The Impact of Short-Term Formalin Fixation on Weight and Ventricular Dimensions in the Hearts of Cats and Small-to-Medium-Sized Dogs
Simple Summary
Abstract
1. Introduction
2. Materials and Methods
3. Results
4. Discussion
5. Conclusions
Author Contributions
Funding
Institutional Review Board Statement
Informed Consent Statement
Data Availability Statement
Acknowledgments
Conflicts of Interest
References
- Basso, C.; Michaud, K.; d’Amati, G.; Banner, J.; Lucena, J.; Cunningham, K.; Leone, O.; Vink, A.; van der Wal, A.C.; Sheppard, M.N. Cardiac Hypertrophy at Autopsy. Virchows Arch. 2021, 479, 79–94. [Google Scholar] [CrossRef]
- Sabatasso, S.; Banz, Y.; Ringger, R.; Visonà, S.; Schyma, C.; Bolliger, S.; Michaud, K. Second Opinion System for Sudden Cardiac Death Cases in Forensic Practice. Int. J. Leg. Med. 2020, 134, 1255–1263. [Google Scholar] [CrossRef] [PubMed]
- Hołda, M.K.; Hołda, J.; Koziej, M.; Tyrak, K.; Klimek-Piotrowska, W. The Influence of Fixation on the Cardiac Tissue in a 1-year Observation of Swine Hearts. Anat. Histol. Embryol. 2018, 47, 501–509. [Google Scholar] [CrossRef] [PubMed]
- Varma, M.; Linden, M.D.; Amin, M.B. Effect of Formalin Fixation and Epitope Retrieval Techniques on Antibody 34betaE12 Immunostaining of Prostatic Tissues. Mod. Pathol. 1999, 12, 472–478. [Google Scholar]
- Tong, L.C.; Nelson, N.; Tsourigiannis, J.; Mulligan, A.M. The Effect of Prolonged Fixation on the Immunohistochemical Evaluation of Estrogen Receptor, Progesterone Receptor, and HER2 Expression in Invasive Breast Cancer. Am. J. Surg. Pathol. 2011, 35, 545–552. [Google Scholar] [CrossRef] [PubMed]
- Wood, M.F.G.; Vurgun, N.; Wallenburg, M.A.; Vitkin, I.A. Effects of Formalin Fixation on Tissue Optical Polarization Properties. Phys. Med. Biol. 2011, 56, N115–N122. [Google Scholar] [CrossRef]
- Kittleson, M.D.; Côté, E. The Feline Cardiomyopathies: 2. Hypertrophic Cardiomyopathy. J. Feline Med. Surg. 2021, 23, 1028–1051. [Google Scholar] [CrossRef]
- Lobo, L.; Carvalheira, J.; Canada, N.; Bussadori, C.; Gomes, J.L.; Faustino, A.M.R. Histologic Characterization of Dilated Cardiomyopathy in Estrela Mountain Dogs. Vet. Pathol. 2010, 47, 637–642. [Google Scholar] [CrossRef]
- Akgul, M.; Arslan, A.I.; Yazici, C.; Altin, E.; Oznur, M. The Shrinkage Effect of Formalin on Renal Cell Carcinoma: Does It Change the Stages? J. Pak. Med. Assoc. 2022, 72, 2175–2179. [Google Scholar] [CrossRef]
- Chen, C.-H.; Hsu, M.-Y.; Jiang, R.-S.; Wu, S.-H.; Chen, F.-J.; Liu, S.-A. Shrinkage of Head and Neck Cancer Specimens after Formalin Fixation. J. Chin. Med. Assoc. 2012, 75, 109–113. [Google Scholar] [CrossRef]
- Douglas, R.J.; Clark, G.M.; Truncer, P.C.; Treneer, C.M. Effects of Aging on Formalin-Fixed Brain Weight in Mice and Rats. Gerontology 1981, 27, 127–132. [Google Scholar] [CrossRef] [PubMed]
- Herculano-Houzel, S.; Mota, B.; Lent, R. Cellular Scaling Rules for Rodent Brains. Proc. Natl. Acad. Sci. USA 2006, 103, 12138–12143. [Google Scholar] [CrossRef] [PubMed]
- Herculano-Houzel, S.; Collins, C.E.; Wong, P.; Kaas, J.H. Cellular Scaling Rules for Primate Brains. Proc. Natl. Acad. Sci. USA 2007, 104, 3562–3567. [Google Scholar] [CrossRef] [PubMed]
- Hsu, P.-K.; Huang, H.-C.; Hsieh, C.-C.; Hsu, H.-S.; Wu, Y.-C.; Huang, M.-H.; Hsu, W.-H. Effect of Formalin Fixation on Tumor Size Determination in Stage I Non-Small Cell Lung Cancer. Ann. Thorac. Surg. 2007, 84, 1825–1829. [Google Scholar] [CrossRef]
- Jonmarker, S.; Valdman, A.; Lindberg, A.; Hellström, M.; Egevad, L. Tissue Shrinkage after Fixation with Formalin Injection of Prostatectomy Specimens. Virchows Arch. 2006, 449, 297–301. [Google Scholar] [CrossRef]
- Park, H.S.; Lee, S.; Haam, S.; Lee, G.D. Effect of Formalin Fixation and Tumour Size in Small-sized Non-small-cell Lung Cancer: A Prospective, Single-centre Study. Histopathology 2017, 71, 437–445. [Google Scholar] [CrossRef]
- Quester, R.; Schröder, R. The Shrinkage of the Human Brain Stem during Formalin Fixation and Embedding in Paraffin. J. Neurosci. Methods 1997, 75, 81–89. [Google Scholar] [CrossRef]
- Tambouret, R.; Jeck, W.R.; Roberts, D.J. The Difference Between Unfixed and Postfixation Placental Weight. Am. J. Clin. Pathol. 2019, 152, 217–220. [Google Scholar] [CrossRef]
- Tran, T.; Sundaram, C.P.; Bahler, C.D.; Eble, J.N.; Grignon, D.J.; Monn, M.F.; Simper, N.B.; Cheng, L. Correcting the Shrinkage Effects of Formalin Fixation and Tissue Processing for Renal Tumors: Toward Standardization of Pathological Reporting of Tumor Size. J. Cancer 2015, 6, 759–766. [Google Scholar] [CrossRef]
- Weisbecker, V. Distortion in Formalin-Fixed Brains: Using Geometric Morphometrics to Quantify the Worst-Case Scenario in Mice. Brain Struct. Funct. 2012, 217, 677–685. [Google Scholar] [CrossRef]
- Loper, N.; Garland, J.; Ondruschka, B.; Glenn, C.; Kesha, K.; Stables, S.; Tse, R. Significant Differences in PostMortem Heart Weight Before and After Dissection Using the Short-Axis Dissecting Method. J. Forensic Sci. 2020, 65, 1563–1567. [Google Scholar] [CrossRef] [PubMed]
- Janus, I.; Noszczyk-Nowak, A.; Bubak, J.; Tursi, M.; Vercelli, C.; Nowak, M. Comparative Cardiac Macroscopic and Microscopic Study in Cats with Hyperthyroidism vs. Cats with Hypertrophic Cardiomyopathy. Vet. Q. 2023, 43, 1–11. [Google Scholar] [CrossRef] [PubMed]
- Appendix I: Normal Organ Weights (Percentage Body Wight). In Necropsy Guide for Dogs, Cats, and Small Mammals; McDonough, S., Southard, T., Eds.; John Wiley and Sons: New York, NY, USA, 2017; pp. 183–185. [Google Scholar]
- Vent, J.; Zimmermann, C.; Drebber, U.; Wedemeyer, I.; Eckel, H.E.; Huettenbrink, K.B.; Preuss, S.F. Influence of Formalin Fixation on Tissue Dimensions in Palatal Tonsils. Pathol. Res. Pract. 2014, 210, 59–61. [Google Scholar] [CrossRef] [PubMed]
- Mayhew, T.M.; Mwamengele, G.L.; Dantzer, V. Comparative Morphometry of the Mammalian Brain: Estimates of Cerebral Volumes and Cortical Surface Areas Obtained from Macroscopic Slices. J. Anat. 1990, 172, 191–200. [Google Scholar]
- Hołda, M.K.; Klimek-Piotrowska, W.; Koziej, M.; Piątek, K.; Hołda, J. Influence of Different Fixation Protocols on the Preservation and Dimensions of Cardiac Tissue. J. Anat. 2016, 229, 334–340. [Google Scholar] [CrossRef]
- Eltoum, I.; Fredenburgh, J.; Grizzle, W.E. Advanced Concepts in Fixation: 1. Effects of Fixation on Immunohistochemistry, Reversibility of Fixation and Recovery of Proteins, Nucleic Acids, and Other Molecules from Fixed and Processed Tissues. 2. Developmental Methods of Fixation. J. Histotechnol. 2001, 24, 201–210. [Google Scholar] [CrossRef]
- Grizzle, W.E.; Stockard, C.R.; Billings, P.E. The Effects of Tissue Processing Variables Other Than Fixation on Histochemical Staining and Immunohistochemical Detection of Antigens. J. Histotechnol. 2001, 24, 213–219. [Google Scholar] [CrossRef]





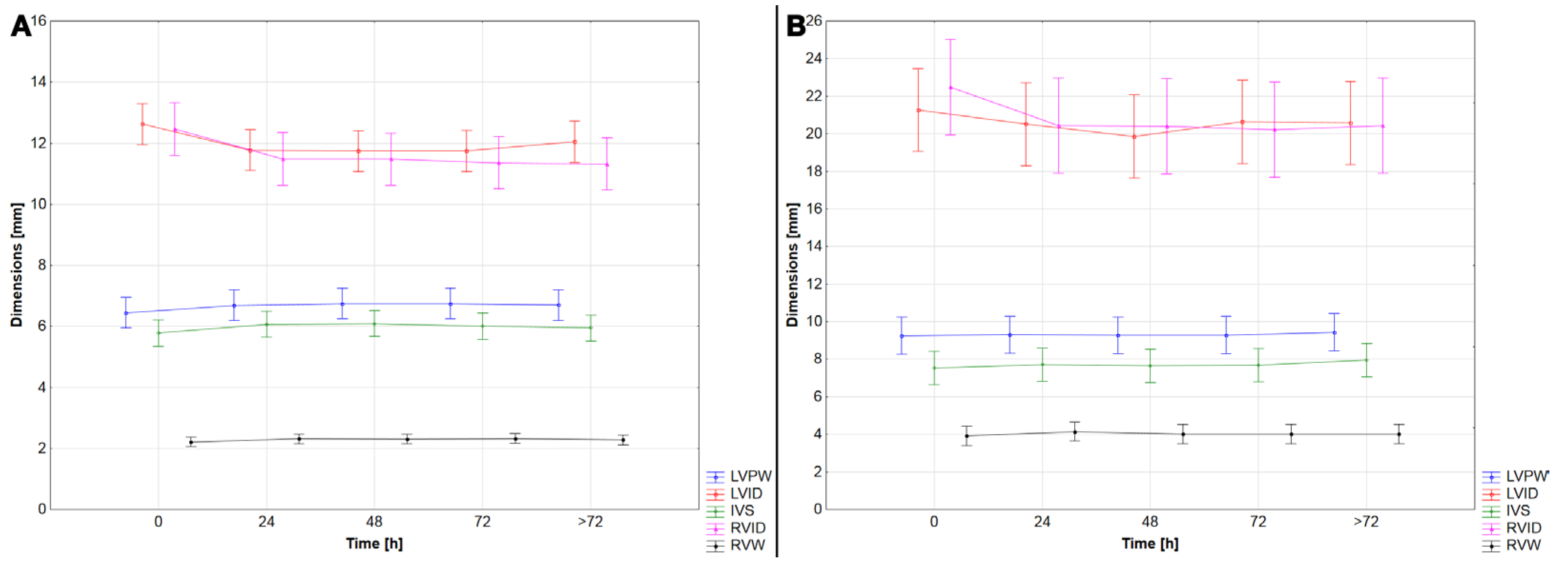
| Timepoint [h] | 0 | 24 | 48 | 72 | >72 |
|---|---|---|---|---|---|
| HPF [g] (n = 68) | 23.8 ± 8.8 a | ||||
| HPF/BW [g/kg] (n = 68) | 6.7 ± 2.5 b | ||||
| HAF [g] (n = 95) | 17.8 ± 5.9 a | 17.9 ± 5.9 | 17.8 ± 5.9 | 18.0 ± 6.0 | 17.8 ± 5.8 |
| HAF/BW [g/kg] (n = 95) | 4.9 ± 1.6 b | ||||
| LVPW [mm] (n = 52) | 6.4 ± 1.9 | 6.7 ± 1.8 | 6.7 ± 1.8 | 6.7 ± 1.8 | 6.7 ± 1.8 |
| LVID [mm] (n = 52) | 12.6 ± 3.2 | 11.8 ± 2.3 | 11.7 ± 2.2 | 11.8 ± 2.2 | 12.1 ± 2.3 |
| IVS [mm] (n = 52) | 5.8 ± 1.6 | 6.1 ± 1.5 | 6.1 ± 1.6 | 6.0 ± 1.5 | 5.9 ± 1.6 |
| RVID [mm] (n = 52) | 12.5 ± 3.7 | 11.5 ± 3.0 | 11.5 ± 3.0 | 11.4 ± 3.0 | 11.3 ± 2.9 |
| RVW [mm] (n = 52) | 2.2 ± 0.6 | 2.3 ± 0.6 | 2.3 ± 0.6 | 2.3 ± 0.6 | 2.3 ± 0.6 |
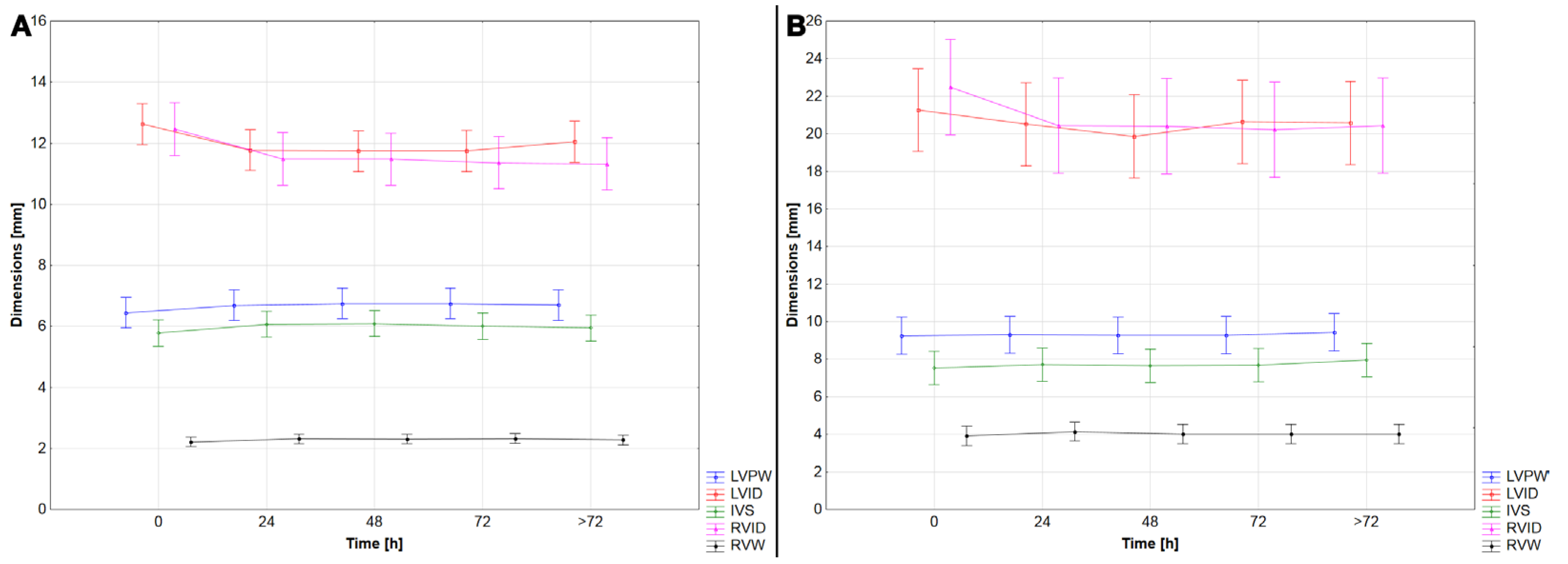
| Timepoint [h] | 0 | 24 | 48 | 72 | >72 |
|---|---|---|---|---|---|
| HPF [g] (n = 22) | 93.8 ± 52.8 a | ||||
| HPF/BW [g/kg] (n = 22) | 13.3 ± 4.3 b | ||||
| HAF [g] (n = 39) | 72.1 ± 31.5 a | 72.5 ± 31.4 | 72.5 ± 31.2 | 71.2 ± 31.7 | 71.8 ± 31.1 |
| HAF/BW [g/kg] (n = 39) | 9.8 ± 3.2 b | ||||
| LVPW [mm] (n = 22) | 9.3 ± 2.6 | 9.3 ± 2.3 | 9.3 ± 2.3 | 9.3 ± 2.3 | 9.4 ± 2.1 |
| LVID [mm] (n = 22) | 21.2 ± 5.2 | 20.5 ± 5.2 | 19.9 ± 5.5 | 20.6 ± 5.2 | 20.6 ± 5.1 |
| IVS [mm] (n = 22) | 7.5 ± 1.8 | 7.7 ± 2.1 | 7.6 ± 2.2 | 7.7 ± 2.2 | 7.9 ± 2.1 |
| RVID [mm] (n = 22) | 22.5 ± 6.4 | 20.4 ± 5.6 | 20.4 ± 6.1 | 20.2 ± 5.8 | 20.4 ± 6.1 |
| RVW [mm] (n = 22) | 3.9 ± 1.2 | 4.1 ± 1.4 | 4.0 ± 1.2 | 4.0 ± 1.2 | 4.0 ± 1.1 |
Disclaimer/Publisher’s Note: The statements, opinions and data contained in all publications are solely those of the individual author(s) and contributor(s) and not of MDPI and/or the editor(s). MDPI and/or the editor(s) disclaim responsibility for any injury to people or property resulting from any ideas, methods, instructions or products referred to in the content. |
© 2025 by the authors. Licensee MDPI, Basel, Switzerland. This article is an open access article distributed under the terms and conditions of the Creative Commons Attribution (CC BY) license (https://creativecommons.org/licenses/by/4.0/).
Share and Cite
Janus-Ziółkowska, I.; Bubak, J. The Impact of Short-Term Formalin Fixation on Weight and Ventricular Dimensions in the Hearts of Cats and Small-to-Medium-Sized Dogs. Vet. Sci. 2025, 12, 74. https://doi.org/10.3390/vetsci12010074
Janus-Ziółkowska I, Bubak J. The Impact of Short-Term Formalin Fixation on Weight and Ventricular Dimensions in the Hearts of Cats and Small-to-Medium-Sized Dogs. Veterinary Sciences. 2025; 12(1):74. https://doi.org/10.3390/vetsci12010074
Chicago/Turabian StyleJanus-Ziółkowska, Izabela, and Joanna Bubak. 2025. "The Impact of Short-Term Formalin Fixation on Weight and Ventricular Dimensions in the Hearts of Cats and Small-to-Medium-Sized Dogs" Veterinary Sciences 12, no. 1: 74. https://doi.org/10.3390/vetsci12010074
APA StyleJanus-Ziółkowska, I., & Bubak, J. (2025). The Impact of Short-Term Formalin Fixation on Weight and Ventricular Dimensions in the Hearts of Cats and Small-to-Medium-Sized Dogs. Veterinary Sciences, 12(1), 74. https://doi.org/10.3390/vetsci12010074

