0.46 |
| Serine | Ser | 3.95 ± 0.20 | 3.93 ± 0.20 | 6.36 ± 0.32 | 6.57 ± 0.33 |
| Histidine | His | 1.46 ± 0.07 | 0.95 ± 0.05 | 1.66 ± 0.08 | 1.89 ± 0.09 |
| Threonine | Thr | 1.61 ± 0.08 | 1.59 ± 0.08 | 2.58 ± 0.13 | 2.67 ± 0.13 |
| Arginine | Arg | 7.87 ± 0.39 | 7.94 ± 0.40 | 7.65 ± 0.38 | 7.68 ± 0.38 |
| Alanine | Ala | 10.14 ± 0.51 | 10.62 ± 0.53 | 9.40 ± 0.47 | 9.35 ± 0.47 |
| Taurine | Tau | - | 0,67 ± 0.03 | 2.86 ± 0.14 | 3.67 ± 0.18 |
| Tyrosine | Tyr | 0.86 ± 0.04 | 0.93 ± 0.05 | 0.83 ± 0.04 | 1.00 ± 0.05 |
| Valine | Val | 2.65 ± 0.13 | 2.57 ± 0.13 | 2.12 ± 0.11 | 2.12 ± 0.11 |
| Methionine | Met | 0.80 ± 0.04 | 0.26 ± 0.01 | 1.57 ± 0.08 | 1.78 ± 0.09 |
| Isoleucine | Ile | 1.57 ± 0.08 | 1.75 ± 0.09 | 1.47 ± 0.07 | 1.56 ± 0.08 |
| Leucine | Leu | 3.43 ± 0.17 | 3.50 ± 0.17 | 2.76 ± 0.14 | 2.90 ± 0.14 |
| Lysine | Lys | 2.26 ± 0.11 | 1.84 ± 0.09 | 2.30 ± 0.12 | 3.56 ± 0.18 |
| Phenylalanine | Phe | 2.24 ± 0.11 | 2.25 ± 0.11 | 2.40 ± 0.12 | 2.34 ± 0.12 |
| Gelatin Tissue | Peak Number | Rt, min | Mn, kDa | Mw, kDa | PDI | Peak Area, % |
|---|---|---|---|---|---|---|
| MGP | 1 | 7.9 ± 0.0 | 136.28 ± 11.3 | 196.08 ± 10.6 | 1.439 ± 0.009 | 97.69 ± 2.15 |
| 2 | 11.9 ± 0.0 | 24.75 ± 0.9 | 24.78 ± 0.9 | 1.001 ± 0.000 | 1.25 ± 0.04 | |
| 3 | 12.4 ± 0.0 | 21.54 ± 0.8 | 21.60 ± 0.8 | 1.003 ± 0.000 | 1.06 ± 0.03 | |
| FGC | 1 | 7.7 ± 0.0 | 160.11 ± 15.2 | 227.55 ± 13.9 | 1.421 ± 0.008 | 100.0 ± 0.0 |
| FGE | 1 | 7.5 ± 0.0 | 201.80 ± 19.1 | 325.17 ± 13.9 | 1.611 ± 0.007 | 98.37 ± 1.52 |
| 2 | 12.5 ± 0.0 | 18.90 ± 0.9 | 19.51 ± 1.0 | 1.032 ± 0.001 | 1.63 ± 0.06 | |
| FGED | 1 | 7.5 ± 0.0 | 202.26 ± 18.0 | 306.71 ± 12.3 | 1.516 ± 0.006 | 99.26 ± 0.08 |
| 2 | 12.6 ± 0.0 | 20.10 ± 0.8 | 20.28 ± 0.8 | 1.009 ± 0.000 | 0.74 ± 0.02 |
| Gelatin Tissue | G′pl, Pa | γ*, % | σY, Pa | σY,C, Pa | σY,HB, Pa | Tm, °C | Tg, °C |
|---|---|---|---|---|---|---|---|
| MGB | 1430 ± 70 | 420 ± 20 | 518 ± 32 | 544 ± 33 | 631 ± 34 | 34.7 ± 0.9 | 23.3 ± 0.6 |
| MGP | 940 ± 50 | 420 ± 30 | 317 ± 21 | 209 ± 22 | 227 ± 25 | 29.1 ± 0.8 | 19.3 ± 0.5 |
| FGE | 1270 ± 60 | 310 ± 20 | 572 ± 35 | 554 ± 35 | 623 ± 30 | 22.1 ± 0.4 | 5.5 ± 0.4 |
| FGED | 670 ± 40 | 240 ± 10 | 309 ± 25 | 146 ± 15 | 218 ± 15 | 23.5 ± 0.5 | 4.5 ± 0.4 |
| FGC | 12.2 ± 1.0 | 180 ± 10 | 8.9 ± 0.8 | 3.5 ± 0.3 | 4.0 ± 0.4 | 6.9 ± 0.7 | −2.3 ± 0.3 |
| Characteristics | MGP | MGB | FGC | FGE | FGED |
|---|---|---|---|---|---|
| Moisture content, X, % | 12.0 ± 0.2 | 9.0 ± 0.2 | 12.6 ± 0.2 | 8.0 ± 0.2 | 7.8 ± 0.2 |
| Total nitrogen, NT, % | 16.0 ± 0.1 | 16.0 ± 0.1 | 15.9 ± 0.1 | 16.5 ± 0.1 | 16.6 ± 0.1 |
| Protein P, % | 88.0 ± 0.5 | 89.7 ± 0.5 | 87.4 ± 0.5 | 90.7 ± 0.5 | 91.3 ± 0.5 |
| Ash, % | 0.10 ± 0.05 | 1.20 ± 0.10 | - | 1.50 ± 0.10 | 1.10 ± 0.10 |
Disclaimer/Publisher’s Note: The statements, opinions and data contained in all publications are solely those of the individual author(s) and contributor(s) and not of MDPI and/or the editor(s). MDPI and/or the editor(s) disclaim responsibility for any injury to people or property resulting from any ideas, methods, instructions or products referred to in the content. |
© 2024 by the authors. Licensee MDPI, Basel, Switzerland. This article is an open access article distributed under the terms and conditions of the Creative Commons Attribution (CC BY) license (https://creativecommons.org/licenses/by/4.0/).
Share and Cite
Derkach, S.R.; Voron’ko, N.G.; Kuchina, Y.A.; Kolotova, D.S.; Grokhovsky, V.A.; Nikiforova, A.A.; Sedov, I.A.; Faizullin, D.A.; Zuev, Y.F. Rheological Properties of Fish and Mammalian Gelatin Hydrogels as Bases for Potential Practical Formulations. Gels 2024, 10, 486. https://doi.org/10.3390/gels10080486
Derkach SR, Voron’ko NG, Kuchina YA, Kolotova DS, Grokhovsky VA, Nikiforova AA, Sedov IA, Faizullin DA, Zuev YF. Rheological Properties of Fish and Mammalian Gelatin Hydrogels as Bases for Potential Practical Formulations. Gels. 2024; 10(8):486. https://doi.org/10.3390/gels10080486
Chicago/Turabian StyleDerkach, Svetlana R., Nikolay G. Voron’ko, Yulia A. Kuchina, Daria S. Kolotova, Vladimir A. Grokhovsky, Alena A. Nikiforova, Igor A. Sedov, Dzhigangir A. Faizullin, and Yuriy F. Zuev. 2024. "Rheological Properties of Fish and Mammalian Gelatin Hydrogels as Bases for Potential Practical Formulations" Gels 10, no. 8: 486. https://doi.org/10.3390/gels10080486
APA StyleDerkach, S. R., Voron’ko, N. G., Kuchina, Y. A., Kolotova, D. S., Grokhovsky, V. A., Nikiforova, A. A., Sedov, I. A., Faizullin, D. A., & Zuev, Y. F. (2024). Rheological Properties of Fish and Mammalian Gelatin Hydrogels as Bases for Potential Practical Formulations. Gels, 10(8), 486. https://doi.org/10.3390/gels10080486

