Foliar Fungal Endophyte Communities of Scottish Plantation Pines
Abstract
1. Introduction
2. Materials and Methods
2.1. Sites and Sampling
2.2. Surface Sterilisation and Culturing
2.3. DNA Extraction, PCR Amplification and Sequencing
2.4. Phylogenetic Analyses of Anthostomella Species
2.5. Statistical Analyses of Endophytic Fungal Communities
2.6. Abundance and Diversity of Endophytes
2.7. Comparing Communities of Endophytes
3. Results
3.1. Taxa Isolated
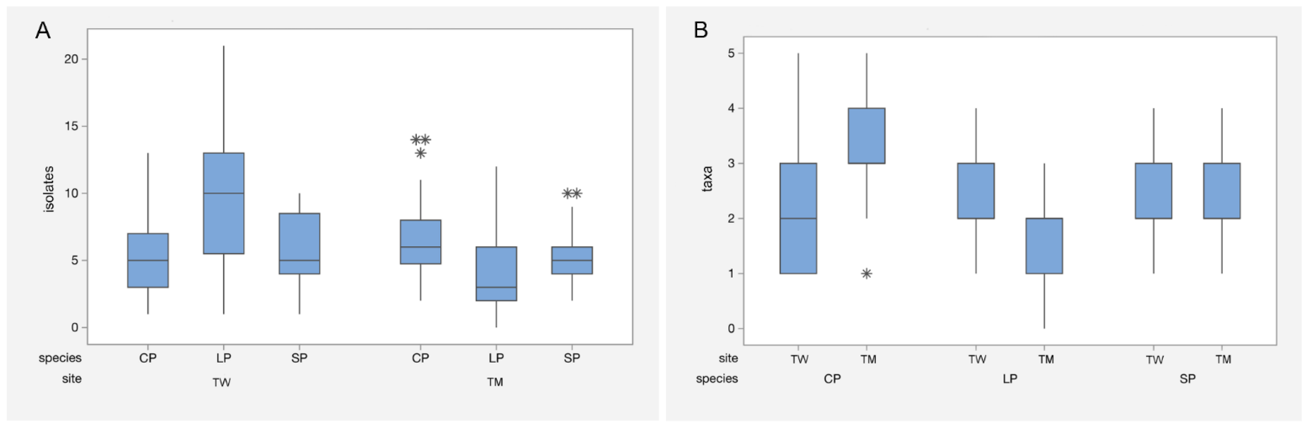
3.2. Factors Affecting the Abundance of Isolates per Needle
3.3. Factors Affecting the Number of Endophyte Taxa per Needle
3.4. Needle Age Preference of Endophyte Taxa
3.5. Differences in Communities of Endophyte Taxa and Site/Tree Species/Needle Age
3.6. Phylogenetic Analyses
4. Discussion
4.1. Endophytic Fungal Communities
4.2. The Effects of Site, Tree Species, and Needle Age
5. Conclusions
Supplementary Materials
Author Contributions
Funding
Data Availability Statement
Acknowledgments
Conflicts of Interest
References
- Kriel, W.-M.; Swart, W.J.; Crous, P.W. Foliar endophytes and their interactions with host plants, with specific reference to the Gymnospermae. Adv. Bot. Res. 2000, 33, 1–34. [Google Scholar]
- Sieber, T.N. Endophytic fungi in forest trees: Are they mutualists? Fungal Biol. Rev. 2007, 21, 75–89. [Google Scholar] [CrossRef]
- Rodriguez, R.J.; White, J.F.; Arnold, A.E.; Redman, R.S. Fungal endophytes: Diversity and functional roles. New Phytol. 2009, 182, 314–330. [Google Scholar] [CrossRef]
- Helander, M.L.; Sieber, T.; Petrini, O.; Neuvonen, S. Endophytic fungi in Scots pine needles: Spatial variation and consequences of simulated acid rain. Can. J. Bot. 1994, 72, 1108–1113. [Google Scholar] [CrossRef]
- Taudiere, A.; Bellanger, J.M.; Carcaillet, C.; Hugot, L.; Kjellberg, F.; Lecanda, A.; Lesne, A.; Moreau, P.A.; Scharmann, K.; Leide, S.; et al. Diversity of foliar endophytic ascomycetes in the endemic Corsican pine forests. Fungal Ecol. 2018, 36, 128–140. [Google Scholar] [CrossRef]
- Lazarević, J.; Menkis, A. Fungal diversity in the phyllosphere of Pinus heldreichii H. Christ—An endemic and high-Altitude pine of the Mediterranean Region. Diversity 2020, 12, 172. [Google Scholar] [CrossRef]
- Taylor, J.E.; Ellis, C.; Ennos, R.A.; Hollingsworth, P. Tissue age and tree age effects on endophyte species abundance of Pinus sylvestris (Scots pine) in an ancient semi-natural woodland in Scotland. Sydowia 2019, 71, 35–46. [Google Scholar]
- Ren, N.; Wang, L.; You, C. Diversity, community structure, and antagonism of endophytic fungi from asymptomatic and symptomatic Mongolian pine trees. J. Fungi 2024, 10, 212. [Google Scholar] [CrossRef]
- Carroll, F.E.; Müller, E.; Sutton, B.C. Preliminary studies on the incidence of needle endophytes in some European conifers. Sydowia 1977, 29, 87–103. [Google Scholar]
- Kowalski, T. Fungi infecting Pinus sylvestris needles of various ages. Eur. J. For. Pathol. 1982, 12, 182–190. [Google Scholar] [CrossRef]
- Kowalski, T. Fungi in living symptomless needles of Pinus sylvestris with respect to some observed disease processes. J. Phytopathol. 1993, 139, 129–145. [Google Scholar] [CrossRef]
- Helander, M.L. Responses of pine needle endophytes to air pollution. New Phytol. 1995, 131, 223–229. [Google Scholar] [CrossRef]
- Millberg, H.; Boberg, J.; Stenlid, J. Changes in fungal community of Scots pine (Pinus sylvestris) needles along a latitudinal gradient in Sweden. Fungal Ecol. 2015, 17, 126–139. [Google Scholar] [CrossRef]
- Nguyen, D.; Boberg, J.; Ihrmark, K.; Stenström, E.; Stenlid, J. Do foliar fungal communities of Norway spruce shift along a tree species diversity gradient in mature European forests? Fungal Ecol. 2016, 23, 97–108. [Google Scholar] [CrossRef]
- Kiser, J.; Daniels, H.; Scrivani, J. Isolation of endophytic fungi from Douglas-Fir (Pseudotsuga menziesii) foliage with bioprospecting potential for natural pharmaceuticals. Curr. Trends For. Res. 2019, 3, 1035. [Google Scholar] [CrossRef]
- Schönrogge, K.; Gibbs, M.; Oliver, A.; Cavers, S.; Gweon, H.S.; Ennos, R.A.; Cottrell, J.; Iason, G.R.; Taylor, J. Environmental factors and host genetic variation shape the fungal endophyte communities within needles of Scots pine (Pinus sylvestris). Fungal Ecol. 2022, 57–58, 101162. [Google Scholar] [CrossRef]
- Kaya, A.G.A.; Lehtijarvi, T.D.; Lehtijarvi, A.T. Fungal endophytes in the needles of native and exotic pine species in a plantation in Northwestern Türkiye. Turk. J. For. 2023, 24, 208–212. [Google Scholar] [CrossRef]
- Carroll, G.C.; Carroll, F.E. Studies on the incidence of coniferous needle endophytes in the Pacific Northwest. Can. J. Bot. 1978, 56, 3034–3043. [Google Scholar] [CrossRef]
- Petrini, O.; Carroll, G.C. Endophytic fungi in the foliage of some Cupressaceae in Oregon. Can. J. Bot. 1981, 59, 629–636. [Google Scholar] [CrossRef]
- Hata, K.; Futai, K. Variation in fungal endophyte populations in needles of the genus Pinus. Can. J. Bot. 1996, 74, 103–114. [Google Scholar] [CrossRef]
- Kowalski, T.; Zych, P. Endophytic fungi in needles of Pinus nigra growing under different site conditions. Pol. Bot. J. 2002, 47, 251–257. [Google Scholar]
- Hoffman, M.T.; Arnold, A.E. Geographic locality and host identity shape fungal endophyte communities in cupressaceous trees. Mycol. Res. 2008, 112, 331–344. [Google Scholar] [CrossRef] [PubMed]
- Rajala, T.; Velmala, S.M.; Tuomivirta, T.; Haapanen, M.; Müller, M.; Pennanen, T. Endophyte communities vary in the needles of Norway spruce clones. Fungal Biol. 2013, 117, 182–190. [Google Scholar] [CrossRef] [PubMed]
- Eo, J.-K.; Eom, A.-H. Community of endophytic fungi from alpine conifers on Mt. Seorak. Mycobiology 2022, 50, 317–325. [Google Scholar] [CrossRef] [PubMed]
- Romeralo, C.; Martín-García, J.; Martínez-Álvarez, P.; Muñoz-Adalia, E.J.; Gonçalves, D.R.; Torres, E.; Witzell, J.; Diez, J.J. Pine species determine fungal microbiome composition in a common garden experiment. Fungal Ecol. 2022, 56, 101137. [Google Scholar] [CrossRef]
- Sarver, J.; Schultz, E.; Apigo, A.; Gernandt, D.S.; Salas-Lizana, R.; Oono, R. Deep sequencing across multiple host species tests pine-endophyte specificity. Am. J. Bot. 2022, 109, 83–98. [Google Scholar] [CrossRef]
- Hata, K.; Futai, K. Effect of needle aging on the total colonisation rates of endophytic fungi on Pinus thunderbergii and Pinus densiflora needles. J. Jpn. For. Soc. 1993, 75, 338–341. [Google Scholar]
- Hata, K.; Futai, K.; Tsuda, M. Seasonal and needle age-dependent changes of the endophytic mycobiota in Pinus thunbergii and Pinus densiflora needles. Can. J. Bot. 1998, 76, 245–250. [Google Scholar] [CrossRef]
- Lehtijärvi, A.; Barklund, P. Seasonal patterns of colonization of Norway spruce needles by Lophodermium piceae. For. Pathol. 2000, 30, 185–193. [Google Scholar] [CrossRef]
- Karadžić, D.; Milijašević, T. The most important parasitic and saprophytic fungi in Austrian pine and Scots pine plantations in Serbia. Glas. Šumarskog Fak. 2008, 97, 147–170. [Google Scholar] [CrossRef]
- Peršoh, D.; Melcher, M.; Flessa, F.; Rambold, G. First fungal community analyses of endophytic ascomycetes associated with Viscum album ssp. austriacum and its host Pinus sylvestris. Fungal Biol. 2010, 114, 585–596. [Google Scholar] [PubMed]
- Oono, R.; Lefèvre, E.; Simha, A.; Lutzoni, F. A comparison of the community diversity of foliar fungal endophytes between seedling and adult loblolly pines (Pinus taeda). Fungal Biol. 2015, 119, 917–928. [Google Scholar] [CrossRef] [PubMed]
- Rim, S.O.; Roy, M.; Jeon, J.; Montecillo, J.A.V.; Park, S.-C.; Bae, H. Diversity and communities of fungal endophytes from four Pinus species in Korea. Forests 2021, 12, 302. [Google Scholar] [CrossRef]
- Taylor, J.; Schönrogge, K.; Oliver, A.; Cavers, S.; Cottrell, J.; Perry, A.; Gibbs, M.; Ennos, R. Effects of fungicide application on the foliar endophytic fungi of Scots pine (Pinus sylvestris). Fungal Ecol. 2025; in press. [Google Scholar]
- Steven, H.M.; Carlisle, A. Native Pinewoods of Scotland; GC Book Publishers Ltd.: Newton Stewart, UK, 1996; p. 368. [Google Scholar]
- Richardson, D. (Ed.) Ecology and Biogeography of Pinus; Cambridge University Press: Cambridge, UK, 1998; p. 416. [Google Scholar]
- Mullett, M. The Epidemilology of Dothistroma Needle Blight in Britain. Ph.D. Thesis, Imperial College, London, UK, 2014. [Google Scholar]
- Brown, A.; Webber, J. Red Band Needle Blight of Conifers in Britain; Forestry Commission: Edinburgh, UK, 2008. [Google Scholar]
- Fraser, S.; Mullett, M.; Woodward, S.; Brown, A. Between-site and-year variation in the relative susceptibility of native Scottish Pinus sylvestris populations to dothistroma needle blight. Plant Pathol. 2016, 65, 369–379. [Google Scholar] [CrossRef]
- Brown, A.V.; Green, S.; Hendry, S. Needle Diseases of Pine; Forestry Commission Information Note 67; Forestry Commission: Edinburgh, UK, 2005. [Google Scholar]
- Brown, A.V.; Macaskill, G. Shoot Diseases of Pine; Forestry Commission Information Note 68; Forestry Commission: Edinburgh, UK, 2005. [Google Scholar]
- Mullett, M.S.; Brown, A.V.; Fraser, S.; Baden, R.; Tubby, K.V. Insights into the pathways of spread and potential origins of Dothistroma septosporum in Britain. Fungal Ecol. 2017, 26, 85–98. [Google Scholar] [CrossRef]
- Mochan, S.; Hubert, J. Utilisation of Lodgepole pine; Forestry Commission Information Note 70; Forestry Commission: Edinburgh, UK, 2005. [Google Scholar]
- Piotrowska, M.J.; Riddell, C.; Hoebe, P.N.; Ennos, R.A. Planting exotic relatives has increased the threat posed by Dothistroma septosporum to the Caledonian pine populations of Scotland. Evol. Appl. 2018, 11, 350–363. [Google Scholar] [CrossRef]
- Met Office. Location-Specific Long-Term Averages. Available online: https://www.metoffice.gov.uk/research/climate/maps-and-data/location-specific-long-term-averages/ (accessed on 1 December 2024).
- Jurc, D.; Jurc, M.; Sieber, T.; Bojovic, S. Endophytic Cenangium ferruginosum (Ascomycota) as a reservoir for an epidemic of cenangium dieback in Austrian pine. Phyton 2000, 40, 103–108. [Google Scholar]
- Lacap, D.; Hyde, K.; Liew, E. An evaluation of the fungal ’morphotype’ concept based on ribosomal DNA sequences. Fungal Divers. 2003, 2, 53–66. [Google Scholar]
- Gardes, M.; Bruns, T.D. ITS primers with enhanced specificity for basidiomycetes-application to the identification of mycorrhizae and rusts. Mol. Ecol. 1993, 2, 113–118. [Google Scholar] [CrossRef]
- Larena, I.; Salazar, O.; González, V.; Julián, M.C.; Rubio, V. Design of a primer for ribosomal DNA internal transcribed spacer with enhanced specificity for ascomycetes. J. Biotechnol. 1999, 75, 187–194. [Google Scholar] [CrossRef]
- Aveskamp, M.M.; Verkley, G.J.; de Gruyter, J.; Murace, M.A.; Perello, A.; Woudenberg, J.H.; Groenewald, J.Z.; Crous, P.W. DNA phylogeny reveals polyphyly of Phoma section Peyronellaea and multiple taxonomic novelties. Mycologia 2009, 101, 363–382. [Google Scholar] [CrossRef] [PubMed]
- Rehner, S.A.; Uecker, F.A. Nuclear ribosomal internal transcribed spacer phylogeny and host diversity in the coelomycete Phomopsis. Can. J. Bot. 1994, 72, 1666–1674. [Google Scholar] [CrossRef]
- Vilgalys, R.; Hester, M. Rapid genetic identification and mapping of enzymatically amplified ribosomal DNA from several Cryptococcus species. J. Bacteriol. 1990, 172, 4238–4246. [Google Scholar] [CrossRef] [PubMed]
- Anderson-Stewart, C.R.; Doilom, M.; Taylor, J.E. Analysis of fungal endophytes in Scottish Sitka spruce plantations shows extensive infections, novel host partners and gives insights into origins. For. Pathol. 2018, 49, e12471. [Google Scholar] [CrossRef]
- Kõljalg, U.; Nilsson, R.H.; Abarenkov, K.; Tedersoo, L.; Taylor, A.F.S.; Bahram, M.; Bates, S.T.; Bruns, T.D.; Bengtsson-Palme, J.; Callaghan, T.M.; et al. Towards a unified paradigm for sequence-based identification of fungi. Mol. Ecol. 2013, 22, 5271–5277. [Google Scholar] [CrossRef]
- Altschul, S.F.; Gish, W.; Miller, W.; Myers, E.W.; Lipman, D.J. Basic local alignment search tool. J. Mol. Biol. 1990, 215, 403–410. [Google Scholar] [CrossRef]
- Voglmayr, H.; Friebes, G.; Gardiennet, A.; Jaklitsch, W.M. Barrmaelia and Entosordaria in Barrmaeliaceae (fam. nov., Xylariales) and critical notes on Anthostomella-like genera based on multigene phylogenies. Mycol. Prog. 2018, 17, 155–177. [Google Scholar] [CrossRef]
- Bowman, E.A.; Arnold, A.E. Drivers and implications of distance decay differ for ectomycorrhizal and foliar endophytic fungi across an anciently fragmented landscape. ISME J. 2021, 15, 3437–3454. [Google Scholar] [CrossRef]
- Katoh, K.; Rozewicki, J.; Yamada, K.D. MAFFT online service: Multiple sequence alignment, interactive sequence choice and visualization. Brief. Bioinform. 2019, 20, 1160–1166. [Google Scholar] [CrossRef]
- Tamura, K.; Stecher, G.; Kumar, S. MEGA11: Molecular evolutionary genetics analysis version 11. Mol. Biol. Evol. 2021, 38, 3022–3027. [Google Scholar] [CrossRef]
- Trifinopoulos, J.; Nguyen, L.-T.; von Haeseler, A.; Minh, B.Q. W-IQ-TREE: A fast online phylogenetic tool for maximum likelihood analysis. Nucleic Acids Res. 2016, 44, W232–W235. [Google Scholar] [CrossRef] [PubMed]
- Kearse, M.; Moir, R.; Wilson, A.; Stones-Havas, S.; Cheung, M.; Sturrock, S.; Buxton, S.; Cooper, A.; Markowitz, S.; Duran, C. Geneious Basic: An integrated and extendable desktop software platform for the organization and analysis of sequence data. Bioinformatics 2012, 28, 1647–1649. [Google Scholar] [CrossRef] [PubMed]
- Stamatakis, A. RAxML version 8: A tool for phylogenetic analysis and post-analysis of large phylogenies. Bioinformatics 2014, 30, 1312–1313. [Google Scholar] [CrossRef]
- Ronquist, F.; Teslenko, M.; Van Der Mark, P.; Ayres, D.L.; Darling, A.; Höhna, S.; Larget, B.; Liu, L.; Suchard, M.A.; Huelsenbeck, J.P. MrBayes 3.2: Efficient Bayesian phylogenetic inference and model choice across a large model space. Syst. Biol. 2012, 61, 539–542. [Google Scholar] [CrossRef]
- Rambaut, A. FigTree v1.4.4: Tree Figure Drawing Tool. Available online: http://tree.bio.ed.ac.uk/software/figtree/ (accessed on 20 May 2024).
- Minitab. Minitab 17 Statistical Software; Minitab Inc.: State College, PA, USA, 2013; Available online: https://www.minitab.com (accessed on 1 June 2016).
- Shannon, C.E. A mathematical theory of communication. ATT Tech. J. 1948, 27, 379–423. [Google Scholar]
- Morris, E.K.; Caruso, T.; Buscot, F.; Fischer, M.; Hancock, C.; Maier, T.S.; Meiners, T.; Müller, C.; Obermaier, E.; Prati, D. Choosing and using diversity indices: Insights for ecological applications from the German Biodiversity Exploratories. Ecol. Evol. 2014, 4, 3514–3524. [Google Scholar] [CrossRef]
- R Core Team. R: A Language and Environment for Statistical Computing; R Foundation for Statistical Computing: Vienna, Austria, 2024; Available online: https://www.R-project.org/ (accessed on 9 December 2024).
- Bendixen, M.T. Compositional perceptual mapping using chi-squared trees analysis and correspondence analysis. J. Mark. Manag. 1995, 11, 571–581. [Google Scholar] [CrossRef]
- Healey, J.F. The Essentials of Statistics: A Tool for Social Research, 3rd ed.; Wadsworth Cengage Learning: Belmont, CA, USA, 2013. [Google Scholar]
- Sørensen, T. A method of establishing groups of equal amplitude in plant sociology based on similarity of species content. K. Dan. Vidensk. Selsk. 1948, 5, 4–7. [Google Scholar]
- Dice, L.R. Measures of the amount of ecologic association between species. Ecology 1945, 26, 297–302. [Google Scholar] [CrossRef]
- Petrini, O. Taxonomy of endophytic fungi of aerial plant tissues. In Microbiology of the Phyllosphere; Fokkema, N.J., Van Den Heuvel, J., Eds.; Cambridge University Press: Cambridge, UK, 1986; pp. 175–187. [Google Scholar]
- Sieber, T.N.; Rys, J.; Holdenrieder, O. Mycobiota in symptomless needles of Pinus mugo ssp. uncinata. Mycol. Res. 1999, 103, 306–310. [Google Scholar] [CrossRef]
- Francis, S.M. Anthostomella Sacc. (Part 1). Mycol. Pap. 1975, 139, 1–97. [Google Scholar]
- Francis, S.M. Anthostomella on pine needles in Scotland. Trans. Br. Mycol. Soc. 1978, 70, 283–285. [Google Scholar] [CrossRef]
- Minter, D.W. Anthostomella formosa. IMI Descr. Fungi Bact. 2006, 170, 1691. [Google Scholar]
- Crous, P.; Groenewald, J. ‘Anthostomella pinea.’ Fungal Planet 58. Persoonia 2010, 25, 126–127. [Google Scholar]
- Lu, B.H.; Hyde, K.D. A World Monograph of Anthostomella; Fungal Diversity Press: Hong Kong, China, 2000. [Google Scholar]
- Minter, D.W. Contribution to the fungus flora of Rhum: Microfungi on pines. Trans. Bot. Soc. Edinb. 1980, 43, 177–188. [Google Scholar] [CrossRef]
- Zamora, P.; Martinez-Ruiz, C.; Diez, J.J. Fungi in needles and twigs of pine plantations from northern Spain. Fungal Divers. 2008, 30, 171–184. [Google Scholar]
- Kowalski, T.; Pozdzik, P. Grzyby endofityczne w zywych iglach Pinus silvestris L. Acta Agrar. Silvestria 1993, 31, 17–30. [Google Scholar]
- Kowalski, T.; Drożyńska, K. Mycobiota in needles and shoots of Pinus nigra following infection by Dothistroma septosporum. Phyton 2011, 51, 277–287. [Google Scholar]
- Kowalski, T. Zur Pilzflora toter Kiefernnadeln. Z. Mykol. 1988, 54, 159–173. [Google Scholar]
- Fisher, P.J.; Petrini, O.; Petrini, L.E.; Sutton, B.C. Fungal endophytes from the leaves and twigs of Quercus ilex L. from England, Marjorca and Switzerland. New Phytol. 1994, 127, 133–137. [Google Scholar] [CrossRef]
- Taylor, J.; Hyde, K.; Jones, E. Endophytic fungi associated with the temperate palm, Trachycarpus fortunei, within and outside its natural geographic range. New Phytol. 1999, 142, 335–346. [Google Scholar] [CrossRef]
- Arnold, A.E.; Herre, E.A. Canopy cover and leaf age affect colonization by tropical fungal endophytes: Ecological pattern and process in Theobroma cacao (Malvaceae). Mycologia 2003, 95, 388–398. [Google Scholar] [CrossRef] [PubMed]
- Langenfeld, A.; Prado, S.; Nay, B.; Cruaud, C.; Lacoste, S.; Bury, E.; Hachette, F.; Hosoya, T.; Dupont, J. Geographic locality greatly influences fungal endophyte communities in Cephalotaxus harringtonia. Fungal Biol. 2013, 117, 124–136. [Google Scholar] [CrossRef]
- Gernandt, D.S.; López, G.G.; García, S.O.; Liston, A. Phylogeny and classification of Pinus. Taxon 2005, 54, 29–42. [Google Scholar] [CrossRef]
- Martínez-Álvarez, P.; Rodríguez-Ceinós, S.; Martín-García, J.; Diez, J. Monitoring endophyte populations in pine plantations and native oak forests in Northern Spain. For. Syst. 2012, 21, 373–382. [Google Scholar] [CrossRef]
- Ata, J.P.; Caballero, J.R.I.; Abdo, Z.; Mondo, S.J.; Stewart, J.E. Transitions of foliar mycobiota community and transcriptome in response to pathogenic conifer needle interactions. Sci. Rep. 2022, 12, 7832. [Google Scholar] [CrossRef]
- Arnold, A.E.; Lutzoni, F. Diversity and host range of foliar fungal endophytes: Are tropical leaves biodiversity hotspots? Ecology 2007, 88, 541–549. [Google Scholar] [CrossRef]
- Oono, R.; Lutzoni, F.; Arnold, A.E.; Kaye, L.; U’Ren, J.M.; May, G.; Carbone, I. Genetic variation in horizontally transmitted fungal endophytes of pine needles reveals population structure in cryptic species. Am. J. Bot. 2014, 101, 1362–1374. [Google Scholar] [CrossRef]
- Stone, J.K. Initiation and development of latent infections by Rhabdocline parkeri on Douglas fir. Can. J. Bot. 1987, 65, 2614–2621. [Google Scholar] [CrossRef]
- Espinosa-Garcia, F.J.; Langenheim, J.H. The leaf fungal endophyte community of a coastal redwood population—Diversity and spatial patterns. New Phytol. 1990, 116, 89–98. [Google Scholar] [CrossRef]
- Bilański, P.; Kowalski, T. Fungal endophytes in Fraxinus excelsior petioles and their in vitro antagonistic potential against the ash dieback pathogen Hymenoscyphus fraxineus. Microbiol. Res. 2022, 257, 126961. [Google Scholar] [CrossRef] [PubMed]
- Iacovelli, R.; He, T.; Allen, J.; Hackl, T.; Haslinger, K. Genome sequencing and molecular networking analysis of the wild fungus Anthostomella pinea reveal its ability to produce a diverse range of secondary metabolites. Fungal Biol. Biotechnol. 2024, 11, 1. [Google Scholar] [CrossRef] [PubMed]





| Species | Strain | Host | Location | ITS | LSU |
|---|---|---|---|---|---|
| Anthostomella formosa | MFLUCC_14_0170 | Pinus sylvestris | Italy | MW240652 | KP340544 |
| Anthostomella obesa * | MFLUCC_14_0171 | Cornus sp. | Italy | KP297405 | KP340546 |
| Anthostomella pinea * | CBS_128205 | Pinus sp. | France | HQ599578 | - |
| Anthostomella pinea | AM1.1 | Pinus nigra subsp. Laricio | Scotland (Torrs Warren) | PQ895305 | PQ900125 |
| Anthostomella pinea | 6_1 | Pinus contorta | Scotland (Torrs Warren) | PQ895285 | - |
| Anthostomella aff. pinea | 22_3 | Pinus sylvestris | Scotland (Tentsmuir) | PQ895282 | - |
| Anthostomella sp. | 36_1 | Pinus sylvestris | Scotland (Tentsmuir) | PQ895288 | - |
| Antostomella rubicola | MFLUCC_16_0479 | Cornus sanguidea | Italy | KX533455 | KX533456 |
| Microdochium lycopodinum * | CBS 122885 | Lycopodium annotinum | Austria | JF440979 | JF440979 |
| Microdochium phragmitis * | CBS 285.71 | Phragmites australis | Poland | KP859013 | KP858949 |
| Pseudoanthostomella delitescens | MFLUCC_16-0477 | Pinus nigra | Italy | KX533451 | KX533452 |
| Pseudoanthostomella pini-nigrae * | MFLUCC_16_0478 | Pinus nigra | Italy | KX533453 | KX533454 |
| Pseudoanthostomella senecionicola * | MFLUCC_15_0013 | Senecio sp. | Italy | MW240674 | KX505959 |
| Endophyte | ARIZ_B328 | Pinus ponderosa | Arizona, USA | MZ015842 | - |
| Taxonomic Assignment | Torrs Warren | Total | Tentsmuir | Total | ||||
|---|---|---|---|---|---|---|---|---|
| SP | CP | LP | SP | CP | LP | |||
| Anthostomella pinea (6) | 45 | 94 | 263 | 402 | 0 | 6 | 0 | 6 |
| Anthostomella aff. pinea (22) | 5 | 4 | 8 | 17 | 21 | 72 | 39 | 132 |
| Anthostomella sp. (36) | 0 | 0 | 0 | 0 | 25 | 32 | 55 | 112 |
| Cenangium ferruginosum (16) | 0 | 2 | 0 | 2 | 0 | 18 | 0 | 18 |
| Clypeosphaeria sp. (26) | 0 | 0 | 6 | 6 | 1 | 24 | 6 | 31 |
| Desmazierella acicola (3, 11) | 6 | 48 | 26 | 80 | 3 | 7 | 1 | 11 |
| Dothistroma septosporum (2) | 0 | 0 | 0 | 0 | 0 | 0 | 2 | 2 |
| Lophodermium pinastri (15) | 0 | 0 | 0 | 0 | 0 | 0 | 14 | 14 |
| Lophodermium seditiosum (4, 19, 27, 25, 39, 33) | 38 | 12 | 1 | 51 | 103 | 61 | 7 | 171 |
| Preussia-like (9) | 0 | 1 | 3 | 4 | 0 | 3 | 0 | 3 |
| Sydowia polyspora (7, 21) | 0 | 1 | 1 | 2 | 3 | 4 | 2 | 9 |
| Xylaria sp. (8, 14, 18) | 3 | 13 | 8 | 24 | 5 | 4 | 1 | 10 |
| Xylariaceae sp. (29, 31) | 1 | 3 | 8 | 12 | 29 | 5 | 1 | 35 |
| Indeterminate * (32, 10, 1) | 10 | 12 | 11 | 33 | 10 | 25 | 5 | 40 |
| Unidentified sp. 12 | 0 | 0 | 0 | 0 | 3 | 3 | 16 | 22 |
| Unidentified sp. 17 | 0 | 3 | 0 | 3 | 1 | 4 | 0 | 5 |
| Unidentified sp. 20 | 1 | 0 | 1 | 2 | 0 | 0 | 1 | 1 |
| Unidentified sp. 23 | 0 | 0 | 0 | 0 | 1 | 3 | 0 | 4 |
| Unidentified sp. 24 | 0 | 0 | 0 | 0 | 3 | 4 | 1 | 8 |
| Unidentified sp. 28 | 0 | 1 | 0 | 1 | 1 | 0 | 2 | 3 |
| Unidentified sp. 30 | 0 | 0 | 2 | 2 | 4 | 0 | 0 | 4 |
| Unidentified yeast (35) | 0 | 1 | 0 | 1 | 1 | 3 | 1 | 5 |
| Totals | 109 | 195 | 338 | 642 | 214 | 278 | 154 | 646 |
Disclaimer/Publisher’s Note: The statements, opinions and data contained in all publications are solely those of the individual author(s) and contributor(s) and not of MDPI and/or the editor(s). MDPI and/or the editor(s) disclaim responsibility for any injury to people or property resulting from any ideas, methods, instructions or products referred to in the content. |
© 2025 by the authors. Licensee MDPI, Basel, Switzerland. This article is an open access article distributed under the terms and conditions of the Creative Commons Attribution (CC BY) license (https://creativecommons.org/licenses/by/4.0/).
Share and Cite
Jones, A.L.; Taylor, J.E.; Ennos, R.A. Foliar Fungal Endophyte Communities of Scottish Plantation Pines. J. Fungi 2025, 11, 148. https://doi.org/10.3390/jof11020148
Jones AL, Taylor JE, Ennos RA. Foliar Fungal Endophyte Communities of Scottish Plantation Pines. Journal of Fungi. 2025; 11(2):148. https://doi.org/10.3390/jof11020148
Chicago/Turabian StyleJones, Amanda L., Joanne E. Taylor, and Richard A. Ennos. 2025. "Foliar Fungal Endophyte Communities of Scottish Plantation Pines" Journal of Fungi 11, no. 2: 148. https://doi.org/10.3390/jof11020148
APA StyleJones, A. L., Taylor, J. E., & Ennos, R. A. (2025). Foliar Fungal Endophyte Communities of Scottish Plantation Pines. Journal of Fungi, 11(2), 148. https://doi.org/10.3390/jof11020148

