Variable Correlation between Bronchoalveolar Lavage Fluid Fungal Load and Serum-(1,3)-β-d-Glucan in Patients with Pneumocystosis—A Multicenter ECMM Excellence Center Study
Abstract
1. Introduction
2. Materials and Methods
2.1. Participating Centers and Patients
2.2. (1,3)-β-d-Glucan Assay
2.3. qPCR Assays and Calibration
2.4. Graphs and Statistical Analysis
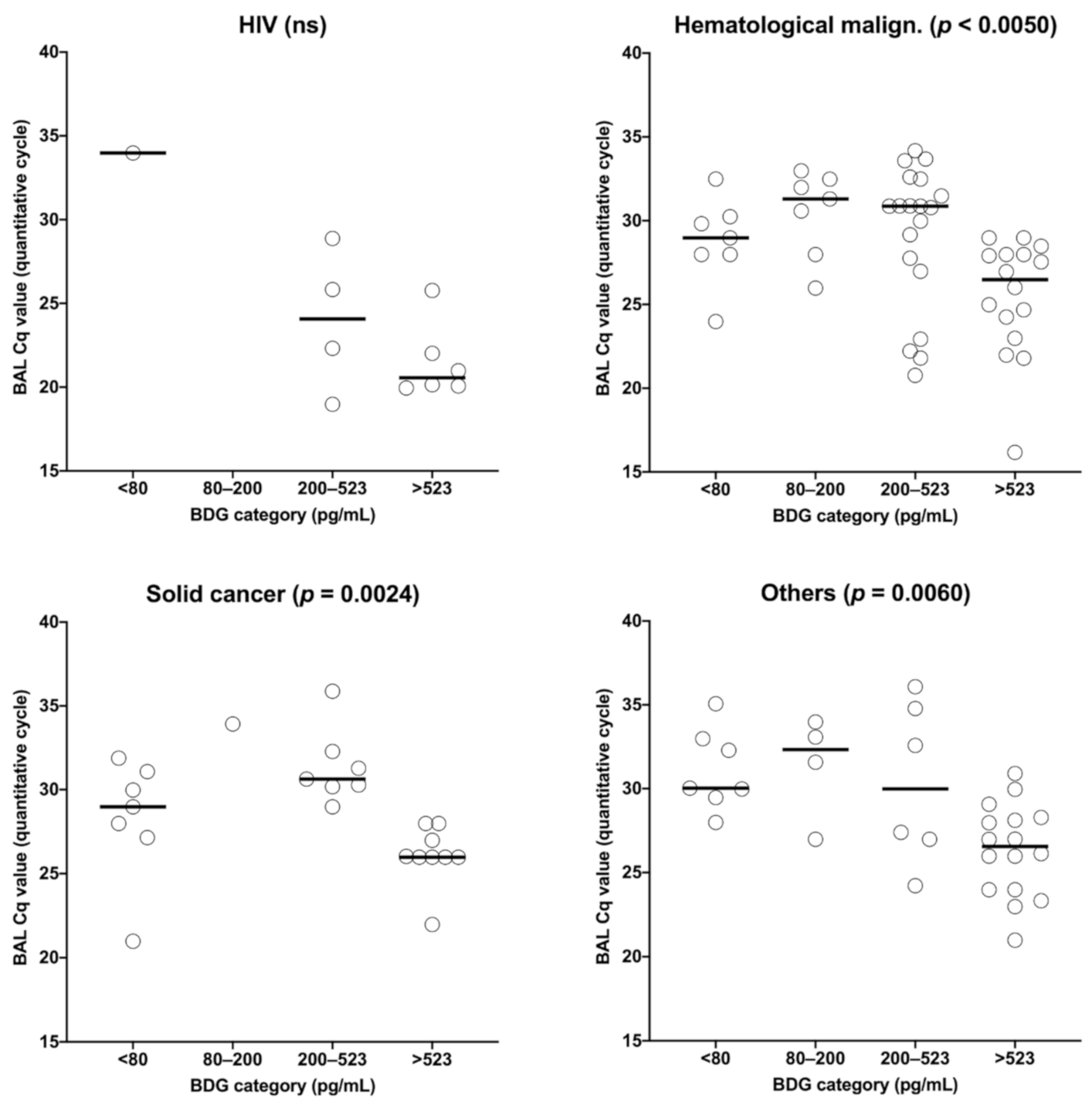
3. Results
4. Discussion
Supplementary Materials
Author Contributions
Funding
Acknowledgments
Conflicts of Interest
References
- Bitar, D.; Lortholary, O.; Strat, Y.L.; Nicolau, J.; Coignard, B.; Tattevin, P.; Che, D.; Dromer, F. Population-Based Analysis of Invasive Fungal Infections, France, 2001–2010. Emerg. Infect. Dis. 2014, 20, 1163–1169. [Google Scholar] [CrossRef] [PubMed]
- Thomas, C.F.; Limper, A.H. Current insights into the biology and pathogenesis of Pneumocystis pneumonia. Nat. Rev. Microbiol. 2007, 5, 298–308. [Google Scholar] [CrossRef] [PubMed]
- Dunbar, A.; Schauwvlieghe, A.; Algoe, S.; van Hellemond, J.J.; Reynders, M.; Vandecasteele, S.; Boelens, J.; Depuydt, P.; Rijnders, B. Epidemiology of Pneumocystis jirovecii Pneumonia and (Non-)use of Prophylaxis. Front. Cell. Infect. Microbiol. 2020, 10, 224. [Google Scholar] [CrossRef] [PubMed]
- Cordonnier, C.; Cesaro, S.; Maschmeyer, G.; Einsele, H.; Donnelly, J.P.; Alanio, A.; Hauser, P.M.; Lagrou, K.; Melchers, W.J.G.; Helweg-Larsen, J.; et al. Pneumocystis jirovecii pneumonia: Still a concern in patients with haematological malignancies and stem cell transplant recipients. J. Antimicrob. Chemother. 2016, 71, 2379–2385. [Google Scholar] [CrossRef]
- Lim, S.K.; Eveland, W.C.; Porter, R.J. Direct Fluorescent-Antibody Method for the Diagnosis of Pneumocystis carinii Pneumonitis from Sputa or Tracheal Aspirates from Humans. Appl. Microbiol. 1974, 27, 144–149. [Google Scholar] [CrossRef]
- Wakefield, A.E.; Pixley, F.J.; Banerji, S.; Sinclair, K.; Miller, R.F.; Moxon, E.R.; Hopkin, J.M. Detection of Pneumocystis carinii with DNA amplification. Lancet 1990, 336, 451–453. [Google Scholar] [CrossRef]
- Yasuoka, A.; Tachikawa, N.; Shimada, K.; Kimura, S.; Oka, S. (1-) beta-d-glucan as a quantitative serological marker for Pneumocystis carinii pneumonia. Clin. Diagn. Lab. Immunol. 1996, 3, 197–199. [Google Scholar] [CrossRef]
- Alanio, A.; Hauser, P.M.; Lagrou, K.; Melchers, W.J.G.; Helweg-Larsen, J.; Matos, O.; Cesaro, S.; Maschmeyer, G.; Einsele, H.; Donnelly, J.P.; et al. ECIL guidelines for the diagnosis of Pneumocystis jirovecii pneumonia in patients with haematological malignancies and stem cell transplant recipients. J. Antimicrob. Chemother. 2016, 71, 2386–2396. [Google Scholar] [CrossRef]
- Fan, L.-C.; Lu, H.-W.; Cheng, K.-B.; Li, H.-P.; Xu, J.-F. Evaluation of PCR in Bronchoalveolar Lavage Fluid for Diagnosis of Pneumocystis jirovecii Pneumonia: A Bivariate Meta-Analysis and Systematic Review. PLoS ONE 2013, 8, e73099. [Google Scholar] [CrossRef]
- Karageorgopoulos, D.E.; Qu, J.-M.; Korbila, I.P.; Zhu, Y.-G.; Vasileiou, V.A.; Falagas, M.E. Accuracy of β-D-glucan for the diagnosis of Pneumocystis jirovecii pneumonia: A meta-analysis. Clin. Microbiol. Infect. 2013, 19, 39–49. [Google Scholar] [CrossRef]
- Corpo, O.D.; Butler-Laporte, G.; Sheppard, D.C.; Cheng, M.P.; McDonald, E.G.; Lee, T.C. Diagnostic accuracy of serum (1-3)-β-d-Glucan for Pneumocystis jirovecii pneumonia: A systematic review and meta-analysis. Clin. Microbiol. Infect. 2020, 26, 1137–1143. [Google Scholar] [CrossRef] [PubMed]
- Szvalb, A.D.; Malek, A.E.; Jiang, Y.; Bhatti, M.M.; Wurster, S.; Kontoyiannis, D.P. Serum (1,3)-Beta-d-Glucan has suboptimal performance for the diagnosis of Pneumocystis jirovecii pneumonia in cancer patients and correlates poorly with respiratory burden as measured by quantitative PCR. J. Infect. 2020, 81, 443–451. [Google Scholar] [CrossRef] [PubMed]
- Damiani, C.; Gal, S.L.; Costa, C.D.; Virmaux, M.; Nevez, G.; Totet, A. Combined Quantification of Pulmonary Pneumocystis jirovecii DNA and Serum (1→3)-β-d-Glucan for Differential Diagnosis of Pneumocystis Pneumonia and Pneumocystis Colonization. J. Clin. Microbiol. 2013, 51, 3380–3388. [Google Scholar] [CrossRef] [PubMed]
- Gits-Muselli, M.; White, P.L.; Mengoli, C.; Chen, S.; Crowley, B.; Dingemans, G.; Fréalle, E.; Gorton, R.L.; Guiver, M.; Hagen, F.; et al. The Fungal PCR Initiative’s evaluation of in-house and commercial Pneumocystis jirovecii qPCR assays: Toward a standard for a diagnostics assay. Med. Mycol. 2019, 58, 779–788. [Google Scholar] [CrossRef]
- Angebault, C.; Lanternier, F.; Dalle, F.; Schrimpf, C.; Roupie, A.-L.; Dupuis, A.; Agathine, A.; Scemla, A.; Paubelle, E.; Caillot, D.; et al. Prospective Evaluation of Serum β-Glucan Testing in Patients with Probable or Proven Fungal Diseases. Open Forum Infect. Dis. 2016, 3, ofw128. [Google Scholar] [CrossRef]
- Azoulay, E.; Guigue, N.; Darmon, M.; Mokart, D.; Lemiale, V.; Kouatchet, A.; Mayaux, J.; Vincent, F.; Nyunga, M.; Bruneel, F.; et al. (1,3)-β-d-glucan assay for diagnosing invasive fungal infections in critically ill patients with hematological malignancies. Oncotarget 2016, 7, 21484. [Google Scholar] [CrossRef]
- Marty, F.M.; Lowry, C.M.; Lempitski, S.J.; Kubiak, D.W.; Finkelman, M.A.; Baden, L.R. Reactivity of (1→3)-β-d-Glucan Assay with Commonly Used Intravenous Antimicrobials. Antimicrob. Agents Chemother. 2006, 50, 3450–3453. [Google Scholar] [CrossRef]
- Albert, O.; Toubas, D.; Strady, C.; Cousson, J.; Delmas, C.; Vernet, V.; Villena, I. Reactivity of (1→3)-β-d-glucan assay in bacterial bloodstream infections. Eur. J. Clin. Microbiol. 2011, 30, 1453–1460. [Google Scholar] [CrossRef]
- Mercier, T.; Guldentops, E.; Patteet, S.; Beuselinck, K.; Lagrou, K.; Maertens, J. Beta-d-Glucan for Diagnosing Pneumocystis Pneumonia: A Direct Comparison between the Wako β-Glucan Assay and the Fungitell Assay. J. Clin. Microbiol. 2019, 57. [Google Scholar] [CrossRef]
- Costabel, U. Bronchoalveolar lavage: A standardized procedure or a technical dilemma? Eur. Respir. J. 1991, 4, 776–777. [Google Scholar]
- Alanio, A.; Desoubeaux, G.; Sarfati, C.; Hamane, S.; Bergeron, A.; Azoulay, E.; Molina, J.M.; Derouin, F.; Menotti, J. Real-time PCR assay-based strategy for differentiation between active Pneumocystis jirovecii pneumonia and colonization in immunocompromised patients. Clin. Microbiol. Infect. 2011, 17, 1531–1537. [Google Scholar] [CrossRef] [PubMed]
- Mühlethaler, K.; Bögli-Stuber, K.; Wasmer, S.; von Garnier, C.; Dumont, P.; Rauch, A.; Mühlemann, K.; Garzoni, C. Quantitative PCR to diagnosePneumocystispneumonia in immunocompromised non-HIV patients. Eur. Respir. J. 2012, 39, 971–978. [Google Scholar] [CrossRef] [PubMed]
- Bossart, S.; Mühlethaler, K.; Garzoni, C.; Furrer, H. Is real time PCR preferable to the direct immunofluorescence in the diagnosis of Pneumocystis jirovecii pneumonia in HIV-infected patients? BMC Res. Notes 2020, 13, 235. [Google Scholar] [CrossRef] [PubMed]





| Patients Enrolled, n (%) | PCP, n (%) | PCC, n (%) | |
|---|---|---|---|
| Center 1 | 66 (44.9) | 66 (56.4) | 0 |
| Center 2 | 65 (44.2) | 37 (31.6) | 28 (93.3) |
| Center 3 | 8 (5.4) | 6 (5.1) | 2 (6.7) |
| Center 4 | 4 (2.7) | 4 (3.4) | 0 |
| Center 5 | 4 (2.7) | 4 (3.4) | 0 |
| Total | 147 | 117 | 30 |
| Underlying Diseases | All, n (%) | PCP, n (%) | PCC, n (%) |
|---|---|---|---|
| Hematological malignancies | 68 (46.3) | 49 (41.9) | 19 (63.3) |
| Solid Cancer | 26 (17.7) | 24 (20.5) | 2 (6.7) |
| HIV | 13 (8.8) | 11 (9.4) | 2 (6.7) |
| Solid organ transplantation | 13 (8.8) | 11 (9.4) | 2 (6.7) |
| Systemic disease | 14 (9.5) | 10 (8.5) | 4 (13.3) |
| Other | 13 (8.8) | 12 (10.3) | 1 (3.3) |
| Total | 147 | 117 | 30 |
Publisher’s Note: MDPI stays neutral with regard to jurisdictional claims in published maps and institutional affiliations. |
© 2020 by the authors. Licensee MDPI, Basel, Switzerland. This article is an open access article distributed under the terms and conditions of the Creative Commons Attribution (CC BY) license (http://creativecommons.org/licenses/by/4.0/).
Share and Cite
Mercier, T.; Aissaoui, N.; Gits-Muselli, M.; Hamane, S.; Prattes, J.; Kessler, H.H.; Mareković, I.; Pleško, S.; Steinmann, J.; Scharmann, U.; et al. Variable Correlation between Bronchoalveolar Lavage Fluid Fungal Load and Serum-(1,3)-β-d-Glucan in Patients with Pneumocystosis—A Multicenter ECMM Excellence Center Study. J. Fungi 2020, 6, 327. https://doi.org/10.3390/jof6040327
Mercier T, Aissaoui N, Gits-Muselli M, Hamane S, Prattes J, Kessler HH, Mareković I, Pleško S, Steinmann J, Scharmann U, et al. Variable Correlation between Bronchoalveolar Lavage Fluid Fungal Load and Serum-(1,3)-β-d-Glucan in Patients with Pneumocystosis—A Multicenter ECMM Excellence Center Study. Journal of Fungi. 2020; 6(4):327. https://doi.org/10.3390/jof6040327
Chicago/Turabian StyleMercier, Toine, Nesrine Aissaoui, Maud Gits-Muselli, Samia Hamane, Juergen Prattes, Harald H. Kessler, Ivana Mareković, Sanja Pleško, Jörg Steinmann, Ulrike Scharmann, and et al. 2020. "Variable Correlation between Bronchoalveolar Lavage Fluid Fungal Load and Serum-(1,3)-β-d-Glucan in Patients with Pneumocystosis—A Multicenter ECMM Excellence Center Study" Journal of Fungi 6, no. 4: 327. https://doi.org/10.3390/jof6040327
APA StyleMercier, T., Aissaoui, N., Gits-Muselli, M., Hamane, S., Prattes, J., Kessler, H. H., Mareković, I., Pleško, S., Steinmann, J., Scharmann, U., Maertens, J., Lagrou, K., Denis, B., Bretagne, S., & Alanio, A. (2020). Variable Correlation between Bronchoalveolar Lavage Fluid Fungal Load and Serum-(1,3)-β-d-Glucan in Patients with Pneumocystosis—A Multicenter ECMM Excellence Center Study. Journal of Fungi, 6(4), 327. https://doi.org/10.3390/jof6040327

