Biocontrol Agents: Toolbox for the Screening of Weapons against Mycotoxigenic Fusarium
Abstract
1. Introduction
2. Materials and Methods
2.1. Microorganisms, Culture Media and Mycotoxin Analysis
2.1.1. Fusaria Species
2.1.2. Commercial Biocontrol Agents (BCAs)
2.1.3. Mycotoxin Analysis
2.2. Toolbox
2.2.1. Impact of BCAs on Pathogen Germination
2.2.2. Mycophagous Activity of BCAs on Pathogen
2.2.3. Chitinases Activities of BCAs
2.2.4. Antimicrobial BCAs Volatiles Organics Compounds (VOCs)
2.2.5. Biotransformation of F. graminearum Mycotoxins
2.2.6. Nutritional Competition between BCAs and Pathogens
2.2.7. Spatial Competition between BCAs and Pathogens and Potential Antimicrobial Metabolites Diffusion by BCAs
2.2.8. Impact of BCAs on Perithecia Production of F. graminearum
2.2.9. Data Expression and Statistical Analysis
3. Results
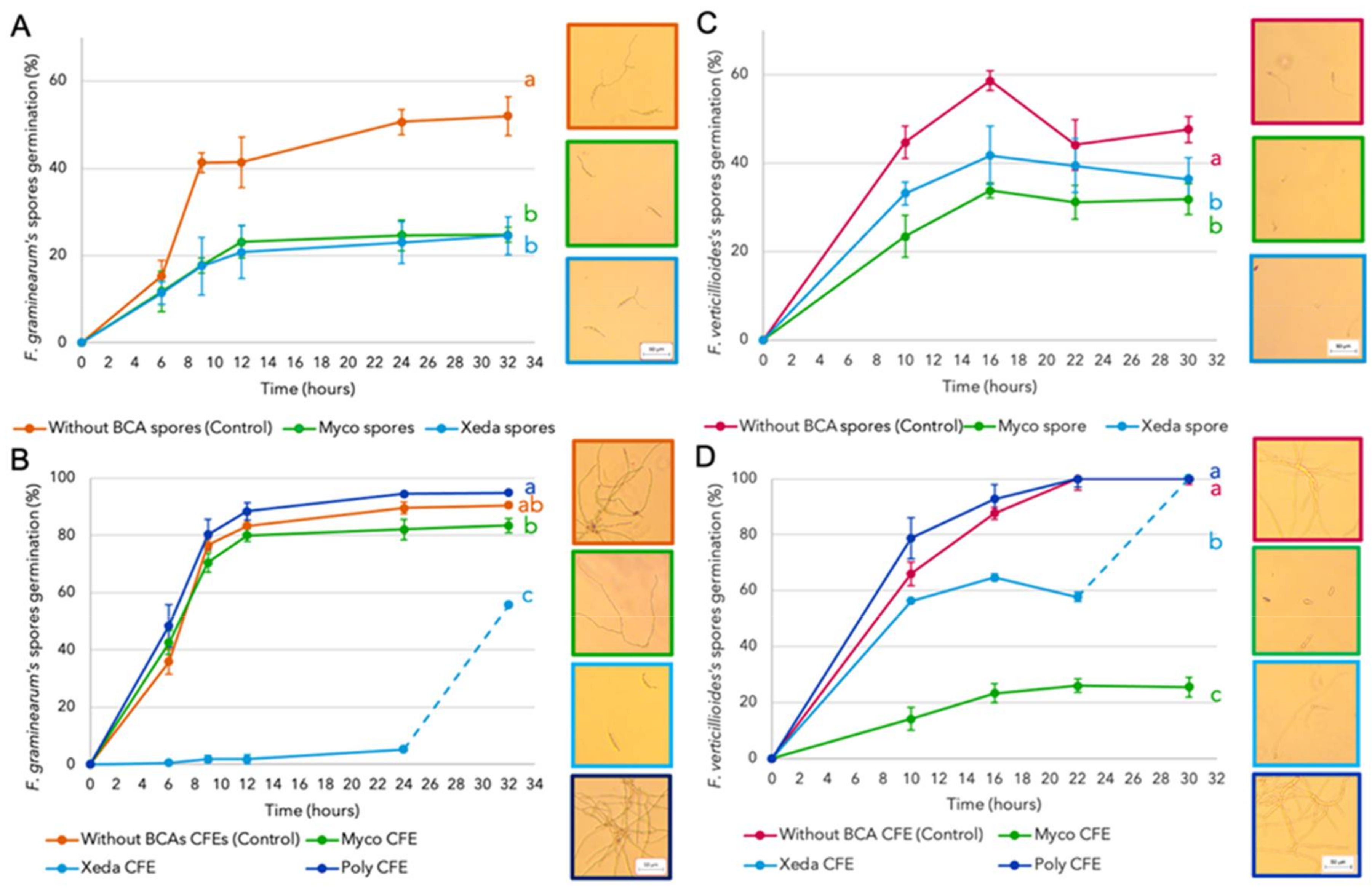
3.1. Impact of BCAs on Pathogens Germination
3.2. Mycophagous Activity of BCAs on Pathogens
3.3. BCAs Chitinases Activities
3.4. BCAs Antimicrobial Volatiles Organic Compounds (VOCs)
3.5. BCAs Biotransformation of F. graminearum Mycotoxins
3.6. Nutritional Competition between BCAs and Pathogens
3.7. Spatial Competition between BCAs and Pathogens
3.8. Perithecia Production
4. Discussion
4.1. Impact of BCAs on Pathogen Germination
4.2. Mycophagous Activity of BCAs on Pathogen
4.3. Chitinases Activities of BCAs
4.4. Antimicrobial BCAs Volatiles Organics Compounds (VOCs)
4.5. Biotransformation of F. graminearum Mycotoxins
4.6. Nutritional Competition between BCAs and Pathogens
4.7. Spatial Competition between BCAs and Pathogens and Potential Antimicrobial Metabolites Diffusion by BCAs
4.8. Impact of BCAs on Perithecia Production of F. graminearum
4.9. BCAs Global Behaviour against Mycotoxigenic Fusarium
5. Conclusions
Author Contributions
Funding
Institutional Review Board Statement
Informed Consent Statement
Data Availability Statement
Acknowledgments
Conflicts of Interest
Appendix A
Synthesis of BCAs Impact and Mechanisms against Mycotoxigenic Fusaria

References
- Marasas, W.F.O.; Riley, R.T.; Hendricks, K.A.; Stevens, V.L.; Sadler, T.W.; Waes, J.G.-V.; Missmer, S.A.; Cabrera, J.; Torres, O.; Gelderblom, W.C.A.; et al. Fumonisins Disrupt Sphingolipid Metabolism, Folate Transport, and Neural Tube Development in Embryo Culture and In Vivo: A Potential Risk Factor for Human Neural Tube Defects among Populations Consuming Fumonisin-Contaminated Maize. J. Nutr. 2004, 134, 711–716. [Google Scholar] [CrossRef]
- Paterson, R.R.M.; Lima, N. How will climate change affect mycotoxins in food? Food Res. Int. 2010, 43, 1902–1914. [Google Scholar] [CrossRef]
- Zain, M.E. Impact of mycotoxins on humans and animals. J. Saudi Chem. Soc. 2011, 15, 129–144. [Google Scholar] [CrossRef]
- Goswami, R.S.; Kistler, H. Heading for disaster: Fusarium graminearum on cereal crops. Mol. Plant Pathol. 2004, 5, 515–525. [Google Scholar] [CrossRef]
- Jard, G.; Liboz, T.; Mathieu, F.; Guyonvarch, A.; Lebrihi, A. Review of mycotoxin reduction in food and feed: From prevention in the field to detoxification by adsorption or transformation. Food Addit. Contam. Part A 2011, 28, 1590–1609. [Google Scholar] [CrossRef] [PubMed]
- Ji, C.; Fan, Y.; Zhao, L. Review on biological degradation of mycotoxins. Anim. Nutr. 2016, 2, 127–133. [Google Scholar] [CrossRef] [PubMed]
- Hassan, Y.I.; He, J.W.; Perilla, N.; Tang, K.; Karlovsky, P.; Zhou, T. The enzymatic epimerization of deoxynivalenol by Devosia mutans proceeds through the formation of 3-keto-DON intermediate. Sci. Rep. 2017, 7, 6929. [Google Scholar] [CrossRef]
- Nourozian, J.; Etebarian, H.R.; Khodakaramian, G. Biological Control of Fusarium graminearum on Wheat by Antagonistic Bacteria. Songklanakarin J. Sci. Technol. 2006, 28, 29–38. [Google Scholar]
- Nicot, P.C.; Alabouvette, C.; Bardin, M.; Blum, B.; Köhl, J.; Ruocco, M. Review of Factors Influencing the Success or Failure of Biocontrol: Technical, Industrial and Socio-Economic Perspectives. IOBC WPRS Bull. 2012, 78, 95–98. [Google Scholar]
- Quecine, M.C.; Kidarsa, T.A.; Goebel, N.C.; Shaffer, B.T.; Henkels, M.D.; Zabriskie, T.M.; Loper, J.E. An Interspecies Signaling System Mediated by Fusaric Acid Has Parallel Effects on Antifungal Metabolite Production by Pseudomonas protegens Strain Pf-5 and Antibiosis of Fusarium spp. Appl. Environ. Microbiol. 2015, 82, 1372–1382. [Google Scholar] [CrossRef]
- Glick, B.R. Beneficial Plant-Bacterial Interactions; Springer: Berlin/Heidelberg, Germany, 2015. [Google Scholar]
- Kim, S.H.; Vujanovic, V. Relationship between mycoparasites lifestyles and biocontrol behaviors against Fusarium spp. and mycotoxins production. Appl. Microbiol. Biotechnol. 2016, 100, 5257–5272. [Google Scholar] [CrossRef]
- Wilkins, K. Volatile metabolites from actinomycetes. Chemosphere 1996, 32, 1427–1434. [Google Scholar] [CrossRef]
- Reino, J.L.; Guerrero, R.F.; Hernández-Galán, R.; Collado, I.G. Secondary metabolites from species of the biocontrol agent Trichoderma. Phytochem. Rev. 2007, 7, 89–123. [Google Scholar] [CrossRef]
- Hassan, Y.I.; Zhou, T. Promising Detoxification Strategies to Mitigate Mycotoxins in Food and Feed. Toxins 2018, 10, 116. [Google Scholar] [CrossRef] [PubMed]
- Dawson, W.A.J.M.; Jestoi, M.; Rizzo, A.; Nicholson, P.; Bateman, G.L. Field Evaluation of Fungal Competitors of Fusarium culmorum and F. graminearum, Causal Agents of Ear Blight of Winter Wheat, for the Control of Mycotoxin Production in Grain. Biocontrol Sci. Technol. 2004, 14, 783–799. [Google Scholar] [CrossRef]
- Samsudin, N.I.P.; Medina, A.; Magan, N. Relationship between environmental conditions, carbon utilisation patterns and Niche Overlap Indices of the mycotoxigenic species Fusarium verticillioides and the biocontrol agent Clonostachys rosea. Fungal Ecol. 2016, 24, 44–52. [Google Scholar] [CrossRef]
- Amin, F.; Razdan, V.K.; Mohiddin, F.A.; Bhat, K.A.; Banday, S. Potential of Trichoderma Species as Biocontrol Agents of Soil Borne Fungal Propagules. J. Phytol. 2010, 2, 38–41. [Google Scholar]
- Kunova, A.; Bonaldi, M.; Saracchi, M.; Pizzatti, C.; Chen, X.; Cortesi, P. Selection of Streptomyces against soil borne fungal pathogens by a standardized dual culture assay and evaluation of their effects on seed germination and plant growth. BMC Microbiol. 2016, 16, 1–11. [Google Scholar] [CrossRef]
- El-Debaiky, S.A. Antagonistic studies and hyphal interactions of the new antagonist Aspergillus piperis against some phytopathogenic fungi in vitro in comparison with Trichoderma harzianum. Microb. Pathog. 2017, 113, 135–143. [Google Scholar] [CrossRef]
- Pellan, L.; Durand, N.; Martinez, V.; Fontana, A.; Schorr-Galindo, S.; Strub, C. Commercial Biocontrol Agents Reveal Contrasting Comportments Against Two Mycotoxigenic Fungi in Cereals: Fusarium graminearum and Fusarium verticillioides. Toxins 2020, 12, 152. [Google Scholar] [CrossRef]
- Ballhausen, M.-B.; Van Veen, J.A.; Hundscheid, M.P.J.; De Boer, W. Methods for Baiting and Enriching Fungus-Feeding (Mycophagous) Rhizosphere Bacteria. Front. Microbiol. 2015, 6, 1416. [Google Scholar] [CrossRef] [PubMed]
- Shepherd, M.D.; Kharel, M.K.; Bosserman, M.A.; Rohr, J. Laboratory Maintenance of Streptomyces Species. Curr. Protoc. Microbiol. 2010, 18, 10E.1.1–10E.1.8. [Google Scholar] [CrossRef] [PubMed]
- Rao, K.M.; Raju, K.S.; Ravisankar, H. Cultural conditions on the production of extracellular enzymes by Trichoderma isolates from tobacco rhizosphere. Braz. J. Microbiol. 2016, 47, 25–32. [Google Scholar] [CrossRef]
- Al-Rawahi, A.K.; Hancock, J.G. Rhizosphere Competence of Pythium oligandrum. Phytopathology 1997, 87, 951–959. [Google Scholar] [CrossRef][Green Version]
- El-Katatny, M.H.; Abdelzaher, H.M.A.; Shoulkamy, M.A. Antagonistic actions of Pythium oligandrum and Trichoderma harzianum against phytopathogenic fungi (Fusarium oxysporum and Pythium ultimum var. ultimum). Arch. Phytopathol. Plant Prot. 2006, 39, 289–301. [Google Scholar] [CrossRef]
- McCormick, S.P. Microbial Detoxification of Mycotoxins. J. Chem. Ecol. 2013, 39, 907–918. [Google Scholar] [CrossRef]
- Tian, Y.; Tan, Y.; Liu, N.; Liao, Y.; Sun, C.; Wang, S.; Wu, A. Functional Agents to Biologically Control Deoxynivalenol Contamination in Cereal Grains. Front. Microbiol. 2016, 7, 395. [Google Scholar] [CrossRef]
- Venkatesh, N.; Keller, N.P. Mycotoxins in Conversation with Bacteria and Fungi. Front. Microbiol. 2019, 10, 403. [Google Scholar] [CrossRef]
- Englyst, H. Classification and measurement of plant polysaccharides. Anim. Feed. Sci. Technol. 1989, 23, 27–42. [Google Scholar] [CrossRef]
- Knudsen, K.E.B. Carbohydrate and lignin contents of plant materials used in animal feeding. Anim. Feed. Sci. Technol. 1997, 67, 319–338. [Google Scholar] [CrossRef]
- Wang, L.; Xu, C.; Qu, M.; Zhang, J. Kernel amino acid composition and protein content of introgression lines from Zea mays ssp. mexicana into cultivated maize. J. Cereal Sci. 2008, 48, 387–393. [Google Scholar] [CrossRef]
- Ain, H.B.U.; Saeed, F.; Khan, M.A.; Niaz, B.; Tufail, T.; Anjum, F.M.; Hussain, S.; Rohi, M. Isolation and characterization of cereal cell walls. Int. J. Food Prop. 2019, 22, 130–137. [Google Scholar] [CrossRef]
- Urban, M.; Mott, E.; Farley, T.; Hammond-Kosack, K. The Fusarium graminearum MAP1 gene is essential for pathogenicity and development of perithecia. Mol. Plant Pathol. 2003, 4, 347–359. [Google Scholar] [CrossRef]
- Cavinder, B.; Sikhakolli, U.; Fellows, K.M.; Trail, F. Sexual Development and Ascospore Discharge in Fusarium graminearum. J. Vis. Exp. 2012, 61, e3895. [Google Scholar] [CrossRef] [PubMed]
- Laurent, B. Base Génétique et Potentiel d’Évolution de La Pathogénicité de Fusarium Graminearum, Bio-Agresseur Fongique Des Céréales; Université de Bordeaux: Bordeaux, France, 2016. [Google Scholar]
- Someya, N.; Nakajima, M.; Hirayae, K.; Hibi, T.; Akutsu, K. Synergistic Antifungal Activity of Chitinolytic Enzymes and Prodigiosin Produced by Biocontrol Bacterium, Serratia marcescens Strain B2 against Gray Mold Pathogen, Botrytis cinerea. J. Gen. Plant Pathol. 2001, 67, 312–317. [Google Scholar] [CrossRef]
- Fogliano, V.; Ballio, A.; Gallo, M.; Woo, S.; Scala, F.; Lorito, M. Pseudomonas Lipodepsipeptides and Fungal Cell Wall-Degrading Enzymes Act Synergistically in Biological Control. Mol. Plant-Microbe Interact. 2002, 15, 323–333. [Google Scholar] [CrossRef] [PubMed]
- Audenaert, K.; Pattery, T.; Cornelis, P.; Höfte, M. Induction of Systemic Resistance to Botrytis cinerea in Tomato by Pseudomonas aeruginosa 7NSK2: Role of Salicylic Acid, Pyochelin, and Pyocyanin. Mol. Plant-Microbe Interact. 2002, 15, 1147–1156. [Google Scholar] [CrossRef]
- Joo, G.-J. Purification and Characterization of an Extracellular Chitinase from the Antifungal Biocontrol Agent Streptomyces halstedii. Biotechnol. Lett. 2005, 27, 1483–1486. [Google Scholar] [CrossRef]
- Ambrico, A.; Trupo, M. Efficacy of cell free supernatant from Bacillus subtilis ET-1, an Iturin A producer strain, on biocontrol of green and gray mold. Postharvest Biol. Technol. 2017, 134, 5–10. [Google Scholar] [CrossRef]
- Tang, J.; Ding, Y.; Nan, J.; Yang, X.; Sun, L.; Zhao, X.; Jiang, L. Transcriptome sequencing and ITRAQ reveal the detoxification mechanism of Bacillus GJ1, a potential biocontrol agent for Huanglongbing. PLoS ONE 2018, 13, e0200427. [Google Scholar] [CrossRef]
- Lutz, M.P.; Feichtinger, G.; Défago, G.; Duffy, B. Mycotoxigenic Fusarium and Deoxynivalenol Production Repress Chitinase Gene Expression in the Biocontrol Agent Trichoderma atroviride P1. Appl. Environ. Microbiol. 2003, 69, 3077–3084. [Google Scholar] [CrossRef]
- Reithner, B.; Brunner, K.; Schuhmacher, R.; Peissl, I.; Seidl, V.; Krska, R.; Zeilinger, S. The G protein α subunit Tga1 of Trichoderma atroviride is involved in chitinase formation and differential production of antifungal metabolites. Fungal Genet. Biol. 2005, 42, 749–760. [Google Scholar] [CrossRef]
- Miyagawa, H.; Inoue, M.; Yamanaka, H.; Tsurushima, T.; Ueno, T. Chemistry of Spore Germination Self-Inhibitors from the Plant Pathogenic Fungus Colletotrichum fragariae. ACS Symp. Ser. 2000, 774, 62–71. [Google Scholar] [CrossRef]
- León-Romero, Á.; Domínguez-Manzano, J.; Garrido-Fernández, A.; Arroyo-López, F.N.; Jiménez-Díaz, R. Formation of In VitroMixed-Species Biofilms by Lactobacillus pentosus and Yeasts Isolated from Spanish-Style Green Table Olive Fermentations. Appl. Environ. Microbiol. 2015, 82, 689–695. [Google Scholar] [CrossRef] [PubMed]
- Igarashi, Y. Screening of Novel Bioactive Compounds from Plant-Associated Actinomycetes. Actinomycetologica 2004, 18, 63–66. [Google Scholar] [CrossRef]
- Wang, C.; Wang, Z.; Qiao, X.; Li, Z.; Li, F.; Chen, M.; Wang, Y.; Huang, Y.; Cui, H. Antifungal activity of volatile organic compounds from Streptomyces alboflavus TD-1. FEMS Microbiol. Lett. 2013, 341, 45–51. [Google Scholar] [CrossRef] [PubMed]
- El-Hasan, A.; Walker, F.; Schöne, J.; Buchenauer, H. Antagonistic effect of 6-pentyl-alpha-pyrone produced by Trichoderma harzianum toward Fusarium moniliforme. J. Plant Dis. Prot. 2007, 114, 62–68. [Google Scholar] [CrossRef]
- Rudnick, M.; van Veen, J.; de Boer, W. Baiting of rhizosphere bacteria with hyphae of common soil fungi reveals a diverse group of potentially mycophagous secondary consumers. Soil Biol. Biochem. 2015, 88, 73–82. [Google Scholar] [CrossRef]
- Harman, G.E. Overview of Mechanisms and Uses of Trichoderma spp. Phytopathology 2006, 96, 190–194. [Google Scholar] [CrossRef]
- Yang, P. Pathogenic Fungi Induce the Expression of Trichoderma asperellum Cell Wall Degrading Enzymes in the Process of Mycoparasitism. Adv. Mater. Res. 2014, 937, 282–285. [Google Scholar] [CrossRef]
- Bhat, K.A. A New Agar Plate Assisted Slide Culture Technique to Study Mycoparasitism of Trichoderma sp. on Rhizoctonia solani and Fusarium oxysporium. Int. J. Curr. Microbiol. Appl. Sci. 2017, 6, 3176–3180. [Google Scholar] [CrossRef]
- Guzmán-Guzmán, P.; Alemán-Duarte, M.I.; Delaye, L.; Herrera-Estrella, A.; Olmedo-Monfil, V. Identification of effector-like proteins in Trichoderma spp. and role of a hydrophobin in the plant-fungus interaction and mycoparasitism. BMC Genet. 2017, 18, 16. [Google Scholar] [CrossRef]
- Ben Amira, M.; Mom, R.; Lopez, D.; Chaar, H.; Khouaja, A.; Pujade-Renaud, V.; Fumanal, B.; Gousset-Dupont, A.; Bronner, G.; Label, P.; et al. MIP diversity from Trichoderma: Structural considerations and transcriptional modulation during mycoparasitic association with Fusarium solani olive trees. PLoS ONE 2018, 13, e0193760. [Google Scholar] [CrossRef] [PubMed]
- Mokhtari, W. Mycoparasitism of Trichoderma spp. Against Phytophthora capsici and Rhizoctonia solani. Int. J. Pure Appl. Biosci. 2018, 6, 14–19. [Google Scholar] [CrossRef]
- Frey-Klett, P.; Burlinson, P.; Deveau, A.; Barret, M.; Tarkka, M.; Sarniguet, A. Bacterial-Fungal Interactions: Hyphens between Agricultural, Clinical, Environmental, and Food Microbiologists. Microbiol. Mol. Biol. Rev. 2011, 75, 583–609. [Google Scholar] [CrossRef]
- Leveau, J.H.J.; Preston, G.M. Bacterial mycophagy: Definition and diagnosis of a unique bacterial–fungal interaction. New Phytol. 2008, 177, 859–876. [Google Scholar] [CrossRef]
- Paterson, R.R.M. Some fungicides and growth inhibitor/biocontrol-enhancer 2-deoxy-d-glucose increase patulin from Penicillium expansum strains in vitro. Crop Prot. 2007, 26, 543–548. [Google Scholar] [CrossRef][Green Version]
- Picot, A.; Barreau, C.; Pinson-Gadais, L.; Caron, D.; Lannou, C.; Richard-Forget, F. Factors of the Fusarium verticillioides-maize environment modulating fumonisin production. Crit. Rev. Microbiol. 2010, 36, 221–231. [Google Scholar] [CrossRef] [PubMed]
- Pal, K.K.; Gardener, B.M. Biological Control of Plant Pathogens. Plant Health Instr. 2006. [Google Scholar] [CrossRef]
- Hendrix, J.W. Sterol Induction of Reproduction and Stimulation of Growth of Pythium and Phytophthora. Science 1964, 144, 1028–1029. [Google Scholar] [CrossRef]
- Cliquet, S.; Tirilly, Y. Development of a Defined Medium for Pythium oligandrum Oospore Production. Biocontrol Sci. Technol. 2002, 12, 455–467. [Google Scholar] [CrossRef]
- Benhamou, N.; Le Floch, G.; Vallance, J.; Gerbore, J.; Grizard, D.; Rey, P. Pythium oligandrum: An example of opportunistic success. Microbiology 2012, 158, 2679–2694. [Google Scholar] [CrossRef] [PubMed]
- Brzezinska, M.S.; Jankiewicz, U.; Burkowska, A.; Walczak, M. Chitinolytic Microorganisms and Their Possible Application in Environmental Protection. Curr. Microbiol. 2014, 68, 71–81. [Google Scholar] [CrossRef]
- Katiyar, D.; Hemantaranjan, A.; Singh, B. Chitosan as a promising natural compound to enhance potential physiological responses in plant: A review. Indian J. Plant Physiol. 2015, 20, 1–9. [Google Scholar] [CrossRef]
- Dahiya, N.; Tewari, R.; Hoondal, G.S. Biotechnological aspects of chitinolytic enzymes: A review. Appl. Microbiol. Biotechnol. 2006, 71, 773–782. [Google Scholar] [CrossRef] [PubMed]
- Viterbo, A.; Ramot, O.; Chemin, L.; Chet, I.; Chernin, L. Significance of lytic enzymes from Trichoderma spp. in the biocontrol of fungal plant pathogens. Antonie Van Leeuwenhoek 2002, 81, 549–556. [Google Scholar] [CrossRef]
- Ramada, M.H.S.; Steindorff, A.S.; Bloch, C.; Ulhoa, C.J. Secretome analysis of the mycoparasitic fungus Trichoderma harzianum ALL 42 cultivated in different media supplemented with Fusarium solanicell wall or glucose. Proteomics 2016, 16, 477–490. [Google Scholar] [CrossRef]
- Haran, S.; Schickler, H.; Oppenheim, A.; Chet, I. New components of the chitinolytic system of Trichoderma harzianum. Mycol. Res. 1995, 99, 441–446. [Google Scholar] [CrossRef]
- Guigon, C.; Vargas-Albores, F.; Guerrero-Prieto, V.; Ruocco, M.; Lorito, M. Changes in Trichoderma asperellum enzyme expression during parasitism of the cotton root rot pathogen Phymatotrichopsis omnivora. Fungal Biol. 2015, 119, 264–273. [Google Scholar] [CrossRef]
- Benhamou, N.; Rey, P.; Picard, K.; Tirilly, Y. Ultrastructural and Cytochemical Aspects of the Interaction between the Mycoparasite Pythium oligandrum and Soilborne Plant Pathogens. Phytopathology 1999, 89, 506–517. [Google Scholar] [CrossRef]
- Horner, N.R.; Grenville-Briggs, L.J.; van West, P. The oomycete Pythium oligandrum expresses putative effectors during mycoparasitism of Phytophthora infestans and is amenable to transformation. Fungal Biol. 2012, 116, 24–41. [Google Scholar] [CrossRef] [PubMed]
- Alström, S. Characteristics of Bacteria from Oilseed Rape in Relation to their Biocontrol Activity against Verticillium dahliae. J. Phytopathol. 2001, 149, 57–64. [Google Scholar] [CrossRef]
- Giorgio, A.; De Stradis, A.; Cantore, P.L.; Iacobellis, N.S. Biocide effects of volatile organic compounds produced by potential biocontrol rhizobacteria on Sclerotinia sclerotiorum. Front. Microbiol. 2015, 6, 1056. [Google Scholar] [CrossRef]
- Lahlali, R.; Hijri, M. Screening, identification and evaluation of potential biocontrol fungal endophytes against Rhizoctonia solani AG3 on potato plants. FEMS Microbiol. Lett. 2010, 311, 152–159. [Google Scholar] [CrossRef]
- Qualhato, T.F.; Lopes, F.Á.C.; Steindorff, A.S.; Brandão, R.S.; Jesuíno, R.S.A.; Ulhoa, C.J. Mycoparasitism studies of Trichoderma species against three phytopathogenic fungi: Evaluation of antagonism and hydrolytic enzyme production. Biotechnol. Lett. 2013, 35, 1461–1468. [Google Scholar] [CrossRef] [PubMed]
- Fernando, W.D.; Ramarathnam, R.; Krishnamoorthy, A.S.; Savchuk, S.C. Identification and use of potential bacterial organic antifungal volatiles in biocontrol. Soil Biol. Biochem. 2005, 37, 955–964. [Google Scholar] [CrossRef]
- Campos, V.P.; De Pinho, R.S.C.; Freire, E.S. Volatiles produced by interacting microorganisms potentially useful for the control of plant pathogens. Ciênc. Agrotec. 2010, 34, 525–535. [Google Scholar] [CrossRef]
- El-Hasan, A.; Walker, F.; Schöne, J.; Buchenauer, H. Detection of viridiofungin A and other antifungal metabolites excreted by Trichoderma harzianum active against different plant pathogens. Eur. J. Plant Pathol. 2009, 124, 457–470. [Google Scholar] [CrossRef]
- Chen, J.-L.; Sun, S.-Z.; Miao, C.-P.; Wu, K.; Chen, Y.-W.; Xu, L.-H.; Guan, H.-L.; Zhao, L.-X. Endophytic Trichoderma gamsii YIM PH30019: A promising biocontrol agent with hyperosmolar, mycoparasitism, and antagonistic activities of induced volatile organic compounds on root-rot pathogenic fungi of Panax notoginseng. J. Ginseng Res. 2016, 40, 315–324. [Google Scholar] [CrossRef]
- Medentsev, A.G.; Arinbasarova, A.I.; Akimenko, V.K. Biosynthesis of Naphthoquinone Pigments by Fungi of the Genus Fusarium. Prikl. Biokhim. Mikrobiol. 2005, 41, 573–577. [Google Scholar] [CrossRef]
- Cambaza, E. Comprehensive Description of Fusarium graminearum Pigments and Related Compounds. Foods 2018, 7, 165. [Google Scholar] [CrossRef] [PubMed]
- Bradshaw-Smith, R.; Whalley, W.; Craig, G. Interactions between Pythium oligandrum and the fungal footrot pathogens of peas. Mycol. Res. 1991, 95, 861–865. [Google Scholar] [CrossRef]
- Juodeikiene, G.; Bartkiene, E.; Cernauskas, D.; Cizeikiene, D.; Zadeike, D.; Lele, V.; Bartkevics, V. Antifungal activity of lactic acid bacteria and their application for Fusarium mycotoxin reduction in malting wheat grains. LWT 2018, 89, 307–314. [Google Scholar] [CrossRef]
- Ben Taheur, F.; Kouidhi, B.; Al Qurashi, Y.M.A.; Ben Salah-Abbès, J.; Chaieb, K. Review: Biotechnology of mycotoxins detoxification using microorganisms and enzymes. Toxicon 2019, 160, 12–22. [Google Scholar] [CrossRef]
- Zhu, Y.; Hassan, Y.I.; Lepp, D.; Shao, S.; Zhou, T. Strategies and Methodologies for Developing Microbial Detoxification Systems to Mitigate Mycotoxins. Toxins 2017, 9, 130. [Google Scholar] [CrossRef] [PubMed]
- Tian, Y.; Tan, Y.; Yan, Z.; Liao, Y.; Chen, J.; De Boevre, M.; De Saeger, S.; Wu, A. Antagonistic and Detoxification Potentials of Trichoderma Isolates for Control of Zearalenone (ZEN) Producing Fusarium graminearum. Front. Microbiol. 2018, 8, 2710. [Google Scholar] [CrossRef]
- Tian, Y.; Tan, Y.; Liu, N.; Yan, Z.; Liao, Y.; Chen, J.; De Saeger, S.; Yang, H.; Zhang, Q.; Wu, A. Detoxification of Deoxynivalenol via Glycosylation Represents Novel Insights on Antagonistic Activities of Trichoderma when Confronted with Fusarium graminearum. Toxins 2016, 8, 335. [Google Scholar] [CrossRef] [PubMed]
- Chen, Y.; Wang, J.; Yang, N.; Wen, Z.; Sun, X.; Chai, Y.; Ma, Z. Wheat microbiome bacteria can reduce virulence of a plant pathogenic fungus by altering histone acetylation. Nat. Commun. 2018, 9, 1–14. [Google Scholar] [CrossRef]
- Bencheqroun, S.K.; Bajji, M.; Massart, S.; Labhilili, M.; El Jaafari, S.; Jijakli, M.H. In vitro and in situ study of postharvest apple blue mold biocontrol by Aureobasidium pullulans: Evidence for the involvement of competition for nutrients. Postharvest Biol. Technol. 2007, 46, 128–135. [Google Scholar] [CrossRef]
- Magallon-Andalon, C.; Luna-Solano, G.; Ragazzo-Sanchez, J.A.; Calderon-Santoyo, M. Parasitism and Substrate Competitions Effect of Antagonistic Yeasts for Biocontrol of Colletotrichum gloeosporioides in Papaya (Carica papaya L.) Var Maradol. Mex. J. Sci. Res. 2012, 1, 2–9. [Google Scholar]
- Xu, X.; Salama, N.; Jeffries, P.; Jeger, M.J. Numerical Studies of Biocontrol Efficacies of Foliar Plant Pathogens in Relation to the Characteristics of a Biocontrol Agent. Phytopathology 2010, 100, 814–821. [Google Scholar] [CrossRef]
- Fernandez, J.; Marroquin-Guzman, M.; Wilson, R.A. Mechanisms of Nutrient Acquisition and Utilization During Fungal Infections of Leaves. Annu. Rev. Phytopathol. 2014, 52, 155–174. [Google Scholar] [CrossRef]
- Bonfante, P.; Genre, A. Mechanisms underlying beneficial plant–fungus interactions in mycorrhizal symbiosis. Nat. Commun. 2010, 1, 48. [Google Scholar] [CrossRef] [PubMed]
- Celar, F. Competition for ammonium and nitrate forms of nitrogen between some phytopathogenic and antagonistic soil fungi. Biol. Control 2003, 28, 19–24. [Google Scholar] [CrossRef]
- Liu, P.; Luo, L.; Long, C.-A. Characterization of competition for nutrients in the biocontrol of Penicillium italicum by Kloeckera apiculata. Biol. Control 2013, 67, 157–162. [Google Scholar] [CrossRef]
- Thrane, C.; Jensen, D.F.; Tronsmo, A. Substrate Colonization, Strain Competition, Enzyme Production in Vitro, and Biocontrol of Pythium ultimum by Trichoderma Spp. Isolates P1 and T3. Eur. J. Plant Pathol. 2000, 106, 106. [Google Scholar] [CrossRef]
- Gardiner, D.M.; Kazan, K.; Manners, J.M. Nutrient profiling reveals potent inducers of trichothecene biosynthesis in Fusarium graminearum. Fungal Genet. Biol. 2009, 46, 604–613. [Google Scholar] [CrossRef] [PubMed]
- Matarese, F.; Sarrocco, S.; Gruber, S.; Seidl-Seiboth, V.; Vannacci, G. Biocontrol of Fusarium head blight: Interactions between Trichoderma and mycotoxigenic Fusarium. Microbiol. 2012, 158, 98–106. [Google Scholar] [CrossRef]
- Fernando, W.G.D.; Paulitz, T.C.; Seaman, W.L.; Dutilleul, P.; Miller, J.D. Head Blight Gradients Caused by Gibberella zeae from Area Sources of Inoculum in Wheat Field Plots. Phytopathology 1997, 87, 414–421. [Google Scholar] [CrossRef]
- Luongo, L.; Galli, M.; Corazza, L.; Meekes, E.; De Haas, L.; Van Der Plas, C.L.; Kohl, J. Potential of fungal antagonists for biocontrol of Fusarium spp. in wheat and maize through competition in crop debris. Biocontrol Sci. Technol. 2005, 15, 229–242. [Google Scholar] [CrossRef]
- Klittich, C.; Correll, J.; Leslie, J. Inheritance of sectoring frequency in Fusarium moniliforme (Gibberella fujikuroi). Exp. Mycol. 1988, 12, 289–294. [Google Scholar] [CrossRef]
- Bujold, I.; Paulitz, T.C.; Carisse, O. Effect of Microsphaeropsis sp. on the Production of Perithecia and Ascospores of Gibberella zeae. Plant Dis. 2001, 85, 977–984. [Google Scholar] [CrossRef] [PubMed]
- Xue, A.G.; Chen, Y.; Voldeng, H.D.; Fedak, G.; Savard, M.E.; Längle, T.; Zhang, J.; Harman, G.E. Concentration and cultivar effects on efficacy of CLO-1 biofungicide in controlling Fusarium head blight of wheat. Biol. Control. 2014, 73, 2–7. [Google Scholar] [CrossRef]
- Köhl, J.; Fokkema, N.J. Strategies for Biological Control of Necrotrophic Fungal Foliar Pathogens; Marcel Dekker: New York, NY, USA, 1998; pp. 49–88. [Google Scholar]
- Inch, S.; Gilbert, J. Scanning electron microscopy observations of the interaction between Trichoderma harzianum and perithecia of Gibberella zeae. Mycologia 2011, 103, 1–9. [Google Scholar] [CrossRef]
- Madsen, A.M.; De Neergaard, E. Interactions between the Mycoparasite Pythium oligandrum and Sclerotia of the Plant Path-ogen Sclerotinia sclerotiorum. Eur. J. Plant Pathol. 1999, 105. [Google Scholar] [CrossRef]












| IS | Polarity | MRM | EC |
|---|---|---|---|
| U-(13C15)-DEOXYNIVALENOL | − | 370.3 > 59.0 | 35 |
| U-(13C34)-FUMONISIN B1 | + | 756.3 > 356.5 | −47 |
| Mycotoxin | Polarity | MRM Q | EC MRM Q | MRM q | EC MRM q | R2 Calibration Curve |
|---|---|---|---|---|---|---|
| DON | − | 355.0 > 59.0 | 35 | 355.0 > 265.1 | 35 | 0.9998 |
| 15-AcDON | + | 338.90 > 137.10 | −19 | 338.90 > 297.20 | −14 | 0.9988 |
| 3-AcDON | − | 397.20 > 59.00 | 25 | 397.20 > 307.10 | 16 | 0.9988 |
| FB1 | − | 722.35 > 334.5 | −43 | 722.35 > 352.0 | −44 | 0.9982 |
| FB2 | − | 706.2 > 318.4 | −37 | 355.0 > 265.1 | −44 | 0,9980 |
Publisher’s Note: MDPI stays neutral with regard to jurisdictional claims in published maps and institutional affiliations. |
© 2021 by the authors. Licensee MDPI, Basel, Switzerland. This article is an open access article distributed under the terms and conditions of the Creative Commons Attribution (CC BY) license (https://creativecommons.org/licenses/by/4.0/).
Share and Cite
Pellan, L.; Dieye, C.A.T.; Durand, N.; Fontana, A.; Strub, C.; Schorr-Galindo, S. Biocontrol Agents: Toolbox for the Screening of Weapons against Mycotoxigenic Fusarium. J. Fungi 2021, 7, 446. https://doi.org/10.3390/jof7060446
Pellan L, Dieye CAT, Durand N, Fontana A, Strub C, Schorr-Galindo S. Biocontrol Agents: Toolbox for the Screening of Weapons against Mycotoxigenic Fusarium. Journal of Fungi. 2021; 7(6):446. https://doi.org/10.3390/jof7060446
Chicago/Turabian StylePellan, Lucile, Cheikh Ahmeth Tidiane Dieye, Noël Durand, Angélique Fontana, Caroline Strub, and Sabine Schorr-Galindo. 2021. "Biocontrol Agents: Toolbox for the Screening of Weapons against Mycotoxigenic Fusarium" Journal of Fungi 7, no. 6: 446. https://doi.org/10.3390/jof7060446
APA StylePellan, L., Dieye, C. A. T., Durand, N., Fontana, A., Strub, C., & Schorr-Galindo, S. (2021). Biocontrol Agents: Toolbox for the Screening of Weapons against Mycotoxigenic Fusarium. Journal of Fungi, 7(6), 446. https://doi.org/10.3390/jof7060446

