Intraspecies Variation Offers Potential to Improve White Rot Fungi for Increasing Degradability of Lignocellulose for Ruminants
Abstract
1. Introduction
2. Materials and Methods
3. Results
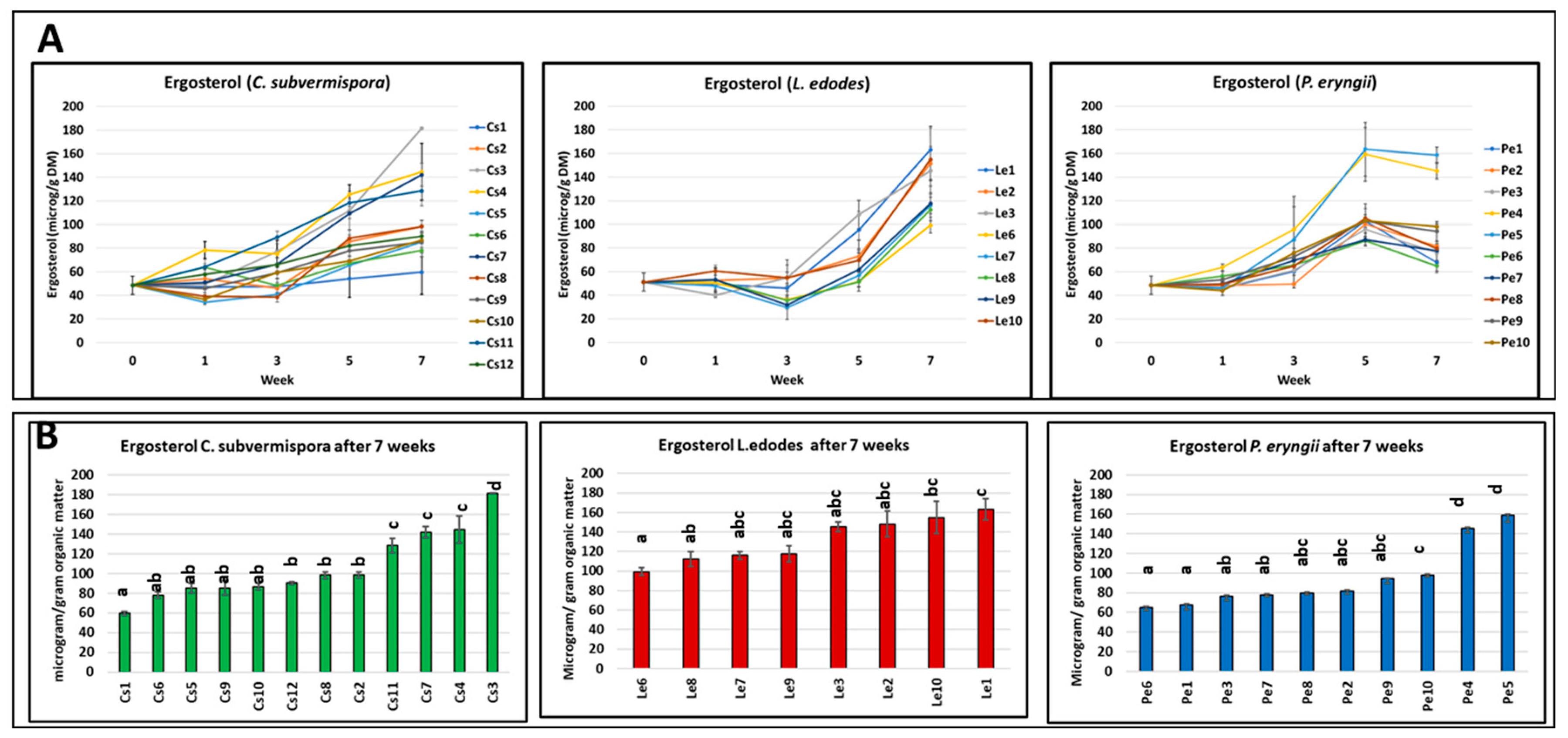
3.1. Ergosterol Concentration in Time
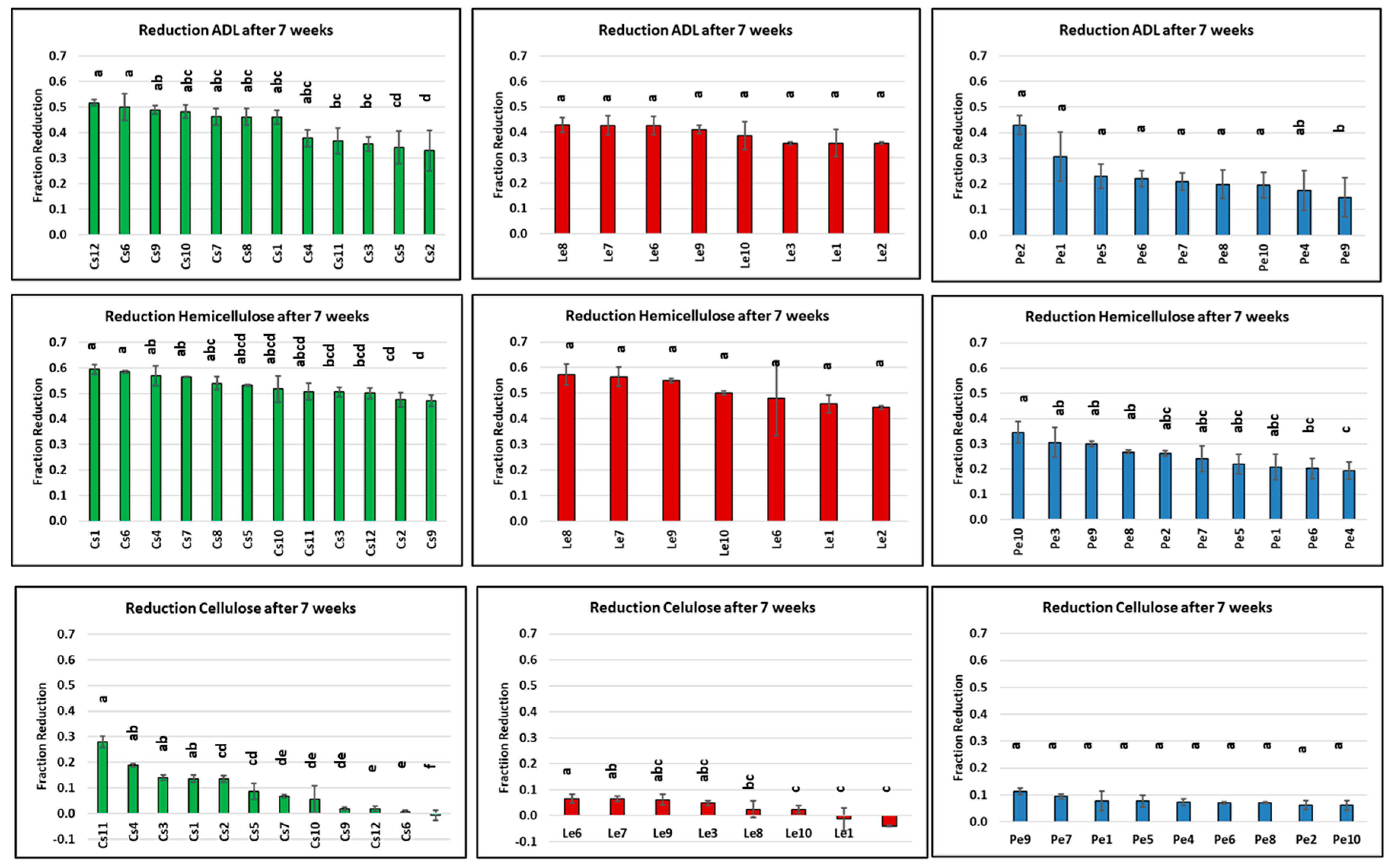
3.2. Fiber Analyses of Fungal Treated Wheat Straw
3.3. Effect of Fungal Treatment on Relative and Absolute Amount of Degradable Biomass
4. Discussion
5. Conclusions
Supplementary Materials
Author Contributions
Funding
Data Availability Statement
Acknowledgments
Conflicts of Interest
References
- Bar-On, Y.M.; Phillips, R.; Milo, R. The biomass distribution on Earth. Proc. Natl. Acad. Sci. USA 2018, 115, 6506–6511. [Google Scholar] [CrossRef] [PubMed]
- Zhang, B.; Gao, Y.; Zhang, L.; Zhou, Y. The plant cell wall: Biosynthesis, construction, and functions. J. Integr. Plant Biol. 2021, 63, 251–272. [Google Scholar] [CrossRef] [PubMed]
- Floudas, D.; Binder, M.; Riley, R.; Barry, K.; Blanchette, R.A.; Henrissat, B.; Martínez, A.T.; Otillar, R.; Spatafora, J.W.; Yadav, J.S.; et al. The Paleozoic Origin of Enzymatic Lignin Decomposition Reconstructed from 31 Fungal Genomes. Science 2012, 336, 1715–1719. [Google Scholar] [CrossRef] [PubMed]
- Lundell, T.K.; Mäkelä, M.R.; Hildén, K. Lignin-modifying enzymes in filamentous basidiomycetes—Ecological, functional and phylogenetic review. J. Basic Microbiol. 2010, 50, 5–20. [Google Scholar] [CrossRef] [PubMed]
- del Cerro, C.; Erickson, E.; Dong, T.; Wong, A.R.; Eder, E.K.; Purvine, S.O.; Mitchell, H.D.; Weitz, K.K.; Markillie, L.M.; Burnet, M.C.; et al. Intracellular pathways for lignin catabolism in white-rot fungi. Proc. Natl. Acad. Sci. USA 2021, 118, e2017381118. [Google Scholar] [CrossRef]
- Emilia Hannula, S.; Morriën, E. Will fungi solve the carbon dilemma? Geoderma 2022, 413, 115767. [Google Scholar] [CrossRef]
- Duran, K.; Kohlstedt, M.; van Erven, G.; Klostermann, C.E.; America, A.H.; Bakx, E.; Baars, J.J.; Gorissen, A.; de Visser, R.; de Vries, R.P.; et al. From 13C-lignin to 13C-mycelium: Agaricus bisporus uses polymeric lignin as a carbon source. Sci. Adv. 2024, 10, eadl3419. [Google Scholar] [CrossRef]
- Rouches, E.; Zhou, S.; Steyer, J.; Carrere, H. White-Rot Fungi pretreatment of lignocellulosic biomass for anaerobic digestion: Impact of glucose supplementation. Process Biochem. 2016, 51, 1784–1792. [Google Scholar] [CrossRef]
- Wan, C.; Li, Y. Fungal pretreatment of lignocellulosic biomass. Biotechnol. Adv. 2012, 30, 1447–1457. [Google Scholar] [CrossRef]
- van Kuijk, S.; Sonnenberg, A.; Baars, J.; Hendriks, W.; Cone, J. Fungal treated lignocellulosic biomass as ruminant feed ingredient: A review. Biotechnol. Adv. 2015, 33, 191–202. [Google Scholar] [CrossRef]
- van Kuijk, S.J.; Sonnenberg, A.S.; Baars, J.J.; Hendriks, W.H.; Cone, J.W. Fungal treatment of lignocellulosic biomass: Importance of fungal species, colonization and time on chemical composition and in vitro rumen degradability. Anim. Feed. Sci. Technol. 2015, 209, 40–50. [Google Scholar] [CrossRef]
- Mao, L. Storage of Fungal Treated Lignocellulosic Biomass and Its Acceptance by Goats. Ph.D. Thesis, Wageningen University, Wageningen, The Netherlands, 2019. [Google Scholar]
- Nayan, N.; Sonnenberg, A.S.; Hendriks, W.H.; Cone, J.W. Prospects and feasibility of fungal pretreatment of agricultural biomass for ruminant feeding. Anim. Feed. Sci. Technol. 2020, 268, 114577. [Google Scholar] [CrossRef]
- Isroi, M.R.; Syamsiah, S.; Niklasson, C.; Nur Cahyanto, M.; Lundquist, K.; Taherzadeh, M.J. Biological Pretreatment of Lignocelluloses with White-Rot Fungi and Its Applications: A Review. BioResources 2011, 6, 5224–5259. [Google Scholar] [CrossRef]
- van Erven, G.; Hendrickx, P.; Al Hassan, M.; Beelen, B.; op den Kamp, R.; Keijsers, E.; van der Cruijsen, K.; Trindade, L.M.; Harmsen, P.F.H.; van Peer, A.F. Plant Genotype and Fungal Strain Harmonization Improves Miscanthus sinensis Conversion by the White-Rot Fungus Ceriporiopsis subvermispora. ACS Sustain. Chem. Eng. 2023, 11, 6752–6764. [Google Scholar] [CrossRef]
- Nayan, N.; Sonnenberg, A.S.M.; Hendriks, W.H.; Cone, J.W. Screening of white-rot fungi for bioprocessing of wheat straw into ruminant feed. J. Appl. Microbiol. 2018, 125, 468–479. [Google Scholar] [CrossRef]
- Cone, J.W.; van Gelder, A.H.; Visscher, G.J.W.; Oudshoorn, L. Influence of rumen fluid and substrate concentration on fermentation kinetics measured with a fully automated time related gas production apparatus. Anim. Feed. Sci. Technol. 1996, 61, 113–128. [Google Scholar] [CrossRef]
- Kuijk, S.J. Fungal Treatment of Lignocellulosic Biomass. Ph.D. Thesis, Wageningen University, Wageningen, The Netherlands, 2016. [Google Scholar]
- Bermingham, S.; Maltby, L.; Cooke, R.C. A critical assessment of the validity of ergosterol as an indicator of fungal biomass. Mycol. Res. 1995, 99, 479–484. [Google Scholar] [CrossRef]
- Mao, L.; Sonnenberg, A.S.; van Arkel, J.; Cone, J.W.; de Vos, R.C.; Marchal, J.L.M.; Hendriks, W.H. Storage temperature and time and its influence on feed quality of fungal treated wheat straw. Anim. Feed. Sci. Technol. 2021, 272, 114749. [Google Scholar] [CrossRef]
- Tonjer, L.; Thoen, E.; Morgado, L.; Botnen, S.; Mundra, S.; Nybakken, L.; Bryn, A.; Kauserud, H. Fungal community dynamics across a forest–alpine ecotone. Mol. Ecol. 2021, 30, 4926–4938. [Google Scholar] [CrossRef]
- Oliveira, D.M.; Mota, T.R.; Grandis, A.; de Morais, G.R.; de Lucas, R.C.; Polizeli, M.L.; Marchiosi, R.; Buckeridge, M.S.; Ferrarese-Filho, O.; dos Santos, W.D. Lignin plays a key role in determining biomass recalcitrance in forage grasses. Renew. Energy 2020, 147, 2206–2217. [Google Scholar] [CrossRef]
- Ha, B.; Kim, S.; Kim, M.; Moon, Y.J.; Song, Y.; Ryu, J.-S.; Ryu, H.; Ro, H.-S. Diversity of A mating type in Lentinula edodes and mating type preference in the cultivated strains. J. Microbiol. 2018, 56, 416–425. [Google Scholar] [CrossRef] [PubMed]
- Niemenmaa, O.; Galkin, S.; Hatakka, A. Ergosterol contents of some wood-rotting basidiomycete fungi grown in liquid and solid culture conditions. Int. Biodeterior. Biodegrad. 2008, 62, 125–134. [Google Scholar] [CrossRef]
- Stahl, P.D.; Parkin, T.B. Relationship of soil ergosterol concentration and fungal biomass. Soil Biol. Biochem. 1996, 28, 847–855. [Google Scholar] [CrossRef]
- Mille-Lindblom, C.; von Wachenfeldt, E.; Tranvik, L.J. Ergosterol as a measure of living fungal biomass: Persistence in environmental samples after fungal death. J. Microbiol. Methods 2004, 59, 253–262. [Google Scholar] [CrossRef] [PubMed]
- Charcosset, J.-Y.; Chauvet, E. Effect of Culture Conditions on Ergosterol as an Indicator of Biomass in the Aquatic Hyphomycetes. Appl. Environ. Microbiol. 2001, 67, 2051–2055. [Google Scholar] [CrossRef]
- Hasby, F.A.; Barbi, F.; Manzoni, S.; Lindahl, B.D. Transcriptomic markers of fungal growth, respiration and carbon-use efficiency. FEMS Microbiol. Lett. 2021, 368, fnab100. [Google Scholar] [CrossRef]
- Maynard, D.S.; Crowther, T.W.; Bradford, M.A. Fungal interactions reduce carbon use efficiency. Ecol. Lett. 2017, 20, 1034–1042. [Google Scholar] [CrossRef]
- Jomura, M.; Kuwayama, T.; Soma, Y.; Yamaguchi, M.; Komatsu, M.; Maruyama, Y. Mycelial biomass estimation and metabolic quotient of Lentinula edodes using species-specific qPCR. PLoS ONE 2020, 15, e0232049. [Google Scholar] [CrossRef]
- Nishimura, H.; Kamiya, A.; Nagata, T.; Katahira, M.; Watanabe, T. Direct evidence for α ether linkage between lignin and carbohydrates in wood cell walls. Sci. Rep. 2018, 8, 6538. [Google Scholar] [CrossRef]
- Kijpornyongpan, T.; Schwartz, A.; Yaguchi, A.; Salvachúa, D. Systems biology-guided understanding of white-rot fungi for biotechnological applications: A review. iScience 2022, 25, 104640. [Google Scholar] [CrossRef]
- van Erven, G.; Nayan, N.; Sonnenberg, A.S.; Hendriks, W.H.; Cone, J.W.; Kabel, M.A. Mechanistic insight in the selective delignification of wheat straw by three white-rot fungal species through quantitative 13C-IS py-GC–MS and whole cell wall HSQC NMR. Biotechnol. Biofuels 2018, 11, 262. [Google Scholar] [CrossRef] [PubMed]
- Saxena, R.K.; Sangeetha, L.; Vohra, A.; Gupta, R.; Gulati, R. Induction and mass sporulation in lignin degrading fungus Ceriporiopsis subvermispora for its potential usage in pulp and paper industry. Curr. Sci. 2001, 81, 591–594. [Google Scholar]



| Pearson’s correlations between the absolute amount of different fibers and absolute amount of degradability of organic matter DOM) during weeks 3 to 7 of incubation | |||||||
| A Species | Abs_DOM (g/container) by Abs ADL (g/container) | R2 | C Species | Abs_DOM (g/container) by Abs Hemicellulose (g/container) | R2 | ||
| C. subvermispora | Pearson’s Correlation | −0.497 ** | 0.247 | C. subvermispora | Pearson’s Correlation | −0.383 ** | 0.147 |
| Sig. (2-tailed) | <0.001 | Sig. (2-tailed) | <0.001 | ||||
| N | 94 | N | 99 | ||||
| L. edodes | Pearson’s Correlation | −0.543 ** | 0.295 | L. edodes | Pearson’s Correlation | −0.613 ** | 0.376 |
| Sig. (2-tailed) | <0.001 | Sig. (2-tailed) | <0.001 | ||||
| N | 67 | N | 64 | ||||
| P. eryngii | Pearson’s Correlation | −0.462 ** | 0.213 | P. eryngii | Pearson’s Correlation | −0.785 ** | 0.613 |
| Sig. (2-tailed) | <0.001 | Sig. (2-tailed) | <0.001 | ||||
| N | 79 | N | 87 | ||||
| B Species | Abs_DOM (g/container) by Abs Cellulose (g/container) | R2 | D Species | Abs_ADL (g/container) by Abs Hemicellulose (g/container) | R2 | ||
| C. subvermispora | Pearson’s Correlation | 0.666 ** | 0.443 | C. subvermispora | Pearson’s Correlation | 0.667 ** | 0.444 |
| Sig. (2-tailed) | <0.001 | Sig. (2-tailed) | <0.001 | ||||
| N | 94 | N | 101 | ||||
| L. edodes | Pearson’s Correlation | 0.123 | 0.015 | L. edodes | Pearson’s Correlation | 0.863 ** | 0.744 |
| Sig. (2-tailed) | 0.323 | Sig. (2-tailed) | <0.001 | ||||
| N | 67 | N | 67 | ||||
| P. eryngii | Pearson’s Correlation | 0.015 | 0.0002 | P. eryngii | Pearson’s Correlation | 0.319 ** | 0.102 |
| Sig. (2-tailed) | 0.899 | Sig. (2-tailed) | <0.001 | ||||
| N | 79 | N | 82 | ||||
| Pearson’s correlation between ergosterol concentration and dry matter (DM) content after 7 weeks of fungal incubation | |||
| Species | Ergosterol (µg/g DM) by Absolute DM (g/container) | ||
| C. subvermispora | Pearson’s Correlation | −0.601 ** | R2 |
| Sig. (2-tailed) | <0.001 | 0.361 | |
| N | 36 | ||
| L. edodes | Pearson’s Correlation | 0.750 ** | 0.563 |
| Sig. (2-tailed) | <0.001 | ||
| N | 22 | ||
| P. eryngii | Pearson’s Correlation | −0.172 | 0.03 |
| Sig. (2-tailed) | 0.363 | ||
| N | 30 | ||
| Absolute amount of different fiber fraction (g/container) after 7 weeks of incubation | ||||||||
| species | ADL | SD | hemicellulose | SD | cellulose | SD | total polysacch. | SD |
| C. subvermispora | 5.97 | 0.79 | 12.03 | 1.16 | 37.56 | 3.61 | 49.62 | 3.70 |
| L. edodes | 6.31 | 0.48 | 12.82 | 1.77 | 40.14 | 1.68 | 53.01 | 2.84 |
| P. eryngii | 8.00 | 0.92 | 19.24 | 1.45 | 38.29 | 0.90 | 57.53 | 1.71 |
Disclaimer/Publisher’s Note: The statements, opinions and data contained in all publications are solely those of the individual author(s) and contributor(s) and not of MDPI and/or the editor(s). MDPI and/or the editor(s) disclaim responsibility for any injury to people or property resulting from any ideas, methods, instructions or products referred to in the content. |
© 2024 by the authors. Licensee MDPI, Basel, Switzerland. This article is an open access article distributed under the terms and conditions of the Creative Commons Attribution (CC BY) license (https://creativecommons.org/licenses/by/4.0/).
Share and Cite
Sonnenberg, A.S.M.; Nayan, N.; Cone, J.W.; van Peer, A.F. Intraspecies Variation Offers Potential to Improve White Rot Fungi for Increasing Degradability of Lignocellulose for Ruminants. J. Fungi 2024, 10, 858. https://doi.org/10.3390/jof10120858
Sonnenberg ASM, Nayan N, Cone JW, van Peer AF. Intraspecies Variation Offers Potential to Improve White Rot Fungi for Increasing Degradability of Lignocellulose for Ruminants. Journal of Fungi. 2024; 10(12):858. https://doi.org/10.3390/jof10120858
Chicago/Turabian StyleSonnenberg, Anton S. M., Nazri Nayan, John W. Cone, and Arend F. van Peer. 2024. "Intraspecies Variation Offers Potential to Improve White Rot Fungi for Increasing Degradability of Lignocellulose for Ruminants" Journal of Fungi 10, no. 12: 858. https://doi.org/10.3390/jof10120858
APA StyleSonnenberg, A. S. M., Nayan, N., Cone, J. W., & van Peer, A. F. (2024). Intraspecies Variation Offers Potential to Improve White Rot Fungi for Increasing Degradability of Lignocellulose for Ruminants. Journal of Fungi, 10(12), 858. https://doi.org/10.3390/jof10120858

