Species-Specific Sensitivity and Levels of Beta-D-Glucan for the Diagnosis of Candidemia—A Systematic Review and Meta-Analysis
Abstract
1. Introduction
2. Methods
2.1. Literature Selection Criteria
2.2. Index Test and Reference Standard
2.3. Search Strategy for Identification of the Studies
2.4. Data Collection (Selection of Studies)
2.5. Data Extraction
2.6. Methodological Quality Assessment
2.7. Statistical Analysis
3. Results
3.1. Results of the Search
3.2. Characteristics of the Included Studies
3.3. Findings of the Study, Overall Pooled Sensitivity and Specificity, and Serum BDG Levels
3.4. Methodological Quality Assessments of Included Studies
3.5. Investigations of Heterogeneity
3.6. Distribution of Candida Species
3.7. Description of the Studies That Reported Species-Specific Sensitivity
3.8. Description of the Studies That Report Species-Specific Median BDG Levels
3.9. Species-Specific Differences in BDG Sensitivity and BDG Blood Levels for All BDG Assays
3.10. Species-Specific Differences in BDG Sensitivity and BDG Blood Levels for Fungitell Assay
3.11. Comparison of Different Candida Species
4. Discussion
4.1. Main Findings Part 1 (All Species)
Main Findings Part 2 (Different Species)
4.2. Comparison with Previous Meta-Analysis
4.3. Limitations of the Study
5. Conclusions
Supplementary Materials
Author Contributions
Funding
Institutional Review Board Statement
Informed Consent Statement
Data Availability Statement
Conflicts of Interest
References
- Bitar, D.; Lortholary, O.; Le Strat, Y.; Nicolau, J.; Coignard, B.; Tattevin, P.; Che, D.; Dromer, F. Population-based analysis of invasive fungal infections, France, 2001–2010. Emerg. Infect. Dis. 2014, 20, 1149–1155. [Google Scholar] [CrossRef] [PubMed]
- Soriano, A.; Honore, P.M.; Puerta-Alcalde, P.; Garcia-Vidal, C.; Pagotto, A.; Gonçalves-Bradley, D.C.; Verweij, P.E. Invasive candidiasis: Current clinical challenges and unmet needs in adult populations. J. Antimicrob. Chemother 2023, 78, 1569–1585. [Google Scholar] [CrossRef] [PubMed]
- Magill, S.S.; Edwards, J.R.; Bamberg, W.; Beldavs, Z.G.; Dumyati, G.; Kainer, M.A.; Lynfield, R.; Maloney, M.; McAllister-Hollod, L.; Nadle, J.; et al. Multistate point-prevalence survey of health care-associated infections. N. Engl. J. Med. 2014, 370, 1198–1208. [Google Scholar] [CrossRef]
- Hajjeh, R.A.; Sofair, A.N.; Harrison, L.H.; Lyon, G.M.; Arthington-Skaggs, B.A.; Mirza, S.A.; Phelan, M.; Morgan, J.; Lee-Yang, W.; Ciblak, M.A.; et al. Incidence of bloodstream infections due to Candida species and in vitro susceptibilities of isolates collected from 1998 to 2000 in a population-based active surveillance program. J. Clin. Microbiol. 2004, 42, 1519–1527. [Google Scholar] [CrossRef] [PubMed]
- Cleveland, A.A.; Farley, M.M.; Harrison, L.H.; Stein, B.; Hollick, R.; Lockhart, S.R.; Magill, S.S.; Derado, G.; Park, B.J.; Chiller, T.M. Changes in incidence and antifungal drug resistance in candidemia: Results from population-based laboratory surveillance in Atlanta and Baltimore, 2008–2011. Clin. Infect. Dis. 2012, 55, 1352–1361. [Google Scholar] [CrossRef]
- Klingspor, L.; Tortorano, A.M.; Peman, J.; Willinger, B.; Hamal, P.; Sendid, B.; Velegraki, A.; Kibbler, C.; Meis, J.F.; Sabino, R.; et al. Invasive Candida infections in surgical patients in intensive care units: A prospective, multicentre survey initiated by the European Confederation of Medical Mycology (ECMM) (2006–2008). Clin. Microbiol. Infect. 2015, 21, 87.e1–87.e10. [Google Scholar] [CrossRef]
- Milazzo, L.; Peri, A.M.; Mazzali, C.; Grande, R.; Cazzani, C.; Ricaboni, D.; Castelli, A.; Raimondi, F.; Magni, C.; Galli, M.; et al. Candidaemia observed at a university hospital in Milan (northern Italy) and review of published studies from 2010 to 2014. Mycopathologia 2014, 178, 227–241. [Google Scholar] [CrossRef]
- Salmanton-García, J.; Cornely, O.A.; Stemler, J.; Barać, A.; Steinmann, J.; Siváková, A.; Akalin, E.H.; Arikan-Akdagli, S.; Loughlin, L.; Toscano, C.; et al. Attributable mortality of candidemia—Results from the ECMM Candida III multinational European Observational Cohort Study. J. Infect. 2024, 89, 106229. [Google Scholar] [CrossRef] [PubMed]
- Doğan, Ö.; Yeşilkaya, A.; Menekşe, Ş.; Güler, Ö.; Karakoç, Ç.; Çınar, G.; Kapmaz, M.; Aydın, M.; Keske, Ş.; Şahin, S.; et al. Effect of initial antifungal therapy on mortality among patients with bloodstream infections with different Candida species and resistance to antifungal agents: A multicentre observational study by the Turkish Fungal Infections Study Group. Int. J. Antimicrob. Agents 2020, 56, 105992. [Google Scholar] [CrossRef]
- Cui, N.; Wang, H.; Qiu, H.; Li, R.; Liu, D. Impact of initial empirical antifungal agents on the outcome of critically ill patients with invasive candidiasis: Analysis of the China-SCAN study. Int. J. Antimicrob. Agents 2017, 50, 74–80. [Google Scholar] [CrossRef] [PubMed]
- Mesini, A.; Mikulska, M.; Giacobbe, D.R.; Del Puente, F.; Gandolfo, N.; Codda, G.; Orsi, A.; Tassinari, F.; Beltramini, S.; Marchese, A.; et al. Changing epidemiology of candidaemia: Increase in fluconazole-resistant Candida parapsilosis. Mycoses 2020, 63, 361–368. [Google Scholar] [CrossRef]
- Meletiadis, J.; Siopi, M.; Spruijtenburg, B.; Georgiou, P.C.; Kostoula, M.; Vourli, S.; Frantzeskaki, F.; Paramythiotou, E.; Meis, J.F.; Tsangaris, I.; et al. Candida auris fungaemia outbreak in a tertiary care academic hospital and emergence of a pan-echinocandin resistant isolate, Greece, 2021 to 2023. Eurosurveillance 2024, 29, 2400128. [Google Scholar] [CrossRef] [PubMed]
- Khan, Z.; Ahmad, S.; Al-Sweih, N.; Mokaddas, E.; Al-Banwan, K.; Alfouzan, W.; Al-Obaid, I.; Al-Obaid, K.; Asadzadeh, M.; Jeragh, A.; et al. Changing trends in epidemiology and antifungal susceptibility patterns of six bloodstream Candida species isolates over a 12-year period in Kuwait. PLoS ONE 2019, 14, e0216250. [Google Scholar] [CrossRef]
- Giacobbe, D.R.; Maraolo, A.E.; Simeon, V.; Magnè, F.; Pace, M.C.; Gentile, I.; Chiodini, P.; Viscoli, C.; Sanguinetti, M.; Mikulska, M.; et al. Changes in the relative prevalence of candidaemia due to non-albicans Candida species in adult in-patients: A systematic review, meta-analysis and meta-regression. Mycoses 2020, 63, 334–342. [Google Scholar] [CrossRef] [PubMed]
- Lamoth, F.; Lockhart, S.R.; Berkow, E.L.; Calandra, T. Changes in the epidemiological landscape of invasive candidiasis. J. Antimicrob. Chemother 2018, 73, i4–i13. [Google Scholar] [CrossRef]
- Camp, I.; Spettel, K.; Willinger, B. Molecular Methods for the Diagnosis of Invasive Candidiasis. J. Fungi 2020, 6, 101. [Google Scholar] [CrossRef] [PubMed]
- Giacobbe, D.R.; Mikulska, M.; Vena, A.; Di Pilato, V.; Magnasco, L.; Marchese, A.; Bassetti, M. Challenges in the diagnosis and treatment of candidemia due to multidrug-resistant Candida auris. Front. Fungal Biol. 2023, 4, 1061150. [Google Scholar] [CrossRef]
- Pappas, P.G.; Kauffman, C.A.; Andes, D.R.; Clancy, C.J.; Marr, K.A.; Ostrosky-Zeichner, L.; Reboli, A.C.; Schuster, M.G.; Vazquez, J.A.; Walsh, T.J.; et al. Clinical Practice Guideline for the Management of Candidiasis: 2016 Update by the Infectious Diseases Society of America. Clin. Infect. Dis. 2016, 62, e1–e50. [Google Scholar] [CrossRef]
- Clancy, C.J.; Nguyen, M.H. Finding the “missing 50%” of invasive candidiasis: How nonculture diagnostics will improve understanding of disease spectrum and transform patient care. Clin. Infect. Dis. 2013, 56, 1284–1292. [Google Scholar] [CrossRef] [PubMed]
- Atamna, A.; Eliakim-Raz, N.; Mohana, J.; Ben-Zvi, H.; Sorek, N.; Shochat, T.; Bishara, J. Predicting candidemia in the internal medicine wards: A comparison with gram-negative bacteremia-a retrospectives study. Diagn. Microbiol. Infect. Dis. 2019, 95, 80–83. [Google Scholar] [CrossRef] [PubMed]
- Theel, E.S.; Doern, C.D. β-D-glucan testing is important for diagnosis of invasive fungal infections. J. Clin. Microbiol. 2013, 51, 3478–3483. [Google Scholar] [CrossRef] [PubMed]
- Cuenca-Estrella, M.; Verweij, P.E.; Arendrup, M.C.; Arikan-Akdagli, S.; Bille, J.; Donnelly, J.P.; Jensen, H.E.; Lass-Flörl, C.; Richardson, M.D.; Akova, M.; et al. ESCMID* guideline for the diagnosis and management of Candida diseases 2012: Diagnostic procedures. Clin. Microbiol. Infect. 2012, 18 (Suppl. S7), 9–18. [Google Scholar] [CrossRef] [PubMed]
- Haydour, Q.; Hage, C.A.; Carmona, E.M.; Epelbaum, O.; Evans, S.E.; Gabe, L.M.; Knox, K.S.; Kolls, J.K.; Wengenack, N.L.; Prokop, L.J.; et al. Diagnosis of Fungal Infections. A Systematic Review and Meta-Analysis Supporting American Thoracic Society Practice Guideline. Ann. Am. Thorac. Soc. 2019, 16, 1179–1188. [Google Scholar] [CrossRef] [PubMed]
- Cohen, J.F.; Ouziel, A.; Matczak, S.; Brice, J.; Spijker, R.; Lortholary, O.; Bougnoux, M.E.; Toubiana, J. Diagnostic accuracy of serum (1,3)-beta-d-glucan for neonatal invasive candidiasis: Systematic review and meta-analysis. Clin. Microbiol. Infect. 2020, 26, 291–298. [Google Scholar] [CrossRef] [PubMed]
- Mikulska, M.; Magnasco, L.; Signori, A.; Sepulcri, C.; Dettori, S.; Tutino, S.; Vena, A.; Miletich, F.; Ullah, N.; Morici, P.; et al. Sensitivity of Serum Beta-D-Glucan in Candidemia According to Candida Species Epidemiology in Critically Ill Patients Admitted to the Intensive Care Unit. J. Fungi 2022, 8, 921. [Google Scholar] [CrossRef] [PubMed]
- Farooqi, J.; Niamatullah, H.; Irfan, S.; Zafar, A.; Malik, F.; Jabeen, K. Comparison of β-D-Glucan levels between Candida auris and other Candida species at the time of candidaemia: A retrospective study. Clin. Microbiol. Infect. 2021, 27, 1519.e1511–1519.e1515. [Google Scholar] [CrossRef]
- Lee, Y.W.; Lim, S.Y.; Jin, S.; Park, H.J.; Sung, H.; Kim, M.N.; Bae, S.; Jung, J.; Kim, M.J.; Kim, S.H.; et al. Clinical Sensitivity of the (1-3)-β-D-glucan Test for Predicting Candidemia. Ann. Lab. Med. 2023, 43, 381–385. [Google Scholar] [CrossRef]
- Kazancioglu, S.; Bastug, A.; Kayaaslan, B.; Mutlu, N.M.; Calci, E.; Turhan, T.; Mumcuoglu, I.; Akinci, E.; Bodur, H. Diagnostic value of β-D-glucan alone or combined with Candida score, colonization index and C-reactive protein for candidemia. J. Infect. Dev. Ctries 2022, 16, 362–368. [Google Scholar] [CrossRef]
- Moher, D.; Liberati, A.; Tetzlaff, J.; Altman, D.G. Preferred reporting items for systematic reviews and meta-analyses: The PRISMA statement. PLoS Med. 2009, 6, e1000097. [Google Scholar] [CrossRef]
- Whiting, P.F.; Rutjes, A.W.; Westwood, M.E.; Mallett, S.; Deeks, J.J.; Reitsma, J.B.; Leeflang, M.M.; Sterne, J.A.; Bossuyt, P.M.; QUADAS-2 Group. QUADAS-2: A revised tool for the quality assessment of diagnostic accuracy studies. Ann. Intern. Med. 2011, 155, 529–536. [Google Scholar] [CrossRef]
- Chibabhai, V.; Fadana, V.; Bosman, N.; Nana, T. Comparative sensitivity of 1,3 beta-D-glucan for common causes of candidaemia in South Africa. Mycoses 2019, 62, 1023–1028. [Google Scholar] [CrossRef]
- Träger, J.; Dräger, S.; Mihai, S.; Cipa, F.; Busse Grawitz, A.; Epting, T.; Meyer, R.; Rappold, E.; Held, J. Detailed β-(1→3)-D-glucan and mannan antigen kinetics in patients with candidemia. J. Clin. Microbiol. 2023, 61, e0059823. [Google Scholar] [CrossRef] [PubMed]
- Dichtl, K.; Seybold, U.; Wagener, J. Serological biomarkers of candidemia: A retrospective evaluation of three assays. Infection 2019, 47, 217–224. [Google Scholar] [CrossRef] [PubMed]
- Friedrich, R.; Rappold, E.; Bogdan, C.; Held, J. Comparative Analysis of the Wako β-Glucan Test and the Fungitell Assay for Diagnosis of Candidemia and Pneumocystis jirovecii Pneumonia. J. Clin. Microbiol. 2018, 56, 10–1128. [Google Scholar] [CrossRef] [PubMed]
- Murri, R.; Camici, M.; Posteraro, B.; Giovannenze, F.; Taccari, F.; Ventura, G.; Scoppettuolo, G.; Sanguinetti, M.; Cauda, R.; Fantoni, M. Performance evaluation of the (1,3)-β-D-glucan detection assay in non-intensive care unit adult patients. Infect. Drug Resist. 2019, 12, 19–24. [Google Scholar] [CrossRef] [PubMed]
- Forster, J.; Dichtl, K.; Wagener, J. Lower beta-1,3-D-glucan testing cut-offs increase sensitivity for non-albicans Candida species bloodstream infections. Mycoses 2022, 65, 500–507. [Google Scholar] [CrossRef]
- Esteves, P.; Lopes Lima, S.; Salles de Azevedo Melo, A.; Maria Beirão, E.; Nucci, M.; Colombo, A.L. (1,3)-β-D-glucan is able to predict therapeutic failure of patients with candidemia and not only mortality. Mycoses 2021, 64, 264–271. [Google Scholar] [CrossRef]
- Angebault, C.; Lanternier, F.; Dalle, F.; Schrimpf, C.; Roupie, A.L.; Dupuis, A.; Agathine, A.; Scemla, A.; Paubelle, E.; Caillot, D.; et al. Prospective Evaluation of Serum β-Glucan Testing in Patients With Probable or Proven Fungal Diseases. Open Forum Infect. Dis. 2016, 3, ofw128. [Google Scholar] [CrossRef]
- Martínez-Jiménez, M.C.; Muñoz, P.; Valerio, M.; Alonso, R.; Martos, C.; Guinea, J.; Bouza, E. Candida biomarkers in patients with candidaemia and bacteraemia. J. Antimicrob. Chemother 2015, 70, 2354–2361. [Google Scholar] [CrossRef] [PubMed][Green Version]
- Muñoz, P.; Vena, A.; Machado, M.; Martínez-Jiménez, M.C.; Gioia, F.; Gómez, E.; Origüen, J.; Orellana, M.; López-Medrano, F.; Pérez-Granda, M.J.; et al. T2MR contributes to the very early diagnosis of complicated candidaemia. A prospective study. J. Antimicrob. Chemother 2018, 73, iv13–iv19. [Google Scholar] [CrossRef] [PubMed]
- Corcione, S.; Chasseur, L.; Lupia, T.; Shbaklo, N.; Scabini, S.; Filippini, C.; Mornese Pinna, S.; Morra di Celle, S.; Cavallo, R.; De Rosa, F.G. The Diagnostic Relevance of β-D-Glucan for Candidemia within Internal Medicine Wards. Diagnostics 2022, 12, 2124. [Google Scholar] [CrossRef]
- Guitard, J.; Isnard, F.; Tabone, M.D.; Antignac, M.; Brissot, E.; Senghor, Y.; Petit, A.; Leverger, G.; Hennequin, C. Usefulness of ß-D-glucan for diagnosis and follow-up of invasive candidiasis in onco-haematological patients. J. Infect. 2018, 76, 483–488. [Google Scholar] [CrossRef] [PubMed]
- Son, H.J.; Sung, H.; Park, S.Y.; Kim, T.; Lee, H.J.; Kim, S.M.; Chong, Y.P.; Lee, S.O.; Choi, S.H.; Kim, Y.S.; et al. Diagnostic performance of the (1-3)-β-D-glucan assay in patients with Pneumocystis jirovecii compared with those with candidiasis, aspergillosis, mucormycosis, and tuberculosis, and healthy volunteers. PLoS ONE 2017, 12, e0188860. [Google Scholar] [CrossRef] [PubMed]
- León, C.; Ruiz-Santana, S.; Saavedra, P.; Castro, C.; Loza, A.; Zakariya, I.; Úbeda, A.; Parra, M.; Macías, D.; Tomás, J.I.; et al. Contribution of Candida biomarkers and DNA detection for the diagnosis of invasive candidiasis in ICU patients with severe abdominal conditions. Crit. Care 2016, 20, 149. [Google Scholar] [CrossRef] [PubMed]
- Mikulska, M.; Giacobbe, D.R.; Furfaro, E.; Mesini, A.; Marchese, A.; Del Bono, V.; Viscoli, C. Lower sensitivity of serum (1,3)-β-d-glucan for the diagnosis of candidaemia due to Candida parapsilosis. Clin. Microbiol. Infect. 2016, 22, 646.e5–646.e8. [Google Scholar] [CrossRef]
- Abe, M.; Kimura, M.; Araoka, H.; Taniguchi, S.; Yoneyama, A. Serum (1,3)-beta-D-glucan is an inefficient marker of breakthrough candidemia. Med. Mycol. 2014, 52, 835–840. [Google Scholar] [CrossRef]
- McKeating, C.; White, P.L.; Posso, R.; Palmer, M.; Johnson, E.; McMullan, R. Diagnostic accuracy of fungal PCR and β-d-glucan for detection of candidaemia: A preliminary evaluation. J. Clin. Pathol. 2018, 71, 420–424. [Google Scholar] [CrossRef] [PubMed]
- Mikulska, M.; Ullah, N.; Magnasco, L.; Codda, G.; Marchese, A.; Bassetti, M. Lower (1,3)-β-D-glucan sensitivity and in vitro levels in Candida auris and Candida parapsilosis strains: Author’s response. Clin. Microbiol. Infect. 2024, 30, 1486–1487. [Google Scholar] [CrossRef]
- Mikulska, M.; Ullah, N.; Magnasco, L.; Codda, G.; Bartalucci, C.; Miletich, F.; Sepulcri, C.; Willison, E.; Vena, A.; Giacobbe, D.R.; et al. Lower (1,3)-beta-d-glucan sensitivity and in vitro levels in Candida auris and Candida parapsilosis strains. Clin. Microbiol. Infect. 2024, 30, 822–827. [Google Scholar] [CrossRef]
- Mikulska, M.; Furfaro, E.; Magnasco, L.; Codda, G.; Giacobbe, D.R.; Dentone, C.; Vena, A.; Marchese, A.; Bassetti, M. Levels of beta-D-glucan in Candida auris supernatants, an in vitro and in vivo preliminary study. Clin. Microbiol. Infect. 2022, 28, 1154.e1151–1154.e1153. [Google Scholar] [CrossRef] [PubMed]
- Garcia-Effron, G.; Park, S.; Perlin, D.S. Correlating echinocandin MIC and kinetic inhibition of fks1 mutant glucan synthases for Candida albicans: Implications for interpretive breakpoints. Antimicrob. Agents Chemother 2009, 53, 112–122. [Google Scholar] [CrossRef] [PubMed]
- Kidd, S.E.; Abdolrasouli, A.; Hagen, F. Fungal Nomenclature: Managing Change is the Name of the Game. Open Forum Infect. Dis. 2023, 10, ofac559. [Google Scholar] [CrossRef] [PubMed]
- Stavrou, A.A.; Lackner, M.; Lass-Flörl, C.; Boekhout, T.J.F.Y.R. The changing spectrum of Saccharomycotina yeasts causing candidemia: Phylogeny mirrors antifungal susceptibility patterns for azole drugs and amphothericin B. FEMS Yeast Res. 2019, 19, foz037. [Google Scholar] [CrossRef] [PubMed]
- Govender, N.P.; Magobo, R.E.; Mpembe, R.; Mhlanga, M.; Matlapeng, P.; Corcoran, C.; Govind, C.; Lowman, W.; Senekal, M.; Thomas, J. Candida auris in South Africa, 2012–2016. Emerg. Infect. Dis. 2018, 24, 2036–2040. [Google Scholar] [CrossRef] [PubMed]
- Magnasco, L.; Mikulska, M.; Sepulcri, C.; Ullah, N.; Giacobbe, D.R.; Vena, A.; Di Pilato, V.; Willison, E.; Orsi, A.; Icardi, G.; et al. Frequency of Detection of Candida auris Colonization Outside a Highly Endemic Setting: What Is the Optimal Strategy for Screening of Carriage? J. Fungi 2023, 10, 26. [Google Scholar] [CrossRef] [PubMed]
- He, S.; Hang, J.P.; Zhang, L.; Wang, F.; Zhang, D.C.; Gong, F.H. A systematic review and meta-analysis of diagnostic accuracy of serum 1,3-β-D-glucan for invasive fungal infection: Focus on cutoff levels. J. Microbiol. Immunol. Infect. 2015, 48, 351–361. [Google Scholar] [CrossRef] [PubMed]
- White, S.K.; Schmidt, R.L.; Walker, B.S.; Hanson, K.E. (1→3)-β-D-glucan testing for the detection of invasive fungal infections in immunocompromised or critically ill people. Cochrane Database Syst. Rev. 2020, 7, Cd009833. [Google Scholar] [CrossRef]






| Study ID | Study Design | Total Population Evaluated in the Study/ Included Patients and Control | Candidemia Only or Other | Candidemia Patients Met the Inclusion Criteria | Clinical Wards | Test and Cutoff for Positivity, pg/mL | Reported Both Sensitivity and Specificity | Reference Standard (Disease) |
|---|---|---|---|---|---|---|---|---|
| Chibabhai et al., 2019, South Africa [31] | Single-center retrospective | 495/218 | Candidemia only | 218 | Mixed (ICU = 137, Oncology = 21, Surgery = 17, not specified = 43) | Fungitell ≥ 80 | Only sensitivity | Blood Culture (Candidemia) |
| Farooqi et al., 2021, Pakistan [26] | Single-center retrospective | 505/182 | Candidemia only | 182 | NA | Fungitell ≥ 80 | Only sensitivity | Blood Culture (Candidemia) |
| Träger et al., 2023, Germany [32] | Prospective observational multicenter | 138/129 | Candidemia only | 129 | Mixed (ICU = 57, and for other ward of admission was not specified) | Fungitell ≥ 80 | Only sensitivity | Blood culture (Candidemia) |
| Dichtl et al., 2019, Germany [33] | Single-center retrospective | 120/120 | Candidemia only | 120 | Mixed (ICU = 66, Transplant = 43, ward of admission was not specified = 11) | Wako ≥ 11 | Both | Blood Culture (Candidemia) |
| Friedrich et al., 2018, Germany [34] | Case control single-center retrospective | 383/383 | Candidemia, bacteraemia, blood–culture negative group, and PJP | 120 | Mixed (ICU = 60, other not described = 60) | Fungitell ≥ 80 | Both | Blood Culture (Candidemia) |
| Mikulska et al., 2022, Italy [25] | Single-center retrospective | 255/118 | Candidemia only | 118 | ICU | Fungitell ≥ 80 | Only sensitivity | Blood Culture (Candidemia) |
| Mikulska et al., 2016, Italy [45] | Single-center retrospective | 755/107 | Candidemia only | 107 | Mixed (ICU/Surgery versus Medical/Haematology = 55, not specified = 52) | Fungitell ≥ 80 | Only sensitivity | Blood Culture (Candidemia) |
| Murri et al., 2019, Italy [35] | Case control single-center retrospective | 1296/1296 | Candidemia and controls | 100 | Non-ICU | Fungitell ≥ 80 | Both | Blood Culture (Candidemia) |
| Lee et al., 2023, South Korea [27] | Single-center retrospective | 576/93 | Candidemia only | 93 | Mixed (ICU = 42, Medical = 44, Surgery = 5, Emergency department = 2) | Goldstream ≥ 80 | Only sensitivity | Blood Culture (Candidemia) |
| Forster et al., 2022, Germany [36] | Retrospective multicenter | 82/82 | Candidemia only | 82 | Mixed (ICU = 38, Non-ICU = 35, not specified = 9) | Wako ≥ 7* | Both | Blood Culture (Candidemia) |
| Masahiro Abe et al., 2014, Japan [46] | Single-center retrospective | 147/92 | Candidemia (breakthrough and non-breakthrough candidemia) | 92 | NA | Wako ≥ 11 | Only sensitivity | Blood Culture (Candidemia) |
| Esteves et al., 2021, Brazil [37] | Prospective multicenter | 241/181 | Candidemia and healthy volunteers | 71 | Mixed (ICU = 30, Clinical = 18, Surgical = 9, not specified = 12) | Fungitell ≥ 80 | Both | Blood Culture (Candidemia) |
| Angebault et al., 2016, France [38] | Prospective observational single-center | 143/143 | Candidemia, IC, IA and rare fungal IFDs | 41 | Mixed (ICU = 13, Haematology = 28) | Fungitell ≥ 80 | Only sensitivity | Blood Culture (Candidemia) Computed tomography (IC) |
| Mart¡nez et al., 2015, Spain [39] | Single-center retrospective | 81/81 | Candidemia and bacteraemia | 31 | Mixed (ICU = 2, Surgical = 15, Medical = 10, onco haematology = 4) | Fungitell ≥ 80 | Both | Blood Culture (Candidemia) |
| Munoz et al., 2018, Spain [40] | Prospective multicenter | 44/30 | Candidemia only | 30 | Mixed (ICU = 5, not specified = 25) | Fungitell ≥ 80 | Both | Blood Culture (Candidemia) |
| Corcione et al., 2022, Italy [41] | Single-center observational retrospective and prospective | 489/140 | Candidemia and control group | 26 | Internal medicine | GCT-110T ≥ 80 | Both | Blood Culture (Candidemia) |
| Guitard et al., 2018, France [42] | Single-center retrospective | 41/34 | Candidemia and CDC | 22 | Onco-haematological | Fungitell ≥ 80 | Only sensitivity | Blood Culture (Candidemia) CT scan or ultrasonography (CDC) |
| Kazancioglu et al., 2022, Turkey [28] | Prospective single-center | 137/83 | Candidemia and non-candidemia | 15 | ICU | Fungitell ≥ 80 | Both | Blood Culture (Candidemia) |
| Son et al., 2017, South Korea [43] | Prospective single-center | 136/136 | Candidemia, PJP, CDC, IA and mucormycosis | 15 | NA | Goldstream ≥ 80 | Both | Blood Culture (Candidemia) Staining of liver biopsy or positive culture results from liver biopsy (IC) |
| Leon et al., 2016, Spain [44] | Prospective observational multicenter | 322/233 | Candidemia and candidiasis | 11 | ICU | Fungitell ≥ 80 | Only sensitivity | Blood Culture (Candidemia) Macroscopic findings and direct examination or positive culture for Candida species of peritoneal fluid (IAC) |
| McKeating et al., 2018, UK [47] | Prospective Single-center | 12/10 | Candidemia | 10 | Mixed (ICU = 3, Surgical = 6, Oncology = 1) | Fungitell ≥ 80 | Both | Blood Culture (Candidemia) |
| Sensitivity Range | Specificity Range | Pooled Sensitivity (95% CI) | Pooled Specificity (95% CI) | Description | |
|---|---|---|---|---|---|
| Overall | 41–100% | 39–98% | 0.73 (95% CI 0.66–0.80) | – | A total of 21 studies reported sensitivity. |
| Studies that reported both sensitivity and specificity | 58–100% | 39–98% | 0.81 (0.73–0.89) | 0.80 (0.74–0.8) | Of 21 studies, 11 reported both sensitivity and specificity. |
| Test Assays | |||||
| Fungitell, n = 15 | 44–100% | 39–98% | – | – | Of 15 studies, seven reported both sensitivity and specificity. |
| Wako, n = 3 | 58–81% | 85 and 93% | – | – | Two studies reported both sensitivity and specificity. |
| Goldstream, n = 2 | 41 and 87% | 55% | – | – | One reported both sensitivity and specificity. |
| GCT-110T, n = 1 | 82% | 55% | – | – | Sensitivity and specificity were reported |
| Study Design | |||||
| Retrospective, n = 11 | 41%–84% | 55%–93% | – | – | Four reported sensitivity and specificity. |
| Prospective, n = 8 | 63%–100% | 39%–98% | – | – | Five reported sensitivity and specificity. |
| Case-control study, n = 2 | 87 and 91% | 85 and 88% | – | – | Both reported sensitivity and specificity. |
| Ward of admission | |||||
| ICU, n = 3 | 47%–93% | 64% | – | – | One of three studies reported both sensitivity and specificity. |
| Mixed, n = 12 | 41%–100% | 39%–98% | – | – | Seven studies reported both sensitivity and specificity. |
| Other wards, n = 3 | 44%–100% | 55%–88% | – | – | Three studies reported patients from non-ICU, internal medicine, and haematology–oncology wards; two reported sensitivity and specificity. |
| Not specified, n = 3 | 65%–87% | 75% | – | – | One reported sensitivity and specificity. |
| Study ID | Species-Specific Sensitivity (Number Inside the Brackets Shows the Number of Candida Isolates for Each Species) | |||||||
|---|---|---|---|---|---|---|---|---|
| BDG Assay Type | C. albicans | C. parapsilosis | C. auris | N. glabrata (C. glabrata) | P. kudriavzevii (C. krusei) | C. tropicalis | Other Candida Species | |
| Träger et al., 2023 [32] | Fungitell | 83% (70) | 64% (11) | — | 81% (31) | 67% (6) | 83% (6) | 33% (3) |
| Lee et al., 2023 [27] | Goldstream | 57% (28) | 29% (7) | — | 43% (21) | 33% (6) | 28% (25) | 33% (6) |
| Mikulska et al., 2022 [25] | Fungitell | 62% (29) | 44% (84) | 43% (21) | CS% (7) | — | CS (4) | CS (1) |
| Forster et al., 2022 [36] | Wako | 57% (47) * | CS (7) | — | CS% (8) | CS (5) | CS (4) | CS (3) |
| Kazancioglu et al., 2022 [28] | Fungitell | 100% (5) | 80% (5) | — | 100% (1) | 100% (3) | — | 100% (1) |
| Farooqi et al., 2021 [26] | Fungitell | 72% (54) | 53% (32) | 44% (48) | 88% (8) | — | 79% (43) | — |
| Esteves et al., 2021 [37] | Fungitell | 81% (36) | 67% (15) | — | 67% (6) | 67% (3) | 63% (8) | — (2) |
| Chibabhai et al., 2019 [31] | Fungitell | 81% (81) | 72% (83) | 71% (14) | 90% (30) | 100% (10) | — | — |
| Dichtl et al., 2019 [33] | Wako | 64% (58) | 73% (11) | — | 67% (27) | 71% (7) | 78% (9) | 63% (4) |
| Friedrich et al., 2018 [34] | Fungitell | — (71) | — (10) | — | — (25) | — (2) | — (8) | — (7) |
| Friedrich et al., 2018 [34] | Wako | — (71) | — (10) | — | — (25) | — (2) | — (8) | — (7) |
| Murri et al., 2018 [35] | Fungitell | — (62) | — (24) | — | — (5) | — | — | — |
| Munoz et al., 2018 [40] | Fungitell | — (13) | — (9) | — | — (5) | — (1) | — (2) | — |
| Guitard et al., 2018 [42] | Fungitell | 43% (7) | 50% (4) | — | — | — | 50% (6) | 33% (4) ** |
| McKeating et al., 2018 [47] | Fungitell | 80% (5 ***) | — (1) + | — | 75% (4) | — | — | — |
| Mikulska et al., 2016 [45] | Fungitell | 72% (46) | 41% (37) | — | — (10) | — (4) | — (7) | — (3) |
| Angebault et al., 2016 [38] | Fungitell | 94% (16) | 75% (4) | — | 50% (4) | 67% (3) | 100% (3) | 11% (9) |
| Martínez et al., 2015 [39] | Fungitell | 67% (12) | 83% (6) | — | 75% (5) | 100% (1) | 100% (7) | — |
| Masahiro et al., 2014 [46] | Wako | 81% (26) | 89% (18) | 79% (14) | — | 50% (2) | 75% (4) | |
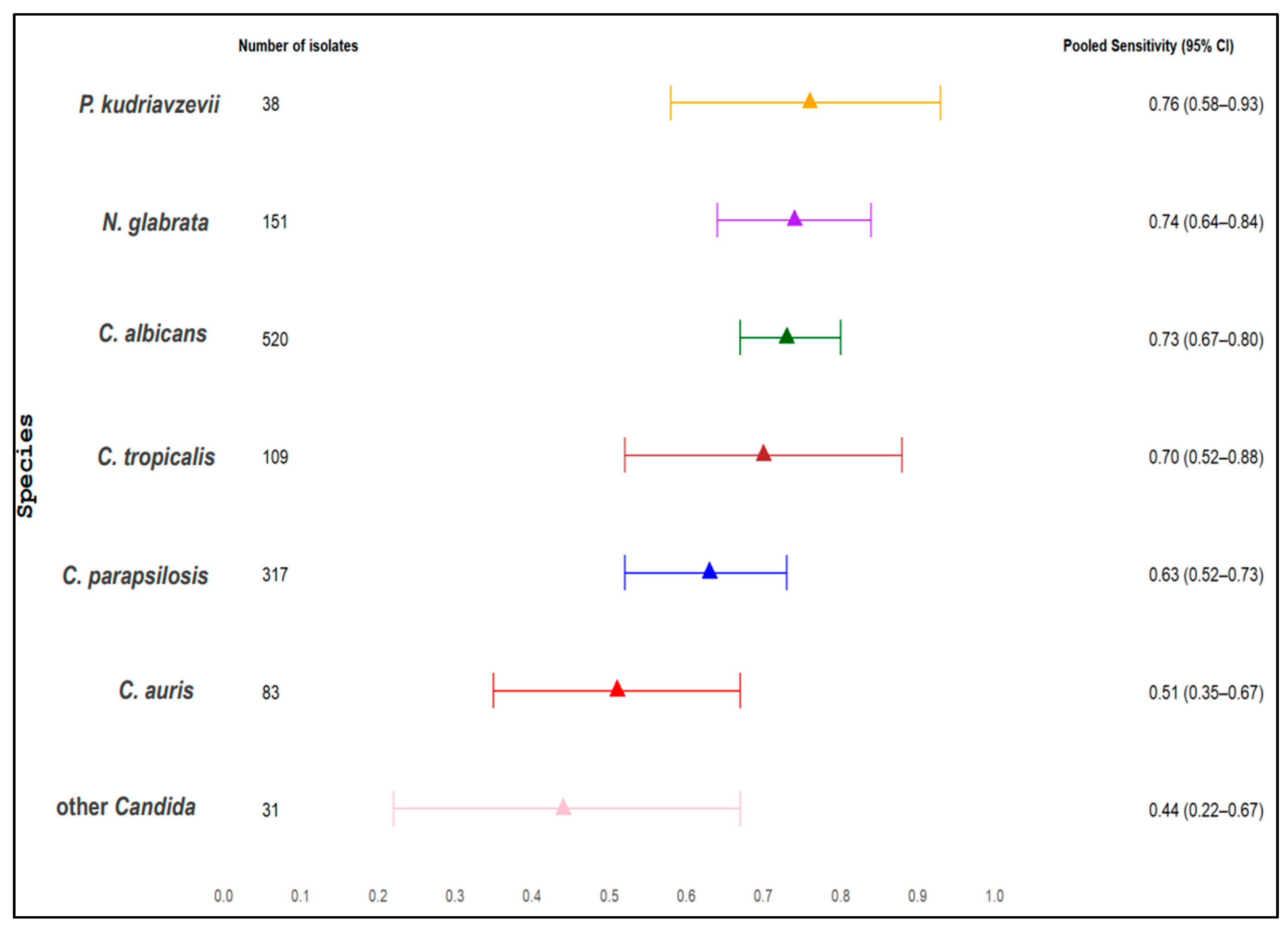
| Candida Species | No. of Candida Strains for Which Pooled Sensitivity Was Reported | Range of Sensitivity Reported by Single Studies | Pooled Sensitivity (95% CI) | No. of Candida Strains for Which Weighted Median BDG Levels Were Reported | Range of Median BDG Levels Reported by Single Studies, pg/mL | Weighted Median of Median BDG and IQR, pg/mL |
|---|---|---|---|---|---|---|
| All BDG assays | ||||||
| C. albicans | 520 | 43%–100% | 0.73 (0.67–0.80) | 400 | 182–461 | 345 (288–406) |
| C. parapsilosis | 317 | 29%–89% | 0.63 (0.52–0.73) | 263 | 39–407 | 95 (78–407) |
| C. auris | 83 | 44%–71% | 0.51 (0.35–0.67) | 83 | 48–132 | 62 (48–62) |
| N. glabrata | 151 | 43%–100% | 0.74 (0.64–0.84) | 120 | 159–523 | 356 (256–500) |
| P. kudriavzevii | 38 | 33%–100% | 0.76 (0.58–0.93) | 21 | 146–523 | 417 (146–523) |
| C. tropicalis | 109 | 28%–100% | 0.70 (0.52–0.88) | 85 | 210–846 | 324 (324–846) |
| Other Candida | 31 | 11%–100% | 0.44 (0.22–0.67) | 9 | 79–523 | 79 (79–79) |
| Fungitell assay | ||||||
| C. albicans | 361 | 43%–100% | 0.77 (0.71–0.84) | 372 | 182–461 | 345 (288–406) |
| C. parapsilosis | 281 | 41%–83% | 0.61 (0.50–0.71) | 256 | 39–407 | 95 (78–407) |
| C. auris | 83 | 44%–71% | 0.51 (0.35–0.67) | 83 | 48–132 | 62 (48–62) |
| N. glabrata | 89 | 50%–100% | 0.83 (0.75–0.90) | 99 | 224–523 | 356 (256–500) |
| P. kudriavzevii | 26 | 67%–100% | 0.88 (0.76–1.00) | 21 | 146–523 | 417 (146–523) |
| C. tropicalis | 73 | 50%–100% | 0.80 (0.71–0.89) | 60 | 210–632 | 324 (324–324) |
| Other Candida | 17 | 11%–100% | 0.39 (0.05–0.74) | 9 | 79–523 | 79 (79–79) |
Disclaimer/Publisher’s Note: The statements, opinions and data contained in all publications are solely those of the individual author(s) and contributor(s) and not of MDPI and/or the editor(s). MDPI and/or the editor(s) disclaim responsibility for any injury to people or property resulting from any ideas, methods, instructions or products referred to in the content. |
© 2025 by the authors. Licensee MDPI, Basel, Switzerland. This article is an open access article distributed under the terms and conditions of the Creative Commons Attribution (CC BY) license (https://creativecommons.org/licenses/by/4.0/).
Share and Cite
Ullah, N.; Muccio, M.; Magnasco, L.; Sepulcri, C.; Giacobbe, D.R.; Vena, A.; Bassetti, M.; Mikulska, M. Species-Specific Sensitivity and Levels of Beta-D-Glucan for the Diagnosis of Candidemia—A Systematic Review and Meta-Analysis. J. Fungi 2025, 11, 149. https://doi.org/10.3390/jof11020149
Ullah N, Muccio M, Magnasco L, Sepulcri C, Giacobbe DR, Vena A, Bassetti M, Mikulska M. Species-Specific Sensitivity and Levels of Beta-D-Glucan for the Diagnosis of Candidemia—A Systematic Review and Meta-Analysis. Journal of Fungi. 2025; 11(2):149. https://doi.org/10.3390/jof11020149
Chicago/Turabian StyleUllah, Nadir, Marco Muccio, Laura Magnasco, Chiara Sepulcri, Daniele Roberto Giacobbe, Antonio Vena, Matteo Bassetti, and Malgorzata Mikulska. 2025. "Species-Specific Sensitivity and Levels of Beta-D-Glucan for the Diagnosis of Candidemia—A Systematic Review and Meta-Analysis" Journal of Fungi 11, no. 2: 149. https://doi.org/10.3390/jof11020149
APA StyleUllah, N., Muccio, M., Magnasco, L., Sepulcri, C., Giacobbe, D. R., Vena, A., Bassetti, M., & Mikulska, M. (2025). Species-Specific Sensitivity and Levels of Beta-D-Glucan for the Diagnosis of Candidemia—A Systematic Review and Meta-Analysis. Journal of Fungi, 11(2), 149. https://doi.org/10.3390/jof11020149

