A Comprehensive Gene Expression Profile of Pectin Degradation Enzymes Reveals the Molecular Events during Cell Wall Degradation and Pathogenesis of Rice Sheath Blight Pathogen Rhizoctonia solani AG1-IA
Abstract
1. Introduction
2. Materials and Methods
2.1. Plant Material, Pathogen Strains, and Sample Preparation
2.2. RNAseq and Sequence Analysis
2.3. Quantitative Real-Time PCR (qRT-PCR)
2.4. Statistical Analysis
3. Results
3.1. RNA Sequencing and Sequence Statistics
3.2. Classification of Genes Based on Their Functions
Secreted Proteins and Cytochrome P450 Monooxygenases
3.3. Transcription Factors
3.4. Carbohydrate Active Enzymes
3.5. Pectin Degrading (PD) Enzymes
3.5.1. Expression Analysis of PD Genes at Different Time Points after Infection
3.5.2. Expression Analysis of PD Genes in Different Rice Genotypes
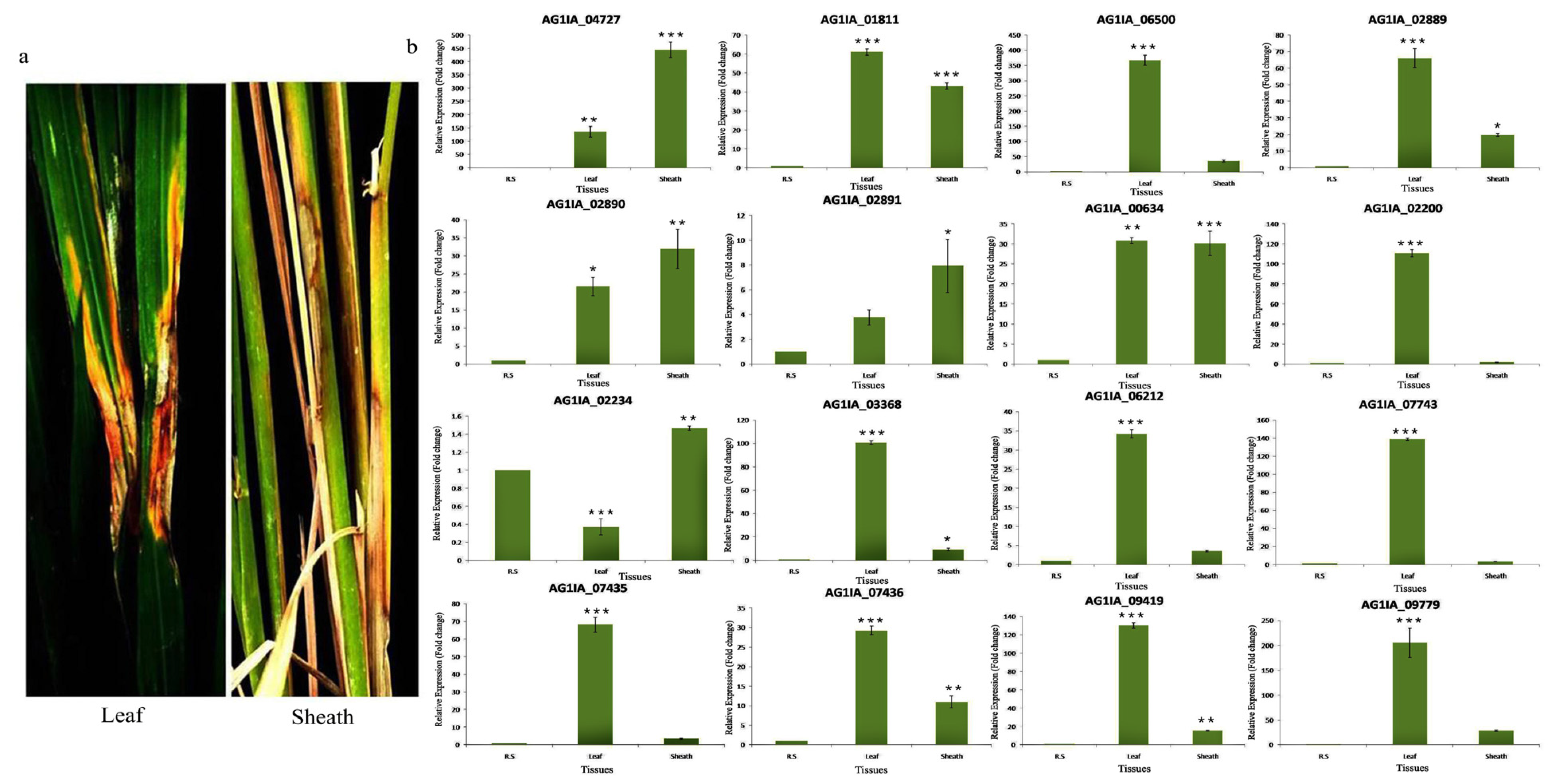
3.5.3. Expression Analysis of PD Genes in Leaf Blade and Sheath Tissues
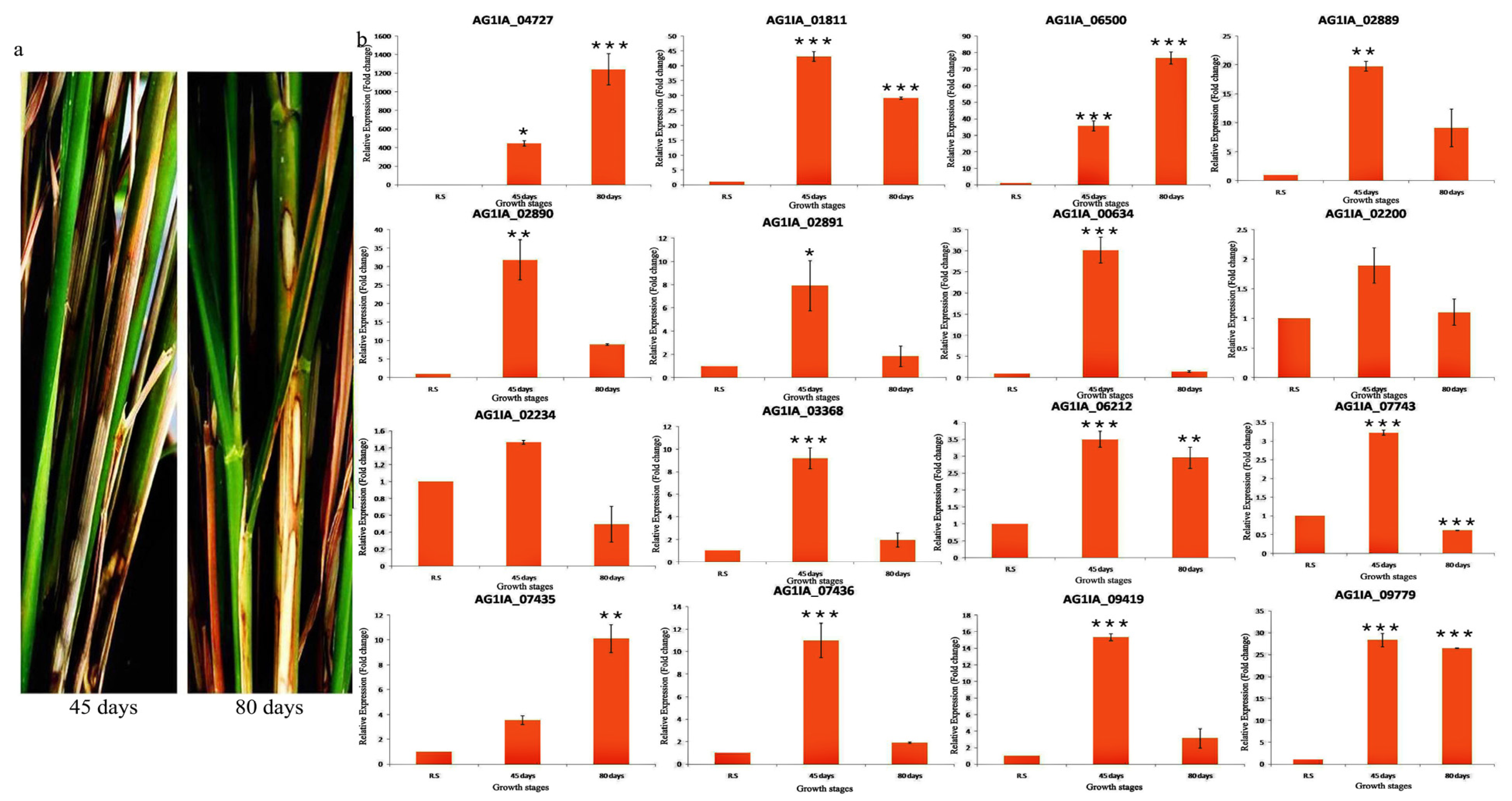
3.5.4. Expression Analysis of PD Genes in Different Growth Stages of Rice
3.5.5. Expression Analysis of PD Genes in Different Strains of R. solani
4. Discussion
5. Conclusions
Supplementary Materials
Author Contributions
Acknowledgments
Conflicts of Interest
Data Availability
References
- Singh, A.; Singh, U.S.; Willocquet, L.; Savary, S. Relationship among cultural/ morphological characteristics, anastomosis behaviour and pathogenecity of Rhizoctonia solani Kühn on rice. J. Mycol. Plant Pathol. 1999, 29, 306–316. [Google Scholar]
- Nagaraj, B.T.; Sunkad, G.; Pramesh, D.; Naik, M.K.; Patil, M.B. Host Range Studies of Rice Sheath Blight Fungus Rhizoctonia solani (Kuhn). Int. J. Curr. Microbiol. App. Sci. 2017, 6, 3856–3864. [Google Scholar] [CrossRef]
- Ogoshi, A. Ecology and pathogenicity of anastomosis and intraspecific groups of Rhizoctonia solani Kühn. Phytopathol 1987, 25, 125–143. [Google Scholar] [CrossRef]
- Zheng, A.; Lin, R.; Zhang, D.; Qin, P.; Xu, L.; Ai, P.; Ding, L.; Wang, Y.; Chen, Y.; Liu, Y.; et al. The evolution and pathogenic mechanisms of the rice sheath blight pathogen. Nat. Commun. 2013, 4, 1424. [Google Scholar] [CrossRef] [PubMed]
- Groth, D.E. Effects of cultivar resistance and single fungicide application on rice sheath blight, yield, and quality. Crop. Prot. 2008, 27, 1125–1130. [Google Scholar] [CrossRef]
- Uppala, S.; Zhou, X.G. Rice Sheath Blight. Plant Health Instr. 2018. [Google Scholar] [CrossRef]
- Taguchi-Shiobara, F.; Ozaki, H.; Sato, H.; Maeda, H.; Kojima, Y.; Ebitani, T.; Yano, M. Mapping and validation of QTLs for rice sheath blight resistance. Breed. Sci. 2013, 63, 301–308. [Google Scholar] [CrossRef]
- Chen, Z.X.; Zhang, Y.F.; Feng, F.; Feng, M.H.; Jiang, W.; Ma, Y.Y.; Pan, C.H.; Hua, H.L.; Li, G.S.; Pan, X.B.; et al. Improvement of japonica rice resistance to sheath blight by pyramiding qSB-9TQ and qSB-7TQ. Field Crops Res. 2014, 161, 118–127. [Google Scholar] [CrossRef]
- Sripriya, R.; Raghupathy, V.; Veluthambi, K. Generation of selectable marker-free sheath blight resistant transgenic rice plants by efficient co-transformation of a cointegrate vector T-DNA and abinary vector T-DNA in one Agrobacterium tumefaciens strain. Plant Cell Rep. 2008, 27, 1635–1644. [Google Scholar] [CrossRef]
- Datta, K.; Velazhahan, R.; Oliva, N.; Ona, I.; Mew, T.; Khush, G.S.; Muthukrishnan, S.; Datta, S.K. Over-expression of the cloned rice thaumatin-like protein (PR-5) gene in transgenic rice plants enhances environmental friendly resistance to Rhizoctonia solani causing sheath blight disease. Theor. Appl. Genet. 1999, 98, 1138–1145. [Google Scholar] [CrossRef]
- Zhang, H.; Wang, S. Rice versus Xanthomonas oryzae pv. oryzae: A unique pathosystem. Curr. Opin. Plant Biol. Vol. 2013, 16, 188–195. [Google Scholar] [CrossRef] [PubMed]
- Ma, W.; Zou, L.; Zhiyuan, J.; Xiameng, X.; Zhengyin, X.; Yang, Y.; Alfano, J.R.; Chen, G. Xanthomonas oryzae pv. oryzae TALE proteins recruit OsTFIIAγ1 to compensate for the absence of OsTFIIAγ5 in bacterial blight in rice. Mol. Plant Pathol. 2018, 19, 2248–2262. [Google Scholar] [CrossRef] [PubMed]
- Yan, X.; Talbot, N.J. Investigating the cell biology of plant infection by the rice blast fungus Magnaporthe oryzae. Curr. Opin. Microbiol. 2016, 34, 147–153. [Google Scholar] [CrossRef] [PubMed]
- Ghosh, S.; Gupta, S.K.; Jha, G. Identification and functional analysis of AG1-IA specific genes of Rhizoctonia solani. Curr. Genet. 2014, 60, 327–341. [Google Scholar] [CrossRef] [PubMed]
- Ghosh, S.; Kanwar, P.; Jha, G. Identification of candidate pathogenicity determinants of Rhizoctonia solani AG1-IA, which causes sheath blight disease in rice. Curr. Genet. 2018, 64, 729–740. [Google Scholar] [CrossRef] [PubMed]
- Prathi, N.B.; Palit, P.; Madhu, P.; Ramesh, M.; Laha, G.S.; Balachandran, S.M.; Madhav, M.S.; Sundaram, R.M.; Mangrauthia, S.K. Proteomic and transcriptomic approaches to identify resistance and susceptibility related proteins in contrasting rice genotypes infected with fungal pathogen Rhizoctonia solani. Plant Physiol. Biochem. 2018, 130, 258–266. [Google Scholar] [CrossRef]
- Shu, C.; Zhao, M.; Anderson, J.P. Transcriptome analysis reveals molecular mechanisms of sclerotial development in the rice sheath blight pathogen Rhizoctonia solani AG1-IA. Funct. Integr. Genom. 2019, 19, 743–758. [Google Scholar] [CrossRef]
- Wang, Z.; Gerstein, M.; Snyder, M. RNA-Seq: A revolutionary tool for transcriptomics. Nat. Rev. Genet. 2009, 10, 57–63. [Google Scholar] [CrossRef]
- Kawahara, Y.; Oono, Y.; Kanamori, H.; Matsumoto, T.; Itoh, T.; Minami, E. Simultaneous RNA-Seq Analysis of a Mixed Transcriptome of Rice and Blast Fungus Interaction. PLoS ONE 2012, 7, e49423. [Google Scholar] [CrossRef]
- Ding, Y.; Mei, J.; Chai, Y.; Yu, Y.; Shao, C.; Wu, Q.; Disi, J.O.; Li, Y.; Wan, H.; Qian, W. Simultaneous Transcriptome Analysis of Host and Pathogen Highlights the Interaction Between Brassica oleracea and Sclerotinia sclerotiorum. Phytopathology 2019, 109, 542–550. [Google Scholar] [CrossRef]
- Lanver, D.; Müller, A.N.; Happel, P.; Schweizer, G.; Haas, F.B.; Franitza, M.; Pellegrin, C.; Reissmann, S.; Altmüller, J.; Rensing, S.A.; et al. The Biotrophic Development of Ustilago maydis Studied by RNA-Seq Analysis. Plant Cell 2018, 30, 300–323. [Google Scholar] [CrossRef] [PubMed]
- Enguita, F.J.; Costa, M.C.; Fusco Almeida, A.M.; Mendes Giannini, M.J.; Leitão, A.L. Transcriptomic Crosstalk between Fungal Invasive Pathogens and Their Host Cells: Opportunities and Challenges for Next-Generation Sequencing Methods. J. Fungi 2016, 2, 7. [Google Scholar] [CrossRef] [PubMed]
- Verwaaijen, B.; Wibberg, D.; Krober, M.; Winkler, A.; Zrenner, R. The Rhizoctonia solaniAG1-IB (isolate 7/3/14) transcriptome during interaction with the host plant lettuce (Lactuca sativa L.). PLoS ONE 2017, 12, e0177278. [Google Scholar] [CrossRef] [PubMed]
- Zhu, C.; Ai, L.; Wang, L.; Yin, P.; Liu, C.; Li, S.; Zeng, H. De novo transcriptome analysis of Rhizoctonia solani AG1 IA strain early invasion in Zoysia japonica root. Front. Microbiol. 2016, 7, 708. [Google Scholar] [CrossRef] [PubMed]
- Copley, T.R.; Duggavathi, R.; Jabaji, S. The transcriptional landscape of Rhizoctonia solani AG1-IA during infection of soybean as defined by RNA-seq. PLoS ONE 2017, 12, e0184095. [Google Scholar] [CrossRef] [PubMed]
- Xia, Y.; Fei, B.; He, J.; Zhou, M.; Zhang, D.; Pan, L.; Li, S.; Liang, Y.; Wang, L.; Zhu, J.; et al. Transcriptome analysis reveals the host selection fitness mechanisms of the Rhizoctonia solani AG1IA pathogen. Sci. Rep. 2017, 7, 10120. [Google Scholar] [CrossRef]
- De Lorenzo, G.; Castoria, R.; Bellincampi, D.; Cervone, F. Fungal invasion enzymes and their inhibition. In The Mycota; Carroll, G.C., Tudzynski, P., Eds.; Springer: Berlin, Germany, 1997; Volume 5, pp. 61–83. [Google Scholar]
- Xue, C.Y.; Zhou, R.J.; Yuan, J.L.; Viao, D.; Jun Fan, F. Cell-wall-degrading enzymes produced in vitro and in vivo by Rhizocto4hnia solani, the causative fungus of peanut sheath blight. PeerJ 2018, 6, e55808. [Google Scholar] [CrossRef]
- Zhou, S.; Liu, Y.; Zhang, M.; Li, B.D.; Chen, X.J.; Liang, W.X. Comparison of the virulence and cognate virulence factors of multinucleate, binucleate and uninucleate Rhizoctonia isolates, causing sheath blight on maize plants. Eur. J. Plant Pathol. 2016, 145, 501–506. [Google Scholar] [CrossRef]
- Gawade, D.B.; Perane, R.R.; Surywanshi, A.P.; Deokar, C.D. Extracellular enzymes activity determining the virulence of Rhizoctonia bataticola, causing root rot in soybean. Physiol. Mol. Plant Pathol. 2017, 100, 49–56. [Google Scholar] [CrossRef]
- Jia, Y.J.; Feng, B.Z.; Sun, W.X.; Zhang, X.G. Polygalacturonase, pectate lyase and pectin methylesterase activity in pathogenic strains of Phytophthora capsici incubated under different conditions. J. Phytopathol. 2009, 157, 585–591. [Google Scholar] [CrossRef]
- Lionetti, V.; Cervone, F.; Bellincampi, D. Methyl esterification of pectin plays a role during plant-pathogen interactions and affects plant resistance to diseases. J. Plant Physiol. 2012, 169, 1623–1630. [Google Scholar] [CrossRef] [PubMed]
- Lionetti, V.; Fabri, E.; De Caroli, M.; Hansen, A.R.; willats, W.G.; Piro, G.; Bellincampi, D. Three Pectin Methylesterase Inhibitors protect cell wall integrity for Arabidopsis immunity to Botrytis. Plant Physiol. 2017, 173, 1844–1863. [Google Scholar] [CrossRef] [PubMed]
- Chen, X.J.; Zhang, H.; Xu, J.Y.; Tong, Y.H.; Ji, Z.L. Cell wall degrading enzymes produced by Rhizoctonia solani and their pathogenicity to rice plants. Jiangsu J. Agric. Sci. 2006, 1, 2224. [Google Scholar]
- Pedrolli, D.B.; Monteiro, A.C.; Gomes, E.; Carmona, E.C. Pectin and pectinases: Production, characterization and industrial application of microbial Pectinolytic enzymes. Open Biotechnol. J. 2009, 3, 9–18. [Google Scholar] [CrossRef]
- Shi, J.; Kim, J.E.; Lee, Y.W.; Son, H. Fungal Cytochrome P450s and the P450 Complement (CYPome) of Fusarium graminearum. Toxins 2018, 10, 112. [Google Scholar]
- García-Estrada, C.; Domínguez-Santos, R.; Kosalková, K.; Martín, J.F. Transcription factors controlling primary and secondary metabolism in filamentous fungi: The β-Lactam paradigm. Fermentation 2018, 4, 47. [Google Scholar] [CrossRef]
- Channamallikarjuna, V.; Sonah, H.; Prasad, M.; Rao, G.J.N.; Chand, S.; Upreti, H.C.; Singh, N.K.; Sharma, T.R. Identification of major quantitative trait loci qSBR11-1 for sheath blight resistance in rice. Mol. Breed. 2010, 25, 155–166. [Google Scholar] [CrossRef]
- Dey, S.; Badri, J.; Prakasam, V.; Bhadana, V.P.; Eswari, K.B.; Laha, G.S. Identification agro-morphological characterization of rice genotypes resistant to sheath blight. Australas. Plant Pathol. 2016, 45, 145–153. [Google Scholar] [CrossRef]
- Yugander, A.; Ladhalakshmi, D.; Prakasham, V.; Mangrauthia, S.K.; Prasad, M.S.; Krishnaveni, D.; Madhav, M.S.; Sundaram, R.M.; Laha, G.S. Pathogenic and genetic variation among the isolates of Rhizoctoniasolani (AG 1-IA), the rice sheath blight pathogen. J. Phytopathol. 2015, 163, 465–474. [Google Scholar] [CrossRef]
- Rao, T.B.; Chopperla, R.; Methre, R.; Punniakotti, E.; Venkatesh, V.; Sailaja, B.; Raghurami, R.M.; Yugander, A.; Laha, G.S.; Sheshu Madhav, M.; et al. Pectin induced transcriptome of a Rhizoctonia solani strain causing sheath blight disease in rice reveals insights on key genes and RNAi machinery for development of pathogen derived resistance. Plant Mol. Biol. 2019, 100, 59. [Google Scholar] [CrossRef] [PubMed]
- Schmittgen, T.D.; Livak, K.J. Analyzing real-time PCR data by thecomparative C (T) method. Nat. Prot. 2008, 3, 1101–1108. [Google Scholar] [CrossRef] [PubMed]
- Chen, L.; Ai, P.; Zhang, J.; Deng, Q.; Wang, S.; Li, S.; Zhu, J.; Li, P.; Zheng, A. RSIADB, a collective resource for genome and transcriptome analyses in Rhizoctonia solani AG1 IA. Database 2016, 2016, baw031. [Google Scholar] [CrossRef] [PubMed]
- Chen, X.J.; Chen, Y.; Zhang, L.N.; Xu, B.; Zhang, J.H.; Chen, Z.X.; Tong, Y.H.; Zuo, S.M.; Xu, J.Y. Overexpression of OsPGIP1 enhances rice resistance to sheath blight. Plant Dis. 2016, 100, 388–395. [Google Scholar] [CrossRef] [PubMed]
- Dong, S.; Wang, Y. Nudix Effectors: A Common Weapon in the Arsenal of Plant Pathogens. PLoS Pathog. 2016, 13, e1005970. [Google Scholar] [CrossRef] [PubMed]
- Bhadauria, V.; Banniza, S.; Vandenberg, A.; Selvaraj, G.; Wei, Y. Overexpression of a Novel Biotrophy-Specific Colletotrichum truncatum Effector, CtNUDIX, in Hemibiotrophic Fungal Phytopathogens Causes Incompatibility with Their Host Plants. Eukaryotic 2013, 12, 2–11. [Google Scholar] [CrossRef] [PubMed]
- Dyrka, W.; Lamacchia, M.; Durrens, P. Diversity and variability of NOD-like receptors in fungi. Genome Biol. Evol. 2014, 6, 3137–3158. [Google Scholar] [CrossRef]
- Orosa, B.; He, Q.; Mesmar, J.; Gilroy, E.M.; McLellan, H.; Yang, C. BTB-BACK Domain Protein POB1 Suppresses Immune Cell Death by Targeting Ubiquitin E3 ligase PUB17 for Degradation. PLoS Genet. 2017, 13, e1006540. [Google Scholar] [CrossRef] [PubMed]
- Qu, N.; Gan, W.J.; Bi, D.L.; Xia, S.T.; Li, X.; Zhang, Y.L. Two BTB proteins function redundantly as negative regulators of defense against pathogens in Arabidopsis. Botany 2010, 88, 953–960. [Google Scholar] [CrossRef][Green Version]
- Durairaj, P.; Hur, J.S.; Yun, H. Versatile biocatalysis of fungal cytochrome P450 monooxygenases. Microb. Cell Fact. 2016, 15, 125. [Google Scholar] [CrossRef]
- Shelest, E. Transcription Factors in Fungi: TFome Dynamics, Three Major Families, and Dual-Specificity TFs. Front. Genet. 2017, 8, 53. [Google Scholar] [CrossRef]
- Campion, C.; Massiot, P.; Rouxel, F. Aggressiveness and production of cell-wall degrading enzymes by Pythium violae, Pythium sulcatum and Pythium ultimum, responsible for cavity spot on carrots. Eur. J. Plant Pathol. 1997, 103, 725–735. [Google Scholar] [CrossRef]
- Zerillo, M.M.; Adhikari, B.N.; Hamilton, J.P.; Buell, C.R.; Lévesque, C.A.; Tisserat, N. Carbohydrate-Active Enzymes in Pythium and Their Role in Plant Cell Wall and Storage Polysaccharide Degradation. PLoS ONE 2013, 8, e72572. [Google Scholar] [CrossRef] [PubMed]
- Hadfield, K.A.; Bennett, A.B. Polygalacturonases: Many genes insearch of a function. Plant Physiol. 1998, 117, 337–343. [Google Scholar] [CrossRef] [PubMed]
- Bethke, G.; Thao, A.; Xiong, G.; Soltis, N.E.; Hatsungai, N.; Hillmer, R.; Katagiri, F.; Kilebenstein, D.J.; Pauly, M.; Galzebrook, J. Pectin biosynthesis is critical for cell wall integrity and immunity in Arabidopsis thaliana. Plant Cell 2016, 28, 537–556. [Google Scholar] [CrossRef]
- Vogel, J.P.; Raab, T.K.; Somerville, C.R.; Somerville, S.C. Mutations in PMR5 result in powdery mildew resistance and altered cell wall composition. Plant. J. 2004, 40, 968–978. [Google Scholar] [CrossRef]
- Chen, X.; Lili, L.; Zhang, Y.; Zhang, J.; Ouyang, S.; Zhang, Q.; Tong, Y.; Xu, J.; Zuo, S. Functional analysis of polygalacturonase gene RsPG2 from Rhizoctonia solani, the pathogen of rice sheath blight. Eur. J. Plant Pathol. 2017, 149, 491–502. [Google Scholar] [CrossRef]
- Herbert, C.; Boudart, G.; Borel, C.; Jacquet, C.; Esquerre-Tugaye, M.T.; Dumas, B. Regulation and role of pectinases in phytopathogenic fungi. In Advancesin Pectin and Pectinase Research; Voragen, F., Schols, H., Visser, R., Eds.; Springer: Dordrecht, The Netherlands, 2003. [Google Scholar]
- Harholt, J.; Suttangkakul, A.; Vibe Scheller, H. Biosynthesis of pectin. Plant Physiol. 2010, 153, 384–395. [Google Scholar] [CrossRef]
- O’Neill, M.A.; Darvill, A.G.; Albersheim, P. The pectic polysaccharides in primary cell walls. In Methods in Plant Biochemistry; Dey, P.M., Ed.; Academic: London, UK, 1990; pp. 415–441. [Google Scholar]
- Benoit, I.; Coutinho, P.M.; Schols, H.A.; Gerlach, J.P.; Henrissat, B.; de Vries, R.P. Degradation of different pectins by fungi: Correlations and contrasts between the pectinolytic enzyme sets identified in genomes and the growth on pectins of different origin. BMC Genom. 2012, 13, 321. [Google Scholar] [CrossRef]
- Coenen, G.J.; Bakx, E.J.; Verhoef, R.P.; Schols, H.A.; Voragen, A.G.J. Identification of the connecting linkage between homo- or xylogalacturonan and rhamnogalacturonan type I. Carbohyd. Polym. 2007, 70, 224–235. [Google Scholar] [CrossRef]
- Rani, N.S.; Prasad, G.S.V.; Rao, L.B.S.; Sudharshan, I.; Pandey, M.K.; Babu, V.R.; Ram, T.; Padmavathi, G.; Muralidharan, K.; Pasalu, I.C.; et al. High Yielding Rice Varieties of India; Technical. Bulletin. No. 33.2008; Rajendranagar, A.P., Ed.; Directorate of Rice Research: Hyderabad, India; p. 188.
- Xu, Y.; Sechet, J.; Wu, Y.; Fu, Y.; Zhu, L.; Li, J. Rice sucrose partitioning mediated by a putative pectin methyltransferase and homogalacturonan methylesterification. Plant Physiol. 2017, 174, 1595–1608. [Google Scholar] [CrossRef]










| TN1 | BPT5204 | Tetep | Pankaj | |
|---|---|---|---|---|
| Raw Reads | 31,796,190 | 22,300,547 | 34,215,148 | 33,660,702 |
| Clean reads | 29,709,930 | 20,923,575 | 31,231,404 | 31,272,956 |
| Total mapped | 36,904 (0.124214%) | 1,126,634 (2.69226%) | 3,751,721 (12.0127%) | 2,081,471 (6.65582%) |
| Multiple mapped | 5424 (0.0182565%) | 63,940 (0.152794%) | 78,081 (0.250008%) | 57,214 (0.18295%) |
| Uniquely mapped | 31,480 (0.105958%) | 1,062,694 (2.53947%) | 3,673,640 (11.7626%) | 2,024,257 (6.47287%) |
| Read-1 | 16,224 (0.054608%) | 552,367 (1.31996%) | 1,895,574 (6.06945%) | 1,049,157 (3.35484%) |
| Read-2 | 15,256 (0.0513498%) | 510,327 (1.2195%) | 1,778,066 (5.6932%) | 975,100 (3.11803%) |
| Reads map to + | 16,810 (0.0565804%) | 533,654 (1.27525%) | 1,854,599 (5.93825%) | 1,024,606 (3.27633%) |
| Reads map to – | 14,670 (0.0493774%) | 529,040 (1.26422%) | 1,819,041 (5.8244%) | 999,651 (3.19654%) |
| Splice reads | 9423 (0.0317167%) | 405,652 (0.969366%) | 1,634,976 (5.23504%) | 1,005,575 (3.21548%) |
| Non-splice reads | 22,057 (0.0742412%) | 657,042 (1.5701%) | 2,038,664 (6.52761%) | 1,018,682 (3.25739%) |
© 2020 by the authors. Licensee MDPI, Basel, Switzerland. This article is an open access article distributed under the terms and conditions of the Creative Commons Attribution (CC BY) license (http://creativecommons.org/licenses/by/4.0/).
Share and Cite
Bhaskar Rao, T.; Chopperla, R.; Prathi, N.B.; Balakrishnan, M.; Prakasam, V.; Laha, G.S.; Balachandran, S.M.; Mangrauthia, S.K. A Comprehensive Gene Expression Profile of Pectin Degradation Enzymes Reveals the Molecular Events during Cell Wall Degradation and Pathogenesis of Rice Sheath Blight Pathogen Rhizoctonia solani AG1-IA. J. Fungi 2020, 6, 71. https://doi.org/10.3390/jof6020071
Bhaskar Rao T, Chopperla R, Prathi NB, Balakrishnan M, Prakasam V, Laha GS, Balachandran SM, Mangrauthia SK. A Comprehensive Gene Expression Profile of Pectin Degradation Enzymes Reveals the Molecular Events during Cell Wall Degradation and Pathogenesis of Rice Sheath Blight Pathogen Rhizoctonia solani AG1-IA. Journal of Fungi. 2020; 6(2):71. https://doi.org/10.3390/jof6020071
Chicago/Turabian StyleBhaskar Rao, Talluri, Ramakrishna Chopperla, Naresh Babu Prathi, Marudamuthu Balakrishnan, Vellaisamy Prakasam, Gouri Sankar Laha, Sena Munuswamy Balachandran, and Satendra K. Mangrauthia. 2020. "A Comprehensive Gene Expression Profile of Pectin Degradation Enzymes Reveals the Molecular Events during Cell Wall Degradation and Pathogenesis of Rice Sheath Blight Pathogen Rhizoctonia solani AG1-IA" Journal of Fungi 6, no. 2: 71. https://doi.org/10.3390/jof6020071
APA StyleBhaskar Rao, T., Chopperla, R., Prathi, N. B., Balakrishnan, M., Prakasam, V., Laha, G. S., Balachandran, S. M., & Mangrauthia, S. K. (2020). A Comprehensive Gene Expression Profile of Pectin Degradation Enzymes Reveals the Molecular Events during Cell Wall Degradation and Pathogenesis of Rice Sheath Blight Pathogen Rhizoctonia solani AG1-IA. Journal of Fungi, 6(2), 71. https://doi.org/10.3390/jof6020071

