Detection Method of Fungal Spores Based on Fingerprint Characteristics of Diffraction–Polarization Images
Abstract
:1. Introduction
2. Materials and Methods
2.1. Sample Preparation
2.2. Diffraction–Polarization Fingerprint Image Acquisition System
2.3. Methods of Collecting Fungal Spores
2.4. Collection of Diffraction–Polarization Fingerprint Images for Fungal Spores
2.5. Collection and Processing of Spore Diffraction–Polarization Images
2.6. Feature Extraction of Airborne Disease Spore Diffraction–Polarization Fingerprint Image
2.7. Evaluation Index
2.8. Statistical Analysis Software
3. Results and Discussion
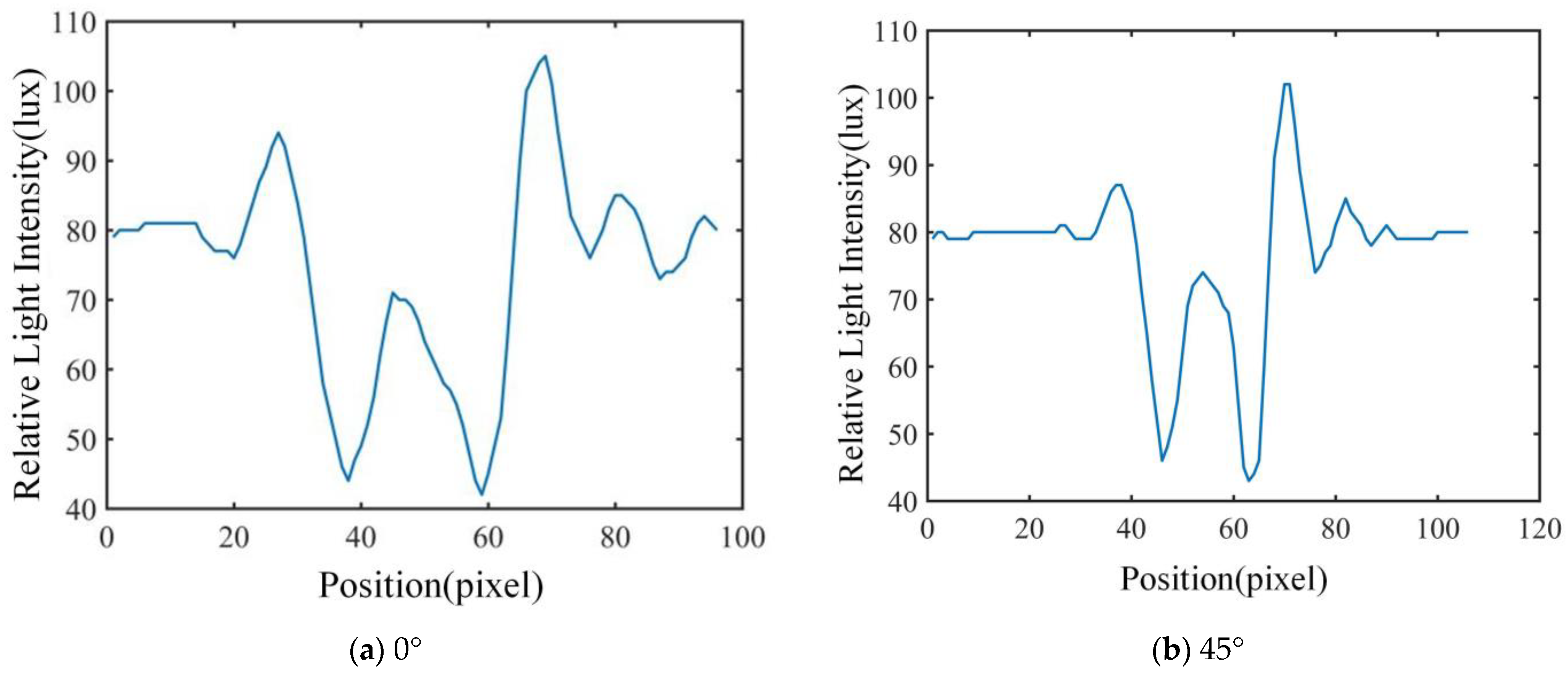
3.1. Results for Feature Extraction
3.2. Classification Results of Airborne Disease Spores
4. Conclusions
Author Contributions
Funding
Data Availability Statement
Conflicts of Interest
References
- Gong, X.; Liu, H.; Sun, J.; Gao, Y.; Zhang, H. Comparison of Shuttleworth-Wallace model and dual crop coefficient method for estimating evapotranspiration of tomato cultivated in a solar greenhouse. Agric. Water Manag. 2019, 217, 141–153. [Google Scholar] [CrossRef]
- Tiwari, R.K.; Lal, M.K.; Naga, K.C.; Kumar, R.; Chourasia, K.N.; Subhash, S.; Kumar, D.; Sharma, S. Emerging roles of melatonin in mitigating abiotic and biotic stresses of horticultural crops. Sci. Hortic. 2020, 272, 109592. [Google Scholar] [CrossRef]
- Wang, T.; Wu, G.; Chen, J.; Cui, P.; Chen, Z.; Yan, Y.; Zhang, Y.; Li, M.; Niu, D.; Li, B.; et al. Integration of solar technology to modern greenhouse in China: Current status, challenges and prospect. Renew. Sustain. Energy Rev. 2017, 70, 1178–1188. [Google Scholar] [CrossRef]
- Bandamaravuri, K.B.; Nayak, A.K.; Bandamaravuri, A.S.; Samad, A. Simultaneous detection of downy mildew and powdery mildew pathogens on Cucumis sativus and other cucurbits using duplex-qPCR and HRM analysis. AMB Express 2020, 10, 1–11. [Google Scholar] [CrossRef] [PubMed]
- Zhang, C.; Li, X.; Yan, H.; Ullah, I.; Zuo, Z.; Li, L.; Yu, J. Effects of irrigation quantity and biochar on soil physical properties, growth characteristics, yield and quality of greenhouse tomato. Agric. Water Manag. 2020, 241, 106263. [Google Scholar] [CrossRef]
- Zhao, H.; Zhao, Y.; Hu, J. Dissipation, residues and risk assessment of pyraclostrobin and picoxystrobin in cucumber under field conditions. J. Sci. Food Agric. 2020, 100, 5145–5151. [Google Scholar] [CrossRef] [PubMed]
- Miao, Y.; Luo, X.; Gao, X.; Wang, W.; Li, B.; Hou, L. Exogenous salicylic acid alleviates salt stress by improving leaf photosynthesis and root system architecture in cucumber seedlings. Sci. Hortic. 2020, 272, 109577. [Google Scholar] [CrossRef]
- Kim, T.Y.; Ku, H.; Lee, S.-Y. Crop Enhancement of Cucumber Plants under Heat Stress by Shungite Carbon. Int. J. Mol. Sci. 2020, 21, 4858. [Google Scholar] [CrossRef]
- Xie, C.; Yang, C.; He, Y. Hyperspectral imaging for classification of healthy and gray mold diseased tomato leaves with different infection severities. Comput. Electron. Agric. 2017, 135, 154–162. [Google Scholar] [CrossRef]
- Wallace, E.C.; D’Arcangelo, K.N.; Quesada-Ocampo, L.M. Population Analyses Reveal Two Host-Adapted Clades of Pseudoperonospora cubensis, the Causal Agent of Cucurbit Downy Mildew, on Commercial and Wild Cucurbits. Phytopathology 2020, 110, 1578–1587. [Google Scholar] [CrossRef]
- Sireesha, Y.; Velazhahan, R. Rapid and specific detection of Peronosclerospora sorghi in maize seeds by conventional and real-time PCR. Eur. J. Plant Pathol. 2017, 150, 521–526. [Google Scholar] [CrossRef]
- Lei, Y.; Yao, Z.; He, D. Automatic detection and counting of urediniospores of Puccinia striiformis f. sp. tritici using spore traps and image processing. Sci. Rep. 2018, 8, 13647. [Google Scholar] [CrossRef] [PubMed]
- Lei, Y.; Yao, Z.F.; He, D.J. Design and Experiment of Micro-image Remote Acquisition System of Uredinispores of Puccinia striiformis f.sp. Tritici. Trans. Chin. Soc. Agric. Mach. 2018, 49, 39–47. [Google Scholar] [CrossRef]
- Yang, N.; Qian, Y.; El-Mesery, H.S.; Zhang, R.; Wang, A.; Tang, J. Rapid detection of rice disease using microscopy image identification based on the synergistic judgment of texture and shape features and decision tree–confusion matrix method. J. Sci. Food Agric. 2019, 99, 6589–6600. [Google Scholar] [CrossRef]
- Luo, Y.; Joung, H.-A.; Esparza, S.; Rao, J.; Garner, O.; Ozcan, A. Quantitative particle agglutination assay for point-of-care testing using mobile holographic imaging and deep learning. Lab Chip 2021, 21, 3550–3558. [Google Scholar] [CrossRef] [PubMed]
- Wang, Y.; Mao, H.; Xu, G.; Zhang, X.; Zhang, Y. A Rapid Detection Method for Fungal Spores from Greenhouse Crops Based on CMOS Image Sensors and Diffraction Fingerprint Feature Processing. J. Fungi 2022, 8, 374. [Google Scholar] [CrossRef] [PubMed]
- Yang, L.; Chen, W.; Bi, P.; Tang, H.; Zhang, F.; Wang, Z. Improving vegetation segmentation with shadow effects based on double input networks using polarization images. Comput. Electron. Agric. 2022, 199, 107123. [Google Scholar] [CrossRef]
- Meng, J.; Ren, W.; Yu, R.; Wu, D.; Zhang, R.; Xie, Y.; Wang, J. Contrast enhanced color polarization image fusion. Optik 2023, 284, 170935. [Google Scholar] [CrossRef]
- Zhao, Y.; Reda, M.; Feng, K.; Zhang, P.; Cheng, G.; Ren, Z.; Kong, S.G.; Su, S.; Huang, H.; Zang, J. Detecting Giant Cell Tumor of Bone Lesions Using Mueller Matrix Polarization Microscopic Imaging and Multi-Parameters Fusion Network. IEEE Sens. J. 2020, 20, 7208–7215. [Google Scholar] [CrossRef]
- Jiang, W.; Lu, J.Q.; Yang, L.V.; Sa, Y.; Feng, Y.; Ding, J.; Hu, X.-H. Comparison study of distinguishing cancerous and normal prostate epithelial cells by confocal and polarization diffraction imaging. J. Biomed. Opt. 2015, 21, 071102. [Google Scholar] [CrossRef]
- Eskandari, S.; Khoshgoftarmanesh, A.H.; Sharifnabi, B. The Effect of Foliar-Applied Manganese in Mineral and Complex Forms with Amino Acids on Certain Defense Mechanisms of Cucumber (Cucumis sativus L.) Against Powdery Mildew. J. Plant Growth Regul. 2017, 37, 481–490. [Google Scholar] [CrossRef]
- Jia, Z.M.; Liu, F.; Mu, W.; Wei, G.; Liu, Y.L. Study on the inoculation and fungicide sensitivity assay method of Sphaerotheca on cucumber. Acta Phytophylacica Sin. 2006, 33, 99–103. [Google Scholar]
- Gül, E.; Karakaya, A.; Ergül, A. Determination of the frequency and virulence of some Botrytis cinerea isolates and a new Botrytis prunorum cryptic species causing gray mold disease on greenhouse tomatoes. Plant Pathol. 2023, 72, 1226–1235. [Google Scholar] [CrossRef]
- Yu, Z.; Li, Y.; Deng, L.; Luo, B.; Wu, P.; Geng, D. A high-performance cell-phone based polarized microscope for malaria diagnosis. J. Biophotonics 2023, 16, e202200290. [Google Scholar] [CrossRef] [PubMed]
- Xiao, W.; Xin, L.; Cao, R.; Wu, X.; Tian, R.; Che, L.; Sun, L.; Ferraro, P.; Pan, F. Sensing morphogenesis of bone cells under microfluidic shear stress by holographic microscopy and automatic aberration compensation with deep learning. Lab Chip 2021, 21, 1385–1394. [Google Scholar] [CrossRef]
- Prasobhkumar, P.P.; Venukumar, A.; Francis, C.R.; Gorthi, S.S. Pebrine diagnosis using quantitative phase imaging and machine learning. J. Biophotonics 2021, 14, e202100044. [Google Scholar] [CrossRef]
- Lin, Y.-H.; Huang, H.-H.; Wang, Y.-J.; Hsieh, H.-A.; Chen, P.-L. Image-based polarization detection and material recognition. Opt. Express 2022, 30, 39234–39243. [Google Scholar] [CrossRef]
- Su, Y.Y.; Jin, Z.X.; Cui, Y.X. Effects of two elicitors on disease resistance and rhizosphere bacterial community of tomato. J. Biol. 2021, 38, 73–77. [Google Scholar] [CrossRef]
- Zhang, J.; Pan, C.; Liu, S.; Kou, Y.; Tang, J.; Wang, Y.; Yang, N.; Huang, R. Crop Disease Source Location and Monitoring System Based on Diffractive Light Identification Airborne Spore Sensor Network. IEEE Internet Things J. 2021, 9, 11030–11042. [Google Scholar] [CrossRef]
- Vijayaragavan, P.; Ponnusamy, R.; Aramudhan, M. An optimal support vector machine based classification model for sentimental analysis of online product reviews. Future Gener. Comput. Syst. 2020, 111, 234–240. [Google Scholar] [CrossRef]
- Almoujahed, M.B.; Rangarajan, A.K.; Whetton, R.L.; Vincke, D.; Eylenbosch, D.; Vermeulen, P.; Mouazen, A.M. Detection of fusarium head blight in wheat under field conditions using a hyperspectral camera and machine learning. Comput. Electron. Agric. 2022, 203, 107456. [Google Scholar] [CrossRef]
- Wang, Y.; Du, X.; Ma, G.; Liu, Y.; Wang, B.; Mao, H. Classification Methods for Airborne Disease Spores from Greenhouse Crops Based on Multifeature Fusion. Appl. Sci. 2020, 10, 7850. [Google Scholar] [CrossRef]
- Deng, J.Z.; Li, M.; Yuan, Z.B.; Jin, J.; Huang, H.S. Feature extraction and classification of Tilletia diseases based on image recognition. Trans. CSAE 2012, 28, 176. [Google Scholar] [CrossRef]
- Liu, H.; Ji, R.H.; Qi, L.J.; Ma, W.; Gao, C.H. Spores of marigold black spot identification based on PCA and BP neural network. J. Chian Agric. Univ. 2015, 20, 263–268. [Google Scholar] [CrossRef]
- Yang, N.; Yu, J.; Wang, A.; Tang, J.; Zhang, R.; Xie, L.; Shu, F.; Kwabena, O.P. A rapid rice blast detection and identification method based on crop disease spores’ diffraction fingerprint texture. J. Sci. Food Agric. 2020, 100, 3608–3621. [Google Scholar] [CrossRef]











| Feature | Relative Light-Intensity Distribution Value | |||
|---|---|---|---|---|
| Cucumber Downy Mildew Spores | Cucumber Powdery Mildew Spores | Tomato Gray Mold Spores | ||
| Central value (C) | 0° | 84–93 | 67–74 | 112–119 |
| 45° | 87–96 | 69–78 | 117–126 | |
| 90° | 93–104 | 65–73 | 109–117 | |
| 135° | 88–97 | 68–75 | 115–124 | |
| Wave peak value (P) | 0° | 111–119 | 93–108 | 138–149 |
| 45° | 121–132 | 84–105 | 147–161 | |
| 90° | 117–129 | 91–104 | 149–158 | |
| 135° | 112–124 | 98–112 | 151–167 | |
| Valley value (V) | 0° | 67–75 | 41–49 | 73–85 |
| 45° | 70–78 | 43–51 | 71–84 | |
| 90° | 69–82 | 38–47 | 78–89 | |
| 135° | 62–74 | 40–47 | 76–87 | |
| Spore Species | Basic Indicators | |||
|---|---|---|---|---|
| TP | TN | FP | FN | |
| Gray mold spores | 56 | 113 | 3 | 4 |
| Downy mildew spores | 55 | 114 | 4 | 5 |
| Powdery mildew spores | 58 | 111 | 4 | 2 |
| Spore Species | Performance Index | |||
|---|---|---|---|---|
| Accuracy | Precision | Recall | F1-Score | |
| Gray mold spores | 96.02 | 94.92 | 93.33 | 94.12 |
| Downy mildew spores | 94.94 | 93.22 | 91.67 | 92.44 |
| Powdery mildew spores | 96.57 | 93.55 | 96.67 | 95.08 |
Disclaimer/Publisher’s Note: The statements, opinions and data contained in all publications are solely those of the individual author(s) and contributor(s) and not of MDPI and/or the editor(s). MDPI and/or the editor(s) disclaim responsibility for any injury to people or property resulting from any ideas, methods, instructions or products referred to in the content. |
© 2023 by the authors. Licensee MDPI, Basel, Switzerland. This article is an open access article distributed under the terms and conditions of the Creative Commons Attribution (CC BY) license (https://creativecommons.org/licenses/by/4.0/).
Share and Cite
Wang, Y.; Zhang, X.; Taha, M.F.; Chen, T.; Yang, N.; Zhang, J.; Mao, H. Detection Method of Fungal Spores Based on Fingerprint Characteristics of Diffraction–Polarization Images. J. Fungi 2023, 9, 1131. https://doi.org/10.3390/jof9121131
Wang Y, Zhang X, Taha MF, Chen T, Yang N, Zhang J, Mao H. Detection Method of Fungal Spores Based on Fingerprint Characteristics of Diffraction–Polarization Images. Journal of Fungi. 2023; 9(12):1131. https://doi.org/10.3390/jof9121131
Chicago/Turabian StyleWang, Yafei, Xiaodong Zhang, Mohamed Farag Taha, Tianhua Chen, Ning Yang, Jiarui Zhang, and Hanping Mao. 2023. "Detection Method of Fungal Spores Based on Fingerprint Characteristics of Diffraction–Polarization Images" Journal of Fungi 9, no. 12: 1131. https://doi.org/10.3390/jof9121131
APA StyleWang, Y., Zhang, X., Taha, M. F., Chen, T., Yang, N., Zhang, J., & Mao, H. (2023). Detection Method of Fungal Spores Based on Fingerprint Characteristics of Diffraction–Polarization Images. Journal of Fungi, 9(12), 1131. https://doi.org/10.3390/jof9121131
