“Cape Fear”—A Hybrid Hillslope Plot for Monitoring Hydrological Processes
Abstract
:1. Introduction
2. Materials and Methods
2.1. Experimental Site
2.1.1. Plot Description
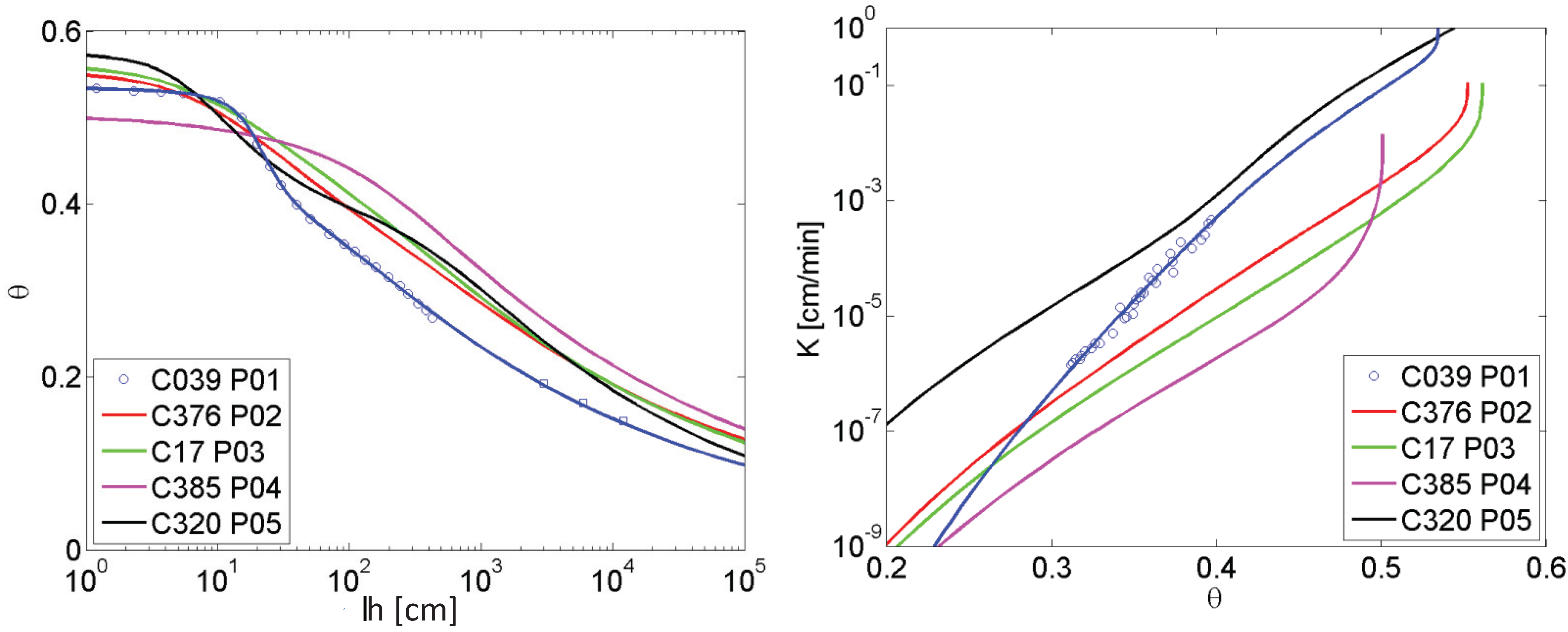
2.1.2. Soil Physical and Hydrological Characterization
2.2. Observed Variables
2.2.1. Output Discharge
2.2.2. Turbidity
2.2.3. Soil Moisture
2.2.4. Wetting Front
2.2.5. Rainfall Gauge
2.2.6. Artificial Rainfall System
2.3. Feasibility Experiment
2.3.1. Rainfall Event
2.3.2. Fluorescent Particle Sensing System
3. Results
3.1. Hillslope Flow Monitoring
3.2. Particle Arrival Distribution
3.3. Experimental Plot Water Budget
4. Discussion and Conclusions
- How do the soil structure, vegetation, and spatial pathways evolve over time? How do such changes affect connectivity and the overall response of the plot?
- How do surface morphology and flow pattern organization influence surface transport processes?
- How do rills evolve as a function of slope, length, and vegetation in natural rainfall conditions?
Acknowledgments
Author Contributions
Conflicts of Interest
References
- Dunne, T. Field Studies of Hillslope Flow Processes; Wiley: London, UK, 1978; Chapter 7; pp. 227–293. [Google Scholar]
- Weiler, M.; McDonnell, J.J. Virtual experiments: A new approach for improving process conceptualization in hillslope hydrology. J. Hydrol. 2004, 285, 3–18. [Google Scholar] [CrossRef]
- Janzen, D.; McDonnell, J.J. A stochastic approach to modelling and understanding hillslope runoff connectivity dynamics. Ecol. Model. 2015, 298, 64–74. [Google Scholar] [CrossRef]
- Hewlett, J.D. Soil Moisture as a Source of Base Flow From Steep Mountain Watersheds; Station Paper 132; US Forest Service, Southeastern Forest Experiment Station: Asheville, NC, USA, 1961.
- Hewlett, J.D.; Hibbert, A.R. Moisture and energy conditions within a sloping soil mass during drainage. J. Geophys. Res. 1963, 68, 1081–1087. [Google Scholar] [CrossRef]
- Dunne, T.; Black, R.D. An experimental investigation of runoff production in permeable soils. Water Resour. Res. 1970, 6, 478–490. [Google Scholar] [CrossRef]
- Dunne, T.; Black, R.D. Partial area contributions to storm runoff in a small New England watershed. Water Resour. Res. 1970, 6, 1296–1311. [Google Scholar] [CrossRef]
- Anderson, M.G.; Burt, T.P. Automatic monitoring of soil moisture conditions in a hillslope spur and hollow. J. Hydrol. 1977, 33, 27–36. [Google Scholar] [CrossRef]
- Anderson, M.G.; Burt, T.P. A laboratory model to investigate the soil moisture conditions on a draining slope. J. Hydrol. 1977, 33, 383–390. [Google Scholar] [CrossRef]
- Bonell, M. Selected challenges in runoff generation research in forests from the hillslope to headwater drainage basin scale. J. Am. Water Resour. Assoc. 1998, 34, 765–785. [Google Scholar] [CrossRef]
- Kendall, C.; McDonnell, J.J.; Gu, W. A look inside “black box” hydrograph separation models: A study at the Hydrohill catchment. Hydrol. Process. 2001, 15, 1877–1902. [Google Scholar] [CrossRef]
- McGuire, K.J.; Weiler, M.; McDonnell, J.J. Integrating tracer experiments with modeling to assess runoff processes and water transit times. Adv. Water Resour. 2007, 30, 824–837. [Google Scholar] [CrossRef]
- Montgomery, D.R.; Dietrich, W.E.; Torres, R.; Anderson, S.P.; Heffner, J.T.; Loague, K. Hydrologic response of a steep, unchanneled valley to natural and applied rainfall. Water Resour. Res. 1997, 33, 91–109. [Google Scholar] [CrossRef]
- Anderson, S.P.; Dietrich, W.E.; Montgomery, D.R.; Torres, R.; Conrad, M.E.; Loague, K. Subsurface flow paths in a steep, unchanneled catchment. Water Resour. Res. 1997, 33, 2637–2653. [Google Scholar] [CrossRef]
- Anderson, S.P.; Dietrich, W.E.; Torres, R. Concentration-discharge relationships in runoff from a steep, unchanneled catchment. Water Resour. Res. 1997, 33, 211–225. [Google Scholar] [CrossRef]
- Freer, J.; McDonnell, J.J.; Beven, K.J.; Peters, N.E.; Burns, D.A.; Hooper, R.P.; Aulenbach, B.; Kendall, C. The role of bedrock topography on subsurface storm flow. Water Resour. Res. 2002, 38, 1269. [Google Scholar] [CrossRef]
- Tromp-van Meerveld, H.J.; McDonnell, J.J. Threshold relations in subsurface stormflow: 1. A 147-storm analysis of the Panola hillslope. Water Resour. Res. 2006, 42, W02410. [Google Scholar] [CrossRef]
- Tromp-van Meerveld, H.J.; McDonnell, J.J. Threshold relations in subsurface stormflow: 2. The fill and spill hypothesis. Water Resour. Res. 2006, 42, W02411. [Google Scholar] [CrossRef]
- Klaus, J.; Zehe, E.; Elsner, M.; Külls, C.; McDonnell, J.J. Macropore flow of old water revisited: Experimental insights from a tile-drained hillslope. Hydrol. Earth Syst. Sci. 2013, 17, 103–118. [Google Scholar] [CrossRef]
- McGlynn, B.L.; McDonnell, J.J.; Brammer, D.D. A review of the evolving perceptual model of hillslope flowpaths at the Maimai catchments, New Zealand. J. Hydrol. 2002, 257, 1–26. [Google Scholar] [CrossRef]
- Blöschl, G.; Blaschke, A.P.; Broer, M.; Bucher, C.; Carr, G.; Chen, X.; Eder, A.; Exner-Kittridge, M.; Farnleitner, A.; Flores-Orozco, A.; et al. The Hydrological Open Air Laboratory (HOAL) in Petzenkirchen: A hypotheses driven observatory. Hydrol. Earth Syst. Sci. Discuss. 2015, 12, 6683–6753. [Google Scholar] [CrossRef]
- Gerwin, W.; Schaaf, W.; Biemelt, D.; Fischer, A.; Winter, S.; Hüttl, R.F. The artificial catchment “Chicken Creek” (Lusatia, Germany)—A landscape laboratory for interdisciplinary studies of initial ecosystem development. Ecol. Eng. 2009, 35, 1786–1796. [Google Scholar] [CrossRef]
- Bachmair, S.; Weiler, M.; Troch, P.A. Intercomparing hillslope hydrological dynamics: Spatio-temporal variability and vegetation cover effects. Water Resour. Res. 2012, 48, W05537. [Google Scholar] [CrossRef]
- Zhu, T.X.; Cai, Q.G.; Zeng, B.Q. Runoff generation on a semi-arid agricultural catchment: Field and experimental studies. J. Hydrol. 1997, 196, 99–118. [Google Scholar] [CrossRef]
- Brooks, E.S.; Boll, J.; McDaniel, P.A. A hillslope-scale experiment to measure lateral saturated hydraulic conductivity. Water Resour. Res. 2004, 40, W04208. [Google Scholar] [CrossRef]
- Scherrer, S.; Naef, F.; Faeh, A.O.; Cordery, I. Formation of runoff at the hillslope scale during intense precipitation. Hydrol. Earth Syst. Sci. 2007, 11, 907–922. [Google Scholar] [CrossRef]
- Wainwright, J.; Parsons, A.J.; Abrahams, A.D. Plot-scale studies of vegetation, overland flow and erosion interactions: Case studies from Arizona and New Mexico. Hydrol. Process. 2000, 14, 2921–2943. [Google Scholar] [CrossRef]
- Li, M.H.; Chibber, P. Overland flow time of concentration on very flat terrains. Transp. Res. Rec. J. Transp. Res. Board 2008, 2060, 133–140. [Google Scholar] [CrossRef]
- Ghahramani, A.; Ishikawa, Y.; Gomi, T.; Shiraki, K.; Miyata, S. Effect of ground cover on splash and sheetwash erosion over a steep forested hillslope: A plot-scale study. Catena 2011, 85, 34–47. [Google Scholar] [CrossRef]
- Esteves, M.; Faucher, X.; Galle, S.; Vauclin, M. Overland flow and infiltration modelling for small plots during unsteady rain: Numerical results versus observed values. J. Hydrol. 2000, 228, 265–282. [Google Scholar] [CrossRef]
- Kampf, S.K.; Burges, S.J. Parameter estimation for a physics-based distributed hydrologic model using measured outflow fluxes and internal moisture states. Water Resour. Res. 2007, 43, W12414. [Google Scholar] [CrossRef]
- Hopp, L.; Harman, C.; Desilets, S.L.E.; Graham, C.B.; McDonnell, J.J.; Troch, P.A. Hillslope hydrology under glass: Confronting fundamental questions of soil-water-biota co-evolution at Biosphere 2. Hydrol. Earth Syst. Sci. 2009, 13, 2105–2118. [Google Scholar] [CrossRef]
- Niu, G.Y.; Pasetto, D.; Scudeler, C.; Paniconi, C.; Putti, M.; Troch, P.A.; DeLong, S.B.; Dontsova, K.; Pangle, L.; Breshears, D.D.; et al. Incipient subsurface heterogeneity and its effect on overland flow generation—Insight from a modeling study of the first experiment at the Biosphere 2 Landscape Evolution Observatory. Hydrol. Earth Syst. Sci. 2014, 18, 1873–1883. [Google Scholar] [CrossRef]
- Nieber, J.L.; Walter, M.F. Two-dimensional soil moisture flow in a sloping rectangular region: Experimental and numerical studies. Water Resour. Res. 1981, 17, 1722–1730. [Google Scholar] [CrossRef]
- Bryan, R.B.; Poesen, J. Laboratory experiments on the influence of slope length on runoff, percolation and rill development. Earth Surf. Process. Landf. 1989, 14, 211–231. [Google Scholar] [CrossRef]
- He, J.J.; Sun, L.Y.; Gong, H.L.; Cai, Q.G.; Jia, L.J. The characteristics of rill development and their effects on runoff and sediment yield under different slope gradients. J. Mt. Sci. 2016, 13, 397–404. [Google Scholar] [CrossRef]
- Michaelides, K.; Wainwright, J. Internal testing of a numerical model of hillslope-channel coupling using laboratory flume experiments. Hydrol. Process. 2008, 22, 2274–2291. [Google Scholar] [CrossRef]
- Fang, H.; Sun, L.; Tang, Z. Effects of rainfall and slope on runoff, soil erosion and rill development: An experimental study using two loess soils. Hydrol. Process. 2015, 29, 2649–2658. [Google Scholar] [CrossRef]
- Tauro, F.; Aureli, M.; Porfiri, M.; Grimaldi, S. Characterization of buoyant fluorescent particles for field observations of water flows. Sensors 2010, 10, 11512–11529. [Google Scholar] [CrossRef] [PubMed]
- Tauro, F.; Pagano, C.; Porfiri, M.; Grimaldi, S. Tracing of shallow water flows through buoyant fluorescent particles. Flow Meas. Instrum. 2011, 26, 93–101. [Google Scholar] [CrossRef]
- Tauro, F.; Mocio, G.; Rapiti, E.; Grimaldi, S.; Porfiri, M. Assessment of fluorescent particles for surface flow analysis. Sensors 2012, 12, 15827–15840. [Google Scholar] [CrossRef] [PubMed]
- Tauro, F.; Grimaldi, S.; Petroselli, A.; Rulli, M.C.; Porfiri, M. Fluorescent particle tracers in surface hydrology: A proof of concept in a semi-natural hillslope. Hydrol. Earth Syst. Sci. 2012, 16, 2973–2983. [Google Scholar] [CrossRef]
- Riley, S.J.; Hancock, F. A rainfall simulator for hydrologic and erosion experiments on mines, with an example of its applications at Ranger Uranium Mine, Northern Territory, Australia. Aust. Inst. Min. Metall. Proc. 1997, 1, 3–8. [Google Scholar]
- Gee, W.G.; Or, D. Methods of Soil Analysis; Chapter PartiCle-Size Analysis; Soil Science Society of America: Madison, WI, USA, 2002; pp. 255–293. [Google Scholar]
- Mebius, L. A rapid method for the determination of organic carbon in soil. Anal. Chim. Acta 1960, 22, 120–124. [Google Scholar] [CrossRef]
- Topp, G.C.; Ferré, P.A. Methods of Soil Analysis: Part 4—Physical Methods; Chapter Water Content; Soil Science Society of America: Madison, WI, USA, 2002; Volume 5, pp. 417–446. [Google Scholar]
- Reynolds, W.D.; Elrick, D.E.; Youngs, E.G.; Amoozegar, A.; Booltink, H.W.G. Methods of Soil Analysis, Part 4—Physical Methods; Chapter Saturated and Field-Saturated Water Flow Parameters; Soil Science Society of America: Madison, WI, USA, 2002; pp. 797–878. [Google Scholar]
- Ciollaro, G.; Romano, N. Spatial variablity of the hydraulic properties of a volcanic soil. Geoderma 1995, 65, 263–282. [Google Scholar] [CrossRef]
- Romano, N.; Hopmans, J.W.; Dane, J.H. Methods of Soil Analysis, Part 4—Physical Methods; Chapter Water Retention and Storage—Suction Table; Soil Science Society of America: Madison, WI, USA, 2002; pp. 692–698. [Google Scholar]
- Dane, J.H.; Hopmans, J.W. Methods of Soil Analysis: Part 4—Physical Methods; Chapter Pressure Plate Extractor; Soil Science Society of America: Madison, WI, USA, 2002; pp. 688–690. [Google Scholar]
- Romano, N.; Santini, A. Determining soil hydraulic functions from evaporation experiments by a parameter estimation approach: Experimental verifications and numerical studies. Water Resour. Res. 1999, 35, 3343–3359. [Google Scholar] [CrossRef]
- Romano, N.; Angulo-Jaramillo, R.; Javaux, M.; vanderPloeg, M.J. Interweaving monitoring activities and model development towards enhancing knowledge of soil-plant-atmosphere continuum. Vadose Zone J. 2012, 11, 1–6. [Google Scholar] [CrossRef]
- Romano, N.; Santini, A. Methods of Soil Analysis, Part 4—Physical Methods; Chapter Water Retention and Storage Field; Soil Science Society of America: Madison, WI, USA, 2002; pp. 721–738. [Google Scholar]
- Bos, M. Discharge Measurement Structures; Technical Report 20; International Institute for Land Reclamation and Improvement/ILRI: Wageningen, The Netherlands, 1989. [Google Scholar]
- Grimaldi, S.; Petroselli, A.; Baldini, L.; Gorgucci, E. Description and preliminary results of a 100 square meter rain gauge. J. Hydrol. 2015. [Google Scholar] [CrossRef]
- Pérez-Latorre, F.J.; deCastro, L.; Delgado, A. A comparison of two variable intensity rainfall simulators for runoff studies. Soil Tillage Res. 2010, 107, 11–16. [Google Scholar] [CrossRef]
- Chouksey, A.; Lambey, V.; Nikam, B.R.; Aggarwal, S.P.; Dutta, S. Hydrological modelling using a rainfall simulator over an experimental hillslope plot. Hydrology 2017, 4, 17. [Google Scholar] [CrossRef]
- Christiansen, J.E. The uniformity of application of water by sprinkler system. Agric. Eng. 1941, 22, 89–92. [Google Scholar]
- Atlas, D.; Srivastava, R.C.; Sekhon, R.S. Doppler radar characteristics of precipitation at vertical incidence. Rev. Geophys. 1973, 11, 1–35. [Google Scholar] [CrossRef]
- Lhermitte, R.M. Probing of atmospheric motion by airborne pulse-Doppler radar techniques. J. Appl. Meteorol. 1971, 10, 234–246. [Google Scholar] [CrossRef]
- Gunn, R.; Kinzer, G.D. The terminal velocity of fall for water droplets in stagnant air. J. Meteorol. 1949, 6, 243–248. [Google Scholar] [CrossRef]
- Löffler-Mang, M. An optical disdrometer for measuring size and velocity of hydrometeors. J. Atmos. Ocean. Technol. 2000, 17, 130–139. [Google Scholar] [CrossRef]
- Forsyth, D.A.; Ponce, J. Computer Vision: A Modern Approach; Prentice-Hall: New York, NY, USA, 2002. [Google Scholar]
- Rosso, R.; Rulli, M.C. An integrated simulation method for flash-flood risk assessment: 2. Effects of changes in land-use under a historical perspective. Hydrol. Earth Syst. Sci. 2002, 6, 285–294. [Google Scholar] [CrossRef]
- Rulli, M.C.; Bozzi, S.; Spada, M.; Bocchiola, D.; Rosso, R. Rainfall simulations on a fire disturbed mediterranean area. J. Hydrol. 2006, 327, 323–338. [Google Scholar] [CrossRef]
- Fiori, A.; Russo, D. Numerical analyses of subsurface flow in a steep hillslope under rainfall: The role of the spatial heterogeneity of the formation hydraulic properties. Water Resour. Res. 2007, 43, W07445. [Google Scholar] [CrossRef]
- Fiori, A.; Romanelli, M.; Cavalli, D.J.; Russo, D. Numerical experiments of streamflow generation in steep catchments. J. Hydrol. 2007, 339, 183–192. [Google Scholar] [CrossRef]
- Fiori, A.; Russo, D. Travel time distribution in a hillslope: Insight from numerical simulations. Water Resour. Res. 2008, 44, W12426. [Google Scholar] [CrossRef]


















| C039 P01 | C376 P02 | C017 P03 | C385 P04 | C320 P05 | |
|---|---|---|---|---|---|
| 0.979 | 1.025 | 1.090 | 1.025 | 1.048 | |
| Organic C (%) | 0.448 | 0.721 | 0.604 | 0.526 | 0.584 |
| Sand content (%) | 45.87 | 42.40 | 46.52 | 43.70 | 41.63 |
| Silt content (%) | 33.38 | 34.52 | 34.00 | 38.94 | 37.19 |
| Clay content (%) | 20.75 | 23.28 | 19.48 | 17.36 | 21.18 |
| 0.534 | 0.552 | 0.561 | 0.501 | 0.574 | |
| 1.386 | 0.129 | 0.171 | 0.0363 | 5.737 |
| Configuration | C1 | C2 | C3 |
|---|---|---|---|
| CU (%) 3 × 3 | 75 | 82 | 82 |
| CU (%) 5 × 5 | 32 | 66 | 61 |
| Peak Values | Time at Peak | Water Budget | ||
|---|---|---|---|---|
| Rainfall | 0.94 | 30 January at 1:50 | P | 1.18 |
| Runoff | 0.11 | 30 January at 2:05 | 0.68 | |
| Turbidity | 53,251.90 | 30 January at 2:20 | Q | 0.45 |
| Rainfall | 0.79 | 30 January at 12:20 | 0.05 | |
| Runoff | 0.09 | 30 January at 13:35 | Total suspended solid volume | |
| Turbidity | 67,973.55 | 30 January at 14:05 | 17.4 | |
© 2017 by the authors. Licensee MDPI, Basel, Switzerland. This article is an open access article distributed under the terms and conditions of the Creative Commons Attribution (CC BY) license (http://creativecommons.org/licenses/by/4.0/).
Share and Cite
Tauro, F.; Petroselli, A.; Fiori, A.; Romano, N.; Rulli, M.C.; Porfiri, M.; Palladino, M.; Grimaldi, S. “Cape Fear”—A Hybrid Hillslope Plot for Monitoring Hydrological Processes. Hydrology 2017, 4, 35. https://doi.org/10.3390/hydrology4030035
Tauro F, Petroselli A, Fiori A, Romano N, Rulli MC, Porfiri M, Palladino M, Grimaldi S. “Cape Fear”—A Hybrid Hillslope Plot for Monitoring Hydrological Processes. Hydrology. 2017; 4(3):35. https://doi.org/10.3390/hydrology4030035
Chicago/Turabian StyleTauro, Flavia, Andrea Petroselli, Aldo Fiori, Nunzio Romano, Maria Cristina Rulli, Maurizio Porfiri, Mario Palladino, and Salvatore Grimaldi. 2017. "“Cape Fear”—A Hybrid Hillslope Plot for Monitoring Hydrological Processes" Hydrology 4, no. 3: 35. https://doi.org/10.3390/hydrology4030035
APA StyleTauro, F., Petroselli, A., Fiori, A., Romano, N., Rulli, M. C., Porfiri, M., Palladino, M., & Grimaldi, S. (2017). “Cape Fear”—A Hybrid Hillslope Plot for Monitoring Hydrological Processes. Hydrology, 4(3), 35. https://doi.org/10.3390/hydrology4030035

