Replacement of Sulfur Dioxide in White, Rosé, and Red Wines by a Blend of Tannins Extracted from Multiple Plant Materials
Abstract
1. Introduction
2. Materials and Methods
2.1. Raw Materials
2.2. Chemicals and Reagents
2.3. Winemaking Process
2.4. Physicochemical Analysis of Must and Wine
A620 (%) = (A620/I) × 100;
2.5. Determination of Phenolics and Antioxidant Activity of Wines
2.6. Determination of Phenolics with LC-MS
2.7. Sensorial Evaluation of Wines
2.8. Statistical Analysis
3. Results and Discussion
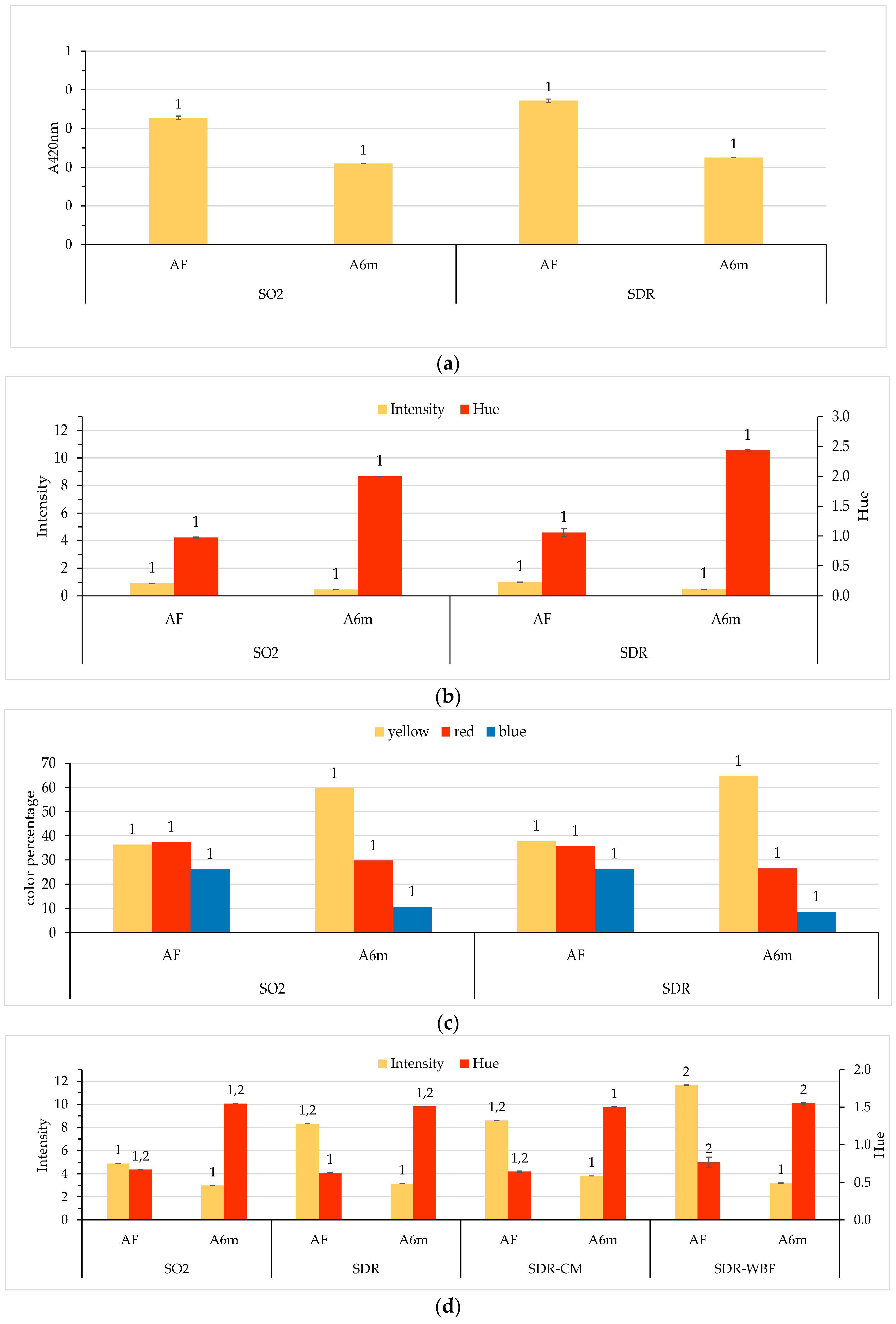
3.1. Effect on Physicochemical Parameters of Wines
3.2. Effect on Total Phenolic and Flavonoid Content and Antioxidant Activity
3.3. Effect on Phenolic Profile of Wines
3.4. Effect on Sensorial Attributes of Wines
4. Conclusions
Supplementary Materials
Author Contributions
Funding
Institutional Review Board Statement
Data Availability Statement
Conflicts of Interest
References
- Ribéreau-Gayon, P.; Dubourdieu, D.; Donèche, B.; Lonvaud, A. Handbook of Enology, Volume 1: The Microbiology of Wine and Vinifications; John Wiley & Sons: Chichester, UK, 2006; Volume 1. [Google Scholar]
- European Union. Regulation (EU) No 1169/2011 of the European Parliament and of the Council of 25 October 2011 on the provision of food information to consumers, amending Regulations (EC) No 1924/2006 and (EC) No 1925/2006 of the European Parliament and of the Council, and repealing Commission Directive 87/250/EEC, Council Directive 90/496/EEC, Commission Directive 1999/10/EC, Directive 2000/13/EC of the European Parliament and of the Council, Commission Directives 2002/67/EC and 2008/5/EC and Commission Regulation (EC) No 608/2004 Text with EEA relevance. Off. J. Eur. Union 2011, 54, 18–63. [Google Scholar]
- Vally, H.; Misso, N.L.; Madan, V. Clinical effects of sulphite additives. Clin. Exp. Allergy J. Br. Soc. Allergy Clin. Immunol. 2009, 39, 1643–1651. [Google Scholar] [CrossRef] [PubMed]
- European Union. Commission Delegated Regulation (EU) 2019/934 of 12 March 2019 supplementing Regulation (EU) No 1308/2013 of the European Parliament and of the Council as regards wine-growing areas where the alcoholic strength may be increased, authorised oenological practices and restrictions applicable to the production and conservation of grapevine products, the minimum percentage of alcohol for by-products and their disposal, and publication of OIV files. Off. J. Eur. Union 2019, 62, 1–52. [Google Scholar]
- FAO/WHO. Joint FAO/WHO Expert Committee on Food Additives (JECFA). Toxicological Evaluation of Certain Food Additives with a Review of General Principles and of Specifications: 17th Report of the JECFA; WHO: Geneva, Switzerland, 1974. [Google Scholar]
- Zara, G.; Nardi, T. Yeast Metabolism and Its Exploitation in Emerging Winemaking Trends: From Sulfite Tolerance to Sulfite Reduction. Fermentation 2021, 7, 57. [Google Scholar] [CrossRef]
- Kontaxakis, E.; Trantas, E.; Ververidis, F. Resveratrol: A Fair Race Towards Replacing Sulfites in Wines. Molecules 2020, 25, 2378. [Google Scholar] [CrossRef]
- Feng, X.; Dong, Y.; Feng, Y.; Zhang, A.; Huang, Z.; Wang, S.; Niu, D. Recent advances in physical/chemical methods as alternatives to SO2 for winemaking: Principles, challenges and perspectives. Innov. Food Sci. Emerg. Technol. 2024, 97, 103839. [Google Scholar] [CrossRef]
- Santos, M.C.; Nunes, C.; Saraiva, J.A.; Coimbra, M.A. Chemical and physical methodologies for the replacement/reduction of sulfur dioxide use during winemaking: Review of their potentialities and limitations. Eur. Food Res. Technol. 2012, 234, 1–12. [Google Scholar] [CrossRef]
- Silva, F.V.M.; van Wyk, S. Emerging Non-Thermal Technologies as Alternative to SO(2) for the Production of Wine. Foods 2021, 10, 2175. [Google Scholar] [CrossRef]
- Fia, G.; Menghini, S.; Mari, E.; Proserpio, C.; Pagliarini, E.; Granchi, L. Replacement of SO2 with an Unripe Grape Extract and Chitosan during Oak Aging: Case Study of a Sangiovese Wine. Antioxidants 2023, 12, 365. [Google Scholar] [CrossRef]
- Raposo, R.; Ruiz-Moreno, M.J.; Garde-Cerdán, T.; Puertas, B.; Moreno-Rojas, J.M.; Gonzalo-Diago, A.; Guerrero, R.F.; Ortiz, V.; Cantos-Villar, E. Effect of hydroxytyrosol on quality of sulfur dioxide-free red wine. Food Chem. 2016, 192, 25–33. [Google Scholar] [CrossRef]
- Raposo, R.; Chinnici, F.; Ruiz-Moreno, M.J.; Puertas, B.; Cuevas, F.J.; Carbú, M.; Guerrero, R.F.; Ortíz-Somovilla, V.; Moreno-Rojas, J.M.; Cantos-Villar, E. Sulfur free red wines through the use of grapevine shoots: Impact on the wine quality. Food Chem. 2018, 243, 453–460. [Google Scholar] [CrossRef] [PubMed]
- Raposo, R.; Ruiz-Moreno, M.J.; Garde-Cerdán, T.; Puertas, B.; Moreno-Rojas, J.M.; Gonzalo-Diago, A.; Guerrero, R.; Ortíz, V.; Cantos-Villar, E. Grapevine-shoot stilbene extract as a preservative in red wine. Food Chem. 2016, 197, 1102–1111. [Google Scholar] [CrossRef] [PubMed]
- Müller, C.; Ullmann, K.; Wilkens, A.; Winterhalter, P.; Toyokuni, S.; Steinberg, P. Potent Antioxidative Activity of Vineatrol®30 Grapevine-shoot Extract. Biosci. Biotechnol. Biochem. 2009, 73, 1831–1836. [Google Scholar] [CrossRef] [PubMed]
- Salaha, M.I.; Kallithraka, S.; Marmaras, I.; Koussissi, E.; Tzourou, I. A natural alternative to sulphur dioxide for red wine production: Influence on colour, antioxidant activity and anthocyanin content. J. Food Compos. Anal. 2008, 21, 660–666. [Google Scholar] [CrossRef]
- Esparza, I.; Martínez-Inda, B.; Cimminelli, M.J.; Jimeno-Mendoza, M.C.; Moler, J.A.; Jiménez-Moreno, N.; Ancín-Azpilicueta, C. Reducing SO2 Doses in Red Wines by Using Grape Stem Extracts as Antioxidants. Biomolecules 2020, 10, 1369. [Google Scholar] [CrossRef]
- Marchante, L.; Loarce, L.; Izquierdo-Cañas, P.M.; Alañón, M.E.; García-Romero, E.; Pérez-Coello, M.S.; Díaz-Maroto, M.C. Natural extracts from grape seed and stem by-products in combination with colloidal silver as alternative preservatives to SO2 for white wines: Effects on chemical composition and sensorial properties. Food Res. Int. 2019, 125, 108594. [Google Scholar] [CrossRef]
- González-Rompinelli, E.M.; Rodríguez-Bencomo, J.J.; García-Ruiz, A.; Sánchez-Patán, F.; Martín-Álvarez, P.J.; Bartolomé, B.; Moreno-Arribas, M.V. A winery-scale trial of the use of antimicrobial plant phenolic extracts as preservatives during wine ageing in barrels. Food Control 2013, 33, 440–447. [Google Scholar] [CrossRef]
- Tzachristas, A.; Pasvanka, K.; Liouni, M.; Calokerinos, A.C.; Tataridis, P.; Proestos, C. Effect of Hippophae rhamnoides L. Leaves Treatment on the Antioxidant Capacity, Total Phenol Content and Sensory Profile of Moschofilero Wines Vinified with and without Added Sulphites. Appl. Sci. 2020, 10, 3444. [Google Scholar] [CrossRef]
- Hao, Z.; Zhang, Y.; Sun, Z.; Li, X. Chitooligosaccharide as A Possible Replacement for Sulfur Dioxide in Winemaking. Appl. Sci. 2020, 10, 578. [Google Scholar] [CrossRef]
- Jagatić Korenika, A.M.; Biloš, J.; Kozina, B.; Tomaz, I.; Preiner, D.; Jeromel, A. Effect of Different Reducing Agents on Aromatic Compounds, Antioxidant and Chromatic Properties of Sauvignon Blanc Wine. Foods 2020, 9, 996. [Google Scholar] [CrossRef]
- Strati, I.F.; Tataridis, P.; Shehadeh, A.; Chatzilazarou, A.; Bartzis, V.; Batrinou, A.; Sinanoglou, V.J. Impact of tannin addition on the antioxidant activity and sensory character of Malagousia white wine. Curr. Res. Food Sci. 2021, 4, 937–945. [Google Scholar] [CrossRef] [PubMed]
- García-Ruiz, A.; Moreno-Arribas, M.V.; Martín-Álvarez, P.J.; Bartolomé, B. Comparative study of the inhibitory effects of wine polyphenols on the growth of enological lactic acid bacteria. Int. J. Food Microbiol. 2011, 145, 426–431. [Google Scholar] [CrossRef] [PubMed]
- Waterhouse, A.L.; Sacks, G.L.; Jeffery, D.W. Understanding Wine Chemistry Understanding Wine Chemistry; John Wiley & Sons, Ltd.: Chichester, UK, 2017. [Google Scholar]
- Ugliano, M. Oxygen Contribution to Wine Aroma Evolution during Bottle Aging. J. Agric. Food Chem. 2013, 61, 6125–6136. [Google Scholar] [CrossRef] [PubMed]
- Piergiovanni, M.; Carlin, S.; Lotti, C.; Vrhovsek, U.; Mattivi, F. Development of a Fully Automated Method HS-SPME-GC-MS/MS for the Determination of Odor-Active Carbonyls in Wines: A “Green” Approach to Improve Robustness and Productivity in the Oenological Analytical Chemistry. J. Agric. Food Chem. 2024, 72, 1995–2007. [Google Scholar] [CrossRef]
- Merrell, C.; Harbertson, J. Sulfur Dioxide Management during Aging Is an Important Factor for the Development of Rosé Wine Color. Catal. Discov. Into Pract. Am. J. Enol. Vitic. 2017, 1, 80–87. [Google Scholar] [CrossRef]
- Lisanti, M.T.; Blaiotta, G.; Nioi, C.; Moio, L. Alternative Methods to SO2 for Microbiological Stabilization of Wine. Compr. Rev. Food Sci. Food Saf. 2019, 18, 455–479. [Google Scholar] [CrossRef]
- Orbanić, F.; Rossi, S.; Bestulić, E.; Budić-Leto, I.; Kovačević Ganić, K.; Horvat, I.; Plavša, T.; Bubola, M.; Lukić, I.; Jeromel, A.; et al. Applying Different Vinification Techniques in Teran Red Wine Production: Impact on Bioactive Compounds and Sensory Attributes. Foods 2023, 12, 3838. [Google Scholar] [CrossRef]
- Wimalasiri, P.M.; Olejar, K.J.; Harrison, R.; Hider, R.; Tian, B. Whole bunch fermentation and the use of grape stems: Effect on phenolic and volatile aroma composition of Vitis vinifera cv. Pinot Noir wine. Aust. J. Grape Wine Res. 2022, 28, 395–406. [Google Scholar] [CrossRef]
- Biolethics Europe. Biolethics Europe.100% Plant Based Wine Preservatives. 2024. Available online: www.biolethics.com (accessed on 2 August 2024).
- Ivanova, V.; Vojnoski, B.; Stefova, M. Effect of winemaking treatment and wine aging on phenolic content in Vranec wines. J. Food Sci. Technol. 2012, 49, 161–172. [Google Scholar] [CrossRef]
- Ju, Y.-l.; Xu, X.-l.; Yu, Y.-k.; Liu, M.; Wang, W.-n.; Wu, J.-r.; Liu, B.-c.; Zhang, Y.; Fang, Y.-l. Effects of winemaking techniques on the phenolics, organic acids, and volatile compounds of Muscat wines. Food Biosci. 2023, 54, 102937. [Google Scholar] [CrossRef]
- Cejudo-Bastante, M.J.; Gordillo, B.; Hernanz, D.; Escudero-Gilete, M.L.; González-Miret, M.L.; Heredia, F.J. Effect of the time of cold maceration on the evolution of phenolic compounds and colour of Syrah wines elaborated in warm climate. Int. J. Food Sci. Technol. 2014, 49, 1886–1892. [Google Scholar] [CrossRef]
- Mayén, M.; Barón, R.; Mérida, J.; Medina, M. Changes in phenolic compounds during accelerated browning in white wines from cv. Pedro Ximenez and cv. Baladi grapes. Food Chem. 1997, 58, 89–95. [Google Scholar] [CrossRef]
- Sudraud, P. Interpretation des courbes d’absorption des vins rouges. Ann. Technol. Agric. 1958, 7, 203–208. [Google Scholar]
- Glories, Y. La couleur des vins rouges. lre partie: Les équilibres des anthocyanes et des tanins. OENO One 1984, 18, 195–217. [Google Scholar] [CrossRef]
- Skendi, A.; Papageorgiou, M.; Stefanou, S. Preliminary Study of Microelements, Phenolics as well as Antioxidant Activity in Local, Homemade Wines from North-East Greece. Foods 2020, 9, 1607. [Google Scholar] [CrossRef]
- Irakli, M.; Skendi, A.; Bouloumpasi, E.; Chatzopoulou, P.; Biliaderis, C.G. LC-MS Identification and Quantification of Phenolic Compounds in Solid Residues from the Essential Oil Industry. Antioxidants 2021, 10, 2016. [Google Scholar] [CrossRef]
- International Organisation of Vine and Wine (OIV). OIV Standard for International Wine and Spiritous Beverages of Vitivinicultural Origin Competitions. Edition 2021. Available online: https://www.oiv.int/public/medias/7895/oiv-patronage-competition-norme-ed-2021.pdf (accessed on 31 July 2024).
- ISO 11035:1994; Sensory Analysis—Identification and Selection of Descriptors for Establishing a Sensory Profile by a Multidimensional Approach. ISO: Geneva, Switzerland, 1994.
- Cojocaru, G.A.; Antoce, A.O. Chemical and biochemical mechanisms of preservatives used in wine: A review. Sci. Pap. Ser. B Hortic. 2012, 56, 457–466. [Google Scholar]
- Salinas Bonich, F.; Freund, M.; Tarasov, A.; Bollinetti, M.; Ovadenko, O.; Christmann, M. Evaluation of plant phenolic extracts as an alternative to sulfur dioxide for the control of Oenococcus oeni and Brettanomyces bruxellensis. In Proceedings of the 44th World Congress of Vine and Wine, Cádiz, Spain, 5–9 June 2023; p. 02027. [Google Scholar]
- Nel, A.; Du Toit, W.; Van Jaarsveld, F. Pinking in white wines—A review. S. Afr. J. Enol. Vitic. 2020, 41, 151–157. [Google Scholar] [CrossRef]
- Hernandez, B.; Sáenz, C.; Alberdi, C.; Alfonso, S.; Diñeiro, J. Colour Evolution of Rosé Wines after Bottling. J. Enol. Vitic. 2011, 32, 42–50. [Google Scholar] [CrossRef][Green Version]
- Somers, T.C. The polymeric nature of wine pigments. Phytochemistry 1971, 10, 2175–2186. [Google Scholar] [CrossRef]
- Suriano, S.; Alba, V.; Tarricone, L.; Di Gennaro, D. Maceration with stems contact fermentation: Effect on proanthocyanidins compounds and color in Primitivo red wines. Food Chem. 2015, 177, 382–389. [Google Scholar] [CrossRef] [PubMed]
- Hashizume, K.; Kida, S.; Samuta, T. Effect of Steam Treatment of Grape Cluster Stems on the Methoxypyrazine, Phenolic, Acid, and Mineral Content of Red Wines Fermented with Stems. J. Agric. Food Chem. 1998, 46, 4382–4386. [Google Scholar] [CrossRef]
- Zhang, B.; Wang, X.-Q.; Yang, B.; Li, N.-N.; Niu, J.-M.; Shi, X.; Han, S.-Y. Copigmentation evidence of phenolic compound: The effect of caffeic and rosmarinic acids addition on the chromatic quality and phenolic composition of Cabernet Sauvignon red wine from the Hexi Corridor region (China). J. Food Compos. Anal. 2021, 102, 104037. [Google Scholar] [CrossRef]
- Gordillo, B.; Rodríguez-Pulido, F.J.; Escudero-Gilete, M.L.; González-Miret, M.L.; Heredia, F.J. Comprehensive Colorimetric Study of Anthocyanic Copigmentation in Model Solutions. Effects of pH and Molar Ratio. J. Agric. Food Chem. 2012, 60, 2896–2905. [Google Scholar] [CrossRef] [PubMed]
- Tsai, P.-J.; Liu, C.-C.; Huang, Y.-T. The Role of Copigmentation with Phenolic Compounds on the Vitamin C Resistance and Antioxidant Activity of Anthocyanins. In Functional Food and Health; American Chemical Society: Washington, DC, USA, 2008; Volume 993, pp. 253–263. [Google Scholar]
- Darias-Martín, J.; Carrillo, M.; Díaz, E.; Boulton, R.B. Enhancement of red wine colour by pre-fermentation addition of copigments. Food Chem. 2001, 73, 217–220. [Google Scholar] [CrossRef]
- Parga-Dans, E.; Alonso González, P.; Otero-Enríquez, R. The role of expert judgments in wine quality assessment: The mismatch between chemical, sensorial and extrinsic cues. Br. Food J. 2022, 124, 4286–4303. [Google Scholar] [CrossRef]
- Santos, M.C.; Nunes, C.; Cappelle, J.; Gonçalves, F.J.; Rodrigues, A.; Saraiva, J.A.; Coimbra, M.A. Effect of high pressure treatments on the physicochemical properties of a sulphur dioxide-free red wine. Food Chem. 2013, 141, 2558–2566. [Google Scholar] [CrossRef]




| Sample | Alcohol (% vol) | pH | Titratable Acidity (g/L Tartaric Acid) | Volatile Acidity (g/L Acetic Acid) | Density (g/cm3) | Residual Sugars (g/L) | Free SO2 | Total SO2 | Malic Acid (g/L) | Lactic Acid (g/L) | A280 nm |
|---|---|---|---|---|---|---|---|---|---|---|---|
| White-SO2 | 12.00 ± 0.04 1 | 3.37 ± 0.01 1 | 6.50 ± 0.01 2 | 0.57 ± 0.00 2 | 0.993 ± 0.000 1 | 3.01 ± 0.04 1 | 17.7 ± 0.6 2 | 54.7 ± 0.6 2 | 2.51 ± 0.02 2 | 0.20 ± 0.01 1 | 7.81 ± 0.01 1 |
| White-SDR | 11.90 ± 0.05 1 | 3.37 ± 0.02 1 | 6.35 ± 0.01 1 | 0.40 ± 0.01 1 | 0.993 ± 0.000 1 | 3.40 ± 0.02 2 | 4.7 ± 0.6 1 | 12.3 ± 0.6 1 | 2.41 ± 0.01 1 | 0.69 ± 0.01 2 | 9.49 ± 0.01 2 |
| Rose-SO2 | 10.20 ± 0.05 1 | 3.56 ± 0.02 2 | 7.12 ± 0.01 1 | 1.03 ± 0.01 2 | 0.993 ± 0.000 1 | 4.90 ± 0.01 2 | 11.7 ± 1.5 2 | 57.0 ± 1.0 2 | 3.21 ± 0.01 2 | 0.61 ± 0.01 1 | 13.66 ± 0.02 1 |
| Rose-SDR | 11.10 ± 0.05 2 | 3.50 ± 0.02 1 | 7.43 ± 0.02 2 | 0.92 ± 0.01 1 | 0.993 ± 0.000 1 | 4.61 ± 0.01 1 | 4.0 ± 1.0 1 | 13.7 ± 0.6 1 | 3.10 ± 0.01 1 | 0.70 ± 0.01 2 | 13.83 ± 0.02 2 |
| Red-SO2 | 12.40 ± 0.05 3 | 3.68 ± 0.01 1 | 7.01 ± 0.01 3 | 0.80 ± 0.01 3 | 0.993 ± 0.000 1 | 1.80 ± 0.02 3 | 12.3 ± 2.5 2 | 53.0 ± 1.0 4 | 3.01 ± 0.01 3 | 0.41 ± 0.01 2 | 29.50 ± 0.04 1 |
| Red-SDR | 13.51 ± 0.04 4 | 3.70 ± 0.01 2 | 6.59 ± 0.02 2 | 0.36 ± 0.01 1 | 0.993 ± 0.000 1 | 1.01 ± 0.01 1 | 3.0 ± 1.0 1 | 14.7 ± 0.6 3 | 2.50 ± 0.01 2 | 0.10 ± 0.01 1 | 41.30 ± 0.02 2 |
| Red-SDR-CM | 11.51 ± 0.04 2 | 3.72 ± 0.01 2 | 5.75 ± 0.02 1 | 0.44 ± 0.00 2 | 0.994 ± 0.000 2 | 1.20 ± 0.01 2 | 3.0 ± 1.0 1 | 11.7 ± 0.6 2 | 2.01 ± 0.01 1 | 0.70 ± 0.01 3 | 49.44 ± 0.03 4 |
| Red-SDR-WBF | 11.11 ± 0.07 1 | 3.89 ± 0.01 3 | 8.70 ± 0.02 4 | 1.10 ± 0.00 4 | 0.996 ± 0.000 3 | 6.80 ± 0.01 4 | 1.7 ± 0.6 1 | 9.7 ± 0.6 1 | 4.30 ± 0.01 4 | 1.20 ± 0.01 4 | 47.18 ± 0.03 3 |
| Intensity | Hue | Yellow | Red | Blue | |
|---|---|---|---|---|---|
| ΤPC (mgGAE/mL) | 0.912 ** (0.002) | ||||
| ΤFC (mgCATE/mL) | 0.892 ** (0.003) | 0.866 ** (0.005) | −0.892 ** (0.003) | 0.963 ** (0.000) | |
| DPPH (mgTE/mL) | 0.807 * (0.015) | 0.731 * (0.040) | 0.764 * (0.027) | −0.731 * (0.040) | |
| ABTS (mgTE/mL) | 0.802 * (0.017) | 0.714 * (0.047) | 0.747 * (0.033) | −0.714 * (0.047) |
| Peak | Analyte (μg/mL) | Rt * (min) | [M − H] − | White-SO2 | White-SDR | Rosé-SO2 | Rosé-SDR | Red-SO2 | Red-SDR | Red-SDR-CM | Red-SDR-WBF |
|---|---|---|---|---|---|---|---|---|---|---|---|
| 1 | gallic acid | 3.9 | 169 | 0.57 ± 0.09 | 31.73 ±0.49 | 0.83 ± 0.11 | 7.59 ± 0.63 | 14.93 ± 1.21 | 11.55 ± 1.00 | 12.72 ± 0.96 | 12.41 ± 0.86 |
| 2 | gallocatechin | 4.0 | 305 | tr ** | 0.10 ±0.02 | 0.10 ± 0.01 | 0.10 ± 0.02 | 0.05 ± 0.01 | 1.23 ± 0.16 | 1.85 ± 0.21 | 2.65 ± 0.32 |
| 3 | procyanidin B1 | 4.6 | 577 | tr | 0.74 ± 0.06 | 0.30 ± 0.03 | 0.21 ± 0.03 | 17.70 ± 2.05 | 9.05 ± 0.63 | 9.47 ± 0.57 | 10.30 ± 0.88 |
| 4 | protocatechuic acid | 5.0 | 153 | 0.22 ± 0.05 | 0.40 ± 0.06 | 0.29 ± 0.05 | 0.29 ± 0.06 | 0.24 ± 0.05 | 0.33 ± 0.08 | 0.35 ± 0.09 | 0.66 ± 0.11 |
| 5 | procyanidin B2 | 5.2 | 577 | 8.60 ± 0.14 | 0.98 ± 0.12 | tr | tr | 147.12 ± 4.23 | 52.61 ± 2.03 | 62.00 ±1.34 | 82.40 ± 2.48 |
| 6 | catechin | 6.0 | 289 | 0.04 ± 0.01 | 1.46 ± 0.22 | 0.78 ± 0.13 | 0.82 ± 0.11 | 71.47 ± 2.09 | 55.72 ± 3.75 | 71.05 ± 1.83 | 99.63 ± 3.65 |
| 7 | procyanidin B3 | 6.2 | 577 | 0.16 ± 0.03 | tr | tr | 0.16 ±0.07 | 23.84 ± 1.48 | 9.94 ± 0.76 | 10.17 ± 0.92 | 10.71 ± 0.65 |
| 8 | epicatechin | 7.2 | 289 | 0.05 ± 0.01 | 0.03 ± 0.00 | 0.03 ± 0.00 | 0.02 ± 0.00 | 12.22 ± 0.46 | 8.90 ± 0.53 | 9.27 ± 0.49 | 5.70 ± 0.56 |
| 9 | caffeic acid | 7.5 | 179 | 0.12 ± 0.01 | 0.29 ±0.05 | 0.13 ±0.03 | 0.15 ± 0.04 | 0.41 ± 0.04 | 0.25 ± 0.03 | 0.29 ±0.05 | 0.44 ± 0.06 |
| 10 | rutin | 9.1 | 609 | 0.11 ± 0.02 | 0.10 ± 0.02 | 0.06 ± 0.02 | 0.17 ±0.01 | 0.29 ± 0.02 | 0.35 ± 0.03 | 0.30 ± 0.03 | 0.30 ± 0.02 |
| 11 | quercetin-3-O-glucopyranoside | 9.6 | 463 | 0.23 ± 0.05 | 0.23 ± 0.03 | 0.23 ± 0.02 | 0.23 ± 0.03 | 0.12 ± 0.02 | 0.41 ± 0.05 | 0.41 ± 0.04 | 1.20 ± 0.08 |
| 12 | hyperoside | 9.8 | 463 | 0.01 ±0.00 | 0.002± 0.00 | 0.01 ± 0.00 | 0.004 ± 00 | 0.19 ± 0.02 | 0.13 ± 0.02 | 0.13 ± 0.03 | 0.65 ± 0.15 |
| 13 | p-coumaric acid | 9.8 | 163 | tr | 0.29 ± 0.03 | 0.19 ± 0.02 | 0.18 ± 0.03 | 0.07 ± 0.01 | 0.55 ± 0.06 | 0.67 ± 0.05 | 0.15 ± 0.03 |
| 14 | dihydroquercetin | 10.8 | 303 | 0.07 ±0.01 | 0.17 ± 0.03 | 0.08 ± 0.03 | 0.16 ± 0.02 | 0.43 ± 0.03 | 0.15 ± 0.02 | 0.17 ± 0.01 | 0.13 ± 0.01 |
| 15 | hesperidin | 11.5 | 609 | 0.09 ± 0.01 | 0.08 ±0.01 | tr | 0.14 ± 0.02 | 0.06 ± 0.01 | 0.07 ± 0.01 | 0.19± 0.03 | 0.15 ± 0.03 |
| 16 | rosmarinic acid | 12.1 | 359 | - *** | 0.62 ± 0.08 | - | 0.44 ± 0.03 | - | 0.31 ± 0.04 | 0.75 ± 0.05 | 0.20 ± 0.04 |
| 17 | myricetin | 12.5 | 317 | tr | 0.21 ± 0.02 | 0.21 ± 0.04 | 0.21 ± 0.03 | 2.11 ± 0.31 | 0.78 ± 0.05 | 0.96 ± 0.24 | 0.21 ± 0.03 |
| 18 | resveratrol | 13.8 | 227 | 0.16 ± 0.04 | 0.10 ± 0.02 | tr | tr | 0.16 ± 0.03 | 0.06 ± 0.00 | 0.06 ± 0.01 | 0.06 ± 0.00 |
| 19 | luteolin | 15.2 | 285 | tr | 0.23 ± 0.03 | tr | 0.19 ± 0.02 | 0.24 ± 0.04 | 0.06 ± 0.01 | 0.08 ± 0.01 | 0.11 ± 0.03 |
| 20 | quercetin | 15.4 | 301 | 0.08 ± 0.01 | 0.13 ± 0.01 | 0.03 ± 0.01 | 0.06 ± 0.01 | 3.75 ± 0.42 | 1.26 ± 0.23 | 0.03 ± 00 | 0.03 ± 0.00 |
| 21 | apigenin | 17.5 | 269 | 0.03 ±0.00 | 0.03 ±0.01 | tr | tr | 0.01 ±0.00 | 0.03 ± 0.00 | 0.03 ±0.00 | 0.03 ± 0.00 |
| 22 | kaempferol | 18.3 | 285 | tr | 0.19 ± 0.05 | tr | tr | 1.78 ±0.12 | 1.25 ± 0.21 | 1.29 ± 0.17 | 0.65 ±0.10 |
Disclaimer/Publisher’s Note: The statements, opinions and data contained in all publications are solely those of the individual author(s) and contributor(s) and not of MDPI and/or the editor(s). MDPI and/or the editor(s) disclaim responsibility for any injury to people or property resulting from any ideas, methods, instructions or products referred to in the content. |
© 2024 by the authors. Licensee MDPI, Basel, Switzerland. This article is an open access article distributed under the terms and conditions of the Creative Commons Attribution (CC BY) license (https://creativecommons.org/licenses/by/4.0/).
Share and Cite
Karampatea, A.; Skendi, A.; Irakli, M.; Bouloumpasi, E. Replacement of Sulfur Dioxide in White, Rosé, and Red Wines by a Blend of Tannins Extracted from Multiple Plant Materials. Beverages 2024, 10, 110. https://doi.org/10.3390/beverages10040110
Karampatea A, Skendi A, Irakli M, Bouloumpasi E. Replacement of Sulfur Dioxide in White, Rosé, and Red Wines by a Blend of Tannins Extracted from Multiple Plant Materials. Beverages. 2024; 10(4):110. https://doi.org/10.3390/beverages10040110
Chicago/Turabian StyleKarampatea, Aikaterini, Adriana Skendi, Maria Irakli, and Elisavet Bouloumpasi. 2024. "Replacement of Sulfur Dioxide in White, Rosé, and Red Wines by a Blend of Tannins Extracted from Multiple Plant Materials" Beverages 10, no. 4: 110. https://doi.org/10.3390/beverages10040110
APA StyleKarampatea, A., Skendi, A., Irakli, M., & Bouloumpasi, E. (2024). Replacement of Sulfur Dioxide in White, Rosé, and Red Wines by a Blend of Tannins Extracted from Multiple Plant Materials. Beverages, 10(4), 110. https://doi.org/10.3390/beverages10040110

