Application of RNA-Seq Technology for Screening Reproduction-Related Differentially Expressed Genes in Tibetan and Yorkshire Pig Ovarian Tissue
Abstract
Simple Summary
Abstract
1. Introduction
2. Materials and Methods
2.1. Laboratory Animal Ethics Statement and Ovarian Tissue Sampling
2.2. The Process of RNA Extraction
2.3. Analysis of Sequencing Data
2.4. Gene Ontology and Pathway Enrichment Analysis
2.5. Real-Time Fluorescence Quantitative PCR (RT-qPCR) Validation
3. Results
3.1. Total RNA Quality Assay
3.2. Status of Transcriptome Sequencing Data
3.3. Differentially Expressed Gene (DEG) Analysis
3.4. GO Functional Enrichment Analysis of Differentially Expressed Genes
3.5. Enrichment Analysis of the KEGG Pathway for Differentially Expressed Genes
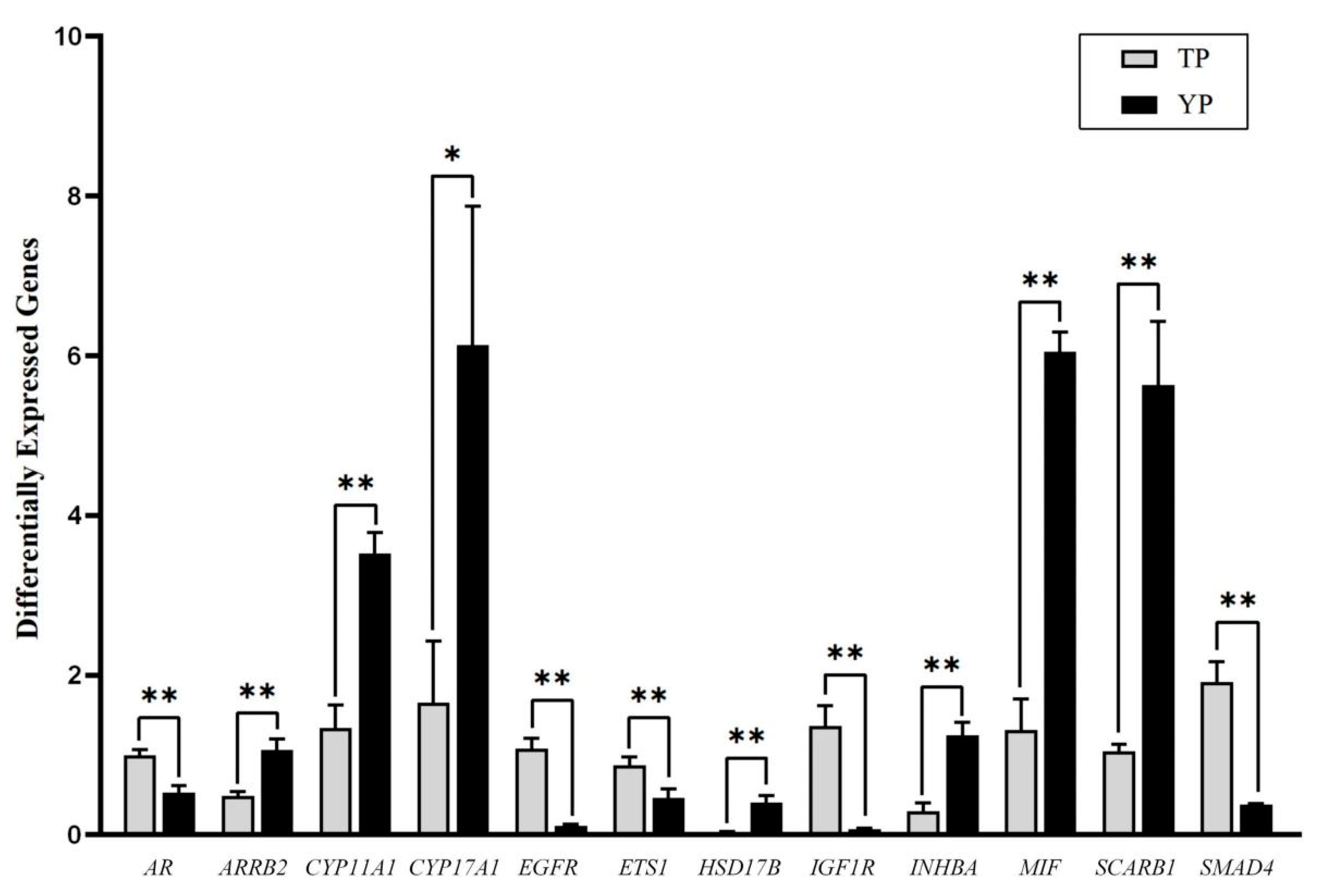
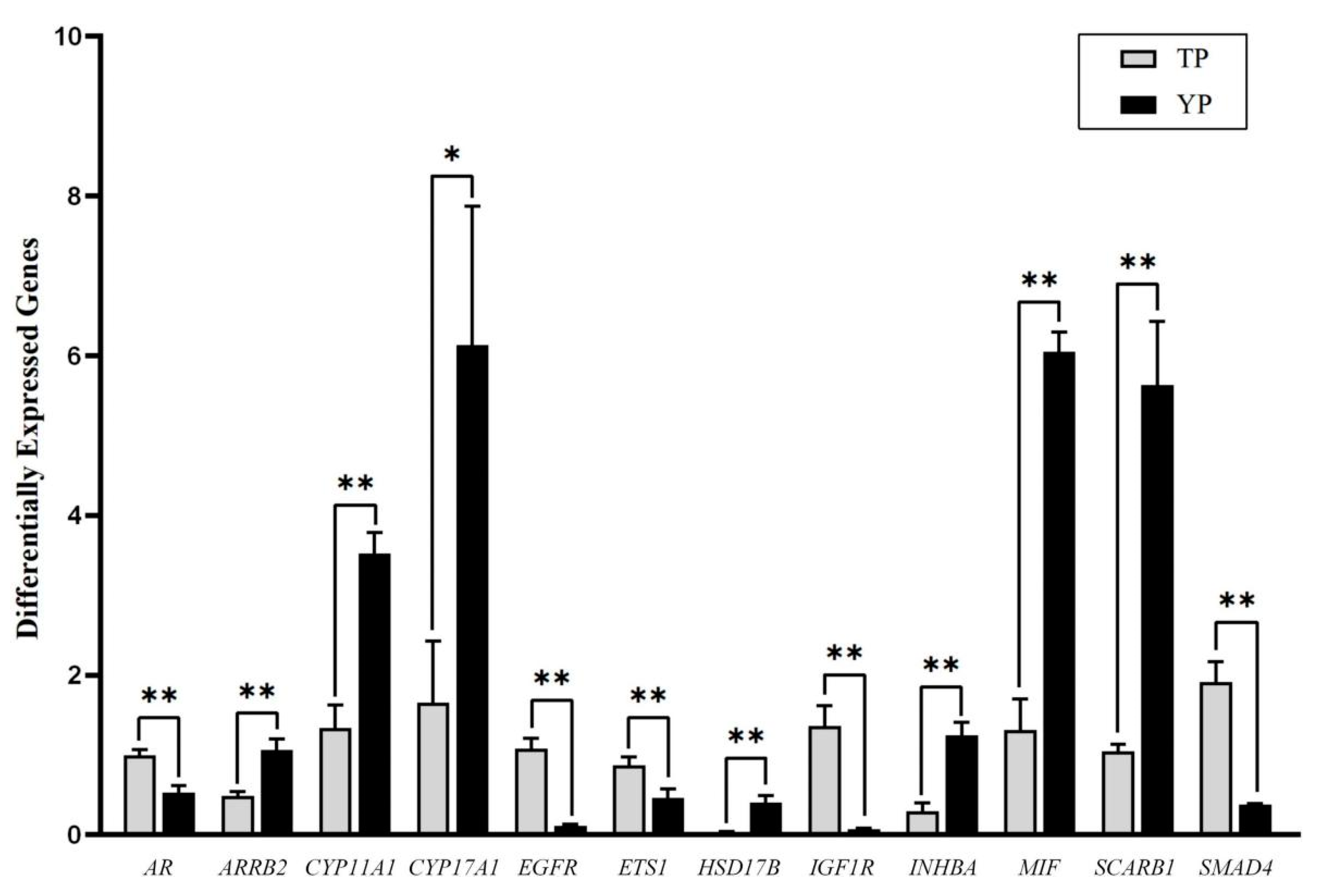
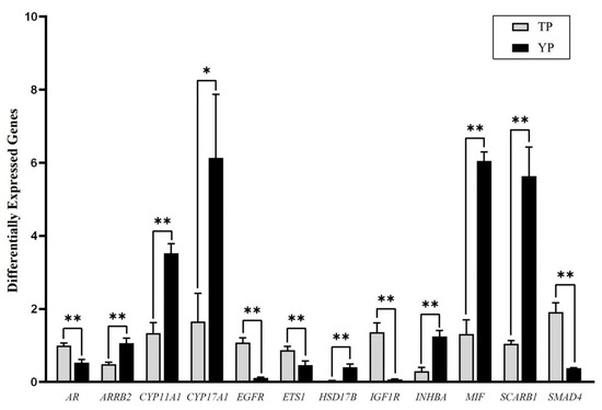
3.6. RT-qPCR Validation Results
4. Discussion
5. Conclusions
Supplementary Materials
Author Contributions
Funding
Institutional Review Board Statement
Informed Consent Statement
Data Availability Statement
Conflicts of Interest
References
- Xu, G.; Zhang, H.; Li, X.; Hu, J.; Yang, G.; Sun, S. Genome-Wide Differential Expression Profiling of Ovarian circRNAs Associated with Litter Size in Pigs. Front. Genet. 2019, 10, 1010. [Google Scholar] [CrossRef] [PubMed]
- Abdoli, R.; Zamani, P.; Mirhoseini, S.Z.; Ghavi Hossein-Zadeh, N.; Nadri, S. A review on prolificacy genes in sheep. Reprod. Domest. Anim. 2016, 51, 631–637. [Google Scholar] [CrossRef] [PubMed]
- Sun, W.K.; Li, Y.; Cheng, C.; Chen, Y.H.; Zeng, K.; Chen, X.; Gu, Y.; Liu, R.; Lv, X.; Gao, R. Comparison of stomach microRNA transcriptomes of Tibetan and Yorkshire pigs by deep sequencing. Genes. Genomics 2018, 40, 937–943. [Google Scholar] [CrossRef] [PubMed]
- Cai, Q.; Li, Y.; Chang, Y.F.; Tang, Z.; Zhang, H.; Xie, Q. Pasteurella multocida causes liver injury in ducks by mediating inflammatory, apoptotic and autophagic pathways. Microb. Pathog. 2023, 184, 106336. [Google Scholar] [CrossRef] [PubMed]
- Fayad, T.; Lefebvre, R.; Nimpf, J.; Silversides, D.W.; Lussier, J.G. Low-density lipoprotein receptor-related protein 8 (LRP8) is upregulated in granulosa cells of bovine dominant follicle: Molecular characterization and spatio-temporal expression studies. Biol. Reprod. 2007, 76, 466–475. [Google Scholar] [CrossRef] [PubMed][Green Version]
- Jiang, Y.; Tang, S.; Xiao, W.; Yun, P.; Ding, X. A genome-wide association study of reproduction traits in four pig populations with different genetic backgrounds. Asian-Australas. J. Anim. Sci. 2020, 33, 1400–1410. [Google Scholar] [CrossRef] [PubMed]
- Hawley, R.S. Oogenesis: When most is good enough. Curr. Biol. 2011, 21, R288–R290. [Google Scholar] [CrossRef]
- Guo, R.; Chen, F.; Shi, Z. Suppression of Notch Signaling Stimulates Progesterone Synthesis by Enhancing the Expression of NR5A2 and NR2F2 in Porcine Granulosa Cells. Genes 2020, 11, 120. [Google Scholar] [CrossRef]
- Gu, X.; Gao, Y.; Luo, Z.; Yang, L.; Chi, F.; Xiao, J.; Wang, W.; Geng, F. In-depth mapping of the proteome of Tibetan pig tenderloin (longissimus dorsi) using offline high-pH reversed-phase fractionation and LC-MS/MS. J. Food Biochem. 2019, 43, e13015. [Google Scholar] [CrossRef]
- Bacich, D.; Earl, C.; O’keefe, D.; Norman, R.; Rodgers, R. Characterization of the translated products of the alternatively spliced luteinizing hormone receptor in the ovine ovary throughout the oestrous cycle. Mol. Cell Endocrinol. 1999, 147, 113–124. [Google Scholar] [CrossRef]
- Wu, X.; Nawaz, S.; Li, Y.; Zhang, H. Environmental health hazards of untreated livestock wastewater: Potential risks and future perspectives. Environ. Sci. Pollut. Res. Int. 2024, 31, 24745–24767. [Google Scholar] [CrossRef] [PubMed]
- Wu, X.; Liu, Y.; Li, Y.; Tang, Z.; Li, A.; Zhang, H. Molecular mechanism of thiram-induced abnormal chondrocyte proliferation via lncRNA MSTRG.74.1-BNIP3 axis. Pestic. Biochem. Physiol. 2024, 201, 105847. [Google Scholar] [CrossRef] [PubMed]
- Yang, S.; Zhou, X.; Pei, Y.; Wang, H.; He, K.; Zhao, A. Identification of Differentially Expressed Genes in Porcine Ovaries at Proestrus and Estrus Stages Using RNA-Seq Technique. Biomed. Res. Int. 2018, 2018, 9150723. [Google Scholar] [CrossRef]
- Marguerat, S.; Bähler, J. RNA-seq: From technology to biology. Cell Mol. Life Sci. 2010, 67, 569–579. [Google Scholar] [CrossRef] [PubMed]
- Yang, K.Y.; Jeon, J.H.; Kwon, K.S.; Choi, H.C.; Kim, J.B.; Lee, J.Y. Effect of different parities on reproductive performance, birth intervals, and tail behavior in sows. J. Anim. Sci. Technol. 2019, 61, 147–153. [Google Scholar] [CrossRef] [PubMed]
- Barnett, K.R.; Tomic, D.; Gupta, R.K.; Miller, K.P.; Meachum, S.; Paulose, T.; Flaws, J.A. The aryl hydrocarbon receptor affects mouse ovarian follicle growth via mechanisms involving estradiol regulation and responsiveness. Biol. Reprod. 2007, 76, 1062–1070. [Google Scholar] [CrossRef]
- Ma, Y.F.; Han, X.M.; Huang, C.P.; Zhong, L.; Adeola, A.C.; Irwin, D.M.; Xie, H.B.; Zhang, Y.P. Population Genomics Analysis Revealed Origin and High-altitude Adaptation of Tibetan Pigs. Sci. Rep. 2019, 9, 11463. [Google Scholar] [CrossRef]
- Zheng, S.; Ma, M.; Chen, Y.; Li, M. Effects of quercetin on ovarian function and regulation of the ovarian PI3K/Akt/FoxO3a signalling pathway and oxidative stress in a rat model of cyclophosphamide-induced premature ovarian failure. Basic. Clin. Pharmacol. Toxicol. 2022, 130, 240–253. [Google Scholar] [CrossRef] [PubMed]
- Zhang, W.; Zuo, M.; Lu, J.; Wang, Y. Adiponectin Reduces Embryonic Loss Rate and Ameliorates Trophoblast Apoptosis in Early Pregnancy of Mice with Polycystic Ovary Syndrome by Affecting the AMPK/PI3K/Akt/FoxO3a Signaling Pathway. Reprod. Sci. 2020, 27, 2232–2241. [Google Scholar] [CrossRef]
- Fujimoto, J.; Hirose, R.; Sakaguchi, H.; Tamaya, T. Expression of size-polymorphic androgen receptor (AR) gene in ovarian endometriosis according to the number of cytosine, adenine, and guanine (CAG) repeats in AR alleles. Steroids 1999, 64, 526–529. [Google Scholar] [CrossRef]
- Seifert, J.N.; Larsen, N.J.; Marklund, S.; Hu, Z.L.; Rohrer, G.A.; Rothschild, M.F. Genetic linkage and physical mapping of the porcine androgen receptor (AR) gene. J. Anim. Sci. 1999, 77, 785–786. [Google Scholar] [CrossRef][Green Version]
- Miyamoto, J.; Asanuma, H.; Nakai, H.; Hasegawa, T.; Nawata, H.; Hasegawa, Y. Mutational Analysis of Androgen Receptor (AR) Gene in 46,XY Patients with Ambiguous Genitalia and Normal Testosterone Secretion: Endocrinological Characteristics of Three Patients with AR Gene Mutations. Clin. Pediatr. Endocrinol. 2006, 15, 151–162. [Google Scholar] [CrossRef][Green Version]
- Moisan, V.; Robert, N.M.; Tremblay, J.J. Expression of ladybird-like homeobox 2 (LBX2) during ovarian development and folliculogenesis in the mouse. J. Mol. Histol. 2010, 41, 289–294. [Google Scholar] [CrossRef]
- Chen, Y.; Mehmood, K.; Chang, Y.F.; Tang, Z.; Li, Y.; Zhang, H. The molecular mechanisms of glycosaminoglycan biosynthesis regulating chondrogenesis and endochondral ossification. Life Sci. 2023, 335, 122243. [Google Scholar] [CrossRef] [PubMed]
- Matsuda, F.; Inoue, N.; Manabe, N.; Ohkura, S. Follicular growth and atresia in mammalian ovaries: Regulation by survival and death of granulosa cells. J. Reprod. Dev. 2012, 58, 44–50. [Google Scholar] [CrossRef]
- Sun, Q.; Wu, S.; Liu, K.; Li, Y.; Mehmood, K.; Nazar, M.; Hu, L.; Pan, J.; Tang, Z.; Liao, J.; et al. miR-181b-1-3p affects the proliferation and differentiation of chondrocytes in TD broilers through the WIF1/Wnt/β-catenin pathway. Pestic. Biochem. Physiol. 2023, 197, 105649. [Google Scholar] [CrossRef]
- Wu, S.; Liu, K.; Huang, X.; Sun, Q.; Wu, X.; Mehmood, K.; Li, Y.; Zhang, H. Molecular mechanism of miR-203a targeting Runx2 to regulate thiram induced-chondrocyte development. Pestic. Biochem. Physiol. 2024, 200, 105817. [Google Scholar] [CrossRef] [PubMed]
- Fereshteh, M.; Ito, T.; Kovacs, J.J.; Zhao, C.; Kwon, H.Y.; Tornini, V.; Konuma, T.; Chen, M.; Lefkowitz, R.J.; Reya, T. β-Arrestin2 mediates the initiation and progression of myeloid leukemia. Proc. Natl. Acad. Sci. USA 2012, 109, 12532–12537. [Google Scholar] [CrossRef] [PubMed]
- Gu, Y.J.; Sun, W.Y.; Zhang, S.; Wu, J.J.; Wei, W. The emerging roles of β-arrestins in fibrotic diseases. Acta Pharmacol. Sin. 2015, 36, 1277–1287. [Google Scholar] [CrossRef]
- Yang, F.; Liu, Q.; Chen, Y.; Ye, H.; Wang, H.; Zeng, S. Integrative Proteomic and Phosphoproteomic Analyses of Granulosa Cells During Follicular Atresia in Porcine. Front. Cell Dev. Biol. 2020, 8, 624985. [Google Scholar] [CrossRef]
- Kianianmomeni, A.; Ong, C.S.; Rätsch, G.; Hallmann, A. Genome-wide analysis of alternative splicing in Volvox carteri. BMC Genomics 2014, 15, 1117. [Google Scholar] [CrossRef] [PubMed][Green Version]
- Lin, S.X.; Shi, R.; Qiu, W.; Azzi, A.; Zhu, D.W.; Dabbagh, H.A.; Zhou, M. Structural basis of the multispecificity demonstrated by 17beta-hydroxysteroid dehydrogenase types 1 and 5. Mol. Cell Endocrinol. 2006, 248, 38–46. [Google Scholar] [CrossRef] [PubMed]
- Robic, A.; Feve, K.; Louveau, I.; Riquet, J.; Prunier, A. Exploration of steroidogenesis-related genes in testes, ovaries, adrenals, liver and adipose tissue in pigs. Anim. Sci. J. 2016, 87, 1041–1047. [Google Scholar] [CrossRef] [PubMed]
- Niemsiri, V.; Wang, X.; Pirim, D.; Radwan, Z.H.; Hokanson, J.E.; Hamman, R.F.; Barmada, M.M.; Demirci, F.Y.; Kamboh, M.I. Impact of genetic variants in human scavenger receptor class B type I (SCARB1) on plasma lipid traits. Circ. Cardiovasc. Genet. 2014, 7, 838–847. [Google Scholar] [CrossRef] [PubMed][Green Version]
- Cheng, W.; Liu, D.; Guo, M.; Li, H.; Wang, Q. Sophoraflavanone G suppresses the progression of triple-negative breast cancer via the inactivation of EGFR-PI3K-AKT signaling. Drug Dev. Res. 2022, 83, 1138–1151. [Google Scholar] [CrossRef] [PubMed]
- Chen, M.; Manley, J.L. Mechanisms of alternative splicing regulation: Insights from molecular and genomics approaches. Nat. Rev. Mol. Cell Biol. 2009, 10, 741–754. [Google Scholar] [CrossRef] [PubMed]
- Summers, A.F.; Pohlmeier, W.E.; Sargent, K.M.; Cole, B.D.; Vinton, R.J.; Kurz, S.G.; McFee, R.M.; Cushman, R.A.; Cupp, A.S.; Wood, J.R. Altered theca and cumulus oocyte complex gene expression, follicular arrest and reduced fertility in cows with dominant follicle follicular fluid androgen excess. PLoS ONE 2014, 9, e110683. [Google Scholar] [CrossRef] [PubMed]
- Pangas, S.A.; Li, X.; Robertson, E.J.; Matzuk, M.M. Premature luteinization and cumulus cell defects in ovarian-specific Smad4 knockout mice. Mol. Endocrinol. 2006, 20, 1406–1422. [Google Scholar] [CrossRef]
- Wang, W.; Chen, X.; Li, X.; Wang, L.; Zhang, H.; He, Y.; Wang, J.; Zhao, Y.; Zhang, B.; Xu, Y. Interference RNA-based silencing of endogenous SMAD4 in porcine granulosa cells resulted in decreased FSH-mediated granulosa cells proliferation and steroidogenesis. Reproduction 2011, 141, 643–651. [Google Scholar] [CrossRef]
- Pangas, S.A. Bone morphogenetic protein signaling transcription factor (SMAD) function in granulosa cells. Mol. Cell Endocrinol. 2012, 356, 40–47. [Google Scholar] [CrossRef]





| Genes Name | GenBank Accession Number | Primers Sequence (5′-3′) | Product Length |
|---|---|---|---|
| ARRB2 | XM_021067791 | F: TAAAGTGGATCCTGTGGATG R: TAGGTGGCGATGAACAGGTC | 136 bp |
| AR | NM_214314 | F: CAGCCTTCACAACAGCAATC R: CAGCTGAGTCATCCTCGTCC | 116 bp |
| CYP11A1 | NM_214427 | F: TCCACCCCATCTCCGTGAC R: CCCAGCCAAAGCCCAAGTT | 213 bp |
| CYP17A1 | NM_214428 | F: AAGCCAAGACGAACGCAGAAAG R: AGATGGGGCACGATTGAAACC | 228 bp |
| EGFR | NM_214007 | F: CAAGTAACAAGCTCACCCAG R: ACCTCCTGAATGGTCTTTAG | 134 bp |
| ETS1 | NM_001162886 | F: CGACAGGGACCTCTCAACTC R: AGTGGGACATCTGCACATTC | 150 bp |
| HSD17B1 | NM_001128472 | F: TGATAGGGCTTCCCTTCAAC R: GCTCGAAGTGGCTCAGGTAG | 246 bp |
| IGF1R | NM_214172 | F: ACATCCTGCTCATCTCCAAG R: AGATGACCAGGGCGTAGTTG | 160 bp |
| INHBA | NM_214028 | F: CACTCGACGGTCATCAACCA R: GTAAACGTGTCTTCGCGTGG | 242 bp |
| MIF | NM_001077213 | F: AGAACCGTTCCTACAGCAAG R: CCGTTTATTTCTCTCTTCCG | 239 bp |
| SCARB1 | NM_213967 | F: CGTGGCTCCCAACACCTTAT R: CAAGGGTGCATTGAACCTGC | 118 bp |
| SMAD4 | NM_214072 | F: ATTTCCCTTGCAACATTAGC R: GTGTACAATGCTCAGACAGG | 145 bp |
| Samples Name | Total Number of Clips | Mapping Segments | Mapping Fragment SCALE | Single Entry Mapping (math.) | Singles Mapping Ratio | Pairwise Mapping | Pairwise Mapping Ratio |
|---|---|---|---|---|---|---|---|
| TP1 | 45,605,842 | 43,378,626 | 95.12% | 16,678,059 | 36.57% | 25,572,880 | 56.07% |
| TP2 | 42,150,818 | 39,992,833 | 94.88% | 15,590,339 | 36.99% | 23,155,796 | 54.94% |
| TP4 | 44,508,570 | 4,250,896 | 95.51% | 15,799,744 | 35.50% | 25,263,538 | 56.76% |
| TP5 | 46,849,326 | 44,357,885 | 94.68% | 17,333,938 | 37.00% | 2,556,750 | 54.57% |
| TP6 | 45,831,932 | 43,582,914 | 95.09% | 16,385,456 | 35.75% | 26,037,628 | 56.81% |
| TP8 | 45,015,626 | 42,943,349 | 95.40% | 16,647,796 | 36.98% | 24,972,968 | 55.48% |
| YP1 | 42,171,230 | 39,970,012 | 94.78% | 16,003,819 | 37.95% | 2,276,000 | 53.97% |
| YP4 | 46,124,354 | 43,605,829 | 94.54% | 16,731,424 | 36.27% | 25,060,990 | 54.33% |
| YP5 | 44,573,156 | 4,253,174 | 95.42% | 16,265,637 | 36.49% | 25,169,637 | 56.47% |
| YP6 | 45,240,124 | 43,370,974 | 95.87% | 18,377,767 | 40.62% | 23,290,138 | 51.48% |
| YP7 | 4,889,036 | 46,757,012 | 95.64% | 18,687,416 | 38.22% | 2,646,169 | 54.12% |
| YP8 | 43,638,364 | 41,521,449 | 95.15% | 14,322,046 | 32.82% | 25,469,391 | 58.36% |
| Gene ID | Gene Name | p-Value | Padj | Log2FoldChange | Up/Down |
|---|---|---|---|---|---|
| enssscg00000012371 | AR | 0.041172381 | 0.22619568 | −1.208248377 | up |
| enssscg00000017918 | ARRB2 | 0.020351911 | 0.148940782 | 0.750341389 | up |
| enssscg00000025273 | CYP11A1 | 0.711936619 | 0.880393286 | 0.434294513 | down |
| enssscg00000010591 | CYP17A1 | 0.070199787 | 0.294198628 | 1.721167825 | down |
| enssscg00000022126 | EGFR | 0.011554751 | 0.110088481 | −0.874207013 | down |
| enssscg00000015235 | ETS1 | 0.534482672 | 0.783558724 | −0.235233666 | down |
| enssscg00000035147 | HSD17B1 | 0.130743898 | 0.404312872 | 1.53080905 | up |
| enssscg00000030560 | IGF1R | 0.007808723 | 0.088106822 | −0.978372778 | down |
| enssscg00000035077 | INHBA | 7.30E−06 | 0.001399384 | 2.788332922 | up |
| enssscg00000010067 | MIF | 0.017109167 | 0.134644053 | 0.802256275 | up |
| ENSSSCG00000009759 | SCARB1 | 0.944557538 | 0.982148156 | 0.082004337 | up |
| enssscg00000004524 | SMAD4 | 0.023921806 | 0.162510834 | −0.612213548 | down |
Disclaimer/Publisher’s Note: The statements, opinions and data contained in all publications are solely those of the individual author(s) and contributor(s) and not of MDPI and/or the editor(s). MDPI and/or the editor(s) disclaim responsibility for any injury to people or property resulting from any ideas, methods, instructions or products referred to in the content. |
© 2024 by the authors. Licensee MDPI, Basel, Switzerland. This article is an open access article distributed under the terms and conditions of the Creative Commons Attribution (CC BY) license (https://creativecommons.org/licenses/by/4.0/).
Share and Cite
Yin, Y.; Zhang, J.; Li, X.; Duan, M.; Zhao, M.; Zhang, F.; Chamba, Y.; Shang, P. Application of RNA-Seq Technology for Screening Reproduction-Related Differentially Expressed Genes in Tibetan and Yorkshire Pig Ovarian Tissue. Vet. Sci. 2024, 11, 283. https://doi.org/10.3390/vetsci11070283
Yin Y, Zhang J, Li X, Duan M, Zhao M, Zhang F, Chamba Y, Shang P. Application of RNA-Seq Technology for Screening Reproduction-Related Differentially Expressed Genes in Tibetan and Yorkshire Pig Ovarian Tissue. Veterinary Sciences. 2024; 11(7):283. https://doi.org/10.3390/vetsci11070283
Chicago/Turabian StyleYin, Yikai, Jian Zhang, Xindi Li, Mengqi Duan, Mingxuan Zhao, Feifan Zhang, Yangzom Chamba, and Peng Shang. 2024. "Application of RNA-Seq Technology for Screening Reproduction-Related Differentially Expressed Genes in Tibetan and Yorkshire Pig Ovarian Tissue" Veterinary Sciences 11, no. 7: 283. https://doi.org/10.3390/vetsci11070283
APA StyleYin, Y., Zhang, J., Li, X., Duan, M., Zhao, M., Zhang, F., Chamba, Y., & Shang, P. (2024). Application of RNA-Seq Technology for Screening Reproduction-Related Differentially Expressed Genes in Tibetan and Yorkshire Pig Ovarian Tissue. Veterinary Sciences, 11(7), 283. https://doi.org/10.3390/vetsci11070283
