Preparation of Ovalbumin/Xanthan Gum/Chitosan Pickering Emulsion Oleogel Added with Amomum villosum Lour. Extract and Its Application in Cookies
Abstract
1. Introduction
2. Results and Discussion
2.1. Optimization of AVE Preparation Process
2.2. Effects of Addition of AVE, Chitosan, and Xanthan Gum on Physicochemical Properties of Pickering Emulsion Oleogel
2.2.1. Effect of Addition of AVE, Chitosan, and Xanthan Gum on Particle Size and Absolute Value of Zeta Potential of Pickering Emulsion Oleogel
2.2.2. Effects of Addition of AVE, Chitosan, and Xanthan Gum on Microstructure of Pickering Emulsion Oleogel
2.2.3. Effects of Addition of AVE, Chitosan, and Xanthan Gum on Thermal Stability and Freeze–Thaw Stability of Pickering Emulsion Oleogel
2.3. Measurement of the Properties of AVE–Ovalbumin/Chitosan/Xanthan Pickering Emulsion Oleogel
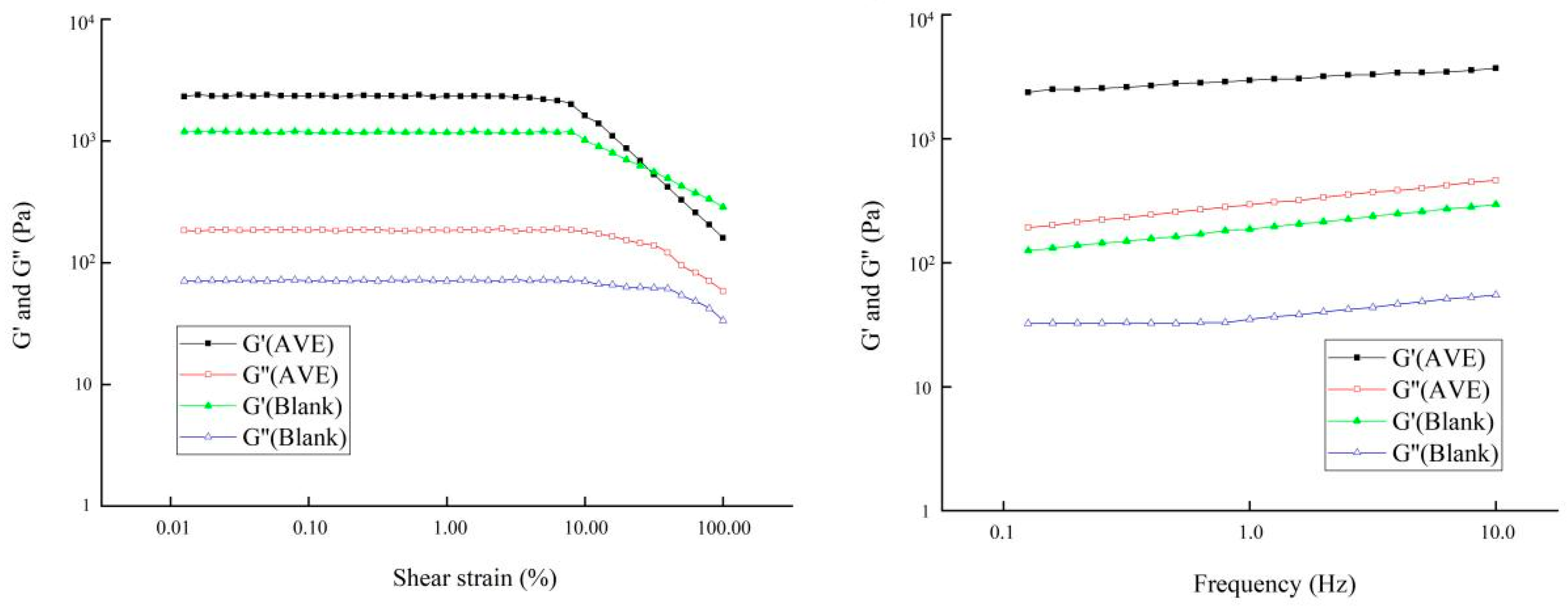
2.3.1. The Analysis of Rheological Properties
2.3.2. The Analysis of Infrared Spectrum
2.3.3. The Analysis of Oxidative Stability
2.4. Application of AVE–Ovalbumin/Chitosan/Xanthan Gum Pickering Emulsion Oleogel in Cookies
2.4.1. Effect of the Oleogels on Texture of the Cookies
2.4.2. Effect of the Oleogels on Oil Oxidation of Cookies during Storage
3. Conclusions
4. Materials and Methods
4.1. Material
4.2. Preparation and Optimization of AVE
4.2.1. Preparation of AVE
4.2.2. The Optimization of the AVE Extraction Process
4.2.3. Free Radical Scavenging Capacity of AVE
4.2.4. The Yield of AVE
4.3. The Preparation of Ovalbumin/Xanthan Gum/Chitosan Pickering Emulsion Oleogel Added with AVE
4.4. Determination of Physicochemical Properties of Pickering Emulsion Oleogels
4.4.1. Determination of Particle Size and Zeta Potential
4.4.2. Observation of Microstructure
4.4.3. Determination of Thermal Stability and Freeze–Thaw Stability
4.4.4. Measurement of Rheological Properties
4.4.5. Analysis of Infrared Spectrum
4.4.6. Determination of Oxidation Stability
4.5. Application of Oleogels in Cookies
4.5.1. The Making of Cookies
4.5.2. The Texture Analysis of Cookies
4.5.3. The Oil Oxidation of Cookies
4.5.4. The Sensory Evaluation of Cookies
4.6. Statistical Analysis of Data
Author Contributions
Funding
Institutional Review Board Statement
Informed Consent Statement
Data Availability Statement
Conflicts of Interest
References
- Pehlivanoğlu, H.; Demirci, M.; Toker, O.S.; Konar, N.; Karasu, S.; Sagdic, O. Oleogels, a promising structured oil fordecreasing saturated fatty acid concentrations: Production and food-based applications. Crit. Rev. Food Sci. Nutr. 2018, 58, 1330–1341. [Google Scholar] [CrossRef] [PubMed]
- Zhu, Y.; Bo, Y.; Liu, Y. Dietary total fat, fatty acids intake, and risk of cardiovascular disease: Adose-response meta-analysis of cohort studies. Lipids Health Dis. 2019, 18, 91. [Google Scholar] [CrossRef] [PubMed]
- Chowdhury, B.; Sharma, A.; Akshit, F.N.U.; Mohan, M.S.; Salunke, P.; Anand, S. A review of oleogels applications in dairy foods. Crit. Rev. Food Sci. 2023, 64, 9691–9709. [Google Scholar] [CrossRef] [PubMed]
- Feichtinger, A.; Scholten, E. Preparation of protein oleogels: Effect on structure and functionality. Foods 2020, 9, 1745. [Google Scholar] [CrossRef] [PubMed]
- Patel, A.; Dewettinck, K. Edible oil structuring: An overview and recent updates. Food Funct. 2016, 7, 20–29. [Google Scholar] [CrossRef]
- Li, J.; Jin, W.; Xu, W.; Liu, G.; Huang, Q.; Zhu, Z.; Li, S.Y.; Cheng, S.Y. Effect of charge density of polysaccharide on self-assembly behaviors of ovalbumin and sodium alginate. Int. J. Biol. Macromol. 2020, 154, 1245–1254. [Google Scholar] [CrossRef]
- Vicente, J.; Pereira, L.J.B.; Bastos, L.P.H.; Carvalho, L.P.; GeraldoGarcia-Rojas, M.; Elard, E. Effect of xanthan gum or pectin addition on Sacha Inchi oil-in-water emulsions stabilized by ovalbumin or tween 80: Droplet size distribution, rheological behavior and stability. Int. J. Biol. Macromol. 2018, 120, 339–345. [Google Scholar] [CrossRef]
- Niu, F.; Dong, Y.; Shen, F.; Wang, J.; Liu, Y.T.; Su, Y.; Xu, R.; Wang, J.; Yang, Y. Phase separation behavior and structural analysis of ovalbumin-gum arabic complex coacervation. Food Hydrocoll. 2015, 43, 1–7. [Google Scholar] [CrossRef]
- Tang, Y.; Gao, C.; Zhang, Y.; Tang, X.Z. A review of literature on Pickering emulsion gels stabilized by polysaccharide-based particles. Food Sci. 2022, 43, 341–351. (In Chinese) [Google Scholar]
- Huang, Z.Z.; Yang, X.X.; Chen, Q.Q.; Chen, L.Q.; Liang, S.Y.; Zeng, Q.Z.; Zhang, R.F.; Huang, F.; Dong, L.H.; Su, D.X. Ferulic acid and EGCG alter the structural characteristics of ovalbumin and its application in mineral loading. Int. J. Food Sci. Technol. 2022, 57, 3060–3068. [Google Scholar] [CrossRef]
- Huang, Z.Z.; Yang, X.X.; Liang, S.Y.; Chen, L.Q.; Dong, L.H.; Rahaman, A.; He, S.; Shen, Y.B.; Su, D.X. Polysaccharides improved the viscoelasticity, microstructure, and physical stability of ovalbumin-ferulic acid complex stabilized emulsion. Int. J. Biol. Macromol. 2022, 211, 150–158. [Google Scholar] [CrossRef] [PubMed]
- Abu Zarim, N.; Zainul Abidin, S.; Ariffin, F. Shelf life stability and quality study of texture-modified chicken rendang usingxanthan gum as thickener for the consumption of the elderly with dysphagia. Food Biosci. 2021, 42, 101054. [Google Scholar]
- Zhu, J.Z.; Liu, L.; Li, X.T.; Zhang, Q.; Wang, Z.; Chen, N.; Wang, H.; Xie, F.; Qi, B.; Jiang, L.Z. Construction of soybean oil bodies-xanthan gum composite oleogels by emulsion-templated method: Preparation, characterization, and stability analysis. Food Hydrocoll. 2024, 149, e109526. [Google Scholar] [CrossRef]
- Sagis, L.; Scholten, E. Complex interfaces in food: Structure and mechanical properties. Trends Food Sci. Technol. 2014, 37, 59–71. [Google Scholar] [CrossRef]
- Veardo, V.; Ferioli, F.; Riciputi, Y.; Iafelice, G.; Marconi, E.; Caboni, M.F. Evaluation of lipid oxidation in spaghetti pasta enriched with long chain n-3 polyunsaturated fatty acids under different storage conditions. Food Chem. 2009, 114, 472–477. [Google Scholar] [CrossRef]
- Feng, L.L.; Wang, Z.C.; Lei, Z.W.; Zhang, X.F.; Zhai, B.T.; Sun, J.; Guo, D.Y.; Wang, D.; Luan, F.; Zou, J.B.; et al. Amomum villosum Lour.: An insight into ethnopharmacological, phytochemical, and pharmacological overview. J. Ethnopharmacol. 2024, 335, 118615. [Google Scholar] [CrossRef]
- Cao, G.H.; Zhang, X.; Wang, X.F.; Xiong, J.; Wang, J.; Li, X.G.; Xiao, J.B.; Zhao, R.H.; He, S. Comparison of bacteriostatic effects of different extracts from Fructus amomi and its salt-processed products. Sci. Technol. Food Ind. 2020, 41, 82–87. (In Chinese) [Google Scholar]
- Yip, K.M.; Xu, J.; Tong, W.S.; Zhou, S.S.; Yi, T.; Zhao, Z.Z.; Chen, H.B. Ultrasound-assisted extraction may not be a better alternative approach than conventional boiling for extracting polysaccharides from herbal medicines. Molecules 2016, 21, 1569. [Google Scholar] [CrossRef]
- Jovanović, A.A.; Đorđević, V.B.; Zdunić, G.M.; Pljevljakušić, D.S.; Šavikin, K.P.; Gođevac, D.M.; Bugarski, B.M. Optimization of the extraction process of polyphenols from Thymus serpyllum L. herb using maceration, heat- and ultrasound-assisted techniques. Sep. Purif. Technol. 2017, 179, 369–380. [Google Scholar] [CrossRef]
- Yu, X.F.; Wang, J.H.; Zhang, M.; Ma, X.F.; Xu, Q.Q. Green and efficient extraction of polyphenols from the leaves of Quercus dentata Thunb and in vitro antioxidant activities of polyphenol extract. Sustain. Chem. Pharm. 2024, 41, 101662. [Google Scholar] [CrossRef]
- Rodríguez-Aguilar, F.; Eugenia Ortega-Regules, A.; Ramírez-Rodrigues, M.M. Influence of time-temperature in the antioxidant activity, anthocyanin and polyphenols profile, and color of Ardisia compressa K. extracts, with the addition of sucrose or citric acid. Food Chem. 2024, 440, 138181. [Google Scholar] [CrossRef] [PubMed]
- Yan, Y.J.; Li, X.; Wan, M.J.; Chen, J.P.; Li, S.J.; Cao, M.; Zhang, D.Y. Effect of extraction methods on property and bioactivity of water-soluble polysaccharides from Amomum villosum. Carbohydr. Polym. 2015, 117, 632–635. [Google Scholar] [CrossRef] [PubMed]
- Li, H.L.; Zhou, X.L.; Wu, X.J.; Wu, W. Advances in the study of polyphenol regulation of lipid-protein co-oxidation in emulsions of proteins, polysaccharides and protein-polysaccharide complexes. Food Sci. 2024, 45, 358–367. (In Chinese) [Google Scholar]
- Kavya, M.; Udayarajan, C.; Fabra, M.J.; López-Rubio, A.; Nisha, P. Edible oleogels based on high molecular weight oleogelators and its prospects in food applications. Crit. Rev. Food Sci. Nutr. 2024, 64, 4432–4455. [Google Scholar] [CrossRef]
- Abdollahi, M.; Goli, S.A.H.; Soltanizadeh, N. Physicochemical properties of foam-templated oleogel based on gelatin and xanthan gum. Eur. J. Lipid Sci. Technol. 2020, 122, 1900196. [Google Scholar] [CrossRef]
- Yan, Y.Z.; Chen, S.L.; Deng, L.; Duan, Y.X.; Huang, Z.H.; Gong, D.M.; Zhang, G.W. Construction and characterization of egg white protein -gallic acid-xanthan gum-based emulsion and oleogel. Food Hydrocoll. 2024, 150, 109720. [Google Scholar] [CrossRef]
- Krstonošić, V.; Pavlović, N.; Nikolić, I.; Milutinov, J.; Ćirin, D. Physicochemical properties and stability of oil-in-water emulsions stabilized by soy protein isolate and xanthan gum. Int. J. Biol. Macromol. 2024, 260, 129610. [Google Scholar] [CrossRef]
- Gan, C.F.; Liu, Q.; Zhang, Y.; Shi, T.Y.; He, W.S.; Jia, C.S. A novel phytosterols delivery system based on sodium caseinate-pectin soluble complexes: Improving stability and bioaccessibility. Food Hydrocoll. 2022, 124, 107295. [Google Scholar] [CrossRef]
- Zhang, H.D.; Yang, X.Y.; Zhong, R.B.; Huo, Y.M.; Zhu, Y.J.; Liang, P. Antioxidative properties of fish roe peptides combined with polyphenol on the fish oil oleogel. J. Sci. Food Agric. 2022, 103, 1714–1726. [Google Scholar] [CrossRef]
- Yang, W.; Xu, C.; Liu, F.; Sun, C.X.; Yuan, F.; Gao, Y.X. Fabrication mechanism and structural characteristics of the temnaryaggregates by 1 actofenin, pectin, and- epig allo catechin gallate using multisp ectroscopicmethods. J. Agric. Food Chem. 2015, 63, 5046–5054. [Google Scholar] [CrossRef]
- Zhang, G.G.; Zheng, C.M.; Huang, B.Q.; Fei, P. Preparation of acylated pectin with gallic acid through enzymatic method and their emulsifying properties, antioxidation activities and antibacterial activities. Int. J. Biol. Macromol. 2020, 165, 198–204. [Google Scholar] [CrossRef] [PubMed]
- Shahbazi, M.; Jäger, H.; Ettelaie, R. Development of an antioxidative pickering emulsion gel through polyphenol-inspired free-radical grafting of microcrystalline cellulose for 3D food printing. Biomacromolecules 2021, 22, 4592–4605. [Google Scholar] [CrossRef]
- Li, Q.; Chen, P.; Li, Y.; Li, B.; Liu, S.L. Construction of cellulose-based Pickering stabilizer as a novel interfacial antioxidant: A bioinspired oxygen protection strategy. Carbohydr. Polym. 2020, 229, 115395. [Google Scholar] [CrossRef] [PubMed]
- Wang, R.; Zhou, J. Waxy maize starch nanoparticles incorporated tea polyphenols to stabilize Pickering emulsion and inhibit oil oxidation. Carbohydr. Polym. 2022, 296, 119991. [Google Scholar] [CrossRef] [PubMed]
- Cui, X.T.; Saleh, A.S.M.; Yang, S.; Wang, N.; Wang, P.; Zhu, M.P.; Xiao, Z.G. Oleogels as animal fat and shortening replacers: Research advances and application challenges. Food Rev. Int. 2023, 39, 5233–5254. [Google Scholar] [CrossRef]
- Shang, J.G.; Zhong, F.; Zhu, S.; Huang, D.J.; Li, Y. Formation, structural characteristics and physicochemical properties of beeswax oleogels prepared with tea polyphenol loaded gelators. Food Funct. 2021, 12, 1662–1671. [Google Scholar] [CrossRef] [PubMed]
- Hashim, D.M.; Man, Y.B.C.; Norakasha, R.; Shuhaimi, M.; Salmah, Y.; Syahariza, Z.A. Potential use of Fourier transform infrared spectroscopy for differentiation of bovine and porcine gelatins. Food Chem. 2010, 118, 856–860. [Google Scholar] [CrossRef]
- Muyonga, J.H.; Cole, C.G.B.; Duodu, K.G. Fourier transform infrared (FTIR) spectroscopic study of acid soluble collagen and gelatin from skins and bones of young and adult Nile perch (Lates niloticus). Food Chem. 2004, 86, 325–332. [Google Scholar] [CrossRef]
- Su, Y.R.; Tsai, Y.C.; Hsu, C.H.; Chao, A.C.; Lin, C.W.; Tsai, M.L.; Mi, F.L. Effect of grape seed proanthocyanidin-gelatin colloidal complexes on stability and in vitro digestion of fish oil emulsions. J. Agric. Food Chem. 2015, 63, 10200–10208. [Google Scholar] [CrossRef]
- Zhao, W.J.; Wei, Z.H.; Xue, C.H.; Meng, Y. Development of food-grade oleogel via the aerogel-templated method: Oxidation stability, astaxanthin delivery and emulsifying application. Food Hydrocoll. 2023, 134, 108058. [Google Scholar] [CrossRef]
- Chen, Y.; Li, Z.S.; Yi, X.Z.; Kuang, H.R.; Ding, B.M.; Sun, W.Q.; Luo, Y.C. Influence of carboxymethylcellulose on the interaction between ovalbumin and tannic acid via noncovalent bonds and its effects on emulsifying properties. LWT 2020, 118, 436–459. [Google Scholar] [CrossRef]
- Li, S.Y.; Wu, G.C.; Li, X.J.; Jin, Q.Z.; Wang, X.G.; Zhang, H. Roles of gelator type and gelation technology on texture and sensory properties of cookies prepared with oleogels. Food Chem. 2021, 356, 129667. [Google Scholar] [CrossRef] [PubMed]
- Jang, A.; Bae, W.; Hwang, H.; Lee, H.G.; Lee, S.Y. Evaluation of canola oil oleogels with candelilla wax as an alternative to shortening in baked goods. Food Chem. 2015, 187, 525–529. [Google Scholar] [CrossRef] [PubMed]
- Jacob, J.; Leelavathi, K. Effect of fat-type on cookie dough and cookie quality. J. Food Eng. 2007, 79, 299–305. [Google Scholar] [CrossRef]
- Mert, B.; Demirkesen, I. Reducing saturated fat with oleogel/shortening blends in a baked product. Food Chem. 2016, 199, 809–816. [Google Scholar] [CrossRef]
- Liu, T.; Zheng, J.; Du, J.; He, G.S. Food processing and nutrition strategies for improving the health of elderly people with dysphagia: A review of recent developments. Foods 2024, 13, 215. [Google Scholar] [CrossRef]
- Jiang, Q.Y.; Zhang, M.; Mujumdar, A.S. Novel evaluation technology for the demand characteristics of 3D food printing materials: A review. Crit. Rev. Food Sci. 2021, 62, 4669–4683. [Google Scholar] [CrossRef]
- Miao, W.B.; Fu, Y.J.; Zhang, Z.H.; Lin, Q.Z.; Li, X.J.; Sang, S.Y.; McClements, D.J.; Jiang, H.; Ji, H.Y.; Qiu, C.; et al. Fabrication of starch-based oleogels using capillary bridges: Potential for application as edible inks in 3D food printing. Food Hydrocoll. 2024, 150, 109647. [Google Scholar] [CrossRef]
- Sinha, S.S.; Upadhyay, A.; Singh, A. Development and optimization of oleogel made with soy protein isolate and xanthan gum using emulsion template approach and its comparison with solid fats. Heliyon 2024, 10, e25224. [Google Scholar] [CrossRef]
- Liu, F.G.; Mcclements, D.J.; Ma, C.C.; Liu, X.B. Novel colloidal food ingredients: Protein complexes and conjugates. Annu. Rev. Food Sci. Technol. 2023, 14, 35–61. [Google Scholar] [CrossRef]
- Wan, Z.; Zhao, H.Y.; Zeng, C.X.; Xia, H.P.; Guo, S.Y.; Tang, C.L. Characterization and application of rapeseed oil-low erucic acid oleogel based on Pickering emulsion. J. Hunan Agric. Univ. (Nat. Sci.) 2021, 47, 361–368. (In Chinese) [Google Scholar]














| Samples | Wavelength (cm−1) | ||||
|---|---|---|---|---|---|
| Amide A Band | Amide B Band | Amide I Band | Amide II Band | Amide III Band | |
| Blank | 3315.51577 | 2937.6539 | 1633.24808 | 1544.07226 | 1253.77813 |
| AVE | 3315.51577 | 2935.79452 | 1635.02217 | 1539.09804 | 1243.79454 |
| Attributes | Scoring Criteria | Total Score |
|---|---|---|
| Shape | The shape was a complete shape, uniform in size and thickness (7–9 points) | 9 points |
| The shape was relatively complete, and the size and thickness were basically uniform (4–6 points) | ||
| Incomplete shape and deformation, and uneven thickness (1–3 points) | ||
| Color | The overall color of the surface was yellow, without overfocal or white phenomena (7–9 points) | 9 points |
| The surface color was more uniform, dark yellow, or light white (4–6 points) | ||
| Uneven surface color, and a large number of overfocal or white phenomena (1–3 points) | ||
| Flavor | Baking aroma, no odor (7–9 points) | 9 points |
| Strong baking smell, basically no odor or slight odor (4–6 points) | ||
| Weak baking flavor, strong odor (1–3 points) | ||
| Texture | The internal texture showed a uniform and dense porous texture, basically without holes (7–9 points) | 9 points |
| The interior presented a relatively uniform porous texture, with small holes (4–6 points) | ||
| The internal porous texture was uneven and dense, with large holes (1–3 points) | ||
| Taste | Crispy, delicate, and not sticky (7–9 points) | 9 points |
| Crispy, delicate, and slightly sticky (4–6 points) | ||
| Not crisp, not delicate, and stuck to teeth (1–3 points) | ||
| Overall quality assessment | Overall quality assessment was very good (7–9 points) | 9 points |
| Overall quality assessment was generally liked (4–6 points) | ||
| Overall quality assessment was bad (1–3 points) |
Disclaimer/Publisher’s Note: The statements, opinions and data contained in all publications are solely those of the individual author(s) and contributor(s) and not of MDPI and/or the editor(s). MDPI and/or the editor(s) disclaim responsibility for any injury to people or property resulting from any ideas, methods, instructions or products referred to in the content. |
© 2024 by the authors. Licensee MDPI, Basel, Switzerland. This article is an open access article distributed under the terms and conditions of the Creative Commons Attribution (CC BY) license (https://creativecommons.org/licenses/by/4.0/).
Share and Cite
Xue, S.; Zhao, J.; Xiong, Z.; Huang, J. Preparation of Ovalbumin/Xanthan Gum/Chitosan Pickering Emulsion Oleogel Added with Amomum villosum Lour. Extract and Its Application in Cookies. Gels 2024, 10, 683. https://doi.org/10.3390/gels10110683
Xue S, Zhao J, Xiong Z, Huang J. Preparation of Ovalbumin/Xanthan Gum/Chitosan Pickering Emulsion Oleogel Added with Amomum villosum Lour. Extract and Its Application in Cookies. Gels. 2024; 10(11):683. https://doi.org/10.3390/gels10110683
Chicago/Turabian StyleXue, Shan, Jilong Zhao, Zhouyi Xiong, and Jie Huang. 2024. "Preparation of Ovalbumin/Xanthan Gum/Chitosan Pickering Emulsion Oleogel Added with Amomum villosum Lour. Extract and Its Application in Cookies" Gels 10, no. 11: 683. https://doi.org/10.3390/gels10110683
APA StyleXue, S., Zhao, J., Xiong, Z., & Huang, J. (2024). Preparation of Ovalbumin/Xanthan Gum/Chitosan Pickering Emulsion Oleogel Added with Amomum villosum Lour. Extract and Its Application in Cookies. Gels, 10(11), 683. https://doi.org/10.3390/gels10110683

