The Bioactivities of Lactic Acid-Fermented Arthrospira platensis and Its Application in Functional Beverages
Abstract
1. Introduction
2. Materials and Methods
2.1. Arthrospira Platensis and Bacterial Strains Used for Fermentation
2.2. Cyanobacterial Biomass Fermentation
2.3. Extraction Process
2.4. Foodborne Pathogenic and Spoiling Bacteria
2.5. In Vitro Antimicrobial Activity
2.6. In Situ Antimicrobial Activity Evaluation in Functional Beverages
2.7. Zebrafish Nile Red Fat Metabolism Assay and 2-NDBG Assays
2.8. Chemicals
2.9. Total Phenolic Content Quantification and Antioxidant Activity Evaluation
2.10. Statistical Analysis
3. Results and Discussion
3.1. Fermentation Results
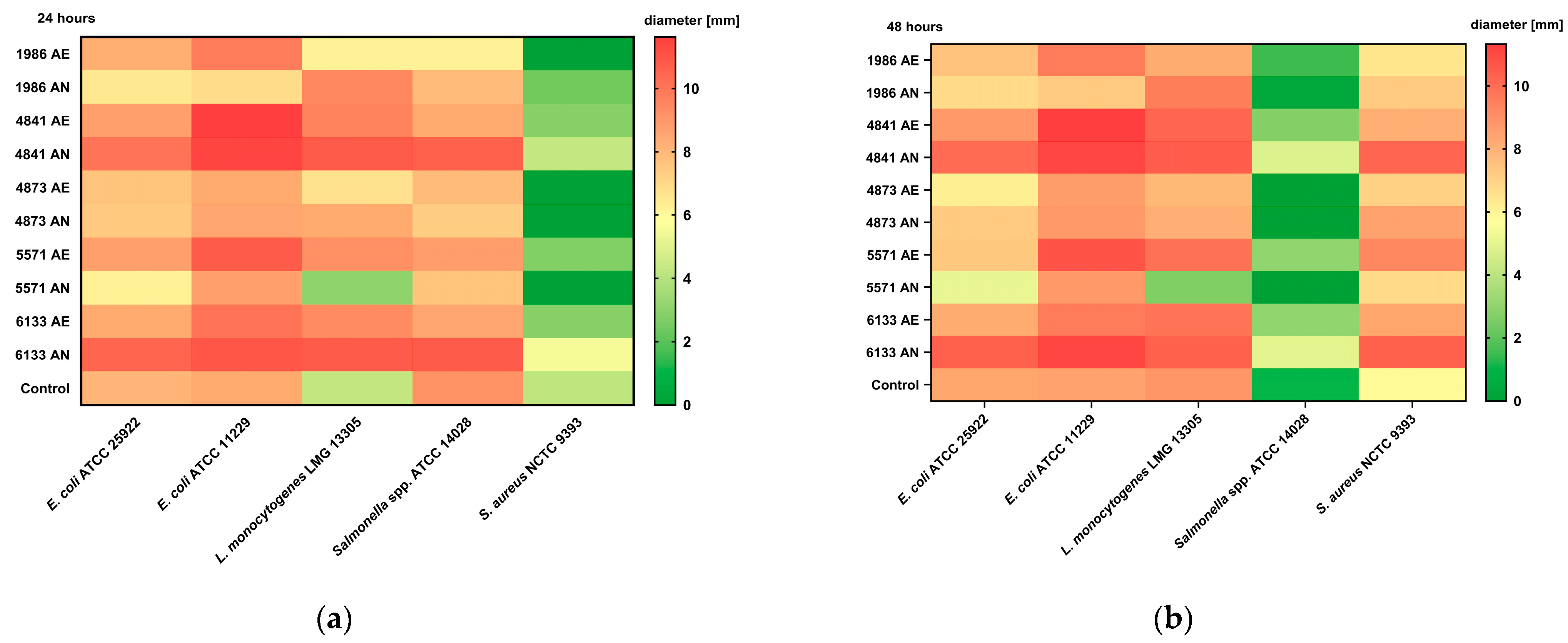
3.2. Agar Well Diffusion Assay Method
3.3. Microbiological Challenge Test in Analcolic Beverage
3.4. Lipid-Reducing Effect of Extracts and 2-NDBG
3.5. Evaluation of Polyphenolic and Antioxidant Content
4. Conclusions
Author Contributions
Funding
Data Availability Statement
Acknowledgments
Conflicts of Interest
References
- Chauhan, K.; Rao, A. Clean-Label Alternatives for Food Preservation: An Emerging Trend. Heliyon 2024, 10, e35815. [Google Scholar] [CrossRef] [PubMed]
- Naik, B.; Mishra, R.; Kumar, V.; Mishra, S.; Gupta, U.; Rustagi, S.; Gupta, A.K.; Preet, M.S.; Bhatt, S.C.; Rizwanuddin, S. Micro-Algae: Revolutionizing Food Production for a Healthy and Sustainable Future. J. Agric. Food Res. 2024, 15, 100939. [Google Scholar] [CrossRef]
- Martelli, F.; Cirlini, M.; Lazzi, C.; Neviani, E.; Bernini, V. Edible Seaweeds and Spirulina Extracts for Food Application: In Vitro and In Situ Evaluation of Antimicrobial Activity towards Foodborne Pathogenic Bacteria. Foods 2020, 9, 15. [Google Scholar] [CrossRef] [PubMed]
- Yarkent, Ç.; Aslanbay Güler, B.; Imamoglu, E.; Oncel, S.S. Microalgae-Factories as Potential Antimicrobial Agents: A Comprehensive Review. Biologia 2024, 79, 1237–1250. [Google Scholar] [CrossRef]
- Eze, C.N.; Onyejiaka, C.K.; Ihim, S.A.; Ayoka, T.O.; Aduba, C.C.; Ndukwe, J.K.; Nwaiwu, O.; Onyeaka, H. Bioactive Compounds by Microalgae and Potentials for the Management of Some Human Disease Conditions. AIMS Microbiol. 2023, 9, 55–74. [Google Scholar] [CrossRef]
- Andrade, L.M.; Andrade, C.J.; Dias, M.; Nascimento, C.A.; Mendes, M.A. Chlorella and Spirulina Microalgae as Sources of Functional Foods, Nutraceuticals, and Food Supplements: An Overview. MOJ Food Process. Technol. 2018, 6, 45–58. [Google Scholar] [CrossRef]
- Niccolai, A.; Chini Zittelli, G.; Rodolfi, L.; Biondi, N.; Tredici, M.R. Microalgae of Interest as Food Source: Biochemical Composition and Digestibility. Algal Res. 2019, 42, 101617. [Google Scholar] [CrossRef]
- Csatlos, N.-I.; Simon, E.; Teleky, B.-E.; Szabo, K.; Diaconeasa, Z.M.; Vodnar, D.-C.; Ciont (Nagy), C.; Pop, O.-L. Development of a Fermented Beverage with Chlorella vulgaris Powder on Soybean-Based Fermented Beverage. Biomolecules 2023, 13, 245. [Google Scholar] [CrossRef]
- Soliman, T.N.; Negm El-Dein, A.; Abd Al-Daim, S.; Allayeh, A.; Awad, H.; Flefil, N.S. Characterization of C-Phycocyanin Antioxidant, Anti-Inflammatory, Anti-Tumour, and Anti-HCoV-229E Activities and Encapsulation for Implementation in an Innovative Functional Yogurt. Heliyon 2024, 10, e31642. [Google Scholar] [CrossRef]
- Wu, J.Y.; Tso, R.; Teo, H.S.; Haldar, S. The Utility of Algae as Sources of High Value Nutritional Ingredients, Particularly for Alternative/Complementary Proteins to Improve Human Health. Front. Nutr. 2023, 10, 1277343. [Google Scholar] [CrossRef]
- Ampofo, J.; Abbey, L. Microalgae: Bioactive Composition, Health Benefits, Safety and Prospects as Potential High-Value Ingredients for the Functional Food Industry. Foods 2022, 11, 1744. [Google Scholar] [CrossRef] [PubMed]
- Senadheera, T.R.L.; Hossain, A.; Shahidi, F. Marine Bioactives and Their Application in the Food Industry: A Review. Appl. Sci. 2023, 13, 12088. [Google Scholar] [CrossRef]
- Alcorta, A.; Porta, A.; Tárrega, A.; Alvarez, M.D.; Vaquero, M.P. Foods for Plant-Based Diets: Challenges and Innovations. Foods 2021, 10, 293. [Google Scholar] [CrossRef] [PubMed]
- Çelekli, A.; Özbal, B.; Bozkurt, H. Challenges in Functional Food Products with the Incorporation of Some Microalgae. Foods 2024, 13, 725. [Google Scholar] [CrossRef]
- Garofalo, C.; Norici, A.; Mollo, L.; Osimani, A.; Aquilanti, L. Fermentation of Microalgal Biomass for Innovative Food Production. Microorganisms 2022, 10, 2069. [Google Scholar] [CrossRef]
- Martelli, F.; Cirlini, M.; Lazzi, C.; Neviani, E.; Bernini, V. Solid-State Fermentation of Arthrospira platensis to Implement New Food Products: Evaluation of Stabilization Treatments and Bacterial Growth on the Volatile Fraction. Foods 2020, 10, 67. [Google Scholar] [CrossRef]
- Martelli, F.; Alinovi, M.; Bernini, V.; Gatti, M.; Bancalari, E. Arthrospira platensis as Natural Fermentation Booster for Milk and Soy Fermented Beverages. Foods 2020, 9, 350. [Google Scholar] [CrossRef]
- Ricci, A.; Bernini, V.; Maoloni, A.; Cirlini, M.; Galaverna, G.; Neviani, E.; Lazzi, C. Vegetable By-Product Lacto-Fermentation as a New Source of Antimicrobial Compounds. Microorganisms 2019, 7, 607. [Google Scholar] [CrossRef]
- Lee, J.; Jung, D.-W.; Kim, W.-H.; Um, J.-I.; Yim, S.-H.; Oh, W.K.; Williams, D.R. Development of a Highly Visual, Simple, and Rapid Test for the Discovery of Novel Insulin Mimetics in Living Vertebrates. ACS Chem. Biol. 2013, 8, 1803–1814. [Google Scholar] [CrossRef]
- Schindelin, J.; Arganda-Carreras, I.; Frise, E.; Kaynig, V.; Longair, M.; Pietzsch, T.; Preibisch, S.; Rueden, C.; Saalfeld, S.; Schmid, B.; et al. Fiji: An Open-Source Platform for Biological-Image Analysis. Nat. Methods 2012, 9, 676–682. [Google Scholar] [CrossRef]
- Brand-Williams, W.; Cuvelier, M.E.; Berset, C. Use of a Free Radical Method to Evaluate Antioxidant Activity. LWT Food Sci. Technol. 1995, 28, 25–30. [Google Scholar] [CrossRef]
- Martelli, F.; Bernini, V.; Neviani, E.; Vasconcelos, V.; Urbatzka, R. Lactic Acid Fermented Microalgae and Cyanobacteria as a New Source of Lipid Reducing Compounds: Assessment through Zebrafish Nile Red Fat Metabolism Assay and Untargeted Metabolomics. Food Funct. 2024, 15, 5554–5565. [Google Scholar] [CrossRef] [PubMed]
- Gänzle, M.G.; Monnin, L.; Zheng, J.; Zhang, L.; Coton, M.; Sicard, D.; Walter, J. Starter Culture Development and Innovation for Novel Fermented Foods. Annu. Rev. Food Sci. Technol. 2024, 15, 211–239. [Google Scholar] [CrossRef] [PubMed]
- Marco, M.L.; Heeney, D.; Binda, S.; Cifelli, C.J.; Cotter, P.D.; Foligné, B.; Gänzle, M.; Kort, R.; Pasin, G.; Pihlanto, A.; et al. Health Benefits of Fermented Foods: Microbiota and Beyond. Curr. Opin. Biotechnol. 2017, 44, 94–102. [Google Scholar] [CrossRef]
- Hadj Saadoun, J.; Bertani, G.; Levante, A.; Vezzosi, F.; Ricci, A.; Bernini, V.; Lazzi, C. Fermentation of Agri-Food Waste: A Promising Route for the Production of Aroma Compounds. Foods 2021, 10, 707. [Google Scholar] [CrossRef]
- Niccolai, A.; Shannon, E.; Abu-Ghannam, N.; Biondi, N.; Rodolfi, L.; Tredici, M.R. Lactic Acid Fermentation of Arthrospira platensis (Spirulina) Biomass for Probiotic-Based Products. J. Appl. Phycol. 2019, 31, 1077–1083. [Google Scholar] [CrossRef]
- Bhowmik, D.; Dubey, J.; Mehra, S. Probiotic Efficiency of Spirulina platensis—Stimulating Growth of Lactic Acid Bacteria. World J. Dairy Food Sci. 2009, 4, 160–163. [Google Scholar]
- Parada, J. Lactic Acid Bacteria Growth Promoters from Spirulina platensis. Int. J. Food Microbiol. 1998, 45, 225–228. [Google Scholar] [CrossRef]
- Janssen, M.; Wijffels, R.H.; Barbosa, M.J. Microalgae Based Production of Single-Cell Protein. Curr. Opin. Biotechnol. 2022, 75, 102705. [Google Scholar] [CrossRef]
- Sivakumar, J.; Santhanam, P. Antipathogenic Activity Of Spirulina Powder. Recent Res. Sci. Technol. 2011, 3, 158–161. [Google Scholar]
- Elshouny, W.A.E.-F.; El-Sheekh, M.M.; Sabae, S.Z.; Khalil, M.A.; Badr, H.M. Antimicrobial Activity Of Spirulina Platensis Against Aquatic Bacterial Isolates. J. Microbiol. Biotechnol. Food Sci. 2017, 6, 1203–1208. [Google Scholar] [CrossRef]
- Rao, A.R.; Reddy, A.H.; Aradhya, S.M. Antibacterial Properties of Spirulina Platensis, Haematococcus Pluvialis, Botryococcus Braunii Micro Algal Extracts. Curr. Trends Biotechnol. Pharm. 2010, 4, 809–819. [Google Scholar]
- Shaieb, F.A.; Issa, A.A.; Meragaa, A. Antimicrobial Activity of Crude Extracts of Cyanobacteria Nostoc commune and Spirulina platensis. Arch. Biomed. Sci. 2014, 2, 34–41. [Google Scholar]
- Shankar, V.; Mahboob, S.; Al-Ghanim, K.A.; Ahmed, Z.; Al-Mulhm, N.; Govindarajan, M. A Review on Microbial Degradation of Drinks and Infectious Diseases: A Perspective of Human Well-Being and Capabilities. J. King Saud Univ.-Sci. 2021, 33, 101293. [Google Scholar] [CrossRef]
- Usaga, J.; Acosta, Ó.; Churey, J.J.; Padilla-Zakour, O.I.; Worobo, R.W. Evaluation of High Pressure Processing (HPP) Inactivation of Escherichia Coli O157:H7, Salmonella Enterica, and Listeria Monocytogenes in Acid and Acidified Juices and Beverages. Int. J. Food Microbiol. 2021, 339, 109034. [Google Scholar] [CrossRef]
- Raghubeer, E.V.; Phan, B.N.; Onuoha, E.; Diggins, S.; Aguilar, V.; Swanson, S.; Lee, A. The Use of High-Pressure Processing (HPP) to Improve the Safety and Quality of Raw Coconut (Cocos Nucifera L.) Water. Int. J. Food Microbiol. 2020, 331, 108697. [Google Scholar] [CrossRef]
- Maruyama, S.; Streletskaya, N.A.; Lim, J. Clean Label: Why This Ingredient but Not That One? Food Qual. Prefer. 2021, 87, 104062. [Google Scholar] [CrossRef]
- Nikoo, M.; Gavlighi, H.A. Natural Antioxidants and Flavorings for Clean Label Foods. In The Age of Clean Label Foods; Galanakis, C.M., Ed.; Springer International Publishing: Cham, Switzerland, 2022; pp. 73–102. ISBN 978-3-030-96698-0. [Google Scholar]
- Bellver, M.; da Costa, S.L.; Sanchez, B.A.; Vasconcelos, V.; Urbatzka, R. Inhibition of Intestinal Lipid Absorption by Cyanobacterial Strains in Zebrafish Larvae. Mar. Drugs 2021, 19, 161. [Google Scholar] [CrossRef]
- Freitas, S.; Silva, N.G.; Sousa, M.L.; Ribeiro, T.; Rosa, F.; Leão, P.N.; Vasconcelos, V.; Reis, M.A.; Urbatzka, R. Chlorophyll Derivatives from Marine Cyanobacteria with Lipid-Reducing Activities. Mar. Drugs 2019, 17, 229. [Google Scholar] [CrossRef]
- Muys, M.; Sui, Y.; Schwaiger, B.; Lesueur, C.; Vandenheuvel, D.; Vermeir, P.; Vlaeminck, S.E. High Variability in Nutritional Value and Safety of Commercially Available Chlorella and Spirulina Biomass Indicates the Need for Smart Production Strategies. Bioresour. Technol. 2019, 275, 247–257. [Google Scholar] [CrossRef]
- Liu, R.; Chen, L.; Wang, Z.; Zheng, X.; Hou, Z.; Zhao, D.; Long, J.; Liu, J. Omega-3 Polyunsaturated Fatty Acids Prevent Obesity by Improving Tricarboxylic Acid Cycle Homeostasis. J. Nutr. Biochem. 2021, 88, 108503. [Google Scholar] [CrossRef] [PubMed]
- Takic, M.; Pokimica, B.; Petrovic-Oggiano, G.; Popovic, T. Effects of Dietary α-Linolenic Acid Treatment and the Efficiency of Its Conversion to Eicosapentaenoic and Docosahexaenoic Acids in Obesity and Related Diseases. Molecules 2022, 27, 4471. [Google Scholar] [CrossRef] [PubMed]
- Negut, C.; Pintilie, L.; Tanase, C.; Udeanu, D.I.; Draghici, C.; Munteanu, C.; Morosan, E. Oleic Acid Amides with Potential Pharmacological Effects in the Overweight Treatment. Rev. Chim. 2018, 69, 790–794. [Google Scholar] [CrossRef]
- Marco, M.L. Defining How Microorganisms Benefit Human Health. Microb. Biotechnol. 2021, 14, 35–40. [Google Scholar] [CrossRef]
- Marco, M.L.; Hill, C.; Hutkins, R.; Slavin, J.; Tancredi, D.J.; Merenstein, D.; Sanders, M.E. Should There Be a Recommended Daily Intake of Microbes? J. Nutr. 2020, 150, 3061–3067. [Google Scholar] [CrossRef]
- Tsai, Y.-T.; Cheng, P.-C.; Pan, T.-M. Anti-Obesity Effects of Gut Microbiota Are Associated with Lactic Acid Bacteria. Appl. Microbiol. Biotechnol. 2014, 98, 1–10. [Google Scholar] [CrossRef]
- Lee, S.Y.; Sekhon, S.S.; Ko, J.H.; Kim, H.C.; Kim, S.Y.; Won, K.; Ahn, J.-Y.; Lee, K.; Kim, Y.-H. Lactic Acid Bacteria Isolated from Kimchi to Evaluate Anti-Obesity Effect in High Fat Diet-Induced Obese Mice. Toxicol. Environ. Health Sci. 2018, 10, 11–16. [Google Scholar] [CrossRef]
- Lee, J.S.; Hyun, I.K.; Yoon, J.-W.; Seo, H.-J.; Kang, S.-S. Bioconversion Products of Whey by Lactic Acid Bacteria Exert Anti-Adipogenic Effect. Food Sci. Anim. Resour. 2021, 41, 145–152. [Google Scholar] [CrossRef]
- de Marco Castro, E.; Shannon, E.; Abu-Ghannam, N. Effect of Fermentation on Enhancing the Nutraceutical Properties of Arthrospira Platensis (Spirulina). Fermentation 2019, 5, 28. [Google Scholar] [CrossRef]
- Jamnik, P.; Mahnič, N.; Mrak, A.; Pogačnik, L.; Jeršek, B.; Niccolai, A.; Rutar, J.M.; Ogrinc, N.; Dušak, L.; Ferjančič, B.; et al. Fermented Biomass of Arthrospira Platensis as a Potential Food Ingredient. Antioxidants 2022, 11, 216. [Google Scholar] [CrossRef]
- Stunda-Zujeva, A.; Berele, M.; Lece, A.; Šķesters, A. Comparison of Antioxidant Activity in Various Spirulina Containing Products and Factors Affecting It. Sci. Rep. 2023, 13, 4529. [Google Scholar] [CrossRef]
- Rumpf, J.; Burger, R.; Schulze, M. Statistical Evaluation of DPPH, ABTS, FRAP, and Folin-Ciocalteu Assays to Assess the Antioxidant Capacity of Lignins. Int. J. Biol. Macromol. 2023, 233, 123470. [Google Scholar] [CrossRef]






| ID | Species | Optimal Growth Temperature |
|---|---|---|
| UPCCO 1986 | Limosilactobacillus fermentum | 42 °C |
| UPCCO 4841 | Companilactobacillus farciminis | 37 °C |
| UPCCO 4873 | Levilactobacillus brevis | 30 °C |
| UPCCO 5571 | Lentilactobacillus diolivorans | 37 °C |
| UPCCO 6133 | Latilactobacillus curvatus | 30 °C |
| Aerobic | Anaerobic | |||||
|---|---|---|---|---|---|---|
| ID | T0 | T3 | Δ (T0–T3) | T0 | T3 | Δ (T0–T3) |
| UPCCO 1986 | 6.08 ± 0.22 | 8.87 ± 0.02 | 2.79 ± 0.20 a | 6.35 ± 0.28 | 6.85 ± 0.52 | 0.53 ± 0.75 c |
| UPCCO 4841 | 7.14 ± 0.03 | 8.57 ± 0.27 | 1.43 ± 0.30 ac | 7.65 ± 0.01 | 8.83 ± 0.13 | 1.18 ± 0.11 bc |
| UPCCO 4873 | 6.98 ± 0.17 | 9.52 ± 0.12 | 2.54 ± 0.29 a | 7.37 ± 0.18 | 9.50 ± 0.01 | 2.14 ± 0.16 ab |
| UPCCO 5571 | 7.45 ± 0.04 | 8.82 ± 0.01 | 1.37 ± 0.04 ac | 7.24 ± 1.00 | 8.88 ± 0.13 | 1.64 ± 0.13 ac |
| UPCCO 6133 | 6.79 ± 0.04 | 8.87 ± 0.09 | 2.08 ± 0.06 ab | 7.41 ± 0.45 | 8.87 ± 0.08 | 1.46 ± 0.54 ac |
Disclaimer/Publisher’s Note: The statements, opinions and data contained in all publications are solely those of the individual author(s) and contributor(s) and not of MDPI and/or the editor(s). MDPI and/or the editor(s) disclaim responsibility for any injury to people or property resulting from any ideas, methods, instructions or products referred to in the content. |
© 2024 by the authors. Licensee MDPI, Basel, Switzerland. This article is an open access article distributed under the terms and conditions of the Creative Commons Attribution (CC BY) license (https://creativecommons.org/licenses/by/4.0/).
Share and Cite
Nicolotti, C.; Sanz Moxo, J.; Bottari, B.; Cirlini, M.; Bernini, V.; Gatti, M.; Urbatzka, R.; Martelli, F. The Bioactivities of Lactic Acid-Fermented Arthrospira platensis and Its Application in Functional Beverages. Beverages 2024, 10, 111. https://doi.org/10.3390/beverages10040111
Nicolotti C, Sanz Moxo J, Bottari B, Cirlini M, Bernini V, Gatti M, Urbatzka R, Martelli F. The Bioactivities of Lactic Acid-Fermented Arthrospira platensis and Its Application in Functional Beverages. Beverages. 2024; 10(4):111. https://doi.org/10.3390/beverages10040111
Chicago/Turabian StyleNicolotti, Caterina, Javier Sanz Moxo, Benedetta Bottari, Martina Cirlini, Valentina Bernini, Monica Gatti, Ralph Urbatzka, and Francesco Martelli. 2024. "The Bioactivities of Lactic Acid-Fermented Arthrospira platensis and Its Application in Functional Beverages" Beverages 10, no. 4: 111. https://doi.org/10.3390/beverages10040111
APA StyleNicolotti, C., Sanz Moxo, J., Bottari, B., Cirlini, M., Bernini, V., Gatti, M., Urbatzka, R., & Martelli, F. (2024). The Bioactivities of Lactic Acid-Fermented Arthrospira platensis and Its Application in Functional Beverages. Beverages, 10(4), 111. https://doi.org/10.3390/beverages10040111

