A One-Way Coupled Hydrodynamic Advection-Diffusion Model to Simulate Congested Large Wood Transport
Abstract
1. Introduction
2. Materials and Methods
2.1. Mathematical and Numerical Outlines
2.1.1. Advection-Diffusion Model for Large Wood
2.1.2. Outlines of the Coupled System
2.2. Experiments Description
2.3. Modeling the Transport Velocity
2.4. Details of the Numerical Tests
3. Results
3.1. Hydraulic Simulation
3.2. Wood Transport Simulation
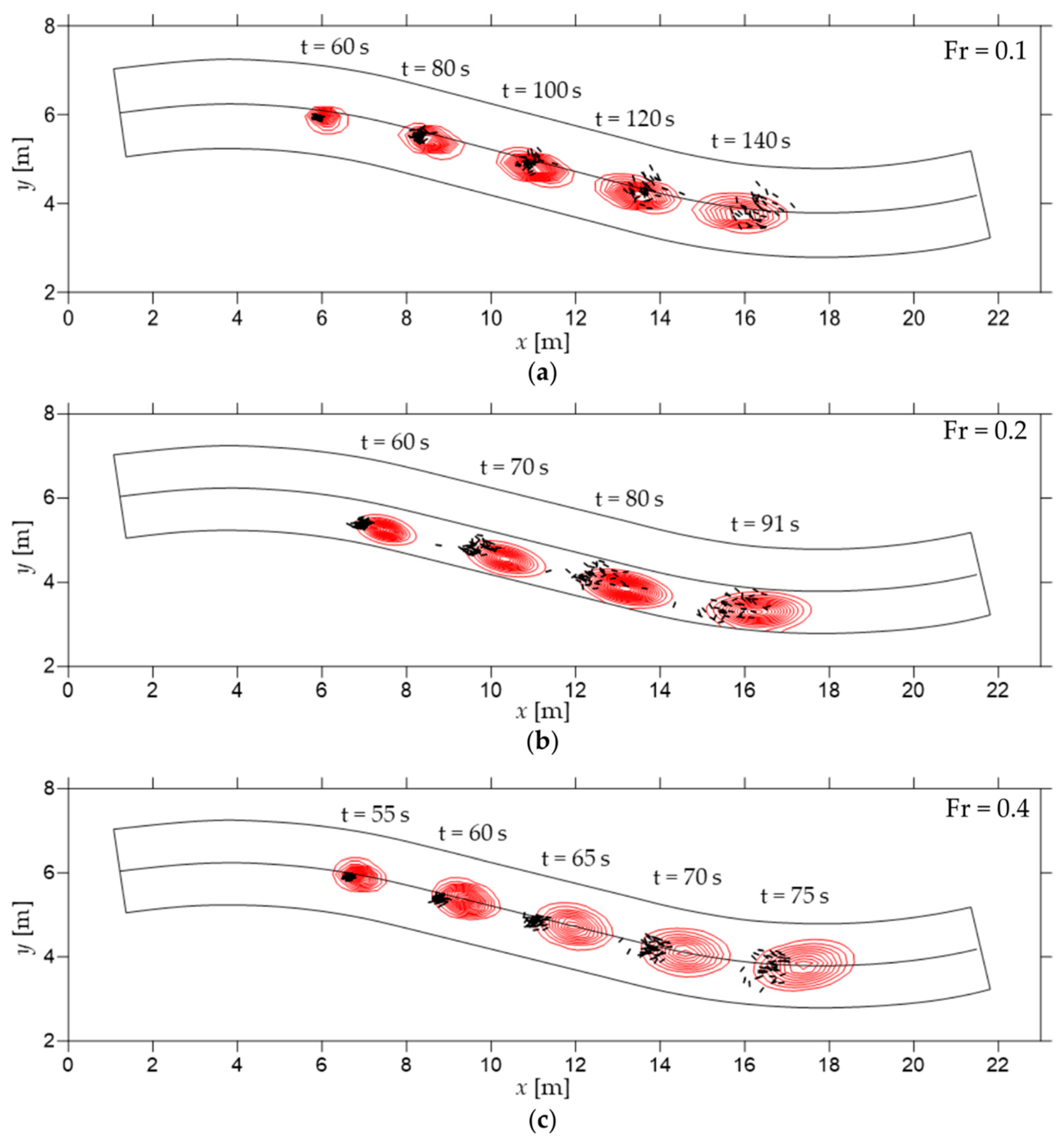
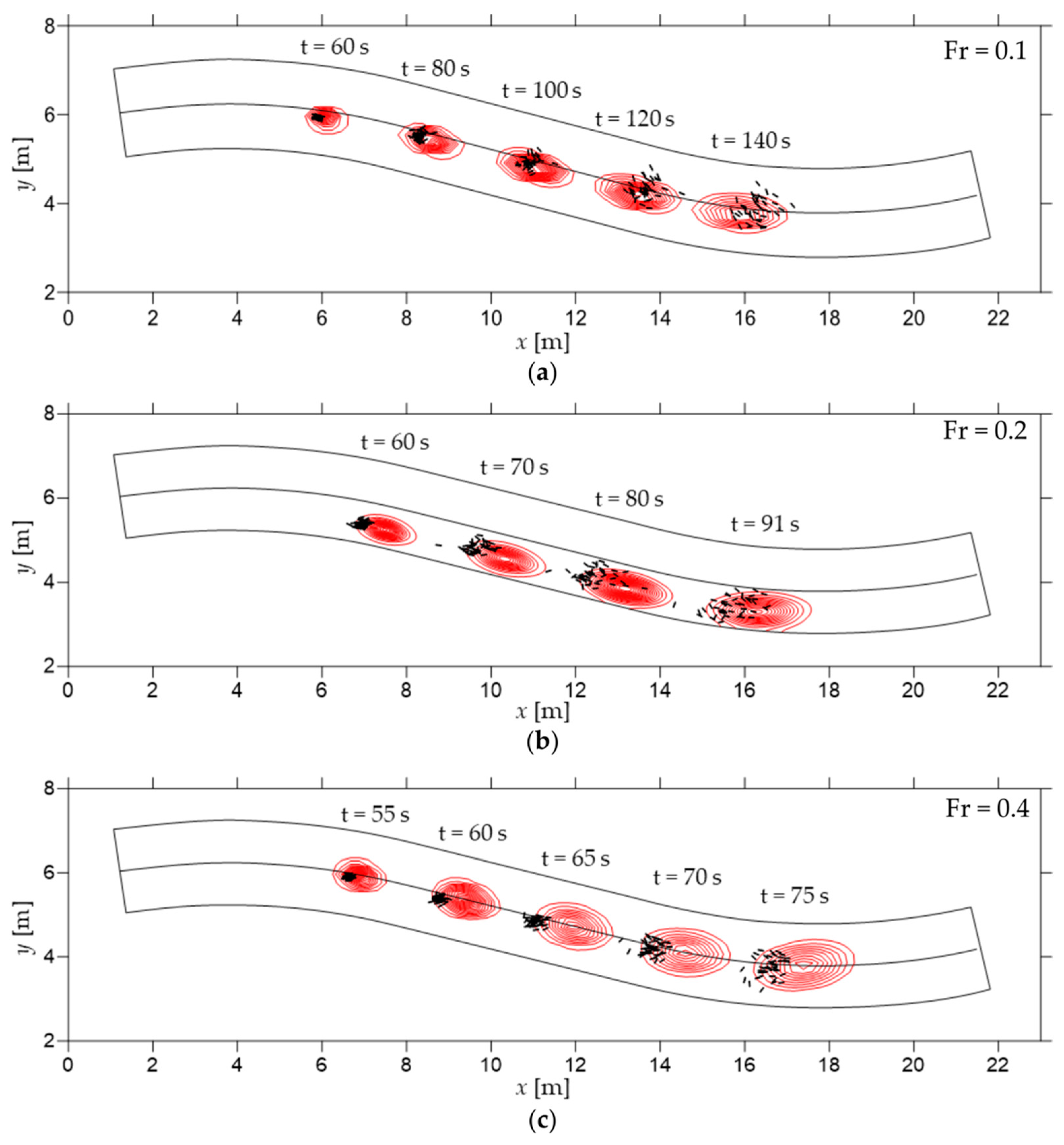
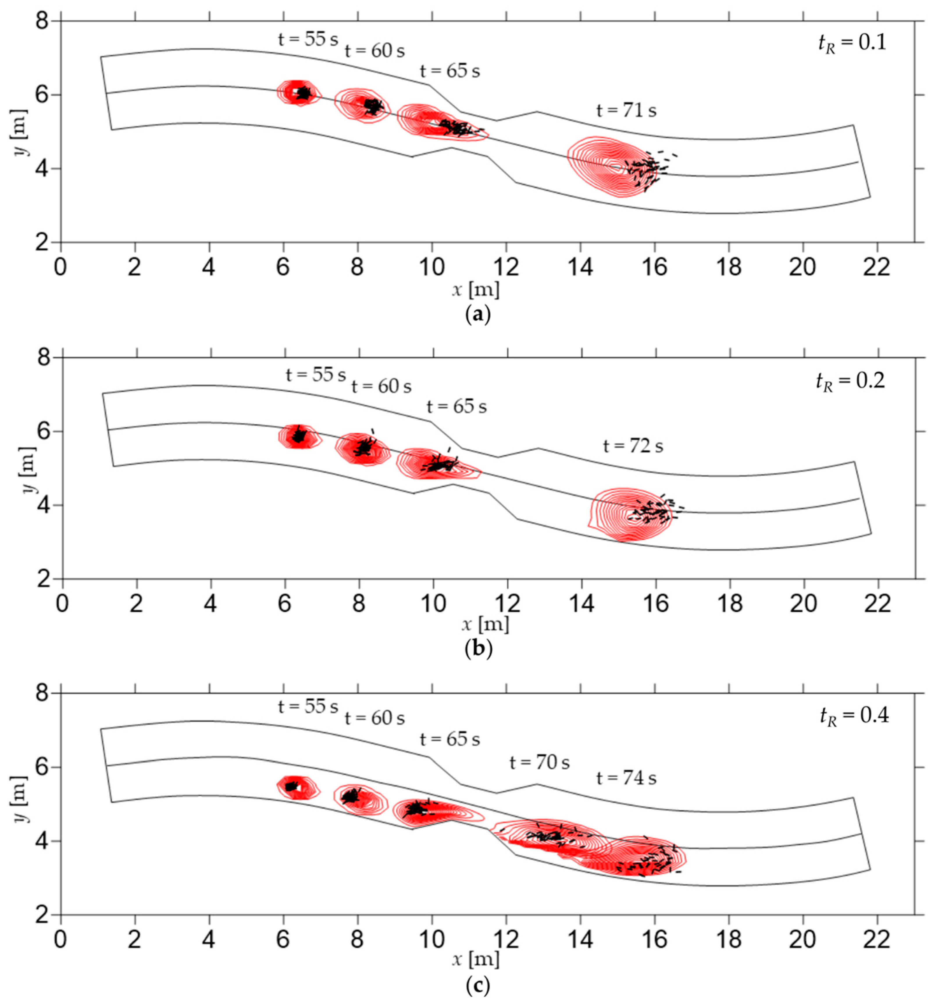
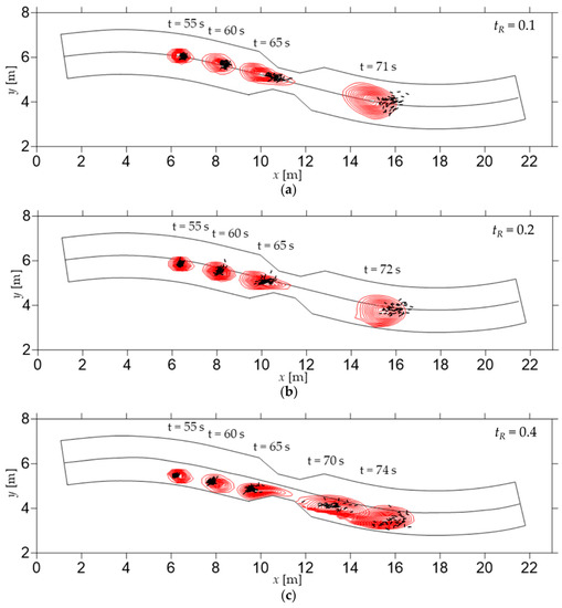
3.2.1. S-Shaped Flume
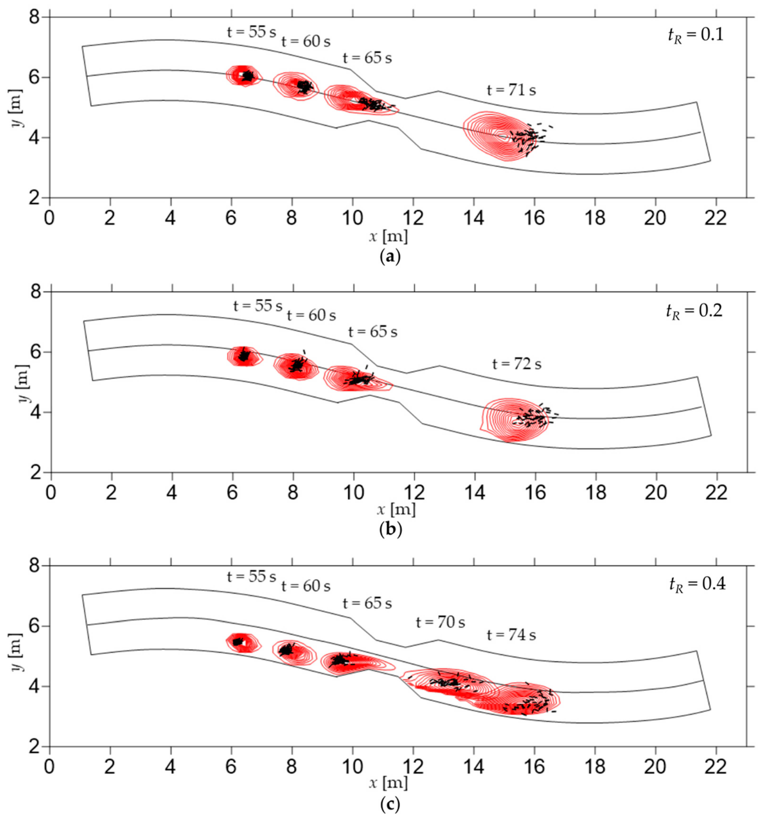
3.2.2. S-Shaped Channel with Venturi Narrowing
4. Discussion
5. Conclusions
Author Contributions
Funding
Acknowledgments
Conflicts of Interest
References
- Mačiukėnaitė, J.; Povilaitienė, I. The role of the river in the city centre and its identity. J. Sustain. Archit. Civ. Eng. 2013, 4, 33–41. [Google Scholar] [CrossRef]
- Costabile, P.; Macchione, F.; Natale, L.; Petaccia, G. Comparison of scenarios with and without bridges and analysis of backwater effect in 1-D and 2-D river flood modeling. Comput. Model. Eng. Sci. 2015, 109, 81–103. [Google Scholar] [CrossRef]
- Du, S.; Shi, P.; Van Rompaey, A.; Wen, J. Quantifying the impact of impervious surface location on flood peak discharge in urban areas. Nat. Hazards 2015, 76, 1457–1471. [Google Scholar] [CrossRef]
- Blöschl, G.; Hall, J.; Viglione, A.; Perdigão, R.A.; Parajka, J.; Merz, B.; Boháč, M. Changing climate both increases and decreases European river floods. Nature 2019, 573, 108–111. [Google Scholar] [CrossRef]
- Xu, H.; Luo, Y. Climate change and its impacts on river discharge in two climate regions in China. Hydrol. Earth Syst. Sci. 2015, 19, 4609. [Google Scholar] [CrossRef]
- Llasat, M.C.; Barrera, A.; Altava-Ortiz, V. Floods evolution in a Climate Change framework: A Mediterranean analysis. In Proceedings of the Third International Conference on Climate and Water, Helsinki, Finland, 3–6 September 2007. [Google Scholar] [CrossRef]
- Winsemius, H.C.; Van Beek, L.P.H.; Jongman, B.; Ward, P.J.; Bouwman, A. A framework for global river flood risk assessments. Hydrol. Earth Syst. Sci. 2013, 17, 1871–1892. [Google Scholar] [CrossRef]
- Macchione, F.; Costabile, P.; Costanzo, C.; De Santis, R. Moving to 3-D flood hazard maps for enhancing risk communication. Environ. Model. Softw. 2019, 111, 510–522. [Google Scholar] [CrossRef]
- Hagemeier-Klose, M.; Wagner, K. Evaluation of flood hazard maps in print and web mapping services as information tools in flood risk communication. Nat. Hazards Earth Syst. Sci. 2009, 9. [Google Scholar] [CrossRef]
- Nogherotto, R.; Fantini, A.; Raffaele, F.; Di Sante, F.; Dottori, F.; Coppola, E.; Giorgi, F. An integrated hydrological and hydraulic modelling approach for the flood risk assessment over Po river basin. Nat. Hazard Earth Syst. Discuss. 2019, 1–22. [Google Scholar] [CrossRef]
- Lucía, A.; Comiti, F.; Borga, M.; Cavalli, M.; Marchi, L. Dynamics of large wood during a flash flood in two mountain catchments. Nat. Hazards Earth Syst. Sci. 2015, 15, 1741. [Google Scholar] [CrossRef]
- Comiti, F.; Mao, L.; Preciso, E.; Picco, L.; Marchi, L.; Borg, M. Large wood and flash floods: Evidence from the 2007 event in the Davča basin (Slovenia). WIT Trans. Eng. Sci. 2008, 60, 173–182. [Google Scholar] [CrossRef]
- Prima Cremona. Available online: https://primacremona.it/cronaca/crolla-ponte-pedonale-sulladda-a-pizzighettone/ (accessed on 29 September 2020).
- Il Dolomiti. Available online: https://www.ildolomiti.it/cronaca/2020/foto-e-video-spaventa-ladige-suona-la-sirena-inizia-levacuazione-a-egna-a-san-michele-preoccupa-il-ponte-ferroviario (accessed on 29 September 2020).
- YouTube. Available online: https://www.youtube.com/watch?v=M9SLR6EIN58 (accessed on 29 September 2020).
- Braudrick, C.A.; Grant, G.E. When do logs move in rivers? Water Resour. Res. 2000, 36, 571–583. [Google Scholar] [CrossRef]
- Alonso, C.V. Transport mechanics of stream-borne logs. In Riparian Vegetation and Fluvial Geomorphology; Bennett, S.J., Simon, A., Eds.; American Geophysical Union: Washington, DC, USA, 2004; Volume 8, pp. 59–69. [Google Scholar] [CrossRef]
- Stockstill, R.L.; Daly, S.F.; Hopkins, M.A. Modeling folating objects at river structures. J. Hydraul. Eng. 2009, 135, 403–414. [Google Scholar] [CrossRef]
- Persi, E.; Petaccia, G.; Sibilla, S.; Brufau, P.; García-Navarro, P. Calibration of a dynamic Eulerian-Lagrangian model for the computation of wood cylinders transport in shallow water flow. J. Hydroinform. 2019, 21, 164–179. [Google Scholar] [CrossRef]
- Kang, T.; Kimura, I.; Shimizu, Y. Numerical simulation of large wood deposition patterns and responses of bed morphology in a braided river using large wood dynamics model. Earth Surf. Proc. Landf. 2020, 45, 962–977. [Google Scholar] [CrossRef]
- Gippel, C.J.; O’Neill, I.C.; Finlayson, B.L.; Schnatz, I.N.G.O. Hydraulic guidelines for the re-introduction and management of large woody debris in lowland rivers. Regul. Rivers Res. Manag. 1996, 12, 223–236. [Google Scholar] [CrossRef]
- Hygelund, B.; Manga, M. Field measurements of drag coefficients for model large woody debris. Geomorphology 2003, 51, 175–185. [Google Scholar] [CrossRef]
- Ruiz-Villanueva, V.; Bladé, E.; Sánchez-Juny, M.; Marti-Cardona, B.; Díez-Herrero, A.; Bodoque, J.M. Two-dimensional numerical modeling of wood transport. J. Hydroinform. 2014, 16, 1077–1096. [Google Scholar] [CrossRef]
- Kimura, I.; Kitazono, K. Effects of the driftwood Richardson number and applicability of a 3D–2D model to heavy wood jamming around obstacles. Environ. Fluid Mech. 2020, 20, 503–525. [Google Scholar] [CrossRef]
- Persi, E.; Petaccia, G.; Sibilla, S.; Brufau, P.; García-Palacin, J.I. Experimental dataset and numerical simulation of floating bodies transport in open-channel flow. J. Hydroinform. 2020, 22, 1161–1181. [Google Scholar] [CrossRef]
- Persi, E.; Petaccia, G.; Sibilla, S.; Lucia, A.; Andreoli, A.; Comiti, F. Numerical modelling of uncongested wood transport in the Rienz river. Environ. Fluid Mech. 2020, 20, 539–558. [Google Scholar] [CrossRef]
- Ruiz-Villanueva, V.; Bodoque, J.M.; Díez-Herrero, A.; Eguibar, M.A.; Pardo-Igúzquiza, E. Reconstruction of a flash flood with large wood transport and its influence on hazard patterns in an ungauged mountain basin. Hydrol. Process. 2013, 27, 3424–3437. [Google Scholar] [CrossRef]
- Ruiz-Villanueva, V.; Bodoque, J.M.; Díez-Herrero, A.; Bladé, E. Large wood transport as significant influence on flood risk in a mountain village. Nat. Hazards 2014, 74, 967–987. [Google Scholar] [CrossRef]
- Braudrick, C.A.; Grant, G.E.; Ishikawa, Y.; Ikeda, H. Dynamics of wood transport in streams: A flume experiment. Earth Surf. Proc. Landf. 1997, 22, 669–683. [Google Scholar] [CrossRef]
- Meninno, S.; Persi, E.; Petaccia, G.; Sibilla, S.; Armanini, A. An experimental and theoretical analysis of floating wood diffusion coefficients. Environ. Fluid Mech. 2020, 20, 593–617. [Google Scholar] [CrossRef]
- Petaccia, G.; Leporati, F.; Torti, E. OpenMP and CUDA simulations of Sella Zerbino Dam break on unstructured grids. Comput. Geosci. 2016, 20, 1123–1132. [Google Scholar] [CrossRef]
- Nucci, E.; Persi, E. Experimental investigation on wood diffusion for a channel with a symmetrical narrowing. Geophys. Res. Abstr. 2019, 21, EGU2019-8602. [Google Scholar]
- Murillo, J.; Burguete, J.; Brufau, P.; García-Navarro, P. Coupling between shallow water and solute flow equations: Analysis and management of source terms in 2D. Int. J. Numer. Methods Fluids 2005, 49, 267–299. [Google Scholar] [CrossRef]
- Petaccia, G.; Natale, L. 1935 Sella Zerbino Dam-Break Case Revisited: A New Hydrologic and Hydraulic Analysis. J. Hydraul. Eng. 2020, 146, 05020005. [Google Scholar] [CrossRef]
- Morales-Hernández, M.; Murillo, J.; García-Navarro, P. Diffusion–dispersion numerical discretization for solute transport in 2D transient shallow flows. Environ. Fluid Mech. 2019, 19, 1217–1234. [Google Scholar] [CrossRef]
- Ruiz-Villanueva, V.; Piégay, H.; Gaertner, V.; Perret, F.; Stoffel, M. Wood density and moisture sorption and its influence on large wood mobility in rivers. CATENA 2016, 140, 182–194. [Google Scholar] [CrossRef]
- Szymkiewicz, R.; Gąsiorowski, D. Simulation of unsteady flow over floodplain using the diffusive wave equation and the modified finite element method. J. Hydrol. 2012, 464, 165–175. [Google Scholar] [CrossRef]
- Fletcher, C.A.J. Computational Techniques for Fluid Dynamics; Springer: Berlin/Heidelberg, Germany, 1991; Volume I. [Google Scholar]














| Flume | Slope i [−] | Discharge Q [L s−1] | Froude Number Fr [−] | Release Distance tR [m] | Log Length LW [m] | Log Diameter DW [m] | Number of Repetitions NL |
|---|---|---|---|---|---|---|---|
| S-shaped | 0.0004 | 20 | 0.1 | 0.8 | 0.3 | 0.02 | 41 |
| 0.4 | 30 | ||||||
| 50 | 0.2 | 0.4 | 0.3 | 35 | |||
| 0.4 | 46 | ||||||
| 0.8 | 0.3 | 29 | |||||
| 0.4 | 41 | ||||||
| 0.0016 | 81 | 0.4 | 0.8 | 0.2 | 0.014 | 40 | |
| 0.02 | 46 | ||||||
| 0.3 | 0.02 | 42 | |||||
| 0.4 | 0.02 | 40 | |||||
| 0.03 | 39 | ||||||
| S-shaped with narrowing | 0.0016 | 66 | - 1 | 0.4 | 0.2 | 0.014 | 46 |
| 0.02 | 42 | ||||||
| 0.3 | 0.02 | 48 | |||||
| 0.4 | 0.02 | 47 | |||||
| 0.03 | 49 | ||||||
| 0.8 | 0.2 | 0.014 | 44 | ||||
| 0.02 | 42 | ||||||
| 0.3 | 0.02 | 48 | |||||
| 0.4 | 0.02 | 48 | |||||
| 0.03 | 45 | ||||||
| 1 | 0.2 | 0.014 | 48 | ||||
| 0.02 | 48 | ||||||
| 0.3 | 0.02 | 54 | |||||
| 0.4 | 0.02 | 48 | |||||
| 0.03 | 49 |
Publisher’s Note: MDPI stays neutral with regard to jurisdictional claims in published maps and institutional affiliations. |
© 2021 by the authors. Licensee MDPI, Basel, Switzerland. This article is an open access article distributed under the terms and conditions of the Creative Commons Attribution (CC BY) license (http://creativecommons.org/licenses/by/4.0/).
Share and Cite
Persi, E.; Petaccia, G.; Sibilla, S.; Bentivoglio, R.; Armanini, A. A One-Way Coupled Hydrodynamic Advection-Diffusion Model to Simulate Congested Large Wood Transport. Hydrology 2021, 8, 21. https://doi.org/10.3390/hydrology8010021
Persi E, Petaccia G, Sibilla S, Bentivoglio R, Armanini A. A One-Way Coupled Hydrodynamic Advection-Diffusion Model to Simulate Congested Large Wood Transport. Hydrology. 2021; 8(1):21. https://doi.org/10.3390/hydrology8010021
Chicago/Turabian StylePersi, Elisabetta, Gabriella Petaccia, Stefano Sibilla, Roberto Bentivoglio, and Aronne Armanini. 2021. "A One-Way Coupled Hydrodynamic Advection-Diffusion Model to Simulate Congested Large Wood Transport" Hydrology 8, no. 1: 21. https://doi.org/10.3390/hydrology8010021
APA StylePersi, E., Petaccia, G., Sibilla, S., Bentivoglio, R., & Armanini, A. (2021). A One-Way Coupled Hydrodynamic Advection-Diffusion Model to Simulate Congested Large Wood Transport. Hydrology, 8(1), 21. https://doi.org/10.3390/hydrology8010021

