Microparticles Made with Silk Proteins for Melanoma Adjuvant Therapy
Abstract
1. Introduction
2. Results and Discussion
2.1. Preparation and Characterization of Microparticles
2.2. Evaluation of Loaded Efficiency
2.3. In Vitro Skin Permeation Studies
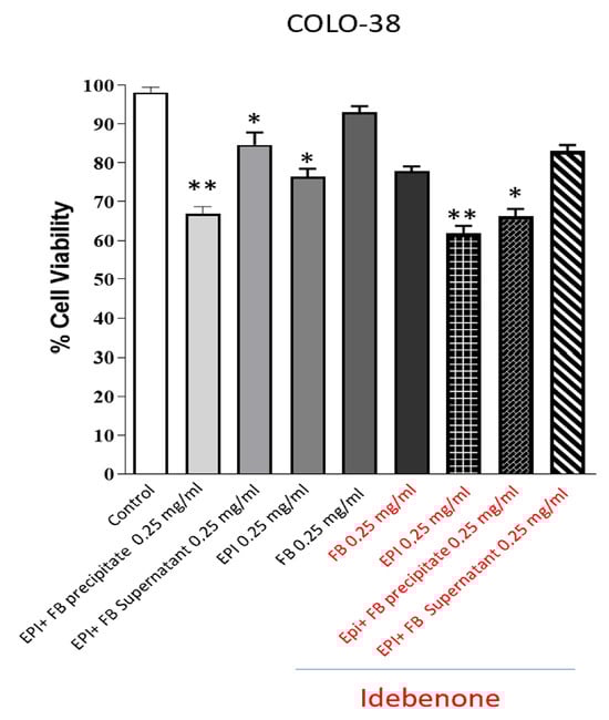
2.4. Efficacy Testing
2.5. Safety Testing
Evaluation of Cytotoxicity: Neutral Red Uptake (NRU)
3. Conclusions
4. Materials and Methods
4.1. Materials
4.2. Instrumentations
4.3. Preparation of Microparticles
4.4. Preparation Microparticles Loaded with Idebenone
4.5. Evaluation of Loading Efficiency
4.6. In Vitro Skin Permeation Studies
4.7. Characterization of Microparticles
4.8. Cell Lines and Culture Conditions
4.9. MTT Assay
4.10. Neutral Red Uptake Assay
4.11. h-CLAT (Human Cell Line Activation Test)
Author Contributions
Funding
Institutional Review Board Statement
Informed Consent Statement
Data Availability Statement
Acknowledgments
Conflicts of Interest
References
- Cassano, R.; Cuconato, M.; Calviello, G.; Serini, S.; Trombino, S. Recent Advances in Nanotechnology for the Treatment of Melanoma. Molecules 2021, 26, 785. [Google Scholar] [CrossRef] [PubMed]
- Guo, W.; Wang, H.; Li, C. Signal pathways of melanoma and targeted therapy. Signal Transduct. Target. Ther. 2021, 6, 424. [Google Scholar] [CrossRef] [PubMed]
- Kim, J.E.; Chung, B.Y.; Sim, C.Y.; Park, A.Y.; Lee, J.S.; Whang, K.U.; Park, Y.L.; Kim, H.O.; Park, C.W.; Lee, S.Y. Clinicopathologic features and prognostic factors of primary cutaneous melanoma: A multicenter study in Korea. J. Korean Med. Sci. 2019, 16, 34–44. [Google Scholar] [CrossRef] [PubMed]
- Saginala, K.; Barsouk, A.; Aluru, J.S.; Rawla, P.; Barsouk, A. Epidemiology of melanoma. Med. Sci. 2021, 9, 63. [Google Scholar] [CrossRef] [PubMed]
- Long, G.V.; Swetter, S.M.; Menzies, A.M.; Gershenwald, J.E.; Scolyer, R.A. Cutaneous melanoma. Lancet 2023, 402, 485–502. [Google Scholar] [CrossRef]
- Trombino, S.; Malivindi, R.; Barbarossa, G.; Sole, R.; Curcio, F.; Cassano, R. Solid Lipid Nanoparticles Hydroquinone-Based for the Treatment of Melanoma: Efficacy and Safety Studies. Pharmaceutics 2023, 29, 1375. [Google Scholar] [CrossRef] [PubMed]
- Arnold, M.; de Vries, E.; Whiteman, D.C.; Jemal, A.; Bray, F.; Parkin, D.M.; Soerjomataram, I. Global burden of cutaneous melanoma attributable to ultraviolet radiation in 2012. Int. J. Cancer 2018, 143, 1305–1314. [Google Scholar] [CrossRef] [PubMed]
- Maglio, D.H.G.; Paz, M.L.; Leoni, J. Sunlight Effects on Immune System: Is There Something Else in addition to UV-Induced Immunosuppression? BioMed Res. Int. 2016, 2016, 1934518. [Google Scholar]
- Moustafa, D.; Blundell, A.R.; Hawryluk, E.B. Congenital melanocytic nevi. Curr. Opin. Pediatr. 2020, 32, 491–497. [Google Scholar] [CrossRef]
- Smith, L.K.; Arabi, S.; Lelliott, E.J.; McArthur, G.A.; Sheppard, K.E. Obesity and the Impact on Cutaneous Melanoma: Friend or Foe? Cancers 2020, 12, 1583. [Google Scholar] [CrossRef]
- Domingues, B.; Lopes, J.M.; Soares, P.; Pópulo, H. Melanoma treatment in review. Immunotargets Ther. 2018, 7, 35–49. [Google Scholar] [CrossRef]
- Pollini, M.; Paladini, F. The Emerging Role of Silk Fibroin for the Development of Novel Drug Delivery Systems. Biomimetics 2024, 9, 295. [Google Scholar] [CrossRef]
- Kim, H.; Kim, Y.H. Molecular Frontiers in Melanoma: Pathogenesis, Diagnosis, and Therapeutic Advances. Int. J. Mol. Sci. 2024, 25, 2984. [Google Scholar] [CrossRef]
- Xie, Y.; Ye, J.; Ouyang, Y.; Gong, J.; Li, C.; Deng, Y.; Mai, Y.; Liu, Y.; Deng, W. Microneedle-Assisted Topical Delivery of Idebenone-Loaded Bioadhesive Nanoparticles Protect against UV-Induced Skin Damage. Biomedicines 2023, 11, 1649. [Google Scholar] [CrossRef]
- Long, S.; Xiao, Y.; Zhang, X. Progress in preparation of silk fibroin microspheres for biomedical applications. Pharm. Nanotechnol. 2020, 8, 358–371. [Google Scholar] [CrossRef]
- Yadav, R.H.; Kenchegowda, M.; Angolkar, M.; Meghana, T.S.; Osmani, R.A.M.; Palaksha, S.; Gangadharappa, H.V. A review of silk fibroin-based drug delivery systems and their applications. Eur. Polym. J. 2024, 216, 113286. [Google Scholar] [CrossRef]
- Parashar, P.; Pathak, K. Silk protein-based nanoparticles for therapeutic applications, In Polymeric Nanosystems Theranostic Nanosystems, Volume 1, 2nd ed.; Hasnain, M.S., Nayak, A.K., Aminabhavi, T.M., Eds.; Academic Press: Cambridge, MA, USA, 2023; Volume 20, pp. 551–578. [Google Scholar]
- Sacchelli, L.; Barisani, A.; Sgubbi, P.; Loi, C.; D’antuono, A.; Gaspari, V.; Bardazzi, F.; Patrizi, A. Epifibroin 0039 dressing and powder as a therapeutic aid for erosive and ulcerated dermatoses of the skin and mucosa: An investigative study. Eur. J. Dermatol. 2018, 28, 844–845. [Google Scholar] [CrossRef]
- Kopera, D. Epifibroin 0039 powder 0039 for the treatment of seborrhoeic dermatitis. Int. J. Clin. Exp. Dermatol. 2020, 5, 1–3. [Google Scholar]
- Montenegro, L.; Turnaturi, R.; Parenti, C.; Pasquinucci, L. Idebenone: Novel Strategies to Improve Its Systemic and Local Efficacy. Nanomaterials 2018, 8, 87. [Google Scholar] [CrossRef]
- Qi, Z.; Yan, Z.; Tan, G.; Jia, T.; Geng, Y.; Shao, H.; Kundu, S.C.; Lu, S. Silk Fibroin Microneedles for Transdermal Drug Delivery: Where Do We Stand and How Far Can We Proceed? Pharmaceutics 2023, 15, 355. [Google Scholar] [CrossRef]
- Cassano, R.; Curcio, F.; Sole, R.; Trombino, S. Transdermal Delivery of Phloretin by Gallic Acid Microparticles. Gels 2023, 9, 226. [Google Scholar] [CrossRef]
- Zielińska, A.; Carreiró, F.; Oliveira, A.M.; Neves, A.; Pires, B.; Venkatesh, D.N.; Durazzo, A.; Lucarini, M.; Eder, P.; Silva, A.M.; et al. Polymeric Nanoparticles: Production, Characterization, Toxicology and Ecotoxicology. Molecules 2020, 25, 3731. [Google Scholar] [CrossRef]
- Liu, Y.; Ma, W.; Zhou, P.; Wen, Q.; Wen, Q.; Lu, Y.; Zhao, L.; Shi, H.; Dai, J.; Li, J.; et al. In situ administration of temperature-sensitive hydrogel composite loading paclitaxel microspheres and cisplatin for the treatment of melanoma. Biomed. Pharmacother. 2023, 160, 114380. [Google Scholar] [CrossRef]
- Bari, E.; Ferrera, F.; Altosole, T.; Perteghella, S.; Mauri, P.; Rossi, R.; Passignani, G.; Mastracci, L.; Galati, M.; Astone, G.I.; et al. Trojan-horse silk fibroin nanocarriers loaded with a re-call antigen to redirect immunity against cancer. J. ImmunoTher. Cancer 2023, 11, e005916. [Google Scholar] [CrossRef]
- Tang, X.; Chen, X.; Zhang, S.; Gu, X.; Wu, R.; Huang, T.; Zhou, Z.; Sun, C.; Ling, J.; Liu, M.; et al. Silk-Inspired In Situ Hydrogel with Anti-Tumor Immunity Enhanced Photodynamic Therapy for Melanoma and Infected Wound Healing. Adv. Funct. Mater. 2021, 31, 2101320. [Google Scholar] [CrossRef]
- Wang, Y.; Duan, T.; Hong, M.; Zhou, Y.; Huang, H.; Xiao, X.; Zheng, J.; Zhou, H.; Lu, Z. Quantitative proteomic analysis uncovers inhibition of melanin synthesis by silk fibroin via MITF/tyrosinase axis in B16 melanoma cells. Life Sci. 2021, 284, 119930. [Google Scholar] [CrossRef]
- ISO 10993-5:2009; Biological Evaluation of Medical Devices. International Organization for Standardization: Geneva, Switzerland, 2009.
- Guhagarkar, S.A.; Malshe, V.C.; Devarajan, P.V. Nanoparticles of polyethylene sebacate: A new biodegradable polymer. AAPS PharmSciTech 2009, 10, 695–703. [Google Scholar] [CrossRef]
- Das, S.; Suresh, P.K.; Desmukh, R. Design of Eudragit RL 100 nanoparticles by nanoprecipitation method for ocular drug delivery. Nanomed. Nanotechnol. Biol. Med. 2010, 6, 318–323. [Google Scholar] [CrossRef]
- Hernández-Giottonini, K.Y.; Rodríguez-Córdova, R.J.; Gutiérrez-Valenzuela, C.A.; Peñuñuri-Miranda, O.; Zavala-Rivera, P.; Guerrero-Germán, P.; Lucero-Acuña, A. PLGA nanoparticle preparations by emulsification and nanoprecipitation techniques: Effects of formulation parameters. RSC Adv. 2020, 7, 4218–4231. [Google Scholar] [CrossRef]
- Cassano, R.; Curcio, F.; Procopio, D.; Fiorillo, M.; Trombino, S. Multifunctional Microspheres Based on D-Mannose and Resveratrol for Ciprofloxacin Release. Materials 2022, 15, 7293. [Google Scholar] [CrossRef]







| Formulation | Size (nm) | Polydispersion Index (PI) |
|---|---|---|
| FB | 2523 ± 241 | 0.260 ± 0.024 |
| EPI | 2034 ± 173 | 0.173 ± 0.013 |
| FB+EPI supernatant | 2503 ± 201 | 0.258 ± 0.027 |
| FB+EPI precipitate | 3032 ± 352 | 0.304 ± 0.031 |
| Level | Reactivity | Conditions of All Cultures |
|---|---|---|
| 0 | None | No detectable area around or under the sample |
| 1 | Slight | Some malformed or degenerated cells under the sample |
| 2 | Bland | Area limited to the area under the sample |
| 3 | Moderate | Area under the sample extends up to 1.0 cm |
| 4 | Severe | Area extending beyond 1.0 cm outside the sample |
| Samples | Biological Reactivity |
|---|---|
| Control | 0 |
| EPI + FB Precipitate | 1 |
| EPI + FB Supernatant | 1 |
| EPI | 1 |
| FB | 0 |
| EPI + FB + IDB Precipitate | 0 |
| EPI + FB + IDB Supernatant | 0 |
| EPI + IDB | 0 |
| FB + IDB | 0 |
| Control + (SDS 10%) | 4 |
| Samples | CD54 * | CD86 * |
|---|---|---|
| EPI + FB Precipitate | 48.49 | 61.69 |
| EPI + FB Supernatant | 49.15 | 58.65 |
| EPI | 41.49 | 53.12 |
| FB | 49.48 | 51.52 |
| EPI + FB + IDB Precipitate | 51.01 | 69.68 |
| EPI + IDB Supernatant | 49.58 | 59.15 |
| EPI + IDB Precipitate | 48.45 | 58.48 |
| FB + IDB | 55.61 | 69.59 |
| Control | 32 | 51 |
| Control + (NISO4) | 179 | 218 |
| FB (g) | EPI (g) | PVA (g) | Acetic Acid (mL) | Ethyl acetate (mL) | Distilled H2O (mL) |
|---|---|---|---|---|---|
| 0.01 | - | 0.2 | 10 | - | 10 |
| - | 0.05 | 0.2 | 10 | - | 10 |
| 0.2 | 0.02 | 0.2 | - | 10 | 10 |
Disclaimer/Publisher’s Note: The statements, opinions and data contained in all publications are solely those of the individual author(s) and contributor(s) and not of MDPI and/or the editor(s). MDPI and/or the editor(s) disclaim responsibility for any injury to people or property resulting from any ideas, methods, instructions or products referred to in the content. |
© 2024 by the authors. Licensee MDPI, Basel, Switzerland. This article is an open access article distributed under the terms and conditions of the Creative Commons Attribution (CC BY) license (https://creativecommons.org/licenses/by/4.0/).
Share and Cite
Trombino, S.; Sole, R.; Curcio, F.; Malivindi, R.; Caracciolo, D.; Mellace, S.; Montagner, D.; Cassano, R. Microparticles Made with Silk Proteins for Melanoma Adjuvant Therapy. Gels 2024, 10, 485. https://doi.org/10.3390/gels10080485
Trombino S, Sole R, Curcio F, Malivindi R, Caracciolo D, Mellace S, Montagner D, Cassano R. Microparticles Made with Silk Proteins for Melanoma Adjuvant Therapy. Gels. 2024; 10(8):485. https://doi.org/10.3390/gels10080485
Chicago/Turabian StyleTrombino, Sonia, Roberta Sole, Federica Curcio, Rocco Malivindi, Daniele Caracciolo, Silvia Mellace, Dino Montagner, and Roberta Cassano. 2024. "Microparticles Made with Silk Proteins for Melanoma Adjuvant Therapy" Gels 10, no. 8: 485. https://doi.org/10.3390/gels10080485
APA StyleTrombino, S., Sole, R., Curcio, F., Malivindi, R., Caracciolo, D., Mellace, S., Montagner, D., & Cassano, R. (2024). Microparticles Made with Silk Proteins for Melanoma Adjuvant Therapy. Gels, 10(8), 485. https://doi.org/10.3390/gels10080485

