Development and Characterization of New Plant-Based Ice Cream Assortments Using Oleogels as Fat Source
Abstract
1. Introduction
2. Results and Discussion
2.1. Oleogel Characterization
2.2. Physiochemical Analysis of Plant-Based Ice Cream Mix with Oleogels
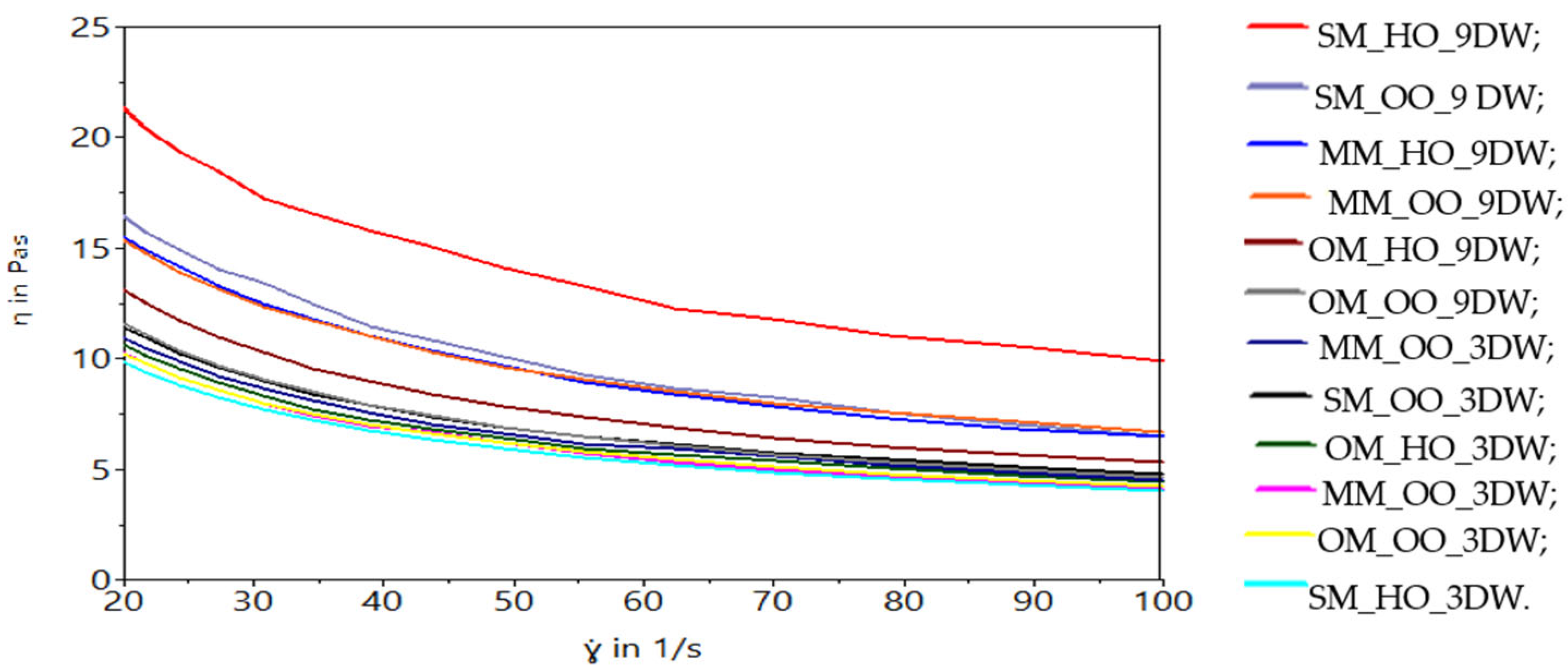
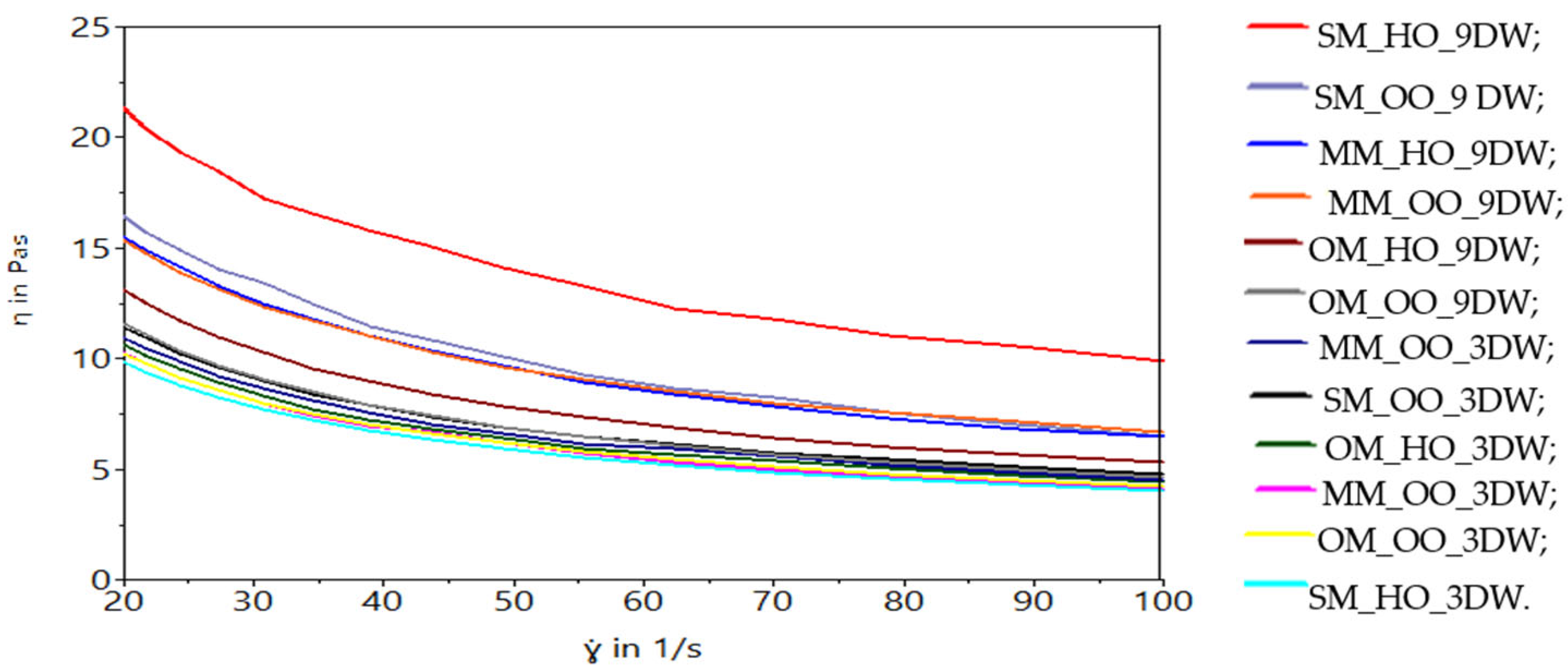
2.3. Rheological Characterization of Plant-Based Ice Cream Mixes
2.4. Sensory Evaluation of Plant-Based Ice Cream with Oleogels
2.5. Texture Analysis of Plant-Based Ice Cream with Oleogels
2.6. Principal Component Analysis
3. Conclusions
4. Materials and Methods
4.1. Materials
4.2. Oleogel Preparation
4.3. Preparation of Mixes for Plant-Based Ice Cream with Oleogels
4.4. Preparation of Plant-Based Ice Cream with Oleogels
4.5. Oil-Binding Capacity (OBC)
4.6. Determination of the Peroxide Index (PV) of Oleogels
4.7. Color Measurement of Oleogels
4.8. Physiochemical Analysis of Plant-Based Ice Cream Mix with Oleogels
4.9. Rheological Characterization of Plant-Based Ice Cream Mix with Oleogels
4.10. Sensory Analysis of Plant-Based Ice Cream with Oleogels
4.11. Texture Analysis of Plant-Based Ice Cream with Oleogels
4.12. Statistical Analysis
Author Contributions
Funding
Institutional Review Board Statement
Informed Consent Statement
Data Availability Statement
Acknowledgments
Conflicts of Interest
References
- Akalın, H.; Kınık, Ö.; Şatır, G. Manufacturing plant-based non-dairy and probiotic frozen desserts and their impact on physicochemical, sensory and functional aspects. J. Food Sci. Technol. 2024, 1–10. [Google Scholar] [CrossRef]
- Taspinar, T.; Yazici, G.N.; Güven, M. Evaluating the Potential of Using Plant-Based Milk Substitutes in Ice Cream Production. Biol. Life Sci. Forum 2023, 26, 21. [Google Scholar]
- Pingali, P.; Boiteau, J.; Choudhry, A.; Hall, A. Making meat and milk from plants: A review of plant-based food for human and planetary health. World Dev. 2023, 170, 106316. [Google Scholar] [CrossRef]
- Alcorta, A.; Porta, A.; Tárrega, A.; Alvarez, M.D.; Vaquero, M.P. Foods for Plant-Based Diets: Challenges and Innovations. Foods 2021, 10, 293. [Google Scholar] [CrossRef] [PubMed]
- Tachie, C.; Nwachukwu, I.D.; Aryee, A.N. Trends and innovations in the formulation of plant-based foods. Food Prod. Process. Nutr. 2023, 5, 16. [Google Scholar] [CrossRef]
- Europe Non-Dairy Milk—Market Share Analysis, Industry Trends & Statistics, Growth Forecasts (2024–2029). Available online: https://www.giiresearch.com/report/moi1431595-europe-non-dairy-milk-market-share-analysis.html (accessed on 20 March 2024).
- Dairy: European Market, Consumer Trends, and Innovation. Available online: https://www.ahfesproject.com/app/uploads/2022/04/AHFES-A6.2_Dairy-report.pdf (accessed on 19 April 2024).
- Sethi, S.; Tyagi, S.K.; Anurag, R.K. Plant-based milk alternatives an emerging segment of functional beverages: A review. J. Food Sci. Technol. 2016, 53, 3408–3423. [Google Scholar] [CrossRef] [PubMed]
- Yu, Y.; Li, X.; Zhang, J.; Li, X.; Wang, J.; Sun, B. Oat milk analogue versus traditional milk: Comprehensive evaluation of scientific evidence for processing techniques and health effects. Food Chem. X 2023, 19, 100859. [Google Scholar] [CrossRef] [PubMed]
- Cichońska, P.; Ziarno, M. Production and Consumer Acceptance of Millet Beverages. In Milk Substitutes-Selected Aspects; IntechOpen: Rijeka, Croatia, 2020. [Google Scholar]
- Spelt Milk Market Outlook (2022–2032). Available online: https://www.futuremarketinsights.com/reports/spelt-milk-market (accessed on 19 April 2024).
- Rencoret, J.; Marques, G.; Rosado, M.J.; Benito, J.; Barro, F.; Gutiérrez, A.; Del Río, J.C. Variations in the composition and structure of the lignins of oat (Avena sativa L.) straws according to variety and planting season. Int. J. Biol. Macromol. 2023, 242, 124811. [Google Scholar] [CrossRef]
- Paudel, D.; Dhungana, B.; Caffe, M.; Krishnan, P. A review of health-beneficial properties of oats. Foods 2021, 10, 2591. [Google Scholar] [CrossRef]
- Demir, H.; Simsek, M.; Yıldırım, G. Effect of oat milk pasteurization type on the characteristics of yogurt. LWT 2021, 135, 110271. [Google Scholar] [CrossRef]
- Kheya, S.A.; Talukder, S.K.; Datta, P.; Yeasmin, S.; Rashid, M.H.; Hasan, A.K.; Anwar, M.P.; Islam, A.A.; Islam, A.M. Millets: The future crops for the tropics-Status, challenges and future prospects. Heliyon 2023, 9, e22123. [Google Scholar] [CrossRef]
- Abah, C.R.; Ishiwu, C.N.; Obiegbuna, J.E.; Oladejo, A.A. Nutritional composition, functional properties and food applications of millet grains. Asian Food Sci. J. 2020, 14, 9–19. [Google Scholar] [CrossRef]
- Yousaf, L.; Hou, D.; Liaqat, H.; Shen, Q. Millet: A review of its nutritional and functional changes during processing. Food Res. Int. 2021, 142, 110197. [Google Scholar] [CrossRef] [PubMed]
- Fadly, D.; Sutarno, W.U.; Muttalib, Y.S.; Muhajir, M.; Mujahidah, F.F. Plant-based milk Developed from Soy (Glycine max) Milk and Foxtail Millet (Setaria italica). IOP Conf. Ser. Earth Environ. Sci. 2021, 807, 022063. [Google Scholar] [CrossRef]
- Alvarez, J.B. Spanish spelt wheat: From an endangered genetic resource to a trendy crop. Plants 2021, 10, 2748. [Google Scholar] [CrossRef] [PubMed]
- Wang, J.; Baranski, M.; Korkut, R.; Kalee, H.A.; Wood, L.; Bilsborrow, P.; Janovska, D.; Leifert, A.; Winter, S.; Willson, A.; et al. Performance of modern and traditional spelt wheat (Triticum spelta) varieties in rain-fed and irrigated, organic and conventional production systems in a semi-arid environment; results from exploratory field experiments in Crete, Greece. Agronomy 2021, 11, 890. [Google Scholar] [CrossRef]
- Sobczyk, A.; Pycia, K.; Stankowski, S.; Jaworska, G.; Kuźniar, P. Evaluation of the rheological properties of dough and quality of bread made with the flour obtained from old cultivars and modern breeding lines of spelt (Triticum aestivum ssp. spelta). J. Cereal Sci. 2017, 77, 35–41. [Google Scholar] [CrossRef]
- Belcar, J.; Sobczyk, A.; Sobolewska, M.; Stankowski, S.; Gorzelany, J. Characteristics of technological properties of grain and flour from ancient varieties of wheat (einkorn, emmer and spelt). Acta Univ. Cibiniensis Ser. E Food Technol. 2020, 24, 269–278. [Google Scholar] [CrossRef]
- Rakszegi, M.; Tóth, V.; Mikó, P. The place of spelt wheat among plant protein sources. J. Cereal Sci. 2023, 114, 103813. [Google Scholar] [CrossRef]
- Brusati, M.; Baroni, L.; Rizzo, G.; Giampieri, F.; Battino, M. Plant-Based Milk Alternatives in Child Nutrition. Foods 2023, 12, 1544. [Google Scholar] [CrossRef]
- Cui, L.; Jia, Q.; Zhao, J.; Hou, D.; Zhou, S. A comprehensive review on oat milk: From oat nutrients and phytochemicals to its processing technologies, product features, and potential applications. Food Funct. 2023, 14, 5858–5869. [Google Scholar] [CrossRef] [PubMed]
- Dekka, S.; Paul, A.; Vidyalakshmi, R.; Mahendran, R. Potential processing technologies for utilization of millets: An updated comprehensive review. J. Food Process Eng. 2023, 46, e14279. [Google Scholar] [CrossRef]
- Amirtha, G.; Vijaya Vahini, R.; Sarah Priscilla, S. Formulation and proximate evaluation of barnyard millet based ice cream. Int. J. Multidiscip. Res. Arts Sci. Com. 2021, 1, 59–66. [Google Scholar]
- Sakthivel, R.; Deva, S.; Indumathi, M.; Rajesh, S.; Dharani, P. Formulation of Millet Based Ice Cream Utilizing Echinochloa Esculenta. J. Technol. Educ. 2023, 319, 319. [Google Scholar]
- Barbosa, J.; Franco, I.; Inácio, J.; Freitas, A.C.; Gomes, A. Proximate composition, in vitro protein digestibility and fatty acid profiles of commercial cereal-based dairy analogs. In Proceedings of the 20th ICC Conference: Future Challenges for Cereal Science and Technology, Vienna, Austria, 5–7 July 2022; pp. 1–2. [Google Scholar]
- Leahu, A.; Ropciuc, S.; Ghinea, C. Plant-based milks: Alternatives to the manufacture and characterization of ice cream. Appl. Sci. 2022, 12, 1754. [Google Scholar] [CrossRef]
- The Growing Plant-Based Ice Cream Market. Available online: https://www.teknoice.com/the-growing-plant-based-ice-cream-market/ (accessed on 19 April 2024).
- Global Plant Based Ice-Creams Market Snapshot (2023 to 2033). Available online: https://www.futuremarketinsights.com/reports/plant-based-ice-creams-market (accessed on 19 April 2024).
- Airoldi, R.; da Silva, T.L.T.; Ract, J.N.R.; Foguel, A.; Colleran, H.L.; Ibrahim, S.A.; da Silva, R.C. Potential use of carnauba wax oleogel to replace saturated fat in ice cream. J. Am. Oil Chem. Soc. 2022, 99, 1085–1099. [Google Scholar] [CrossRef]
- Plamada, D.; Teleky, B.E.; Nemes, S.A.; Mitrea, L.; Szabo, K.; Călinoiu, L.F.; Pascuta, M.S.; Varvara, R.A.; Ciont, C.; Martău, G.A.; et al. Plant-based dairy alternatives—A future direction to the milky way. Foods 2023, 12, 1883. [Google Scholar] [CrossRef] [PubMed]
- Silva, R.C.D.; Ferdaus, M.J.; Foguel, A.; da Silva, T.L.T. Oleogels as a fat substitute in food: A current review. Gels 2023, 9, 180. [Google Scholar] [CrossRef] [PubMed]
- Vitolina, S.; Berzins, R.; Rizhikovs, J.; Godina, D.; Horváth, Z.M.; Logviss, K.; Teresko, A.; Paze, A. Evaluation of Oleogels Stabilized by Particles of Birch Outer Bark Extract through a Novel Approach. Gels 2023, 9, 911. [Google Scholar] [CrossRef]
- Wang, T.; Li, N.; Zhang, W.; Guo, Y.; Yu, D.; Cheng, J.; Wang, L. Construction of hemp seed protein isolate-phosphatidylcholine stablized oleogel-in-water gel system and its effect on structural properties and oxidation stability. Food Chem. 2023, 404, 134520. [Google Scholar] [CrossRef]
- del Mar Contreras, M.; Romero, I.; Moya, M.; Castro, E. Olive-derived biomass as a renewable source of value-added products. Process Biochem. 2020, 97, 43–56. [Google Scholar] [CrossRef]
- Jimenez-Lopez, C.; Carpena, M.; Lourenço-Lopes, C.; Gallardo-Gomez, M.; Lorenzo, J.M.; Barba, F.J.; Prieto, M.A.; Simal-Gandara, J. Bioactive compounds and quality of extra virgin olive oil. Foods 2020, 9, 1014. [Google Scholar] [CrossRef] [PubMed]
- Kozłowicz, K.; Krajewska, M.; Nazarewicz, S.; Gładyszewski, G.; Chocyk, D.; Świeca, M.; Dziki, D.; Kobus, Z.; Parafiniuk, S.; Przywara, A.; et al. Examining the Influence of Ultrasounds and the Addition of Arrowroot on the Physicochemical Properties of Ice Cream. Appl. Sci. 2023, 13, 9816. [Google Scholar] [CrossRef]
- Tagliamonte, S.; De Luca, L.; Donato, A.; Paduano, A.; Balivo, A.; Genovese, A.; Romano, R.; Vitaglione, P.; Sacchi, R. ‘Mediterranean ice-cream’: Sensory and nutritional aspects of replacing milk cream with extra virgin olive oil. J. Funct. Foods 2023, 102, 105470. [Google Scholar] [CrossRef]
- Güven, M.; Kalender, M.; Taşpinar, T. Effect of using different kinds and ratios of vegetable oils on ice cream quality characteristics. Foods 2018, 7, 104. [Google Scholar] [CrossRef] [PubMed]
- Nazarewicz, S.; Kozłowicz, K.; Gładyszewska, B.; Rząd, K.; Matwijczuk, A.; Kobus, Z.; Ivanišová, E.; Harangozo, L.; Skrzypek, T. Effects of Ultrasound Treatment on the Physical and Chemical Properties of Ice Cream with a Strawberry Seed Oil Oleogel. Sustainability 2023, 15, 8975. [Google Scholar] [CrossRef]
- Nazarewicz, S.; Kozłowicz, K.; Kobus, Z.; Gładyszewska, B.; Matwijczuk, A.; Ślusarczyk, L.; Skrzypek, T.; Sujka, M.; Kozłowicz, N. The use of ultrasound in shaping the properties of ice cream with oleogel based on oil extracted from tomato seeds. Appl. Sci. 2022, 12, 9165. [Google Scholar] [CrossRef]
- Ghazani, S.M.; Dobson, S.; Marangoni, A.G. Hardness, plasticity, and oil binding capacity of binary mixtures of natural waxes in olive oil. Curr. Res. Food Sci. 2022, 5, 998–1008. [Google Scholar] [CrossRef] [PubMed]
- Qu, K.; Ma, J.; Zhang, H.; Li, X. Characterization of construction and physical properties of composite oleogel based on single low molecular weight wax and polymer ethyl cellulose. LWT 2024, 192, 115722. [Google Scholar] [CrossRef]
- Sahu, D.; Bharti, D.; Kim, D.; Sarkar, P.; Pal, K. Variations in microstructural and physicochemical properties of candelilla wax/rice bran oil–derived oleogels using sunflower lecithin and soya lecithin. Gels 2021, 7, 226. [Google Scholar] [CrossRef]
- Ropciuc, S.; Dranca, F.; Oroian, M.A.; Leahu, A.; Codină, G.G.; Prisacaru, A.E. Structuring of Cold Pressed Oils: Evaluation of the Physicochemical Characteristics and Microstructure of White Beeswax Oleogels. Gels 2023, 9, 216. [Google Scholar] [CrossRef] [PubMed]
- Hamidioglu, I.; Alenčikienė, G.; Dzedulionytė, M.; Zabulionė, A.; Bali, A.; Šalaševičienė, A. Characterization of the quality and oxidative stability of hemp-oil-based oleogels as an animal fat substitute for meat patties. Foods 2022, 11, 4030. [Google Scholar] [CrossRef]
- Moigradean, D.; Poiana, M.A.; Gogoasa, I. Quality characteristics and oxidative stability of coconut oil during storage. J. Agroaliment. Process. Technol. 2012, 18, 272–276. [Google Scholar]
- Kondratowicz-Pietruszka, E. Analysis of oxidative changes occurring in olive oil during storage. Pol. J. Food Nutr. Sci. 2007, 57, 297–302. [Google Scholar]
- Núñez-García, I.C.; Rodríguez-Flores, L.G.; Guadiana-De-Dios, M.H.; González-Hernández, M.D.; Martínez-Ávila, G.C.; Gallegos-Infante, J.A.; González-Laredo, R.; Rosas-Flores, W.; Martínez-Gómez, V.J.; Rojas, R.; et al. Candelilla wax extracted by traditional method and an ecofriendly process: Assessment of its chemical, structural and thermal properties. Molecules 2022, 27, 3735. [Google Scholar] [CrossRef]
- Teh, S.S.; Birch, J. Physicochemical and quality characteristics of cold-pressed hemp, flax and canola seed oils. J. Food Compos. Anal. 2013, 30, 26–31. [Google Scholar] [CrossRef]
- Ayadi, M.A.; Grati-Kamoun, N.; Attia, H. Physico-chemical change and heat stability of extra virgin olive oils flavoured by selected Tunisian aromatic plants. Food Chem. Toxicol. 2009, 47, 2613–2619. [Google Scholar] [CrossRef] [PubMed]
- Ozdemir, C. An Investigation of Several Physicochemical Characteristics, as Well as the Cholesterol and Fatty Acid Profile of Ice Cream Samples Containing Oleogel, Various Stabilizers, and Emulsifiers. Gels 2023, 9, 543. [Google Scholar] [CrossRef] [PubMed]
- Masurovsky, B.I. The Acidity Phase of the Ice Cream Mix. J. Dairy Sci. 1923, 6, 591–607. [Google Scholar] [CrossRef]
- Homayouni, A.; Azizi, A.; Ehsani, M.; Yarmand, M.; Razavi, S. Effect of microencapsulation and resistant starch on the probiotic survival and sensory properties of synbiotic ice cream. Food Chem. 2008, 111, 50–55. [Google Scholar] [CrossRef]
- Zhou, S.; Jia, Q.; Cui, L.; Dai, Y.; Li, R.; Tang, J.; Lu, J. Physical–chemical and sensory quality of oat milk produced using different cultivars. Foods 2023, 12, 1165. [Google Scholar] [CrossRef] [PubMed]
- Moisio, T.; Forssell, P.; Partanen, R.; Damerau, A.; Hill, S.E. Reorganisation of starch, proteins and lipids in extrusion of oats. J. Cereal Sci. 2015, 64, 48–55. [Google Scholar] [CrossRef]
- Francisquini, J.D.A.; Altivo, R.; Diaz, C.C.; Costa, J.D.C.D.; Kharfan, D.; Stephani, R.; Perrone, Í.T. Physicochemical aspects of industrial plant-based beverages. Quim. Nova 2024, 47, e-20230089. [Google Scholar] [CrossRef]
- Tomczyńska-Mleko, M.; Mykhalevych, A.; Sapiga, V.; Polishchuk, G.; Terpiłowski, K.; Mleko, S.; Sołowiej, B.G.; Pérez-Huertas, S. Influence of Plant-Based Structuring Ingredients on Physicochemical Properties of Whey Ice Creams. Appl. Sci. 2024, 14, 2465. [Google Scholar] [CrossRef]
- Kasapidou, E.; Basdagianni, Z.; Papatzimos, G.; Papadopoulos, V.; Tsiftsi, E.; Neki, I.; Nigianni, P.A.; Mitlianga, P. Chemical composition, antioxidant profile and physicochemical properties of commercial non-cocoa-and cocoa-flavoured plant-based milk alternatives. Eur. Food Res. Technol. 2023, 249, 3011–3026. [Google Scholar] [CrossRef]
- Munekata, P.E.; Domínguez, R.; Budaraju, S.; Roselló-Soto, E.; Barba, F.J.; Mallikarjunan, K.; Roohinejad, S.; Lorenzo, J.M. Effect of innovative food pro-cessing technologies on the physicochemical and nutritional properties and quality of non-dairy plant-based beverages. Foods 2020, 9, 288. [Google Scholar] [CrossRef]
- Scholten, E. Ice cream. In Particulate Products: Tailoring Properties for Optimal Performance; Merkus, H.G., Meesters, G.M., Eds.; Springer International Publishing: Cham, Switzerland, 2013; pp. 273–294. [Google Scholar]
- Zhao, C.; Gong, X.; Wang, S.; Jiang, W.; Xuan, S. Shear stiffening gels for intelligent anti-impact applications. Cell Rep. Phys. Sci. 2020, 1, 100266. [Google Scholar] [CrossRef]
- Akbari, M.; Eskandari, M.H.; Davoudi, Z. Application and functions of fat replacers in low-fat ice cream: A review. Trends Food Sci. Technol. 2019, 86, 34–40. [Google Scholar] [CrossRef]
- Jing, X.; Chen, Z.; Tang, Z.; Tao, Y.; Huang, Q.; Wu, Y.; Zhang, H.; Li, X.; Liang, J.; Liu, Z.; et al. Preparation of camellia oil oleogel and its application in an ice cream system. LWT 2022, 169, 113985. [Google Scholar] [CrossRef]
- Ropciuc, S.; Dranca, F.; Oroian, M.A.; Leahu, A.; Prisacaru, A.E.; Spinei, M.; Codină, G.G. Characterization of Beeswax and Rice Bran Wax Oleogels Based on Different Types of Vegetable Oils and Their Impact on Wheat Flour Dough Technological Behavior during Bun Making. Gels 2024, 10, 194. [Google Scholar] [CrossRef]
- Aranda-Ledesma, N.E.; Bautista-Hernández, I.; Rojas, R.; Aguilar-Zárate, P.; del Pilar Medina-Herrera, N.; Castro-López, C.; Martínez-Ávila, G.C.G. Candelilla wax: Prospective suitable applications within the food field. LWT 2022, 159, 113170. [Google Scholar] [CrossRef]
- Silva-Avellaneda, E.; Bauer-Estrada, K.; Prieto-Correa, R.E.; Quintanilla-Carvajal, M.X. The effect of composition, microfluidization and process parameters on formation of oleogels for ice cream applications. Sci. Rep. 2021, 11, 7161. [Google Scholar] [CrossRef] [PubMed]
- ISO 3960:2007; Animal and Vegetable Fats and Oils: Determination of Peroxide Value: Iodometric (visual) Endpoint Determination. International Organization for Standardization: Geneva, Switzerland, 2007.
- AOAC. Hydrogen-Ion Activity (pH). In Official Methods of Analysis; Association of Official Analytical Chemists: Gaithersburg, MD, USA, 1990. [Google Scholar]
- AOAC. Official Methods of Analysis of the Association of Official Analytical Chemists; Association of Official Analytical Chemists: Gaithersburg, MD, USA, 2000; Volume 9. [Google Scholar]
- Akalın, A.S.; Kesenkas, H.A.R.U.N.; Dinkci, N.A.Y.I.L.; Unal, G.Ü.L.F.E.M.; Ozer, E.L.İ.F.; Kınık, O. Enrichment of probiotic ice cream with different dietary fibers: Structural characteristics and culture viability. J. Dairy Sci. 2018, 101, 37–46. [Google Scholar] [CrossRef] [PubMed]










| Sample | OBC (%) | PV (meqO2/kg) | L* | a* | b* |
|---|---|---|---|---|---|
| HO_3DW | 73.36 ± 4.65 b | 1.837 ± 1.24 a | 67.56 ± 4.19 a | −6.818 ± 0.54 a | 23.92 ± 6.47 a |
| HO_9DW | 95.59 ± 4.27 a | 1.259 ± 0.35 a | 71.49 ± 5.41 a | −8.624 ± 0.77 a | 25.65 ± 7.42 a |
| OO_3DW | 61.72 ± 6.36 b | 1.853 ± 0.59 a | 69.42 ± 5.28 a | −7.901 ± 1.03 a | 30.71 ± 3.01 a |
| OO_9DW | 91.80 ± 6.43 a | 0.732 ± 0.61 a | 65.38 ± 13.2 a | −7.677 ± 1.27 a | 26.50 ± 9.50 a |
| Sample | Hardness (g) | Adhesiveness (g.s) |
|---|---|---|
| OM_OO_3DW | 547 ± 0.10 j | −24 ± 0.02 b |
| OM_HO_3DW | 642 ± 0.30 g | −37 ± 0.01 c |
| OM_OO_9DW | 762 ± 0.10 f | −68 ± 0.02 f |
| OM_HO_9DW | 951 ± 0.20 e | −81 ± 0.05 h |
| MM_OO_3DW | 1181 ± 0.10 c | −90 ± 0.02 j |
| MM_HO_3DW | 1351 ± 0.06 b | −127 ± 0.00 l |
| MM_OO_9DW | 516 ± 0.3 k | −19 ± 0.02 a |
| MM_HO_9DW | 547 ± 0.50 j | −48 ± 0.07 d |
| SM_OO_3DW | 559 ± 0.05 i | −56 ± 0.00 e |
| SM_HO_3DW | 562 ± 0.40 h | −74 ± 0.01 g |
| SM_OO_9DW | 1081 ± 0.61 d | −80 ± 0.00 i |
| SM_HO_9DW | 1652 ± 0.20 a | −112 ± 0.01 k |
| Sample Coding | Main Sample Ingredients |
|---|---|
| SM_HO_3DW | Spelt milk (SM), oleogel from hemp seed oil (HO) and 3% candelilla wax (3DW) |
| SM_HO_9DW | Spelt milk (SM), oleogel from hemp seed oil (HO) and 9% candelilla wax (9DW) |
| SM_OO_3DW | Spelt milk (SM), oleogel from olive oil (OO) and 3% candelilla wax (3DW) |
| SM_OO_9DW | Spelt milk (SM), oleogel from olive oil (OO) and 9% candelilla wax (9DW) |
| MM_HO_3DW | Millet milk (MM), oleogel from hemp seed oil (HO) and 3% candelilla wax (3DW) |
| MM_HO_9DW | Millet milk (MM), oleogel from hemp seed oil (HO) and 9% candelilla wax (9DW) |
| MM_OO_3DW | Millet milk (MM), oleogel from olive oil (OO) and 3% candelilla wax (3DW) |
| MM_OO_9DW | Millet milk (MM), oleogel from olive oil (OO) and 9% candelilla wax (9DW) |
| OM_HO_3DW | Oat milk (OM), oleogel from hemp seed oil (HO) and 3% candelilla wax (3DW) |
| OM_HO_9DW | Oat milk (OM), oleogel from hemp seed oil (HO) and 9% candelilla wax (9DW) |
| OM_OO_3DW | Oat milk (OM), oleogel from olive oil (OO) and 3% candelilla wax (3DW) |
| OM_OO_9DW | Oat milk (OM), oleogel from olive oil (OO) and 9% candelilla wax (9DW) |
| Ingredient | Quantity per 100 g |
|---|---|
| Millet/spelt wheat/oat vegetable drink | 75 mL |
| Oleogel | 10 g |
| Banana | 10 g |
| Sugar | 4 g |
| Xanthan gum | 0.5 g |
| Flavor: vanillin | 0.5 g |
| Index | Evaluation Standards | Score |
|---|---|---|
| Color | Uniform color, milky white | 8–9 |
| Almost milky white | 6–7 | |
| Matte and tends to be gray | 4–5 | |
| Unacceptable | 1–3 | |
| Aroma | No oleogel/oil flavor | 8–9 |
| Low oleogel/oil flavor | 6–7 | |
| Perceptible oleogel/oil aroma | 4–5 | |
| Strong oleogel/oil aroma | 1–3 | |
| Taste | Moderate sweetness, pleasant taste | 8–9 |
| Moderate sweetness, slightly oily | 6–7 | |
| Plain or slightly oily taste | 4–5 | |
| Unpleasant or oily taste | 1–3 | |
| Aspect | Uniform system, with aerated structure | 8–9 |
| Relatively uneven system, slightly aerated | 6–7 | |
| Non-uniform, non-aerated system | 4–5 | |
| Unstable, unventilated system | 1–3 |
Disclaimer/Publisher’s Note: The statements, opinions and data contained in all publications are solely those of the individual author(s) and contributor(s) and not of MDPI and/or the editor(s). MDPI and/or the editor(s) disclaim responsibility for any injury to people or property resulting from any ideas, methods, instructions or products referred to in the content. |
© 2024 by the authors. Licensee MDPI, Basel, Switzerland. This article is an open access article distributed under the terms and conditions of the Creative Commons Attribution (CC BY) license (https://creativecommons.org/licenses/by/4.0/).
Share and Cite
Ropciuc, S.; Ghinea, C.; Leahu, A.; Prisacaru, A.E.; Oroian, M.A.; Apostol, L.C.; Dranca, F. Development and Characterization of New Plant-Based Ice Cream Assortments Using Oleogels as Fat Source. Gels 2024, 10, 397. https://doi.org/10.3390/gels10060397
Ropciuc S, Ghinea C, Leahu A, Prisacaru AE, Oroian MA, Apostol LC, Dranca F. Development and Characterization of New Plant-Based Ice Cream Assortments Using Oleogels as Fat Source. Gels. 2024; 10(6):397. https://doi.org/10.3390/gels10060397
Chicago/Turabian StyleRopciuc, Sorina, Cristina Ghinea, Ana Leahu, Ancuta Elena Prisacaru, Mircea Adrian Oroian, Laura Carmen Apostol, and Florina Dranca. 2024. "Development and Characterization of New Plant-Based Ice Cream Assortments Using Oleogels as Fat Source" Gels 10, no. 6: 397. https://doi.org/10.3390/gels10060397
APA StyleRopciuc, S., Ghinea, C., Leahu, A., Prisacaru, A. E., Oroian, M. A., Apostol, L. C., & Dranca, F. (2024). Development and Characterization of New Plant-Based Ice Cream Assortments Using Oleogels as Fat Source. Gels, 10(6), 397. https://doi.org/10.3390/gels10060397

