The Relationship between Ectomycorrhizal Fungi, Nitrogen Deposition, and Pinus massoniana Seedling Nitrogen Transporter Gene Expression and Nitrogen Uptake Kinetics
Abstract
1. Introduction
2. Materials and Methods
2.1. Research Site
2.2. Ectomycorrhizal fungi and Plant Materials
2.3. Root Absorbing Area
2.4. Nitrogen Uptake Kinetics
2.5. qPCR
2.6. Data Analysis
3. Results
3.1. Root Activity and Absorbing Area
3.2. NH4+ Uptake Kinetics
3.3. NO3− Uptake Kinetics
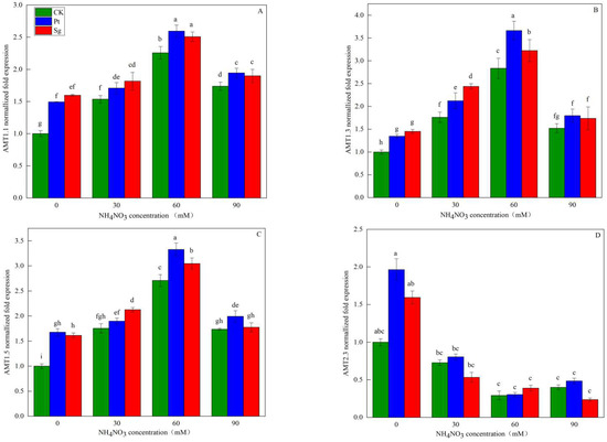
3.4. Root AMT Gene Expression
3.5. Root NRT Gene Expression
4. Discussion
4.1. Root Activity and Absorbing Area
4.2. NH4+ and NO3− Uptake Kinetics
4.3. NH4+ and NO3− Transporter Gene Expression
5. Conclusions
Author Contributions
Funding
Institutional Review Board Statement
Informed Consent Statement
Data Availability Statement
Conflicts of Interest
References
- Fowler, D.; Pyle, J.A.; Raven, J.A.; Sutton, M.A. The global nitrogen cycle in the twenty-first century: Introduction. Philos. Trans. R. Soc. 2013, 368, 20130165. [Google Scholar] [CrossRef]
- Fu, W.; Wu, H.; Zhao, A.H.; Hao, Z.P.; Chen, B.D. Ecological impacts of nitrogen deposition on terrestrial ecosystems: Research progresses and prospects. Chin. J. Plant Ecol. 2020, 44, 475–493. [Google Scholar] [CrossRef]
- Yu, G.; Jia, Y.; He, N.; Zhu, J.; Chen, Z.; Wang, Q.; Piao, S.; Liu, X.; He, H.; Guo, X.; et al. Stabilization of atmospheric nitrogen deposition in China over the past decade. Nat. Geoence. 2019, 12, 424–429. [Google Scholar] [CrossRef]
- Fan, H.; Liao, Y.; Liu, W.; Yuan, Y.; Li, Y.; Huang, R. Effects of simulated nitrogen deposition on nutrient balance of Chinese fir (Cunninghamia lanceolata) seedlings. Acta Ecol. Sin. 2011, 31, 3277–3284. [Google Scholar]
- Mechri, B.; Cheheb, H.; Boussadia, O.; Attia, F.; Mariem, F.B.; Braham, M.; Hammami, M. Effects of agronomic application of olive mill wastewater in a field of olive trees on carbohydrate profiles, chlorophyll a fluorescence and mineral nutrient content. Environ. Exp. Bot. 2011, 71, 184–191. [Google Scholar] [CrossRef]
- Smethurst, C.F.; Garnett, T.; Shabala, S. Nutritional and chlorophyll fluorescence responses of lucerne (Medicago sativa) to waterlogging and subsequent recovery. Plant Soil. 2005, 270, 31–45. [Google Scholar] [CrossRef]
- Ahmad, I.; Dole, J.M.; Nelson, P. Nitrogen application rate, leaf position and age affect leaf nutrient status of five specialty cut flowers. Sci. Hortic. 2012, 142, 14–22. [Google Scholar] [CrossRef]
- Finzi, A.C.; Berthrong, S.T. The uptake of amino acids by microbes and trees in three cold-temperate forests. Ecology 2005, 86, 3345–3353. [Google Scholar] [CrossRef]
- Kieloaho, A.J.; Pihlatie, M.; Carrasco, M.D.; Kanerva, S.; Parshintsev, J.; Riekkola, M.L.; Pumoanen, J.; Heinonsalo, J. Stimulation of soil organic nitrogen pool: The effect of plant and soil organic matter degrading enzymes. Soil Biol. Biochem. 2016, 96, 97–106. [Google Scholar] [CrossRef]
- Rennenberg, H.; Wildhagen, H.; Ehlting, B. Nitrogen nutrition of poplar trees. Plant Biol. 2010, 12, 275–291. [Google Scholar] [CrossRef]
- Zhu, F.; Dai, L.; Hobbie, E.A.; Koba, K.; Liu, X.; Gurmesa, G.A.; Huang, S.; Li, S.; Li, Y.; Han, S.; et al. Uptake patterns of glycine, ammonium, and nitrate differ among four common tree species of northeast China. Front. Plant Sci. 2019, 10, 799. [Google Scholar] [CrossRef] [PubMed]
- Claassen, N.; Barber, S.A. A method for characterizing the relation between nutrient concentration and flux into roots of intact plants. Plant Physiol. 1974, 54, 564–568. [Google Scholar] [CrossRef] [PubMed]
- Rothstein, D.E.; Zak, D.R.; Pregitzer, K.S.; Curtis, P.S. Kinetics of nitrogen uptake by Populus tremuloides in relation to atmospheric CO2 and soil nitrogen availability. Tree Physiol. 2000, 20, 265–270. [Google Scholar] [CrossRef] [PubMed]
- Yuan, J.C.; Li, P.H.; Cheng, H.; Zheng, S.L. Root vigor and kinetic characteristics and nitrogen use efficiencies of different potato (Solanum tuberosum L.) cultivars. J. Agr. Sci. Technol. 2018, 18, 399–410. [Google Scholar]
- Song, S.; Li, G.; Sun, G.; Liu, H.; Chen, R. Uptake kinetics of different nitrogen forms by Chinese kale. Commun. Soil Sci. Plant Anal. 2016, 47, 1372–1378. [Google Scholar] [CrossRef]
- Tegeder, M.; Masclaux-Daubresse, C. Source and sink mechanisms of nitrogen transport and use. New Phytol. 2018, 217, 35–53. [Google Scholar] [CrossRef]
- Kronzucker, H.J.; Siddiqi, M.Y.; Glass, A.D. Kinetics of NH4+ influx in spruce. Plant Physiol. 1996, 110, 773–779. [Google Scholar] [CrossRef]
- Miller, A.J.; Cramer, M.D. Root nitrogen acquistion and assimilation. Plant Soil. 2004, 274, 1–36. [Google Scholar] [CrossRef]
- Camañes, G.; Cerezo, M.; Primo-Millo, E.; Gojon, A.; García-Agustín, P. Ammonium transport and CitAMT1 expression are regulated by N in Citrus plants. Planta. 2009, 229, 331–342. [Google Scholar] [CrossRef]
- Teramoto, M.; Wu, B.; Hogetsu, T. Pathway and sink activity for photosynthate translocation in Pisolithus extraradical mycelium of ectomycorrhizal Pinus thunbergii seedlings. Mycorrhiza 2016, 26, 453–464. [Google Scholar] [CrossRef]
- Stuart, E.K.; Plett, K.L. Digging deeper: In search of the mechanisms of carbon and nitrogen exchange in ectomycorrhizal symbioses. Front. Plant Sci. 2020, 1658, 1–11. [Google Scholar] [CrossRef] [PubMed]
- Mayerhofer, W.; Schintlmeister, A.; Dietrich, M.; Gorka, S.; Wiesenbauer, J.; Martin, V.; Gabriel, R.; Reipert, S.; Weidinger, M.; Clode, P.; et al. Recently photoassimilated carbon and fungal-delivered nitrogen are spatially correlated at the cellular scale in the ectomycorrhizal tissue of Fagus sylvatica. New Phytol. 2021, 232, 2457–2474. [Google Scholar] [CrossRef] [PubMed]
- Munzarova, E.; Lorenzen, B.; Brix, H.; Vojtiskova, L.; Votrubova, O. Effect of NH4+/NO3− availability on nitrate reductase activity and nitrogen accumulation in wetland helophytes Phragmites australis and Glyceria maxima. Environ. Exp. Bot. 2006, 55, 49–60. [Google Scholar] [CrossRef]
- Song, M.H.; Zheng, L.L.; Suding, K.N.; Yin, T.F.; Yu, F.H. Plasticity in nitrogen form uptake and preference in response to long-term nitrogen fertilization. Plant Soil. 2015, 394, 215–224. [Google Scholar] [CrossRef]
- Makarov, M.I. The role of mycorrhiza in transformation of nitrogen compounds in soil and nitrogen nutrition of plants: A review. Eur. Soil. Sci. 2019, 52, 193–205. [Google Scholar] [CrossRef]
- Selle, A.; Willmann, M.; Grunze, N.; Geßler, A.; Weiß, M.; Nehls, U. The high-affinity poplar ammonium importer PttAMT1.2 and its role in ectomycorrhizal symbiosis. New Phytol. 2005, 168, 697–706. [Google Scholar] [CrossRef]
- Meng, S.; Wang, S.; Quan, J.; Su, W.; Lian, C.; Wang, D.; Xia, X.; Yin, W. Distinct carbon and nitrogen metabolism of two contrasting poplar species in response to different N supply levels. Int. J. Mol. Sci. 2018, 19, 2302–2325. [Google Scholar] [CrossRef]
- Wang, G.; Tian, D.; Yan, W.; Zhu, F.; Li, S. Response of soil respirations to litterfall exclusion and addition in Pinus massoniana plantation in Hunan, China. Sci. Silvae Sin. 2009, 45, 27–30. [Google Scholar]
- Chen, L. Studies on symbiotic mycorrhiza fungi with masson pine. For. Res. 1989, 2, 357–362. [Google Scholar]
- Chen, L.; Pei, Z. Selection of mycorrhiza fungi with masson pine and their inoculation-effects in the nursery. For. Res. 1989, 5, 65–70. [Google Scholar]
- Wang, Y.; Tu, G. Effects of drought and rewatering on physiological properties of five species of Pinus massoniana seedlings. J. Cent. South Univ. 2021, 41, 20–30. [Google Scholar]
- Deng, X.; Shi, Z.; Zeng, L.; Lei, L.; Xin, X.; Xiao, W.F. Photosynthetic Product Allocations to the Organs of Pinus massoniana Are Not Affected by Differences in Synthesis or Temporal Variations in Translocation Rates. Forests 2021, 12, 471. [Google Scholar] [CrossRef]
- Ge, X.; Zeng, L.; Xiao, W.; Huag, Z.; Zhou, B. Relationship between leaf 1itter decomposition and soil C, N stoichiometry in difkrent-aged Pinus massioniana stands exposed to simulated nitrogen deposition. Acta Ecol. Sin. 2017, 37, 1147–1158. [Google Scholar]
- Ding, X.K.; Wang, Y.Q.; Han, Y.G.; Fu, J. Evaluating of net anthropogenic nitrogen inputs and its influencing factors in the Three Gorges Reservoir Area. China Environ. Sci. 2020, 40, 206–216. [Google Scholar]
- Azcón, R.; Ambrosano, E.; Charest, C. Nutrient acquisition in mycorrhizal lettuce plants under different phosphorus and nitrogen concentration. Plant Sci. 2003, 165, 1137–1145. [Google Scholar] [CrossRef]
- Lu, X.; Mao, Q.; Gilliam, F.; Luo, Y.; Mo, J. Nitrogen deposition contributes to soil acidification in tropical ecosystems. Glob. Change Biol. 2015, 20, 3790–3801. [Google Scholar] [CrossRef] [PubMed]
- Qi, W.Z.; Liu, H.H.; Liu, P.; Dong, S.T.; Zhao, B.Q.; So, H.B.; Li, G.; Liu, H.; Zhang, J.; Zhao, B. Morphological and physiological characteristics of corn (Zea mays L.) roots from cultivars with different yield potentials. Eur. J. Agron. 2012, 38, 54–63. [Google Scholar] [CrossRef]
- Melino, V.J.; Fiene, G.; Enju, A.; Cai, J.; Buchner, P.; Heuer, S. Genetic diversity for root plasticity and nitrogen uptake in wheat seedlings. Funct. Plant Biol. 2015, 42, 942–956. [Google Scholar] [CrossRef]
- Wu, F.; Zhang, H.; Fang, F.; Wu, N.; Zhang, Y.; Tang, M. Effects of nitrogen and exogenous Rhizophagus irregularis on the nutrient status, photosynthesis and leaf anatomy of Populus × canadensis ‘Neva’. J. Plant Growth Regul. 2017, 36, 824–835. [Google Scholar] [CrossRef]
- Steppe, T.F.; Olson, J.B.; Paerl, H.W.; Litaker, R.W.; Belnap, J. Consortial N2 fixation: A strategy for meeting nitrogen requirements of marine and terrestrial cyanobacterial mats. FEMS Microbiol. Ecol. 1996, 21, 149–156. [Google Scholar] [CrossRef]
- Hodge, A.; Fitter, A.H. Substantial nitrogen acquisition by arbuscular mycorrhizal fungi from organic material has implications for N cycling. Proc. Natl. Acad. Sci. USA 2010, 107, 13754–13759. [Google Scholar] [CrossRef]
- Ngwene, B.; Gabriel, E.; George, E. Influence of different mineral nitrogen sources (NO3−-N vs. NH4+-N) on arbuscular mycorrhiza development and N transfer in a Glomus intraradices–cowpea symbiosis. Mycorrhiza 2013, 23, 107–117. [Google Scholar] [CrossRef] [PubMed]
- Likens, G.E.; Driscoll, C.T.; Buso, D.C. Long-term effects of acid rain: Response and recovery of a forest ecosystem. Science 1996, 272, 244–246. [Google Scholar] [CrossRef]
- Zhang, T.; Wen, X.; Ding, G. Ectomycorrhizal symbiosis enhances tolerance to low phosphorous through expression of phosphate transporter genes in masson pine (Pinus massoniana). Acta Physiol. Plant 2017, 39, 101. [Google Scholar] [CrossRef]
- Plett, K.L.; Singan, V.R.; Wang, M.; Ng, V.; Grigoriev, I.V.; Martin, F.; Plett, J.; Anderson, I.C. Inorganic nitrogen availability alters Eucalyptus grandis receptivity to the ectomycorrhizal fungus Pisolithus albus but not symbiotic nitrogen transfer. New Phytol. 2020, 226, 221–231. [Google Scholar] [CrossRef]
- Näsholm, T.; Högberg, P.; Franklin, O.; Metcalfe, D.; Keel, S.G.; Campbell, C.; Högberg, M.N. Are ectomycorrhizal fungi alleviating or aggravating nitrogen limitation of tree growth in boreal forests? New Phytol. 2013, 198, 214–221. [Google Scholar] [CrossRef] [PubMed]
- Sun, M.; Lu, X.; Cao, X. Effect of Different Nitrogen Forms on Root Growth and Dynamic Kinetics Characteristics for Citrus sinensis × Poncirus trifoliata. Sci. Silvae Sin. 2015, 51, 113–120. [Google Scholar]
- Yang, Y.; Li, X.H.; Ratcliffe, R.G.; Ruan, J. Characterization of ammonium and nitrate uptake and assimilation in roots of tea plants. Russ. J. Plant Physiol. 2013, 60, 91–99. [Google Scholar] [CrossRef]
- Colmer, T.; Bloom, A.J. A comparision of NH4+ and NO3− net fluxes along roots of rice and maize. Plant Cell Environ. 1998, 21, 240–246. [Google Scholar] [CrossRef]
- Cerezo, M.; Tillard, P.; Gojon, A.; Primo-Millo, E.; Garcia-Agustin, P. Characterization and regulation of ammonium transport systems in Citrus plants. Planta 2001, 214, 97–105. [Google Scholar] [CrossRef]
- Engineer, C.B.; Kranz, R.G. Reciprocal leaf and root expression of AtAmt1.1 and root architectural changes in response to nitrogen starvation. Plant Physiol. 2007, 143, 236–250. [Google Scholar] [CrossRef] [PubMed]
- Yuan, L.; Loqué, D.; Ye, F.; Frommer, W.B.; von Wirén, N. Nitrogen-dependent posttranscriptional regulation of the ammonium transporter AtAMT1;1. Plant Physiol. 2007, 143, 732–744. [Google Scholar] [CrossRef] [PubMed]
- Sohlenkamp, C.; Wood, C.C.; Roeb, G.W.; Udvardi, M.K. Characterization of Arabidopsis AtAMT2, a high-affinity ammonium transporter of the plasma membrane. Plant Physiol. 2002, 130, 1788–1796. [Google Scholar] [CrossRef] [PubMed]
- Kiba, T.; Krapp, A. Plant nitrogen acquisition under low availability: Regulation of uptake and root architecture. Plant Cell Physiol. 2016, 57, 707–714. [Google Scholar] [CrossRef] [PubMed]
- Léran, S.; Varala, K.; Boyer, J.C.; Chiurazzi, M.; Crawford, N.; Daniel-Vedele, F.; Lacombe, B. A unified nomenclature of NITRATE TRANSPORTER 1/PEPTIDE TRANSPORTER family members in plants. Trends Plant Sci. 2014, 19, 5–9. [Google Scholar] [CrossRef]
- Ren, Q.; Zhou, Y.; Zhou, X. Combined transcriptome and proteome analysis of masson Pine (Pinus massoniana Lamb.) seedling root in response to nitrate and ammonium supplementations. Int. J. Mol. Sci. 2020, 21, 7548. [Google Scholar] [CrossRef]






| Gene Name | Forward Primer | Reverse Primer |
|---|---|---|
| AMT1.1 | TCGCTAAAGGGGAGTTTGTG | GATTATATGCGCCCCGAGTA |
| AMT1.2 | CAGCAATCACGTCAGGTTGT | AGCTGCCAATGCGTTAAATC |
| AMT1.3 | CCTGTTGTTGCTCATTGGCT | ATCCCACCAACCAAATGCAC |
| AMT2.3 | GCAGCATCGTGAAGAAGAAGTGG | CCGACGGTGTAGGAGAGCATGAGCC |
| NRT1.5 | GATCGCTTCTACTTGTTATT | TGAGCCAGTTCTTCGT |
| NRT2.4 | GCGTTGCCTATGTCCT | TAACTGATTTCGGCTTTG |
| NRT3.1 | TAGCCACAGAATCCTATCAA | GGGCAGAGCACCAACA |
| NRT3.2 | CCATTGTATGCCTCTT | GCCTTGCTCTGATTTA |
| N Application (kg N ha−1a−1) | Inoculation | Root Dry Weight (g) | Root Activity (μg g−1 h−1) | Active Absorbing Area (cm2) | Total Absorbing Area (cm2) |
|---|---|---|---|---|---|
| 0 | Sg | 4.05 ± 0.19 e | 50.88 ± 4.91 f | 62.51 ± 6.54 g | 126.42 ± 13.26 g |
| Pt | 3.97 ± 0.30 e | 49.85 ± 5.03 fg | 58.86 ± 2.34 gh | 119.87 ± 7.08 gh | |
| CK | 3.31 ± 0.58 f | 46.08 ± 4.87 g | 52.51 ± 6.54 h | 110.79 ± 8.59 h | |
| 30 | Sg | 5.23 ± 0.16 d | 59.93 ± 3.97 e | 81.18 ± 9.24 ef | 161.10 ± 17.09 e |
| Pt | 5.81 ± 0.53 d | 60.92 ± 4.96 de | 84.54 ± 8.44 e | 168.26 ± 10.11 e | |
| CK | 4.35 ± 0.16 e | 53.05 ± 6.00 f | 75.42 ± 9.64 f | 151.92 ± 13.92 f | |
| 60 | Sg | 9.83 ± 0.25 a | 76.85 ± 5.35 b | 126.12 ± 8.85 ab | 249.01 ± 8.03 b |
| Pt | 10.30 ± 0.15 a | 83.70 ± 6.64 a | 129.90 ± 12.14 a | 261.86 ± 13.66 a | |
| CK | 8.67 ± 0.43 b | 71.97 ± 4.74 bc | 118.24 ± 9.19 b | 238.12 ± 5.64 c | |
| 90 | Sg | 7.17 ± 0.68 c | 70.93 ± 4.19 c | 115.54 ± 12.26 bc | 229.83 ± 1.93 cd |
| Pt | 7.48 ± 0.62 c | 70.57 ± 5.09 c | 116.25 ± 10.37 c | 237.19 ± 19.82 cd | |
| CK | 5.72 ± 0.34 d | 65.26 ± 5.46 d | 110.51 ± 1.91 d | 220.61 ± 14.51 d |
| Parameters | ECM | N | ECM × N | |||
|---|---|---|---|---|---|---|
| F | p | F | p | F | p | |
| Root dry weight | 14.98 | 0.00 ** | 130.49 | 0.00 ** | 12.99 | 0.00 ** |
| Root activity | 4.98 | 0.02 * | 343.29 | 0.00 ** | 4.59 | 0.00 ** |
| Active absorbing area | 68.79 | 0.00 ** | 20.28 | 0.00 ** | 60.34 | 0.00 ** |
| Total absorbing area | 5.70 | 0.01 * | 936.69 | 0.00 ** | 15.57 | 0.00 ** |
| Vmax(NH4+) | 62.86 | 0.00 ** | 24.59 | 0.00 ** | 36.22 | 0.00 ** |
| Km(NH4+) | 1.68 | 0.77 ** | 2.57 | 0.29 ns | 0.29 | 0.96 ns |
| α(NH4+) | 8.38 | 0.00 ** | 17.81 | 0.00 ** | 5.94 | 0.00 ** |
| Vmax(NO3−) | 46.52 | 0.00 ** | 16.48 | 0.00 ** | 25.37 | 0.00 ** |
| Km(NO3−) | 1.51 | 0.63 ns | 4.91 | 0.00 ** | 0.37 | 0.89 ns |
| α(NO3−) | 23.63 | 0.00 ** | 18.26 | 0.00 ** | 6.83 | 0.04 * |
| N Application (kg N ha−1a−1) | Inoculation | Vmax (μmol g−1 h−1) | Km (mM) | α (10−3 mL g−1 h−1) |
|---|---|---|---|---|
| 0 | Sg | 49.79 a | 0.55 bc | 90.52 a |
| Pt | 48.14 a | 0.57 b | 84.01 a | |
| CK | 41.40 b | 0.54 bc | 76.66 b | |
| 30 | Sg | 25.74 cd | 0.50 cd | 51.60 c |
| Pt | 28.16 c | 0.52 c | 54.27 c | |
| CK | 19.78 de | 0.47 d | 42.08 d | |
| 60 | Sg | 22.75 d | 0.55 bc | 41.37 d |
| Pt | 25.04 cd | 0.33 e | 75.89 b | |
| CK | 19.22 de | 0.62 a | 31.09 ef | |
| 90 | Sg | 19.20 de | 0.57 b | 33.52 e |
| Pt | 18.09 e | 0.62 a | 29.41 f | |
| CK | 10.88 f | 0.37 e | 29.10 f |
| N Application (kg N ha−1a−1) | Inoculation | Vmax (μmol g−1 h−1) | Km (mM) | α (10−3 mL g−1 h−1) |
|---|---|---|---|---|
| 0 | Sg | 15.67 ab | 0.25 e | 62.44 a |
| Pt | 16.54 a | 0.24 e | 68.36 a | |
| CK | 13.99 cd | 0.29 de | 48.77 b | |
| 30 | Sg | 14.82 b | 0.34 cd | 43.97 bc |
| Pt | 14.24 c | 0.34 cd | 41.65 bc | |
| CK | 12.60 e | 0.32 d | 39.26 c | |
| 60 | Sg | 13.59 d | 0.37 bc | 36.64 cd |
| Pt | 12.45 e | 0.38 bc | 33.10 d | |
| CK | 11.01 f | 0.36 bcd | 30.75 de | |
| 90 | Sg | 11.21 f | 0.42 a | 26.95 ef |
| Pt | 12.15 e | 0.40 ab | 29.69 e | |
| CK | 8.80 g | 0.39 abc | 22.56 f |
| Parameters | ECM | N | ECM × N | |||
|---|---|---|---|---|---|---|
| F | P | F | P | F | P | |
| AMT1.1 | 11.48 | 0.01 ** | 55.29 | 0.00 ** | 5.50 | 0.00 ** |
| AMT1.3 | 77.91 | 0.02 * | 174.19 | 0.00 ** | 21.08 | 0.00 ** |
| AMT1.5 | 37.29 | 0.00 ** | 86.07 | 0.00 ** | 10.36 | 0.00 ** |
| AMT2.3 | 1.359 | 0.32 ns | 14.49 | 0.00 ** | 0.583 | 0.74 ns |
| NRT1.5 | 4.683 | 0.04 * | 280.02 | 0.00 ** | 0.928 | 0.49 ns* |
| NRT2.4 | 90.71 | 0.00 ** | 90.71 | 0.00 ** | 116.86 | 0.00 ** |
| NRT3.1 | 35.61 | 0.00 ** | 276.64 | 0.01 * | 30.83 | 0.00 ** |
| NRT3.2 | 12.43 | 0.00 ** | 92.52 | 0.00 ** | 11.89 | 0.00 ** |
Disclaimer/Publisher’s Note: The statements, opinions and data contained in all publications are solely those of the individual author(s) and contributor(s) and not of MDPI and/or the editor(s). MDPI and/or the editor(s) disclaim responsibility for any injury to people or property resulting from any ideas, methods, instructions or products referred to in the content. |
© 2022 by the authors. Licensee MDPI, Basel, Switzerland. This article is an open access article distributed under the terms and conditions of the Creative Commons Attribution (CC BY) license (https://creativecommons.org/licenses/by/4.0/).
Share and Cite
Sun, P.; Cheng, R.; Xiao, W.; Zeng, L.; Shen, Y.; Wang, L.; Chen, T.; Zhang, M. The Relationship between Ectomycorrhizal Fungi, Nitrogen Deposition, and Pinus massoniana Seedling Nitrogen Transporter Gene Expression and Nitrogen Uptake Kinetics. J. Fungi 2023, 9, 65. https://doi.org/10.3390/jof9010065
Sun P, Cheng R, Xiao W, Zeng L, Shen Y, Wang L, Chen T, Zhang M. The Relationship between Ectomycorrhizal Fungi, Nitrogen Deposition, and Pinus massoniana Seedling Nitrogen Transporter Gene Expression and Nitrogen Uptake Kinetics. Journal of Fungi. 2023; 9(1):65. https://doi.org/10.3390/jof9010065
Chicago/Turabian StyleSun, Pengfei, Ruimei Cheng, Wenfa Xiao, Lixiong Zeng, Yafei Shen, Lijun Wang, Tian Chen, and Meng Zhang. 2023. "The Relationship between Ectomycorrhizal Fungi, Nitrogen Deposition, and Pinus massoniana Seedling Nitrogen Transporter Gene Expression and Nitrogen Uptake Kinetics" Journal of Fungi 9, no. 1: 65. https://doi.org/10.3390/jof9010065
APA StyleSun, P., Cheng, R., Xiao, W., Zeng, L., Shen, Y., Wang, L., Chen, T., & Zhang, M. (2023). The Relationship between Ectomycorrhizal Fungi, Nitrogen Deposition, and Pinus massoniana Seedling Nitrogen Transporter Gene Expression and Nitrogen Uptake Kinetics. Journal of Fungi, 9(1), 65. https://doi.org/10.3390/jof9010065

