Effects of Technique Asymmetry on 500 m Speed Skating Performance
Abstract
1. Introduction
2. Methods
2.1. Participants
2.2. Data Collection
2.3. Data Process
2.4. Data Reduction
2.5. Data Analyses
3. Results
3.1. Basic Performance Data by Gender
3.2. Asymmetry in Joint Angles and COM Shift
3.3. Asymmetry in Speed, Distance, and Time
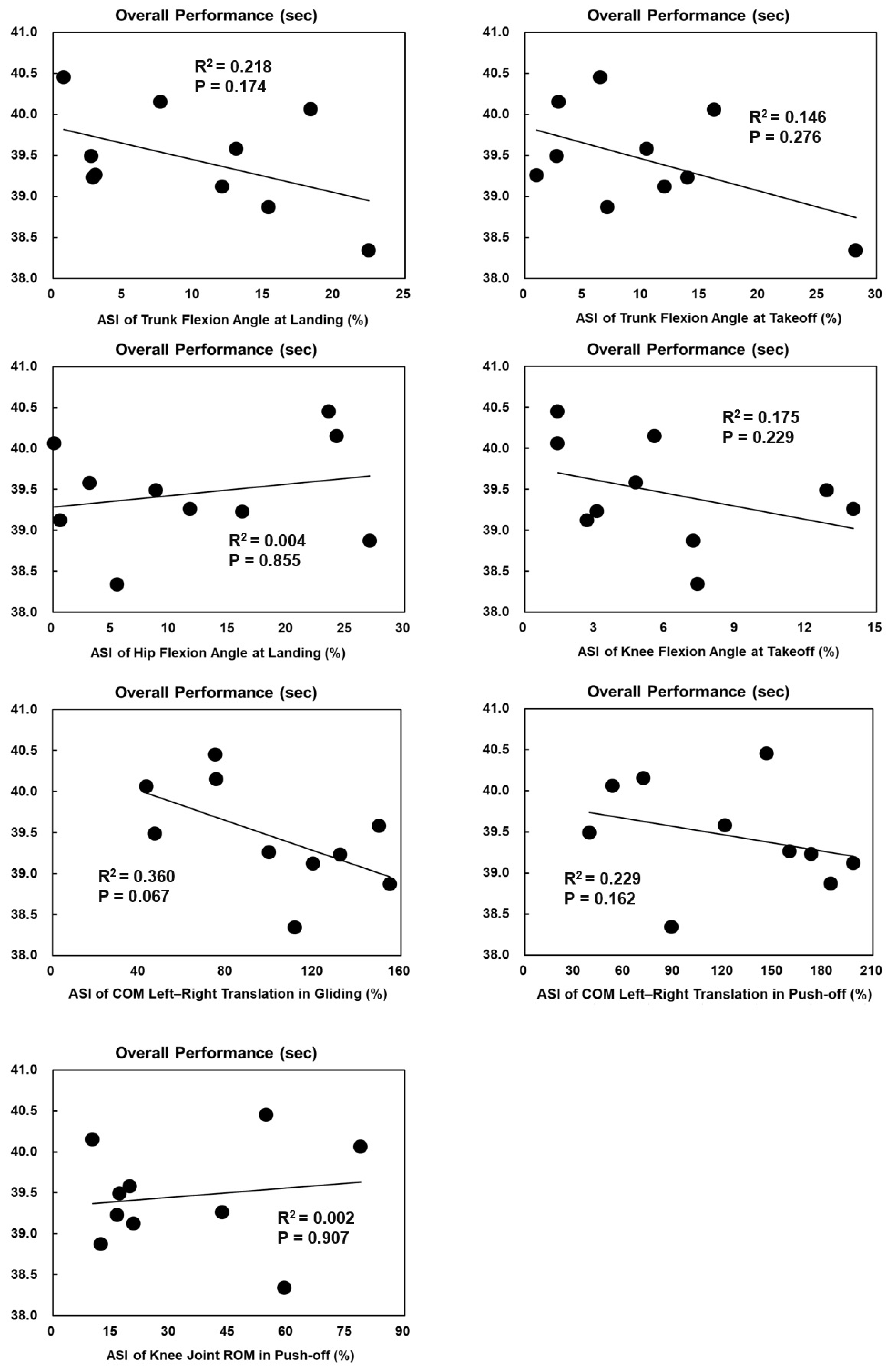
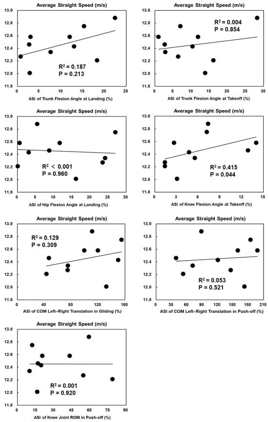
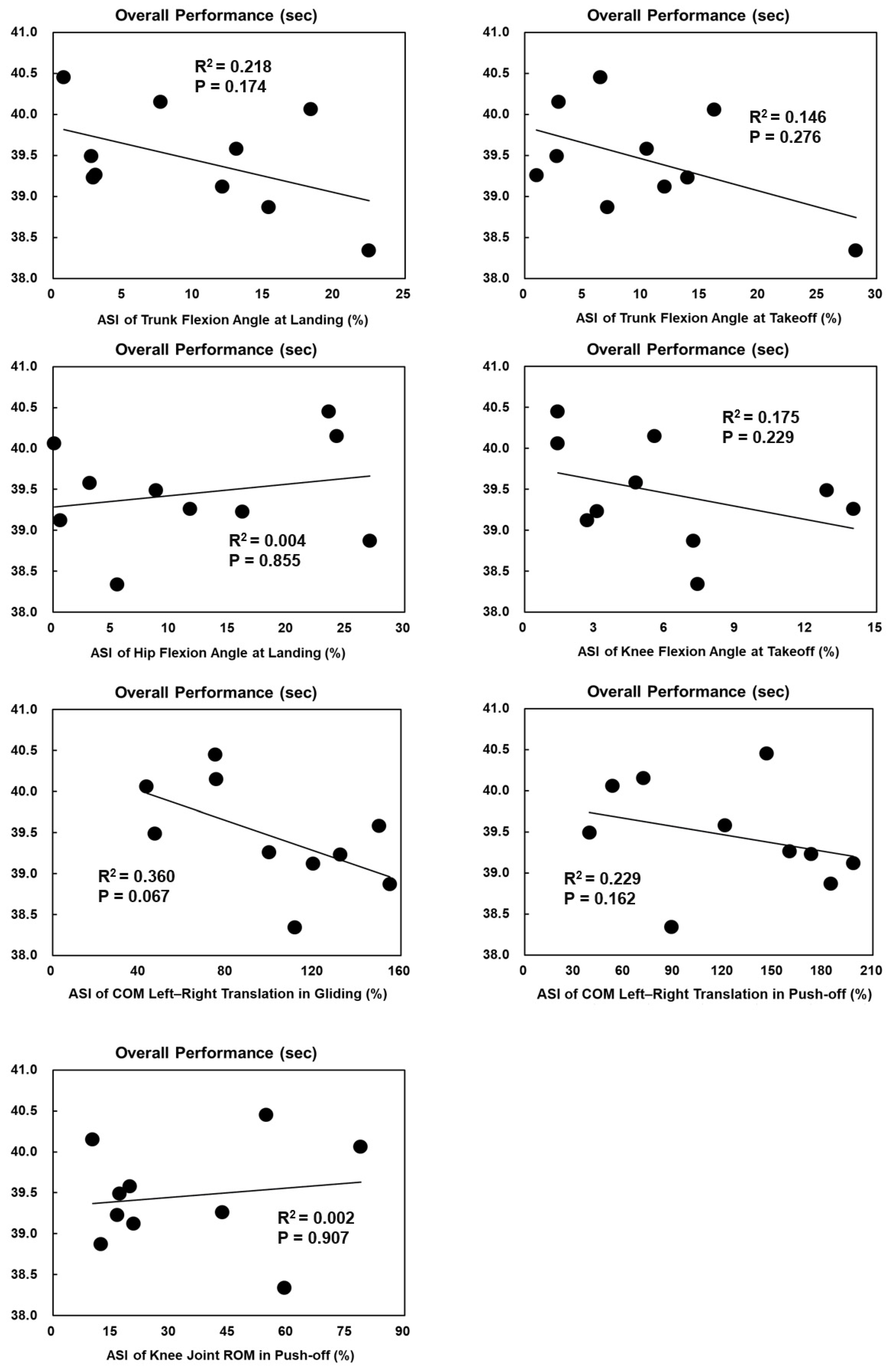
3.4. Correlation between ASI and Performance
4. Discussion
5. Conclusions
Author Contributions
Funding
Institutional Review Board Statement
Informed Consent Statement
Data Availability Statement
Acknowledgments
Conflicts of Interest
References
- Evershed, J.; Burkett, B.; Mellifont, R. Musculoskeletal screening to detect asymmetry in swimming. Phys. Ther. Sport 2014, 15, 33–38. [Google Scholar] [CrossRef] [PubMed]
- Meyers, R.W.; Oliver, J.L.; Hughes, M.G.; Lloyd, R.S.; Cronin, J.B. Asymmetry during Maximal Sprint Performance in 11- to 16-Year-Old Boys. Pediatr. Exerc. Sci. 2017, 29, 94–102. [Google Scholar] [CrossRef] [PubMed]
- Rumpf, M.C.; Cronin, J.B.; Mohamad, I.N.; Mohamad, S.; Oliver, J.L.; Hughes, M.G. Kinetic asymmetries during running in male youth. Phys. Ther. Sport 2014, 15, 53–57. [Google Scholar] [CrossRef]
- Blagrove, R.C.; Bishop, C.; Howatson, G.; Hayes, P.R. Inter-limb strength asymmetry in adolescent distance runners: Test-retest reliability and relationships with performance and running economy. J. Sports Sci. 2021, 39, 312–321. [Google Scholar] [CrossRef]
- Ciacci, S.; Di Michele, R.; Fantozzi, S.; Merni, F. Assessment of Kinematic Asymmetry for Reduction of Hamstring Injury Risk. Int. J. Athl. Ther. Train. 2013, 18, 18–23. [Google Scholar] [CrossRef][Green Version]
- Zifchock, R.A.; Davis, I.; Hamill, J. Kinetic asymmetry in female runners with and without retrospective tibial stress fractures. J. Biomech. 2006, 39, 2792–2797. [Google Scholar] [CrossRef] [PubMed]
- Morouco, P.G.; Marinho, D.A.; Fernandes, R.J.; Marques, M.C. Quantification of upper limb kinetic asymmetries in front crawl swimming. Hum. Mov. Sci. 2015, 40, 185–192. [Google Scholar] [CrossRef]
- dos Santos, K.B.; Pereira, G.; Papoti, M.; Bento, P.C.B.; Rodacki, A. Propulsive Force Asymmetry during Tethered-Swimming. Int. J. Sports Med. 2013, 34, 606–611. [Google Scholar] [CrossRef]
- Danyang, L.; Xu, C.; Yilin, Q.; Lili, N. The Impact of Interlimb Asymmetry on Athletic Performance and Intervention Methods. J. Wuhan Sports Univ. 2021, 55, 94–100. [Google Scholar] [CrossRef]
- de Koning, J.J.; de Groot, G.; Schenau, G.J.v.I. Speed Skating the Curves: A Study of Muscle Coordination and Power Production. Int. J. Sport Biomech. 1991, 7, 344–358. [Google Scholar] [CrossRef]
- de Boer, R.W.; Ettema, G.J.; van Gorkum, H.; de Groot, G.; van Ingen Schenau, G.J. A geometrical model of speed skating the curves. J. Biomech. 1988, 21, 445–450. [Google Scholar] [CrossRef] [PubMed]
- de Boer, R.W.; Nilsen, K.L. The gliding and push-off technique of male and female Olympic speed skaters. J. Appl. Biomech. 1989, 5, 119–134. [Google Scholar] [CrossRef]
- de Boer, R.W.; Nilsen, K.L. Work per stroke and stroke frequency regulation in Olympic speed skating. J. Appl. Biomech. 1989, 5, 135–150. [Google Scholar] [CrossRef]
- van Ingen Schenau, G.J.; de Groot, G. On the origin of differences in performance level between elite male and female speed skaters. Hum. Mov. Sci. 1983, 2, 151–159. [Google Scholar] [CrossRef]
- Burmistrov, A.D.; Chikurov, A.L.; Khudik, S.S.; Radaeva, S.V. Functional Asymmetry of Elite Speed Skaters. Tomsk State Univ. J. 2018, 434, 143–148. [Google Scholar] [CrossRef]
- Konieczny, M.; Skorupska, E.; Domaszewski, P.; Pakosz, P.; Skulska, M.; Herrero, P. Relationship between latent trigger points, lower limb asymmetry and muscle fatigue in elite short-track athletes. BMC Sports Sci. Med. Rehabil. 2023, 15, 109. [Google Scholar] [CrossRef]
- Konieczny, M.; Pakosz, P.; Domaszewski, P.; Skorupska, E. The relationship between asymmetry changes in the slope frequency of bioelectrical activity of the gluteus maximus muscles and experience in short track speed skating athletics. Isokinet. Exerc. Sci. 2024, preprint, 1–6. [Google Scholar] [CrossRef]
- Liu, H.; Li, H.; Qu, Y.; He, X.; Zhou, Z.; Yu, B. Effectiveness of an Artificial Intelligence System for Automatic Human Motion Capture without Reflection Points. J. Beijing Sports Univ. 2021, 44, 125–133. [Google Scholar] [CrossRef]
- Masen, Z.; Yi, Q.; Jing, C.; Hui, L. Application of motion capture artificial intelligence system in speed skating. Sci. Technol. Eng. 2022, 22, 5674–5680. [Google Scholar]
- Leigh, S.; Gross, M.T.; Li, L.; Yu, B. The relationship between discus throwing performance and combinations of selected technical parameters. Sports Biomech. 2008, 7, 173–193. [Google Scholar] [CrossRef]
- Liu, H.; Leigh, S.; Yu, B. Sequences of upper and lower extremity motions in javelin throwing. J. Sports Sci. 2010, 28, 1459–1467. [Google Scholar] [CrossRef] [PubMed]
- Abdel-Aziz, Y.I.; Karara, H.M. Direct Linear Transformation from Comparator Coordinates into Object Space Coordinates in Close-Range Photogrammetry. Photogramm. Eng. Remote Sens. 2015, 81, 103–107. [Google Scholar] [CrossRef]
- Yu, B.; Andrews, J.G. The Relationship between Free Limb Motions and Performance in the Triple Jump. J. Appl. Biomech. 1998, 14, 223–237. [Google Scholar] [CrossRef]
- Robinson, R.O.; Herzog, W.; Nigg, B.M. Use of force platform variables to quantify the effects of chiropractic manipulation on gait symmetry. J. Manip. Physiol. Ther. 1987, 10, 172–176. [Google Scholar]
- van Ingen Schenau, G.J. The influence of air friction in speed skating. J. Biomech. 1982, 15, 449–458. [Google Scholar] [CrossRef]
- Konings, M.J.; Elferink-Gemser, M.T.; Stoter, I.K.; van der Meer, D.; Otten, E.; Hettinga, F.J. Performance Characteristics of Long-Track Speed Skaters: A Literature Review. Sports Med. 2014, 45, 505–516. [Google Scholar] [CrossRef]
- Qiuping, L. A Comparative Study of Hip Flexor and Extensor Muscle Tension in Speed Skaters. J. Shenyang Sport Univ. 2008, 4, 67–69. [Google Scholar]
- Qiuping, L.; Yongdian, T.; Xiaona, X. A Study on the Quadriceps Characteristics of Chinese Speed Skaters’ Knee Joints. J. Wuhan Sports Univ. 2006, 4, 99–102. [Google Scholar]
- Allinger, T.L.; Van den Bogert, A.J. Skating technique for the straights, based on the optimization of a simulation model. Med. Sci. Sports Exerc. 1997, 29, 279–286. [Google Scholar] [CrossRef]
- Houdijk, H.; de Koning, J.J.; de Groot, G.; Bobbert, M.F.; van Ingen Schenau, G.J. Push-off mechanics in speed skating with conventional skates and klapskates. Med. Sci. Sports Exerc. 2000, 32, 635–641. [Google Scholar] [CrossRef]
- de Boer, R.W.; Ettema, G.J.; Faessen, B.G.; Krekels, H.; Hollander, A.P.; de Groot, G.; van Ingen Schenau, G.J. Specific characteristics of speed skating: Implications for summer training. Med. Sci. Sports Exerc. 1987, 19, 504–510. [Google Scholar] [CrossRef] [PubMed]
- Fousekis, K.; Tsepis, E.; Poulmedis, P.; Athanasopoulos, S.; Vagenas, G. Intrinsic risk factors of non-contact quadriceps and hamstring strains in soccer: A prospective study of 100 professional players. Br. J. Sports Med. 2011, 45, 709–714. [Google Scholar] [CrossRef] [PubMed]






| Gender | Technique Parameter | Moment | Right Side | Left Side | p-Value | Cohen’s d | ASI (%) |
|---|---|---|---|---|---|---|---|
| Male | Hip flexion angle (°) | Landing | 60.5 ± 7.3 | 63.2 ± 9.9 | 0.202 | 0.31 | 12.17 ± 8.95 |
| Opposite-side landing | 83.2 ± 7.9 | 84.4 ± 8.0 | 0.325 | 0.14 | 6.43 ± 6.44 | ||
| Takeoff | 124.6 ± 10.6 | 126.4 ± 8.3 | 0.276 | 0.19 | 5.89 ± 4.46 | ||
| Knee flexion angle (°) | Landing | 103.8 ± 8.8 | 96.2 ± 5.8 | 0.004 | 0.97 | 7.53 ± 6.34 | |
| Opposite-side landing | 122.9 ± 4.9 | 124.7 ± 4.7 | 0.184 | 0.35 | 3.59 ± 3.43 | ||
| Takeoff | 163.0 ± 5.8 | 160.6 ± 8.6 | 0.185 | 0.31 | 4.02 ± 3.07 | ||
| Push-off angle (°) | Opposite-side landing | 42.9 ± 3.2 | 45.9 ± 2.8 | 0.020 | 0.95 | 9.31 ± 5.39 | |
| Takeoff | 35.1 ± 2.6 | 37.3 ± 2.8 | 0.010 | 0.76 | 7.45 ± 4.82 | ||
| Trunk flexion angle (°) | Landing | 26.1 ± 3.1 | 27.6 ± 3.6 | 0.028 | 0.43 | 7.87 ± 4.72 | |
| Takeoff | 31.9 ± 2.9 | 31.6 ± 4.6 | 0.399 | 0.08 | 8.86 ± 5.86 | ||
| Female | Hip flexion angle (°) | Landing | 58.4 ± 5.6 | 63.6 ± 6.5 | 0.040 | 0.86 | 12.07 ± 10.15 |
| Opposite-side landing | 91.9 ± 10.8 | 97.8 ± 9.6 | 0.066 | 0.58 | 10.66 ± 8.28 | ||
| Takeoff | 128.5 ± 7.1 | 130.1 ± 9.5 | 0.278 | 0.19 | 4.74 ± 4.27 | ||
| Knee flexion angle (°) | Landing | 98.7 ± 7.4 | 100.2 ± 5.5 | 0.259 | 0.21 | 5.24 ± 4.79 | |
| Opposite-side landing | 131.8 ± 10.7 | 134.0 ± 13.5 | 0.320 | 0.17 | 10.08 ± 3.29 | ||
| Takeoff | 162.4 ± 3.4 | 155.9 ± 10.5 | 0.032 | 0.80 | 6.03 ± 4.45 | ||
| Push-off angle (°) | Opposite-side landing | 45.2 ± 3.1 | 46.0 ± 4.1 | 0.307 | 0.20 | 7.17 ± 6.48 | |
| Takeoff | 36.4 ± 2.5 | 36.4 ± 4.2 | 0.482 | 0.02 | 10.84 ± 6.14 | ||
| Trunk flexion angle (°) | Landing | 28.9 ± 3.1 | 26.8 ± 4.0 | 0.009 | 0.57 | 9.81 ± 7.52 | |
| Takeoff | 29.7 ± 2.9 | 31.7 ± 4.5 | 0.048 | 0.52 | 10.05 ± 8.13 |
| Gender | Technique Parameter | Stage | Right Side | Left Side | p-Value | Cohen’s d | ASI (%) |
|---|---|---|---|---|---|---|---|
| Male | Hip flexion–extension motion (°) | Gliding | 27.3 ± 5.0 | 27.5 ± 10.4 | 0.472 | 0.03 | 31.45 ± 22.14 |
| Push-off | 41.3 ± 9.5 | 42.0 ± 9.3 | 0.417 | 0.07 | 19.59 ± 11.37 | ||
| Knee flexion–extension motion (°) | Gliding | 31.7 ± 6.0 | 32.5 ± 8.8 | 0.398 | 0.10 | 23.30 ± 16.24 | |
| Push-off | 40.4 ± 8.2 | 36.0 ± 8.6 | 0.089 | 0.50 | 22.75 ± 18.16 | ||
| Push-off motion (°) | Push-off | 7.8 ± 4.9 | 8.6 ± 3.8 | 0.272 | 0.17 | 71.36 ± 105.33 | |
| Trunk flexion–extension motion (°) | Gliding | 8.7 ± 1.2 | 8.8 ± 2.7 | 0.458 | 0.04 | 22.77 ± 16.19 | |
| Push-off | 4.6 ± 2.0 | 5.9 ± 3.4 | 0.165 | 0.46 | 53.80 ± 32.89 | ||
| Female | Hip flexion–extension motion (°) | Gliding | 29.8 ± 11.7 | 37.3 ± 12.2 | 0.118 | 0.62 | 42.93 ± 40.33 |
| Push-off | 36.7 ± 9.2 | 32.7 ± 12.7 | 0.116 | 0.36 | 24.05 ± 31.13 | ||
| Knee flexion–extension motion (°) | Gliding | 34.8 ± 16.2 | 37.8 ± 12.3 | 0.325 | 0.20 | 52.62 ± 30.09 | |
| Push-off | 30.8 ± 10.5 | 25.4 ± 11.0 | 0.045 | 0.47 | 33.21 ± 23.95 | ||
| Push-off motion (°) | Push-off | 8.8 ± 3.6 | 9.6 ± 3.2 | 0.284 | 0.23 | 40.45 ± 28.35 | |
| Trunk flexion–extension motion (°) | Gliding | 7.7 ± 2.7 | 6.7 ± 1.8 | 0.102 | 0.39 | 29.60 ± 22.80 | |
| Push-off | 3.1 ± 1.5 | 3.7 ± 2.4 | 0.235 | 0.26 | 44.43 ± 27.46 |
| Gender | Stage | COM Movement (m) | Right Side | Left Side | p-Value | Cohen’s d | ASI (%) |
|---|---|---|---|---|---|---|---|
| Male | Gliding | Track length | 4.923 ± 0.559 | 5.074 ± 0.325 | 0.140 | 0.33 | 7.85 ± 3.94 |
| Forward and backward | 4.817 ± 0.529 | 5.009 ± 0.335 | 0.067 | 0.43 | 7.54 ± 3.45 | ||
| Left and right | 0.181 ± 0.070 | 0.424 ± 0.081 | <0.001 | 3.23 | 83.20 ± 35.91 | ||
| Up and down | 0.018 ± 0.012 | 0.017 ± 0.013 | 0.456 | 0.06 | 90.46 ± 63.20 | ||
| Push-off | Track length | 1.509 ± 0.254 | 1.494 ± 0.351 | 0.452 | 0.05 | 20.85 ± 15.29 | |
| Forward and backward | 1.500 ± 0.250 | 1.427 ± 0.387 | 0.298 | 0.23 | 24.35 ± 20.71 | ||
| Left and right | 0.147 ± 0.068 | 0.026 ± 0.020 | <0.001 | 2.42 | 133.46 ± 57.20 | ||
| Up and down | 0.009 ± 0.006 | 0.009 ± 0.007 | 0.437 | 0.07 | 72.98 ± 67.53 | ||
| Female | Gliding | Track length | 4.435 ± 0.601 | 4.441 ± 0.392 | 0.488 | 0.01 | 12.21 ± 8.07 |
| Forward and backward | 4.403 ± 0.578 | 4.380 ± 0.393 | 0.462 | 0.04 | 13.2 ± 38.90 | ||
| Left and right | 0.128 ± 0.068 | 0.368 ± 0.083 | <0.001 | 3.01 | 100.77 ± 39.96 | ||
| Up and down | 0.022 ± 0.014 | 0.019 ± 0.015 | 0.344 | 0.17 | 80.53 ± 60.65 | ||
| Push-off | Track length | 1.177 ± 0.297 | 1.135 ± 0.153 | 0.326 | 0.18 | 19.36 ± 18.10 | |
| Forward and backward | 1.168 ± 0.280 | 1.115 ± 0.137 | 0.293 | 0.23 | 20.37 ± 18.10 | ||
| Left and right | 0.122 ± 0.042 | 0.025 ± 0.015 | <0.001 | 2.93 | 123.34 ± 57.35 | ||
| Up and down | 0.009 ± 0.007 | 0.010 ± 0.008 | 0.381 | 0.16 | 91.03 ± 64.52 |
| Gender | Technique Parameter | Right Side | Left Side | p-Value | Cohen’s d | ASI (%) |
|---|---|---|---|---|---|---|
| Male | Gliding speed (m/s) | 13.39 ± 0.42 | 13.29 ± 0.42 | 0.329 | 0.22 | 3.62 ± 3.00 |
| Push-off speed (m/s) | 13.85 ± 0.30 | 12.64 ± 1.71 | 0.029 | 0.99 | 10.35 ± 14.73 | |
| Gliding distance (m) | 4.82 ± 0.50 | 5.01 ± 0.34 | 0.067 | 0.43 | 7.54 ± 3.45 | |
| Push-off distance (m) | 1.50 ± 0.24 | 1.43 ± 0.39 | 0.298 | 0.23 | 24.36 ± 20.71 | |
| Gliding time (s) | 0.36 ± 0.04 | 0.38 ± 0.21 | 0.048 | 0.53 | 7.40 ± 5.19 | |
| Push-off time (s) | 0.11 ± 0.02 | 0.11 ± 0.02 | 0.343 | 0.16 | 18.37 ± 13.93 | |
| Female | Gliding speed (m/s) | 12.52 ± 0.39 | 12.28 ± 0.37 | 0.137 | 0.63 | 4.50 ± 3.01 |
| Push-off speed (m/s) | 12.74 ± 0.60 | 12.46 ± 0.95 | 0.196 | 0.35 | 5.21 ± 7.10 | |
| Gliding distance (m) | 4.40 ± 0.61 | 4.38 ± 0.41 | 0.462 | 0.04 | 13.23 ± 8.90 | |
| Push-off distance (m) | 1.17 ± 0.30 | 1.12 ± 0.15 | 0.293 | 0.23 | 20.37 ± 18.10 | |
| Gliding time (s) | 0.35 ± 0.05 | 0.36 ± 0.03 | 0.377 | 0.12 | 10.81 ± 8.81 | |
| Push-off time (s) | 0.09 ± 0.02 | 0.09 ± 0.01 | 0.406 | 0.09 | 17.79 ± 18.37 |
Disclaimer/Publisher’s Note: The statements, opinions and data contained in all publications are solely those of the individual author(s) and contributor(s) and not of MDPI and/or the editor(s). MDPI and/or the editor(s) disclaim responsibility for any injury to people or property resulting from any ideas, methods, instructions or products referred to in the content. |
© 2024 by the authors. Licensee MDPI, Basel, Switzerland. This article is an open access article distributed under the terms and conditions of the Creative Commons Attribution (CC BY) license (https://creativecommons.org/licenses/by/4.0/).
Share and Cite
Liu, Z.; Ding, M.; Zhang, M.; Yu, B.; Liu, H. Effects of Technique Asymmetry on 500 m Speed Skating Performance. Bioengineering 2024, 11, 899. https://doi.org/10.3390/bioengineering11090899
Liu Z, Ding M, Zhang M, Yu B, Liu H. Effects of Technique Asymmetry on 500 m Speed Skating Performance. Bioengineering. 2024; 11(9):899. https://doi.org/10.3390/bioengineering11090899
Chicago/Turabian StyleLiu, Zimeng, Meilin Ding, Masen Zhang, Bing Yu, and Hui Liu. 2024. "Effects of Technique Asymmetry on 500 m Speed Skating Performance" Bioengineering 11, no. 9: 899. https://doi.org/10.3390/bioengineering11090899
APA StyleLiu, Z., Ding, M., Zhang, M., Yu, B., & Liu, H. (2024). Effects of Technique Asymmetry on 500 m Speed Skating Performance. Bioengineering, 11(9), 899. https://doi.org/10.3390/bioengineering11090899

