Dynamics of Endophytic Fungal Communities Associated with Cultivated Medicinal Plants in Farmland Ecosystem
Abstract
:1. Introduction
2. Materials and Methods
2.1. Study Sites and Sampling
2.2. DNA Extraction, PCR, and Illumina Miseq Sequencing
2.3. Bioinformatics Processing
2.4. Statistical Analysis
3. Results
3.1. The Structure and Distribution of Endophytic Fungal Communities
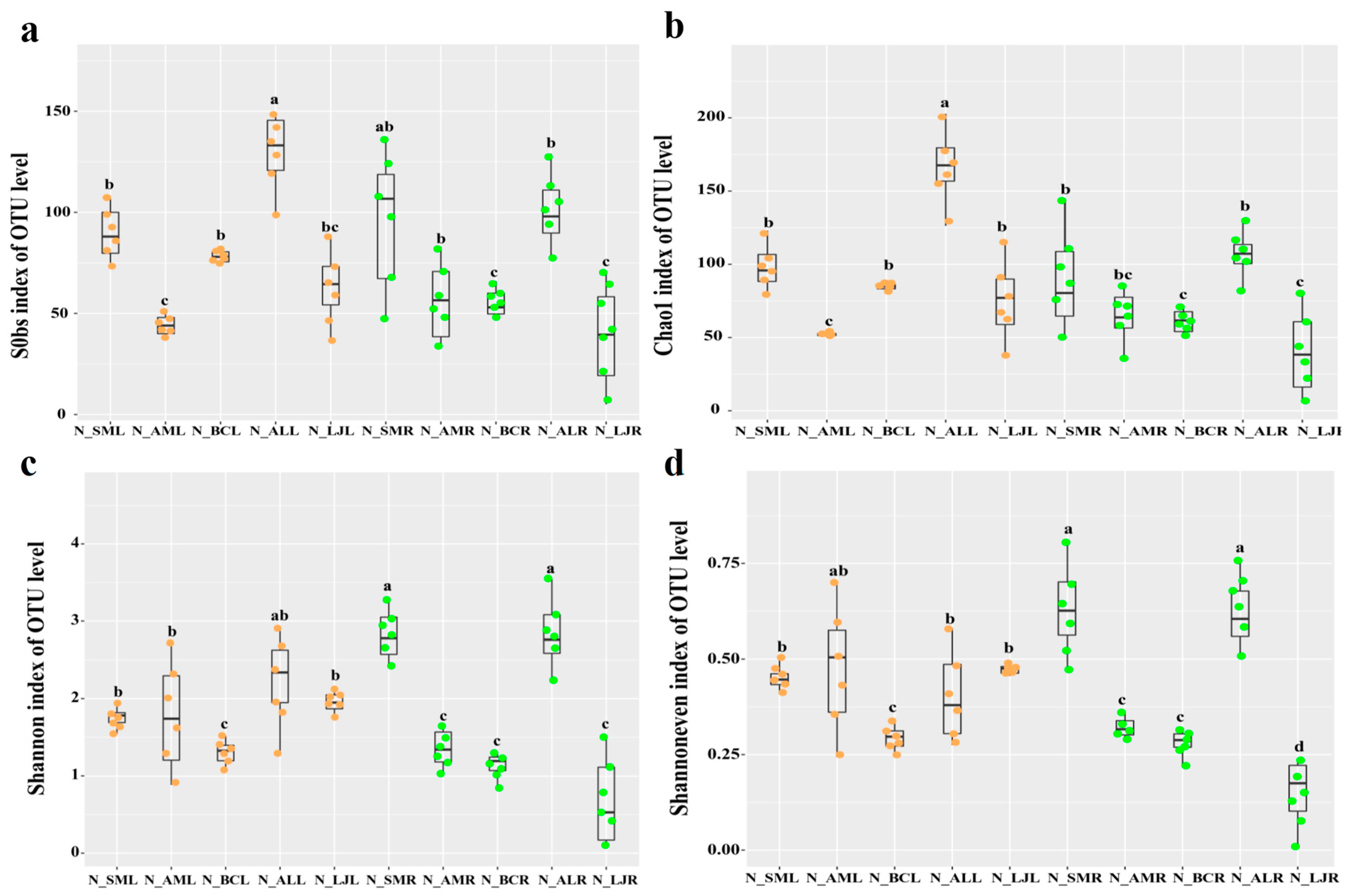
3.2. Alpha Diversity of Endophytic Fungi
3.3. Host and Seasonal Variation Drive Endophytic Fungi
3.4. Host and Seasonal Selection Affect Co-Occurrence Networks Complexity of Endophytic Fungi
3.5. Functional Prediction of Endophytic Fungi
4. Discussion
4.1. Taxonomic Characteristics of Endophytic Fungi
4.2. Host and Seasonal Variation Influence Diversity of Endophytic Fungal Communities
4.3. Host and Seasonal Variations Drive the Distribution of Endophytic Fungal Communities
4.4. Host and Seasonal Selection Affect the Co-Occurrence Network Complexity of Endophytic Fungi
4.5. Host and Seasonal Variation Affect the Ecological Functions of Endophytic Fungi
5. Conclusions
Supplementary Materials
Author Contributions
Funding
Institutional Review Board Statement
Informed Consent Statement
Data Availability Statement
Acknowledgments
Conflicts of Interest
References
- Ganley, R.J.; Brunsfeld, S.J.; Newcombe, G. A community of unknown, endophytic fungi in western white pine. Proc. Natl. Acad. Sci. USA 2004, 101, 10107–10112. [Google Scholar] [CrossRef] [PubMed]
- Mohali, S.; Burgess, T.I.; Wingfield, M.J. Diversity and host association of the tropical tree endophyte Lasiodiplodia theobromae revealed using simple sequence repeat markers. For. Pathol. 2005, 35, 385–396. [Google Scholar] [CrossRef]
- Sraj-Krzic, N.; Pongrac, P.; Klemenc, M.; Kladnik, A.; Regvar, M.; Gaberscik, A. Mycorrhizal colonization in plants from intermittent aquatic habitats. Aquat. Bot. 2006, 85, 331–336. [Google Scholar] [CrossRef]
- Martinez-Arias, C.; Sobrino-Plata, J.; Ormeno-Moncalvillo, S.; Gil, L.; Rodriguez-Calcerrada, J.; Martin, J.A. Endophyte inoculation enhances Ulmus minor resistance to Dutch elm disease. Fungal Ecol. 2020, 50, 101024. [Google Scholar] [CrossRef]
- Li, X.; Liu, Y.X.; Ye, Q.N.; Xu, M.H.; He, X.L. Application of desert DSEs to nonhost plants: Potential to promote growth and alleviate drought stress of wheat seedlings. Agriculture 2022, 12, 1539. [Google Scholar] [CrossRef]
- Arnold, A.E.; Lutzoni, F. Diversity and host range of foliar fungal endophytes: Are tropical leaves biodiversity hotspots? Ecology 2007, 88, 541–549. [Google Scholar] [CrossRef] [PubMed]
- Hamonts, K.; Trivedi, P.; Garg, A.; Janitz, C.; Grinyer, J.; Holford, P.; Botha, F.C.; Anderson, L.C.; Singh, B.K. Field study reveals core plant microbiota and relative importance of their drivers. Environ. Microbiol. 2017, 20, 124–140. [Google Scholar] [CrossRef]
- Cregger, M.A.; Veach, A.M.; Yang, Z.K.; Crouch, M.J.; Vilgalys, R.; Tuskan, G.A.; Schadt, C.W. The Populus holobiont: Dissecting the effects of plant niches and genotype on the microbiome. Microbiome 2018, 6, 31. [Google Scholar] [CrossRef]
- Xiong, C.; Singh, B.K.; He, J.Z.; Han, Y.L.; Li, P.P.; Wan, L.H.; Meng, G.Z.; Liu, S.Y.; Wang, G.T.; Wu, C.F.; et al. Plant developmental stage drives the differentiation in ecological role of plant bacterial and fungal microbiomes. Microbiome 2021, 9, 171. [Google Scholar] [CrossRef]
- Yao, H.; Sun, X.; He, C.; Maitra, P.; Li, X.C.; Guo, L.D. Phyllosphere epiphytic and endophytic fungal community and network structures differ in a tropical mangrove ecosystem. Microbiome 2019, 7, 57. [Google Scholar] [CrossRef]
- Wang, Z.W.; Ji, Y.L.; Chen, Y.G.; Kang, Y. Resources and species diversity of endophytic fungi in gramineous plants. Acta Ecol. Sin. 2010, 30, 4771–4781. [Google Scholar]
- Yuan, L.; Yang, Z.L.; Li, S.Y.; Hu, H.; Huang, J.L. Mycorrhizal specificity, preference, and plasticity of six slipper orchids from South Western China. Mycorrhiza 2010, 20, 559–568. [Google Scholar] [CrossRef] [PubMed]
- Zuo, Y.L.; Li, X.; Yang, J.Y.; Liu, J.Q.; Zhao, L.L.; He, X.L. Fungal endophytic community and diversity associated with desert shrubs driven by plant identity and organ differentiation in extremely arid desert ecosystem. J. Fungi 2021, 7, 578. [Google Scholar] [CrossRef] [PubMed]
- Sun, X.; Ding, Q.; Hyde, K.D.; Guo, L.D. Community structure and preference of endophytic fungi of three woody plants in a mixed forest. Fungal Ecol. 2012, 5, 624–632. [Google Scholar] [CrossRef]
- Photita, W.; Lumyong, S.; Lumyong, P.; Hyde, K.D. Endophytic fungi of wild banana (Musa acuminata) at Doi Suthep Pui National Park, in Thailand. Mycol. Res. 2001, 105, 1508–1513. [Google Scholar] [CrossRef]
- Kumar, V.; Prasher, I.B. Seasonal variation and tissues specificity of endophytic fungi of Dillenia indica L. and their extracellular enzymatic activity. Arch. Microbiol. 2022, 204, 341. [Google Scholar] [CrossRef] [PubMed]
- Martins, F.; Pereira, J.A.; Bota, P.; Bento, A.; Baptista, P. Fungal endophyte communities in above- and belowground olive tree organs and the effect of season and geographic location on their structures. Fungal Ecol. 2016, 20, 193–201. [Google Scholar] [CrossRef]
- Agler, M.T.; Ruhe, J.; Kroll, S.; Morhenn, C.; Kim, S.T.; Weigel, D.; Kemen, E.M. Microbial hub taxa link host and abiotic factors to plant microbiome variation. PLoS Biol. 2016, 14, e1002352. [Google Scholar] [CrossRef]
- van der Heijden, M.; Hartmann, M. Networking in the plant microbiome. PLoS Biol. 2016, 14, e1002378. [Google Scholar] [CrossRef]
- Barberan, A.; Bates, S.T.; Casamayor, E.O.; Fierer, N. Using network analysis to explore co-occurrence patterns in soil microbial communities. ISME J. 2012, 6, 343–351. [Google Scholar] [CrossRef]
- Toju, H.; Tanabe, A.S.; Sato, H. Network hubs in root-associated fungal metacommunities. Microbiome 2018, 6, 116. [Google Scholar] [CrossRef] [PubMed]
- Karimi, B.; Maron, P.A.; Chemidlin-Prevost, B.N.; Bernard, N.; Gilbert, D.; Ranjard, L. Microbial diversity and ecological networks as indicators of environmental quality. Environ. Chem. Lett. 2017, 15, 265–281. [Google Scholar] [CrossRef]
- Xiong, C.; He, J.Z.; Singh, B.K.; Zhu, Y.G.; Singh, B.K.; Wang, J.T.; Zhang, Q.B.; Han, L.L.; Shen, J.P.; Ge, A.H.; et al. Rare taxa maintain the stability of crop mycobiomes and ecosystem functions. Environ. Microbiol. 2021, 23, 1907–1924. [Google Scholar] [CrossRef] [PubMed]
- Rodriguez, R.J.; White, J.F., Jr.; Arnold, A.E.; Redman, R.S. Fungal endophytes: Diversity and functional roles. New Phytol. 2009, 182, 314–330. [Google Scholar] [CrossRef] [PubMed]
- Zhang, S.H.; Fang, Q.; Jia, H.M.; Han, G.Q.; Yan, Z.Y.; He, D.M. Difference analysis of fungal community among bulk soil, rhizosphere and rhizomes of Ligusticum chuanxiong Hort. Biotech. Bull. 2021, 37, 56–69. [Google Scholar] [CrossRef]
- Xie, H.L.; Wang, H.C.; Shi, C.H.; Zhou, H.; Sun, M.L. Community structure and diversity of endophytic fungi in tobacco seeds. Chin. Tobacco Sci. 2021, 42, 28–36. [Google Scholar] [CrossRef]
- You, C.; Qin, D.; Wang, Y.M.; Lan, W.Y.; Li, Y.H.; Yu, B.H.; Peng, Y.J.; Xu, J.R.; Dong, J.Y. Plant triterpenoids regulate endophyte community to promote medicinal plant Schisandra sphenanthera growth and metabolites accumulation. J. Fungi 2021, 7, 788. [Google Scholar] [CrossRef] [PubMed]
- Adams, R.I.; Miletto, M.; Taylor, J.W.; Bruns, T.D. Dispersal in microbes: Fungi in indoor air are dominated by outdoor air and show dispersal limitation at short distances. ISME J. 2013, 7, 1262–1273. [Google Scholar] [CrossRef]
- White, T.J.; Bruns, T.; Lee, S.; Taylor, J. Amplification and direct sequencing of fungal ribosomal RNA genes for phylogenetics. In PCR Protocols: A Guide to Methods and Applications; Innis, N., Gelfand, D., Sninsky, J., White, T., Eds.; Academic Press: Cambridge, MA, USA, 1990; pp. 315–322. [Google Scholar]
- Magoč, T.; Salzberg, S.L. FLASH: Fast length adjustment of short reads to improve genome assemblies. Bioinformatics 2011, 27, 2957–2963. [Google Scholar] [CrossRef]
- Edgar, R.C. UPARSE: Highly accurate OTU sequences from microbial amplicon reads. Nat. Methods 2013, 10, 996–998. [Google Scholar] [CrossRef]
- McMurdie, P.J.; Holmes, S. phyloseq: An R package for reproducible interactive analysis and graphics of microbiome census data. PLoS ONE 2013, 8, e61217. [Google Scholar] [CrossRef] [PubMed]
- Schloss, P.D.; Westcott, S.L.; Ryabin, T.; Hall, R.J.; Hartmann, M.; Hollister, E.B.; Lesniewski, R.A.; Oakley, B.B.; Parks, D.H.; Robinson, C.J. Introducing mothur: Open-source, platform-independent, community-supported software for describing and comparing microbial communities. Appl. Environ. Microbiol. 2009, 75, 7537–7541. [Google Scholar] [CrossRef] [PubMed]
- Segata, N.; Izard, J.; Waldron, L.; Gevers, D.; Miropolsky, L.; Garrett, W.S.; Huttenhower, C. Metagenomic biomarker discovery and explanation. Genome Biol. 2011, 12, R60. [Google Scholar] [CrossRef] [PubMed]
- Banerjee, S.; Baah-Acheamfour, M.; Carlyle, C.N.; Bissett, A.; Richardson, A.E.; Siddique, T.; Bork, E.W.; Chang, S.X. Determinants of bacterial communities in Canadian agroforestry systems. Environ. Microbiol. 2016, 18, 1805–1816. [Google Scholar] [CrossRef] [PubMed]
- Tipton, L.; Müller, C.L.; Kurtz, Z.D.; Huang, L.; Kleerup, E.; Morris, A.; Bonneau, R.; Ghedin, E. Fungi stabilize connectivity in the lung and skin microbial ecosystems. Microbiome 2018, 6, 12. [Google Scholar] [CrossRef]
- Zhang, J.C.; Wang, J.H.; Zhao, M.; Liu, H.J.; Liao, K.T.; Xu, X.Y. Plant community and species diversity in the south fringe of Kumtag Desert. Chin. J. Plant Ecol. 2006, 30, 375–382. [Google Scholar]
- Matheus, R.F.; Barreto AM, S.; Ziviani, A. Approximating Network Centrality Measures Using Node Embedding and Machine Learning. IEEE Trans. Netw. Sci. Eng. 2020, 8, 220–230. [Google Scholar] [CrossRef]
- Li, J.; Zhang, H.R.; Liu, N.Y.; Liu, X.G.; Li, L. Study on isolation and identification endophytic fungi and antibacterial activity of Flos lonicerae. Chin. J. Antibiot. 2010, 35, 236–237. [Google Scholar]
- Sun, J.Q.; Guo, L.D.; Zang, W.; Chi, D.F. Research advances in the diversities of endophytic fungi in medicinal plants and their bioactive ingredients. Acta Bot. Boreali-Occid Sin. 2006, 26, 505–519. [Google Scholar]
- Li, Y.L.; Shi, R.J.; Wang, J.M. Isolation, identification and diversity analysis of the endophytic fungi in Salvia miltiorrhiza collected from Mountain Tai. Lishizhen Med. Mater. Med. Res. 2012, 23, 114–117. [Google Scholar]
- Whitaker, B.K.; Christian, N.; Chai, Q.; Clay, K. Foliar fungal endophyte community structure is independent of phylogenetic relatedness in an Asteraceae common garden. Ecol. Evol. 2020, 10, 13895–13912. [Google Scholar] [CrossRef] [PubMed]
- Wei, C.C.; Chen, W.; He, C.C.; Guo, S.Y.; Cha, H.J.; Tsang, L.M.; Ho, T.W.; Ho, T.W. A highly diverse fungal community associated with leaves of the mangrove plant Acanthus ilicifolius var. xiamenensis revealed by isolation and metabarcoding analyses. PeerJ Comput. Sci. 2019, 7, e7293. [Google Scholar] [CrossRef]
- Xiong, C.; Zhu, Y.G.; Wang, J.T.; Singh, B.K.; Han, L.L.; Shen, J.P.; Wang, G.B.; Wu, C.F.; Ge, A.H.; Zhang, L.M. Host selection shapes crop microbiome assembly and network complexity. New Phytol. 2021, 229, 1091–1094. [Google Scholar] [CrossRef] [PubMed]
- Hyde, K.D.; Jones, E.B.G.; Liu, J.K.; Ariyawansa, H.; Boehm, E.; Boonmee, S.; Braun, U.; Chomnunti, P.; Crous, P.W.; Dai, D.Q.; et al. Families of Dothideomycetes. Fungal Divers. 2013, 63, 1–313. [Google Scholar] [CrossRef]
- Liao, Y.M.; Huang, Y.; Zou, C.W.; Huang, Q.; Wang, Z.W. Analysis of fungi diversity in root zone soil of banana plants. Guihaia 2020, 40, 99–107. [Google Scholar] [CrossRef]
- Abdulkareem, M.K.; Kimber, R.B.E.; Scott, E.S. Interactions between Ascochyta fabae and Cercospora zonata, fungal pathogens of faba bean. Australas. Plant Pathol. 2019, 48, 271–280. [Google Scholar] [CrossRef]
- Abdelfattah, A.; Wisniewski, M.; Schena, L.; Tack, A.J.M. Experimental evidence of microbial inheritance in plants and transmission routes from seed to phyllosphere and root. Environ. Microbiol. 2021, 23, 2199–2214. [Google Scholar] [CrossRef]
- Whipps, J.M.; Hand, P.; Pink, D.; Bending, G.D. Phyllosphere microbiology with special reference to diversity and plant genotype. Appl. Microbiol. 2008, 105, 1744–1755. [Google Scholar] [CrossRef]
- Toju, H.; Kurokawa, H.; Kenta, T. Factors Influencing Leaf- and Root-Associated Communities of Bacteria and Fungi Across 33 Plant Orders in a Grassland. Front. Microbiol. 2019, 10, 241. [Google Scholar] [CrossRef]
- Johnson, D.B.; Bacelar-Nicolau, P.; Okibe, N.; Thomas, A.; Hallberg, K.B. Ferrimicrobium acidiphilum gen. nov., sp. nov. and Ferrithrix thermotolerans gen. nov., sp. nov.: Heterotrophic, iron-oxidizing, extremely acidophilic actinobacteria. Int. J. Syst. Evol. Microbiol. 2009, 59, 1082–1089. [Google Scholar] [CrossRef]
- Kim, J.C.; Choi, G.J.; Park, J.H.; Kim, H.T.; Cho, K.Y. Activity against plant pathogenic fungi of phomalactone isolated from Nigrospora sphaerica. Pest. Manag. Sci. 2001, 57, 554–559. [Google Scholar] [CrossRef] [PubMed]
- He, J.W.; Chen, G.D.; Gao, H.; Yang, F.; Li, X.X.; Peng, T.; Guo, L.D.; Yao, X.S. Heptaketides with antiviral activity from three endolichenic fungal strains Nigrospora sp., Alternaria sp. and Phialophora sp. Fitoterapia 2012, 83, 1087–1091. [Google Scholar] [CrossRef] [PubMed]
- Naik, B.S.; Shashikala, J.; Krishnamurthy, Y.L. Study on the diversity of endophytic communities from rice (Oryza sativa L.) and their antagonistic activities in vitro. Microbiol. Res. 2009, 164, 290–296. [Google Scholar] [CrossRef] [PubMed]
- Cordier, T.; Robin, C.; Capdevielle, X.; Fabreguettes, O.; Desprez-Loustau, M.L.; Vacher, C. The composition of phyllosphere fungal assemblages of European beech (Fagus sylvatica) varies significantly along an elevation gradient. New Phytol. 2012, 196, 510–519. [Google Scholar] [CrossRef] [PubMed]
- Zimmerman, N.B.; Vitousek, P.M. Fungal endophyte communities reflect environmental structuring across a Hawaiian landscape. Proc. Natl. Acad. Sci. USA 2013, 109, 13022–13027. [Google Scholar] [CrossRef]
- Mishra, A.; Gond, S.K.; Kumar, A.; Sharma, V.K.; Verma, S.K.; Kharwar, R.N.; Sieber, T.N. Season and tissue type affect fungal endophyte communities of the Indian medicinal plant Tinospora cordifolia more strongly than geographic location. Microb. Ecol. 2012, 64, 388–398. [Google Scholar] [CrossRef]
- Walters, W.A.; Jin, Z.; Youngblut, N.; Wallace, J.G.; Sutter, J.; Zhang, W.; González-Peña, A.; Peiffer, J.; Koren, O.; Shi, Q.J.; et al. Large-scale replicated field study of maize rhizosphere identifies heritable microbes. Proc. Natl. Acad. Sci. USA 2018, 115, 7368–7373. [Google Scholar] [CrossRef]
- Hernández-Tasco, A.J.; Tronchini, R.A.; Apaza-Castillo, G.A.; Hosaka, G.K.; Quiñones, N.R.; Goulart, M.C.; Fantinatti-Garboggini, F.; Salvador, M.J. Diversity of bacterial and fungal endophytic communities presents in the leaf blades of Sinningia magnifica, Sinningia schiffneri and Sinningia speciosa from different cladus of Gesneriaceae family: A comparative analysis in three consecutive years. Microbiol. Res. 2023, 271, 127365. [Google Scholar] [CrossRef]
- Lucia, Z.; Tomas, V.; Adina, H.; Petr, B. Microbial activity in forest soil reflects the changes in ecosystem properties between summer and winter. Environ. Microbiol. 2016, 18, 288–301. [Google Scholar] [CrossRef]
- Heinonsalo, J.; Buée, M.; Vaario, L.M. Root-endophytic fungi cause morphological and functional differences in Scots pine roots in contrast to ectomycorrhizal fungi. Botany 2017, 95, 203–210. [Google Scholar] [CrossRef]
- Huang, W.Y.; Cai, Y.Z.; Hyde, K.D.; Corke, H.; Sun, M. Biodiversity of endophytic fungi associated with 29 traditional Chinese medicinal plants. Fungal Divers. 2008, 33, 61–75. [Google Scholar] [CrossRef]
- Röttjers, L.; Faust, K. From hairballs to hypotheses–biological insights from microbial networks. Expert. Rev. Mol. Med. 2018, 42, 761–780. [Google Scholar] [CrossRef]
- Xue, L.; Ren, H.; Brodribb, T.J.; Wang, J.; Yao, X.H.; Li, S. Long term effects of management practice intensification on soil microbial community structure and co-occurrence network in a nontimber plantation. Forest Ecol. Manag. 2020, 459, 117805. [Google Scholar] [CrossRef]
- Hz, A.; Ty, A.; Yb, A.; Zheng, H.P.; Yang, T.J.; Bao, Y.Z.; Wei, Z.; Xu, Y.C.; Shen, Q.; Banerjee, S. Network analysis and subsequent culturing reveal keystone taxa involved in microbial litter decomposition dynamics. Soil. Biol. Biochem. 2021, 157, 108230. [Google Scholar] [CrossRef]
- Sun, X.; Wang, S.P.; Lin, Q.Y.; Zhou, J.Z.; Yang, Y.F. Molecular ecological network analyses revealing the effects of livestock grazing on soil microbial community in the Tibetan grassland. Microbiol. Chin. 2015, 42, 1818–1831. [Google Scholar]
- Hu, Z.E.; Xiao, M.L.; Ding, J.N.; Ji, J.H.; Chen, J.P.; Ge, T.D.; Lu, S.B. Response characteristics of soil microbial community under long-term film mulching. Environ. Sci. 2022, 43, 4745–4754. [Google Scholar]
- Barnes, C.J.; van der Gast, C.J.; Burns, C.A.; McNamara, N.P.; Bending, G.D. Temporally variable geographical distance effects contribute to the assembly of root-associated fungal communities. Front. Microbiol. 2016, 7, 195. [Google Scholar] [CrossRef]
- Vacher, C.; Hampe, A.; Porte, A.J.; Sauer, U.; Compant, S.; Morris, C.E. The phyllosphere: Microbial jungle at the plant-climate interface. Annu. Rev. Ecol. Evol. Syst. 2016, 47, 1–24. [Google Scholar] [CrossRef]
- Coyte, K.Z.; Schluter, J.; Foster, K.R. The ecology of the microbime: Networks, competition, and stability. Science 2015, 350, 663–666. [Google Scholar] [CrossRef]
- Banerjee, S.; Walder, F.; Buchi, L.; Meyer, M.; Held, A.Y.; Gattinger, A.; Keller, T.; Charles, R.; van der Heijden, M.G.A. Agricultural intensification reduces microbial network complexity and the abundance of keystone taxa in roots. ISME J. 2019, 13, 1722–1736. [Google Scholar] [CrossRef]
- Lemanceau, P.; Blouin, M.; Muller, D.; Moënne-Loccoz, Y. Let the core microbiota be functional. Trends Plant Sci. 2017, 22, 583–595. [Google Scholar] [CrossRef] [PubMed]
- Banerjee, S.; Schlaeppi, K.; van der Heijden, M. Keystone taxa as drivers of microbiome structure and functioning. Nat. Rev. Microbiol. 2018, 16, 567–576. [Google Scholar] [CrossRef] [PubMed]
- Foster, K.R.; Schluter, J.; Coyte, K.Z.; Rakoff-Nahoum, S. The evolution of the host microbiome as an ecosystem on a leash. Nature 2017, 548, 43–51. [Google Scholar] [CrossRef] [PubMed]
- Zhu, Z.B.; Fan, J.Y.; Guo, Q.S.; Liu, Z.Y.; Zhu, G.S. The growth and medicinal quality of Epimedium wushanense are improved by an isolate of dark septate fungus. Pharm. Biol. 2015, 53, 1344–1351. [Google Scholar] [CrossRef] [PubMed]
- Li, X.; Zhang, X.; Xu, M.H.; Ye, Q.N.; Gao, H.L.; He, X.L. Improved tolerance of Artemisia ordosica to drought stress via dark septate endophyte (DSE) symbiosis. J. Fungi 2022, 8, 730. [Google Scholar] [CrossRef] [PubMed]
- Kogel, K.H.; Franken, P.; Hückelhoven, R. Endophyte or parasite-what decides? Curr. Opin. Plant Biol. 2006, 9, 358–363. [Google Scholar] [CrossRef]
- Saikkonen, K.; Mikola, J.; Helander, M. Endophytic phyllosphere fungi and nutrient cycling in terrestrial ecosystems. Curr. Sci. 2015, 109, 121–126. [Google Scholar]
- Van Kan, J.A. Licensed to kill: The lifestyle of a necrotrophic plant pathogen. Trends Plant Sci. 2006, 11, 247–253. [Google Scholar] [CrossRef]











| Variables | ALL Samples | |
|---|---|---|
| R2 (%) | Pr (>F) | |
| Plant species | 14.76 | 0.001 |
| Tissue niche | 5.57 | 0.001 |
| Season | 5.46 | 0.001 |
| Plant species * Tissue niche | 30.60 | 0.001 |
| Plant species * Season | 28.90 | 0.001 |
| Tissue niche * Season | 16.17 | 0.001 |
| Plant species * Tissue niche * Season | 62.22 | 0.001 |
| Leaf | Root | BC | SM | AM | AL | LJ | June | November | Total | |
|---|---|---|---|---|---|---|---|---|---|---|
| Nodes | 90 | 93 | 84 | 95 | 91 | 96 | 95 | 92 | 97 | 85 |
| Edges | 718 | 235 | 243 | 554 | 263 | 593 | 390 | 345 | 364 | 165 |
| Clustering coefficient | 0.597 | 0.422 | 0.653 | 0.719 | 0.690 | 0.671 | 0.638 | 0.511 | 0.549 | 0.431 |
| Network density | 0.179 | 0.055 | 0.070 | 0.295 | 0.100 | 0.141 | 0.110 | 0.094 | 0.078 | 0.082 |
| Network heterogeneity | 0.742 | 0.598 | 0.500 | 0.631 | 0.428 | 0.639 | 0.617 | 0.722 | 0.582 | 0.560 |
| Network centralization | 0.276 | 0.099 | 0.089 | 0.193 | 0.071 | 0.148 | 0.131 | 0.233 | 0.101 | 0.110 |
| Network diameter | 8 | 10 | 11 | 9 | 13 | 10 | 9 | 12 | 10 | 12 |
| Average shortest path length | 2.670 | 4.318 | 4.979 | 3.168 | 5.572 | 3.959 | 3.584 | 3.819 | 3.936 | 4.583 |
Disclaimer/Publisher’s Note: The statements, opinions and data contained in all publications are solely those of the individual author(s) and contributor(s) and not of MDPI and/or the editor(s). MDPI and/or the editor(s) disclaim responsibility for any injury to people or property resulting from any ideas, methods, instructions or products referred to in the content. |
© 2023 by the authors. Licensee MDPI, Basel, Switzerland. This article is an open access article distributed under the terms and conditions of the Creative Commons Attribution (CC BY) license (https://creativecommons.org/licenses/by/4.0/).
Share and Cite
He, C.; Meng, D.; Li, W.; Li, X.; He, X. Dynamics of Endophytic Fungal Communities Associated with Cultivated Medicinal Plants in Farmland Ecosystem. J. Fungi 2023, 9, 1165. https://doi.org/10.3390/jof9121165
He C, Meng D, Li W, Li X, He X. Dynamics of Endophytic Fungal Communities Associated with Cultivated Medicinal Plants in Farmland Ecosystem. Journal of Fungi. 2023; 9(12):1165. https://doi.org/10.3390/jof9121165
Chicago/Turabian StyleHe, Chao, Deyao Meng, Wanyun Li, Xianen Li, and Xueli He. 2023. "Dynamics of Endophytic Fungal Communities Associated with Cultivated Medicinal Plants in Farmland Ecosystem" Journal of Fungi 9, no. 12: 1165. https://doi.org/10.3390/jof9121165
APA StyleHe, C., Meng, D., Li, W., Li, X., & He, X. (2023). Dynamics of Endophytic Fungal Communities Associated with Cultivated Medicinal Plants in Farmland Ecosystem. Journal of Fungi, 9(12), 1165. https://doi.org/10.3390/jof9121165

