Next Article in Journal
Identification and Temporal Distribution of Typical Rainfall Types Based on K-Means++ Clustering and Probability Distribution Analysis
Previous Article in Journal
Selection of a Probability Model Adapted to the Current Climate for Annual Maximum Daily Rainfall in the Benin Mono-Couffo Basin (West Africa)
 
 
Font Type:
Arial Georgia Verdana
Font Size:
Aa Aa Aa
Line Spacing:
Column Width:
Background:
Article

Estimation of Infiltration Parameters for Groundwater Augmentation in Cape Town, South Africa

by
Kgomoangwato Paul Mavundla
1,
John Okedi
2,*,
Denis Kalumba
1 and
Neil Philip Armitage
2
1
Geotechnical & Civil Engineering, University of Cape Town, Cape Town 7700, South Africa
2
Future Water Institute & Civil Engineering, University of Cape Town, Cape Town 7700, South Africa
*
Author to whom correspondence should be addressed.
Hydrology 2025, 12(4), 87; https://doi.org/10.3390/hydrology12040087
Submission received: 21 February 2025 / Revised: 9 April 2025 / Accepted: 11 April 2025 / Published: 13 April 2025

Abstract

In early 2018, Cape Town, South Africa, experienced severe water shortages during the worst drought in nearly a century (2015–2017), underscoring the need to diversify water resources, including groundwater. This study evaluated infiltration rates and hydraulic properties of three representative stormwater ponds in the Zeekoe Catchment, Cape Town, to assess their feasibility as recharge basins for transferring detained stormwater runoff into the underlying aquifer. Field infiltration data were analysed to estimate hydraulic properties, while laboratory permeability tests and material classification on 36 soil samples provided inputs for numerical modelling using HYDRUS 2-D software. Simulations estimated recharge rates and indicated wetting front movement from pond surfaces to the water table (~5.5 m depth) ranged between 15 and 140 h. The results revealed field hydraulic conductivity values of 0.3 to 19.9 cm/h, with laboratory estimates up to 103% higher due to controlled conditions. Simulated infiltration rates were 67–182% higher than field measurements, attributed to idealised assumptions. Despite these variations, ponds in the central catchment exhibited the highest infiltration rates, indicating suitability for artificial recharge. Explicit recognition of pond-specific infiltration variability significantly contributes to informed urban water security planning, enabling targeted interventions to optimise groundwater recharge initiatives.

1. Introduction

South Africa, a semi-arid country, faces persistent water scarcity due to its reliance on unevenly distributed surface water resources. The country has a mean annual precipitation of approximately 450 mm, nearly 50% below the global average, and a mean annual runoff of 50,000 Mm3, significantly lower than major river systems to the north, such as the Zambezi and Congo Rivers, which support water-rich regions in Zambia, Angola, and the Democratic Republic of Congo [1]. These limitations became particularly evident during the 2015–2017 drought, which led to Cape Town’s 2018 “Day Zero” crisis, when dam levels dropped below critical thresholds and municipal taps were projected to be shut off. In response, the city enforced severe water restrictions (limiting residents to 50 litres per person per day), launched widespread public awareness campaigns, and accelerated investments in alternative water supply schemes such as desalination and groundwater abstraction [2,3]. This crisis underscored the urgent need for diversified and resilient water management strategies, including wastewater reuse, surface water augmentation, and groundwater development, to meet rising urban demand under increasing climate uncertainty [4].
To mitigate South Africa’s water scarcity, interest in Managed Aquifer Recharge (MAR) has grown, offering a sustainable method of enhancing groundwater reserves. MAR involves the artificial recharge of aquifers using stormwater, treated wastewater, or surplus surface water, improving groundwater storage, preventing saltwater intrusion, and ensuring water security [5]. Internationally, MAR has been widely adopted in urban and agricultural water management, demonstrating its effectiveness in sustaining water supplies under water-scarce conditions [5,6].
The successful implementation of MAR in various countries highlights its potential for enhancing groundwater sustainability. In Australia, MAR projects have been established in Perth, Adelaide, and Melbourne, with respective aquifer storage capacities of 250 Mm3, 80 Mm3, and 100 Mm3 [7]. Notable examples include Salisbury near Adelaide, where stormwater is treated in wetlands before being injected into aquifers, and the Burdekin Delta in North Queensland, which recharges approximately 45 Mm3 annually for agricultural irrigation [7,8]. In the United States, MAR has been successfully implemented in Florida and Texas, where the Peace River scheme and Kerrville project involve the injection of treated water into groundwater aquifers, with daily recoveries of approximately 68,000 m3 and 9500 m3, respectively [9]. In Namibia, MAR plays a critical role in Windhoek’s water supply, using artificial recharge from the Von Bach Dam and treated wastewater infiltration into the Auas aquifer, contributing 2–8 Mm3 annually to local reserves [9,10]. These international case studies demonstrate the feasibility of MAR across diverse climatic and hydrogeological conditions, reinforcing its potential as a groundwater management strategy.
In South Africa, MAR feasibility studies have primarily focused on the Cape Flats Aquifer (CFA), an unconfined sandy aquifer underlying much of Cape Town’s urban landscape [11,12,13,14,15,16]. The CFA has been identified as a key groundwater resource, with estimates suggesting it could sustain annual abstractions of 15–20 million cubic metres at a favourable cost [4]. Studies by the Water Research Commission confirm that groundwater from the CFA is 40–60% cheaper than desalination for Cape Town [17,18]. However, despite the presence of stormwater detention ponds (dry basins that temporarily hold stormwater for short periods of time to attenuate peak flows) and retention ponds (hold a permanent pool of water, providing some level of stormwater quality improvement in addition to peak flow attenuation) within the CFA, few studies have quantitatively assessed their potential as recharge basins for MAR, leaving their effectiveness largely unverified [13,16]. A well-documented MAR project in South Africa is the Atlantis Water Resource Management Scheme, established 50 km north of Cape Town in the 1970s. This system integrates stormwater and treated wastewater infiltration into the Atlantis Aquifer, sustaining municipal and industrial water supplies for over four decades [19,20,21,22].
The effectiveness of stormwater detention and retention ponds as recharge basins depends on infiltration rates, which are influenced by soil properties, hydrogeological conditions, and pond design [12]. The Double-Ring Infiltrometer (DRI) is a widely recognised method for measuring in situ infiltration rates, offering critical insights into how stormwater interacts with subsurface materials [23]. Its effectiveness has been validated across diverse hydrogeological and geographical settings, including sandy soils in North Central Florida [24]; alluvial deposits near Josua Tree, California [25]; in a groved Mulga community in central Australia [26]; grey and red soil in Andhra Pradesh, India [27]; on a Typic Paleudult soil in Rio Grande do Sul, Brazil [28]; and on different soil types in the Xilin River Basin, Inner Mongolia, China [29]. In South Africa, DRI testing is commonly used to determine the hydraulic conductivity of surface and near-surface soils [30,31]. However, its application in MAR feasibility studies remains limited. While some research compares the DRI with other methods, such as the Guelph permeameter [31], few studies focus explicitly on its use in assessing stormwater infiltration for MAR, particularly in urban environments like the CFA region [29]. This underscores a critical research gap in evaluating infiltration dynamics within urban recharge settings.
Given these gaps, this study investigated the extent to which stormwater detention and retention ponds in the Zeekoe Catchment function as effective recharge basins within the CFA. Through field infiltration experiments, laboratory soil characterisation, and numerical modelling, infiltration variability was assessed, and key hydraulic properties influencing recharge potential were quantified. Additionally, percolation through the unsaturated zone to the groundwater table was monitored to refine recharge estimations, and areas within the Zeekoe Catchment with favourable infiltration conditions were identified for potential MAR adaptation. The broader implications for sustainable groundwater management and urban water security planning were also explored, offering insights into optimising stormwater-based MAR strategies in densely populated regions. It was hypothesised that stormwater detention and retention ponds in the Zeekoe Catchment exhibit infiltration characteristics suitable for MAR within the CFA.
While this study provides valuable insights into stormwater pond infiltration dynamics, certain limitations must be acknowledged. The findings are site-specific and influenced by local soil conditions, requiring further investigations to determine broader applicability across diverse hydrological settings. Security risks in Mitchells Plain, part of the CFA, posed a significant constraint, as theft and vandalism previously hindered long-term, real-time monitoring of MAR infrastructure [13]. Consequently, direct groundwater monitoring data were not collected. Instead, historical groundwater level records and borehole logs from private geotechnical firms provided geological and hydrogeological information [32]. Similarly, due to the unavailability of direct water well measurements, groundwater table depths were estimated using existing desktop study records [33,34]. Additionally, the study relied on HYDRUS-2D numerical modelling, which, while providing valuable infiltration estimates, incorporates idealised assumptions that may not fully capture natural soil heterogeneity and dynamic boundary interactions [35,36,37].
Despite these constraints, this study strengthens the knowledge base on stormwater-based MAR in Cape Town, offering valuable insights for sustainable groundwater management in urban aquifers worldwide. The findings provide a foundation for future MAR feasibility studies and contribute to evidence-based strategies for optimising stormwater recharge applications in water-scarce regions.

2. Materials and Methods

The methodology adopted in this study followed the framework established by Mavundla (2022) [38] and consisted of four main stages. First, the study area was defined, and three stormwater ponds were selected based on their accessibility, spatial distribution, and ability to represent the diversity of hydrological and soil conditions across the Zeekoe catchment. This ensured that the infiltration experiments would reflect the broader characteristics of the catchment rather than isolated pond behaviour. Second, field infiltration testing was conducted using a Double-Ring Infiltrometer (DRI), following ASTM D3385-09 [23] procedures, to quantify infiltration rates under both surface and subsurface conditions. Third, laboratory analyses were undertaken on soil samples collected adjacent to each DRI location, including constant-head permeability tests and particle-size classification, to determine relevant hydraulic and physical soil properties. Finally, these empirical data were used as inputs in HYDRUS-2D finite element simulations, which modelled infiltration dynamics from stormwater ponds through the vadose zone to the underlying water table.

2.1. Study Area

The study area, the Zeekoe Catchment, is located within the Cape Flats Aquifer (CFA) in Cape Town, South Africa, as shown in Figure 1. The CFA is characterised by a low-lying sandy plain interspersed with calcrete deposits near the water table. Its geology comprises fluvial, marine, and aeolian sands underlain by basement rock formations from the Malmesbury Group and Cape Granite. This aquifer extends northward from False Bay to Atlantis, with groundwater generally flowing southward toward False Bay [39].
Borehole log data, including lithological profiles, were obtained from multiple locations to assess the subsurface geology of the Zeekoe Catchment (Figure 2 and Figure 3) [32]. The selected borehole locations (Figure 2) represent the closest available subsurface data to the Zeekoe Catchment study area, as obtained from the private consulting firm Fairbrother. While additional boreholes were available, they were situated further away and thus excluded due to their limited applicability for site-specific soil characterisation. These boreholes provided critical insights into the geological variability across the catchment.
Figure 3 presents lithological profiles derived from the borehole logs, illustrating the vertical stratification of sediments at each location. These logs revealed a sandy layer approximately 30–40 m thick, interspersed with impervious clay or peat lenses at depths of up to 15 m. Such heterogeneity in subsurface composition plays a key role in influencing infiltration and recharge processes. Groundwater monitoring data from 2002 to 2006 further indicated seasonal fluctuations of the water table between 0.7 and 0.9 m, with groundwater depths ranging from 4.9 to 6.1 m below ground level [33]. This information provided a foundational understanding of the natural groundwater dynamics in the study area.
To support the infiltration experiments, three representative stormwater ponds were selected and spatially distributed across the Zeekoe Catchment (Figure 4). Each pond was chosen to represent a distinct region of the catchment (Regions A, B, and C), capturing local variations in hydrological and surface conditions. The selection was guided by a combination of factors, including accessibility, site integrity, security, and the practical feasibility of conducting fieldwork.
Importantly, each representative pond also reflects the characteristics of a broader cluster of surrounding stormwater ponds within its respective region, allowing for broader spatial inference. Table 1 summarises the location, surface area, and classification (detention or retention) of each selected pond.
Each pond exhibited distinct surface and subsurface characteristics that influenced test site selection and infiltration performance. In Ponds 1 and 3, localised wet zones restricted field testing in some areas. These persistently saturated patches—likely caused by shallow water tables or compacted, low-permeability soils—were observed in the northwestern sections of both sites (Figure 5a,c). In contrast, Pond 2 (Figure 5b) remained completely dry during the field campaign and is bordered by the channelised Lotus River, with no visible wet areas at the time of testing.
The infiltration test locations, also shown in Figure 5, were strategically selected to capture spatial variability within each pond. Observed field conditions such as vegetation cover and human/livestock activity also varied between sites. For example, Pond 1 is located in a densely populated residential area and exhibited signs of informal access and grazing, particularly in its wetter zones. In Pond 3, similar saturation was observed in the vegetated northwest quadrant. Some tests, especially in Pond 1, resulted in surface ponding due to dense surface crusting, indicating limited infiltration capacity in those areas.

2.2. Field Tests

The Double-Ring Infiltrometer (DRI) was employed due to its reliability, portability, and suitability for rapid in situ infiltration measurements under field conditions [23]. This method is widely used in hydrogeological investigations to quantify vertical water movement through the upper soil layers. It was assumed that the soil below the pond surface was relatively homogeneous within the 0.2 m depth of excavation, justifying its use for comparative surface and subsurface infiltration testing. Given the short duration of testing, groundwater fluctuations were assumed to be negligible. The outer ring served to minimise lateral flow, allowing infiltration within the inner ring to be interpreted predominantly as vertical flow.
Figure 6 and Figure 7 illustrate the DRI apparatus and experimental setup. Figure 6 presents the standard schematic of the test equipment, including the Mariotte cylinders used to maintain a constant hydraulic head. Figure 7 depicts the two specific field configurations used: surface testing (Setup 1) and sub-surface testing (Setup 2), the latter involving excavation to 20 cm depth to eliminate surface sealing effects and assess deeper infiltration potential.
At each of the three selected stormwater ponds, six infiltration tests were performed—three on the surface and three on the sub-surface—yielding a total of 18 tests. Test sites within each pond were selected to capture spatial variability, including differences in vegetation cover and surface conditions. Surface vegetation was cleared at sub-surface locations to reduce biological interference and isolate soil texture and compaction effects.
Vegetative cover at the sites ranged from sparse grasses to denser reed patches, influencing soil permeability through variations in root density, organic matter content, and evapotranspiration. Sub-surface testing also accounted for potential fine particle deposition caused by surface runoff, which is known to reduce infiltration capacity by clogging soil pores over time.
The DRI setup involved manually driving the 30 cm diameter inner and 60 cm diameter outer rings into the soil, maintaining a constant head of 25–150 mm using Mariotte cylinders. Valves were adjusted to equalise water levels in both rings, and the volume added to the inner ring was recorded at regular intervals. Infiltration rates were determined at steady-state conditions, defined as a rate change of less than 0.5% over five minutes. For more permeable soils, measurements were taken more frequently. To minimise evaporation, the rings were capped during testing.
The recorded infiltration data were used to generate cumulative infiltration (Fp) and incremental infiltration (fp) versus time plots, aiding in the estimation of infiltration parameters (Figure 8). Cumulative infiltration represents the total volume of water absorbed by the soil over time, while incremental infiltration refers to the volume infiltrated per unit time. The steady-state infiltration rate (fc) was derived from the slope of the linear portion of the cumulative infiltration curve.
To further interpret infiltration processes and estimate key parameters such as initial infiltration rate (f0), steady-state rate (fc), hydraulic conductivity (Ks), and soil capillary suction (Sc), the Horton [41] and Green–Ampt [42] equations were applied. Horton’s infiltration model is expressed as follows:
f p = f c + f 0 f c e λ t
which was linearised as ln(fp − fc) versus time to determine the infiltration decay coefficient (λ) from the slope and estimate f0 and fc from the regression intercept and asymptotic behaviour.
Green–Ampt’s equation [42], based on Darcy’s law [43], is given as
f p = K s 1 + n S c F p ,
and was simplified to
f p = m + η F p .
Here, the slope of the linear regression yields Ks, while the intercept (η) corresponds to nSc, enabling estimation of Sc using known porosity (n).
This analysis provided a robust framework for interpreting infiltration trends and estimating key hydraulic properties of the soil, which were later used for numerical modelling.

2.3. Laboratory Tests

Laboratory tests were conducted on soil samples collected adjacent to each DRI test location to determine key hydraulic and physical soil properties. It was assumed that recompacted samples prepared at their measured in situ bulk densities adequately replicated field conditions, thereby providing representative values for comparison.
Constant-head permeability (CHP) tests were performed on 36 samples: 18 disturbed samples stored in sealed plastic bags and 18 relatively undisturbed core samples retrieved using hollow steel tubes. All samples were labelled and dated based on their collection locations and depths to ensure traceability. The disturbed samples were also used for physical classification, including sieve analysis, which confirmed that the soils were predominantly coarse-grained, with over 90% of particles retained on the 0.075 mm sieve. Porosity values ranged from 0.27 to 0.51.
The overall CHP testing system, including water supply, flow direction, and sample assembly, is illustrated in Figure 9. This system allowed for the consistent application of a constant hydraulic head across the soil sample to assess saturated hydraulic conductivity. Each soil specimen was compacted at its respective field bulk density before testing.
To conduct the tests, a specially constructed permeability chamber was used to hold the soil specimen in place during saturation and testing. The chamber configuration and dimensions are shown in Figure 10, which also includes an image of a prepared soil specimen inside the chamber. This arrangement ensured uniform flow through the sample and allowed for accurate hydraulic conductivity measurements under steady-state flow conditions.
During testing, water flow was regulated to maintain a constant head difference (h) between the funnel and flask. Once equilibrium flow conditions were established, the outflow was collected in a graduated cylinder, and the collection time (t) was recorded using a stopwatch. Water temperature (T) was measured using a thermostat to account for viscosity effects.
Hydraulic conductivity (Ks, cm/h) was calculated using Darcy’s Law [43]:
K s = Q L A h t .
Here, Q is the volume of water collected (mL), t is the collection time (h), L is the vertical length of the soil specimen (60 cm), A is the cross-sectional area of the sample (31.2 cm2), and h is the vertical head difference (cm).
The insights gained from the field infiltration tests, laboratory classification, and permeability tests served as essential inputs for developing numerical models in HYDRUS 2-D.

2.4. HYDRUS-2D Models

Numerical simulations were performed using HYDRUS-2D to analyse groundwater flow beneath the stormwater ponds [44]. The software applies the finite element method for spatial discretisation and finite differences in time to solve the Richards equation, which governs water movement in unsaturated porous media [35,36,37,45]. It accounts for fluid flux, storage, and mass conservation.
Laboratory-measured soil particle size and bulk density data were incorporated using Rosetta-Lite, a built-in tool for estimating hydraulic conductivity and water retention properties.
Two modelling approaches were adopted:
  • Small-scale models to replicate field infiltration tests;
  • Large-scale models to estimate vertical water movement through the unsaturated zone to the water table, located approximately 5.5 m below the pond surfaces.

2.4.1. Simulation of Double-Ring Infiltrometer (DRI) Field Tests

The small-scale simulations focused on replicating field conditions during Double-Ring Infiltrometer (DRI) testing to analyse wetting front dynamics. Two model configurations were considered: (1) the DRI apparatus positioned directly on the pond surface and (2) the setup after removal of a 20 cm topsoil layer. The model domains were axisymmetric, with dimensions of 2 m (radial) and 1 m (vertical). These configurations are illustrated in Figure 11 and Figure 12 and were developed using boundary conditions and hydraulic parameters derived from field and laboratory measurements.
The finite element (FE) mesh was refined to a resolution of 1 cm around the DRI apparatus, gradually increasing to 5 cm towards the domain boundaries to optimise accuracy and computational efficiency. A constant pressure head of 15 cm was applied at the soil surface to simulate the conditions within the inner and outer rings of the DRI. No-flux boundary conditions were assigned to the bottom, left, and right edges of the domain to restrict lateral and vertical water movement beyond the tested region. The initial pressure head was set at −100 cm to replicate a representative unsaturated soil profile at the beginning of the simulation. All simulations were run for a 3 h duration, matching the field-testing period.
Figure 13 illustrates the two-dimensional axisymmetric model domain and boundary conditions applied in the HYDRUS 2-D simulations. Key numerical modelling parameters, including time discretisation, iteration limits, mesh characteristics, and boundary conditions, are summarised in Table 2.

2.4.2. Simulation of Water Movement to the Water Table

Building on the small-scale simulations, large-scale HYDRUS 2-D models were developed to evaluate vertical water movement through a deeper unsaturated profile. These simulations aimed to estimate the time required for the wetting front to reach the water table, located approximately 5.5 m below the pond surfaces.
The model domain represented a radial cross-section of a circular stormwater pond with a surface area of 0.79 ha. It extended 65 m radially and 6.5 m vertically to capture the unsaturated zone beneath the ponds. A constant pressure head of 100 cm was applied at the pond surface boundary to simulate rainy season ponding conditions. The model geometry used for these simulations is illustrated in Figure 14.
To ensure computational efficiency while maintaining spatial accuracy, a uniform finite element (FE) mesh resolution of 20 cm was applied across the domain. Figure 15 presents the complete HYDRUS 2-D model setup, including boundary conditions such as the applied constant surface pressure head, no-flux lateral boundaries, and a seepage face at the bottom boundary to simulate vertical drainage toward the water table. An initial hydrostatic pressure head of −100 cm was applied throughout the domain to simulate equilibrium conditions in the unsaturated zone prior to infiltration onset.
The simulation time ranged from 15 to 140 h, depending on the infiltration characteristics of each pond. Variability was linked to site-specific factors such as initial moisture content and soil permeability. The simulations continued until the wetting front reached the water table. A summary of the numerical model parameters and boundary conditions is presented in Table 3.

3. Results

3.1. Field Results

Field infiltration tests using the Double-Ring Infiltrometer (DRI) revealed significant variability in infiltration rates and hydraulic conductivity (Ks) across the three ponds. Horton’s and Green–Ampt methods were employed to estimate infiltration decay coefficients (λ) and hydraulic conductivity (Ks), respectively, providing insights into infiltration dynamics over time. Steady-state conditions were achieved at all investigated locations within three hours.

3.1.1. Infiltration Dynamics in Pond 1

The results from six infiltration tests conducted in Pond 1—three at the surface and three at the sub-surface level—are presented in Figure 16, showing cumulative infiltration (Fp) and infiltration rate (fp) over time for Pond 1 at surfaces of test location 1, 2 and 3 (Figure 16a, c and e respectively) and below surfaces for test location 1, 2 and 3 (Figure 16b, d and f respectively)—see details in Figure 5a. Surface tests followed a typical trend, with infiltration rates decreasing rapidly during the first hour and stabilising thereafter between 2.5 and 12.5 cm/h. Corresponding cumulative infiltration curves rose sharply at first and then plateaued, reaching between 8 and 45 cm after three hours.
In contrast, sub-surface tests exhibited atypical patterns, where infiltration rates increased initially before levelling off. These tests yielded initial rates 99% lower and steady-state rates 95% lower than their surface counterparts.
The consistently low sub-surface infiltration rates—each below 0.5 cm/h—are indicative of compacted or sealed topsoil layers, likely a result of anthropogenic activity such as foot traffic or informal recreational use. This compaction may have significantly reduced pore connectivity and vertical water movement, explaining the suppressed infiltration behaviour observed beneath the surface.

3.1.2. Infiltration Dynamics in Pond 2

Infiltration tests in Pond 2 revealed variable trends across test locations, as illustrated in Figure 17 for Pond 2 at surfaces of test location 1, 2 and 3 (Figure 17a, c and e respectively) and below surfaces for test location 1, 2 and 3 (Figure 17b, d and f respectively)—see details in Figure 5b. Surface tests generally followed expected patterns: Location 2 exhibited a rapid decline in infiltration rate within the first two hours before stabilising; Location 3 stabilised earlier—within 30 min—while Location 1 fluctuated throughout, only declining towards the final hour.
Initial surface infiltration rates ranged from 10 to 40 cm/h, with steady-state values between 5 and 31 cm/h. Sub-surface tests produced significantly lower infiltration rates, averaging 45% less than surface values. Critically, at sub-surface Location 2, no measurable infiltration occurred over the entire three-hour test duration, indicating a complete infiltration failure. During testing, water ponded persistently on the surface, suggesting the presence of a near-impervious seal formed by compacted sediment or deposited fines—a condition likely exacerbated by poor drainage and prolonged saturation. Cumulative infiltration across all locations ranged from 0 to 97 cm and generally increased linearly after stabilisation.
The higher infiltration potential observed at other locations within Pond 2 may be attributed to its relatively dry and loosely compacted surface during testing, owing to its separation from the adjacent wetland by the channelised Lotus River. These conditions likely facilitated enhanced infiltration, particularly under saturated or ponded scenarios.

3.1.3. Infiltration Dynamics in Pond 3

Infiltration trends observed in Pond 3 are illustrated in Figure 18—for Pond 3 at surfaces of test location 1, 2 and 3 (Figure 18a, c and e respectively) and below surfaces for test location 1, 2 and 3 (Figure 18b, d and f respectively)—see details of test locations in Figure 5c. Surface tests at Locations 1 and 2 produced consistently low rates, with both initial and steady-state values hovering around 6.2 cm/h and 5.0 cm/h, respectively. In contrast, Location 3 recorded significantly higher and consistent infiltration rates, remaining at 23.5 cm/h throughout the three-hour test.
Sub-surface tests, conducted adjacent to the surface locations after removing the top 20 cm of compacted soil, demonstrated linear infiltration trends. In all three locations, sub-surface steady-state rates (7.5–20 cm/h) exceeded their surface counterparts, in some cases by more than 100%.
This anomaly is attributed to the removal of surface-deposited fines, which likely clogged pores and restricted infiltration during surface tests. Visual observations confirmed that the subsurface soil in Pond 3 was notably less compacted and comprised coarser sand compared to Ponds 1 and 2. These favourable subsurface conditions explain the reversed trend of subsurface infiltration exceeding surface infiltration in this pond.

3.1.4. Comparison of Infiltration Ranges Across Ponds

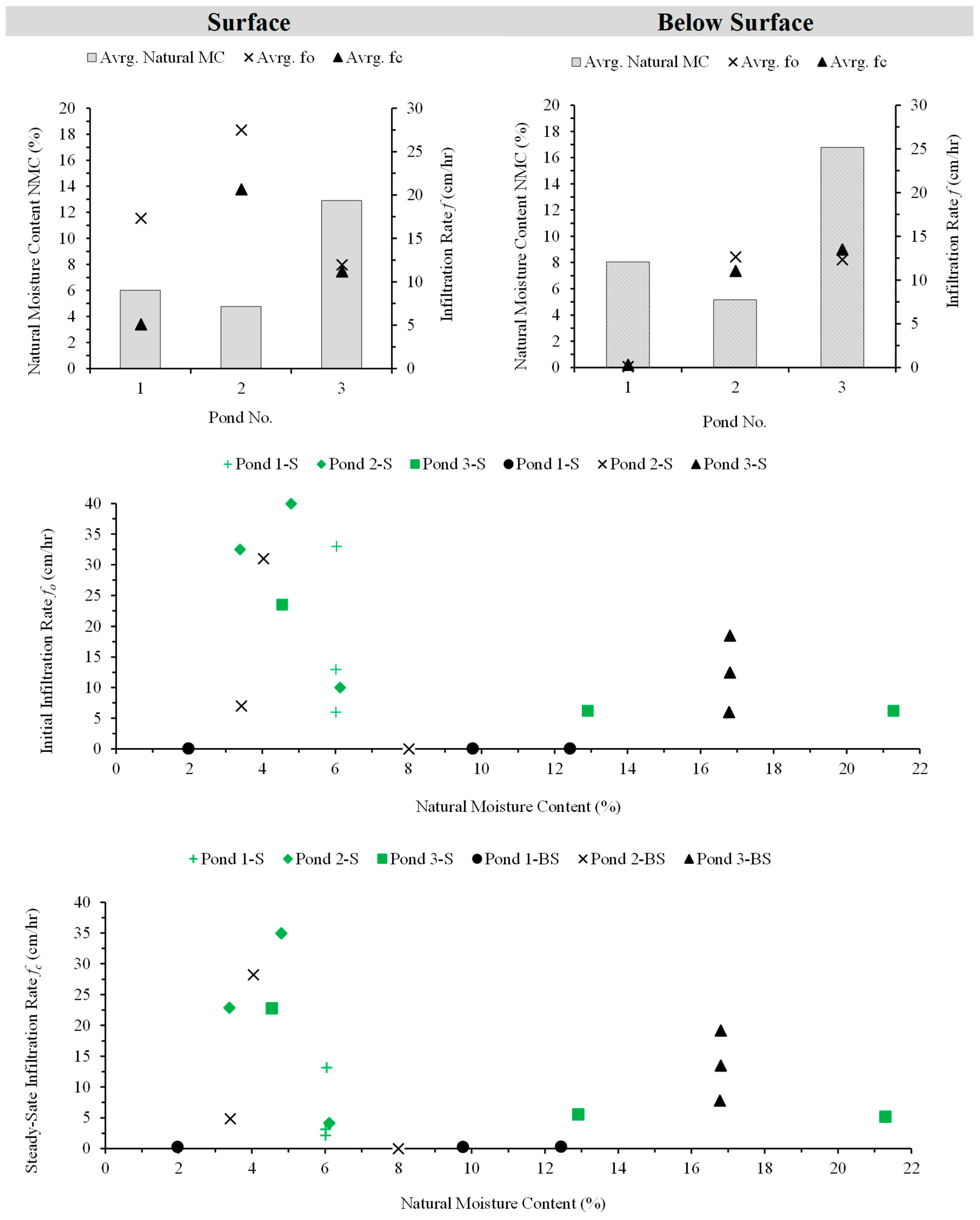
To further contextualise the infiltration dynamics, Figure 19 compares the minimum and maximum infiltration values across Ponds 1, 2, and 3. The graphs illustrate both cumulative infiltration (Fp) and steady-state infiltration rates (fc) under surface and sub-surface conditions.
Among the three ponds, Pond 2, a retention-type pond, exhibited the highest infiltration capacity under ponded conditions, with steady-state rates reaching up to 31 cm/h during surface tests. This performance may be linked to its relatively drier and less compacted surface, confirmed through moisture content analysis (Section 3.3.3), and its limited vegetation coverage. However, a complete infiltration failure occurred at sub-surface Test Location 2, where no water infiltrated over the three-hour test period. This result underscores the potential impact of localised clogging or crusting, possibly caused by compacted sediment or sediment sealing at depth—even in ponds with otherwise high infiltration performance.
In Pond 1, a detention pond, infiltration performance was more variable. All sub-surface tests produced very low steady-state infiltration rates—each below 0.5 cm/h—indicating widespread compaction or low-permeability sublayers likely linked to prolonged recreational use and fine particle deposition. This uniform limitation across all three sub-surface test sites reinforces the notion of a structurally dense layer impeding vertical infiltration across the pond floor.
Pond 3, also a detention pond, showed a contrasting trend where sub-surface infiltration consistently exceeded surface values. This can be attributed to the removal of the top 20 cm surface layer during sub-surface testing, which may have eliminated compacted or biologically sealed strata and re-established hydraulic continuity with the deeper, coarser sandy layers.
These observations highlight the importance of both natural and anthropogenic factors—such as vegetation, compaction, and land use—in shaping infiltration performance. Additionally, differences in original design intent (retention versus detention) may have contributed to spatial variability in infiltration capacity across the ponds.
Building on these findings, a broader analysis of Horton’s [41] infiltration parameters is presented in the following section to deepen understanding of site-specific infiltration dynamics.

3.1.5. Horton’s Decay Coefficient and Steady-State Infiltration Rate

Horton’s [41] infiltration model characterises the temporal decline in infiltration rate through two key parameters: the decay coefficient (λ) and the steady-state infiltration rate (fc). These metrics reflect the soil’s permeability and the degree of compaction or surface sealing.
Figure 20 presents the relationship between average λ and fc across the three ponds. Pond 1 exhibited the highest λ (2.0) and the lowest fc (3.1 cm/h), indicating a rapid infiltration decline typically associated with compacted or low-permeability conditions. Pond 2, by contrast, had the lowest λ (0.4) and highest fc (15.6 cm/h), reflecting more sustained infiltration behaviour under ponded conditions. Pond 3 yielded intermediate values (λ = 0.7, fc = 12.5 cm/h), consistent with the mixed infiltration responses observed across its test locations.
These findings highlight the inverse relationship between λ and fc and reinforce their utility in evaluating infiltration performance. They also emphasise the relevance of incorporating decay dynamics into stormwater pond design—particularly in systems susceptible to surface sealing or sediment accumulation over time.

3.1.6. Hydraulic Conductivity Derived from Green–Ampt Parameters

Hydraulic conductivity (Ks) is a critical soil property that governs infiltration by quantifying the ability of a material to transmit water under a hydraulic gradient [35,46]. Using field DRI test data and the Green–Ampt model [42] (Equation (2)), Ks values were calculated for each test location within the three ponds and are presented in Figure 21.
Pond 1 exhibited the lowest mean Ks values, consistent with compacted surface conditions and limited permeability. Pond 2 recorded the highest Ks values overall, reflecting its enhanced infiltration capacity under ponded conditions. Pond 3 showed intermediate values aligned with its mixed infiltration behaviour discussed previously. Notably, Ks values varied considerably across test locations, especially at the surface of Pond 2, where Ks ranged from 3.8 to 32.6 cm/h. This variability likely reflects localised differences in soil texture, structure, vegetation cover, surface sealing, and the presence of unconsolidated sands.

3.2. Laboratory Results

Laboratory analyses were performed to characterise the hydraulic and physical properties of soil samples collected from the three ponds. The results offer key insights into particle size distribution, flow rates, hydraulic conductivity (Ks), and related properties, providing a basis for interpreting the field infiltration trends. These laboratory measurements complement the field observations by allowing controlled comparisons of soil texture, grain size, and permeability. Understanding such characteristics is essential for evaluating infiltration potential, sediment mobility, and long-term performance of stormwater pond systems.

3.2.1. Particle Size Distribution

Particle size analyses, illustrated in Figure 22, confirmed that the soils across all three ponds are predominantly coarse-grained and sandy, with only minor variations between surface and sub-surface samples.
Based on the Unified Soil Classification System (USCS) [47], surface soils from Pond 1 were classified as poorly graded sand with silt (SP-SM), while both surface and sub-surface soils from Ponds 2 and 3 were categorised as poorly graded sands (SP).
The grading curves further reveal that grain size distributions are relatively uniform within each pond, supporting the observed similarities in field hydraulic behaviour—particularly at Pond 3, where infiltration was high and consistent across depths. Slight deviations in the fine fraction observed in Pond 1 samples may explain its lower infiltration rates, as finer particles can clog pore spaces and reduce permeability. These particle size trends provide a foundation for interpreting subsequent laboratory hydraulic conductivity results and modelling inputs.

3.2.2. Flow Rates from Constant-Head Permeameter Tests

The permeability of soil samples from the three ponds was investigated using the Constant-Head Permeameter (CHP) test. A near-uniform hydraulic gradient (i) was maintained across all samples using the relationship:
i = h L ,
where h is the applied head difference, and L is the sample length (fixed at 60 mm). The resulting average gradient was 9.7. Flow rates (Q) were computed as
Q = V A t ,
where V is the volume of water passing through the sample (cm3), A is the cross-sectional area (cm2), and t is the duration (h).
Figure 23 shows that surface soils exhibited higher flow rates than sub-surface samples across all ponds, aligning with field infiltration trends. This decline in depth likely reflects reduced pore connectivity due to compaction or fine sediment accumulation. Pond 2 recorded the highest surface flow rates (50–71.9 cm/h), followed by Pond 3 (23.6–29.9 cm/h), while Pond 1 remained consistently low (~4.0 cm/h). Sub-surface flow rates were also greatest in Pond 2 (6.5–9.8 cm/h), with Ponds 1 and 3 ranging between 0.8 and 5.2 cm/h. These results reinforce the higher permeability of Pond 2 soils and its superior field infiltration performance.

3.2.3. Hydraulic Conductivity from Laboratory Constant-Head Permeameter Test

Laboratory hydraulic conductivity (Ks) values were calculated using Equation (4) and the measured flow rates. As shown in Figure 24, surface samples exhibited higher conductivities compared to sub-surface ones. Surface soils from Pond 2 had the highest Ks (23.5–65.8 cm/h), followed by Pond 3 (21.7–27.4 cm/h) and Pond 1 (3.6 cm/h). Sub-surface hydraulic conductivities ranged from 0.7 cm/h (Pond 1) to 6.2 cm/h (Pond 2), reflecting the influence of compaction and reduced void spaces at depth.

3.3. Comparison Between Field and Laboratory Results

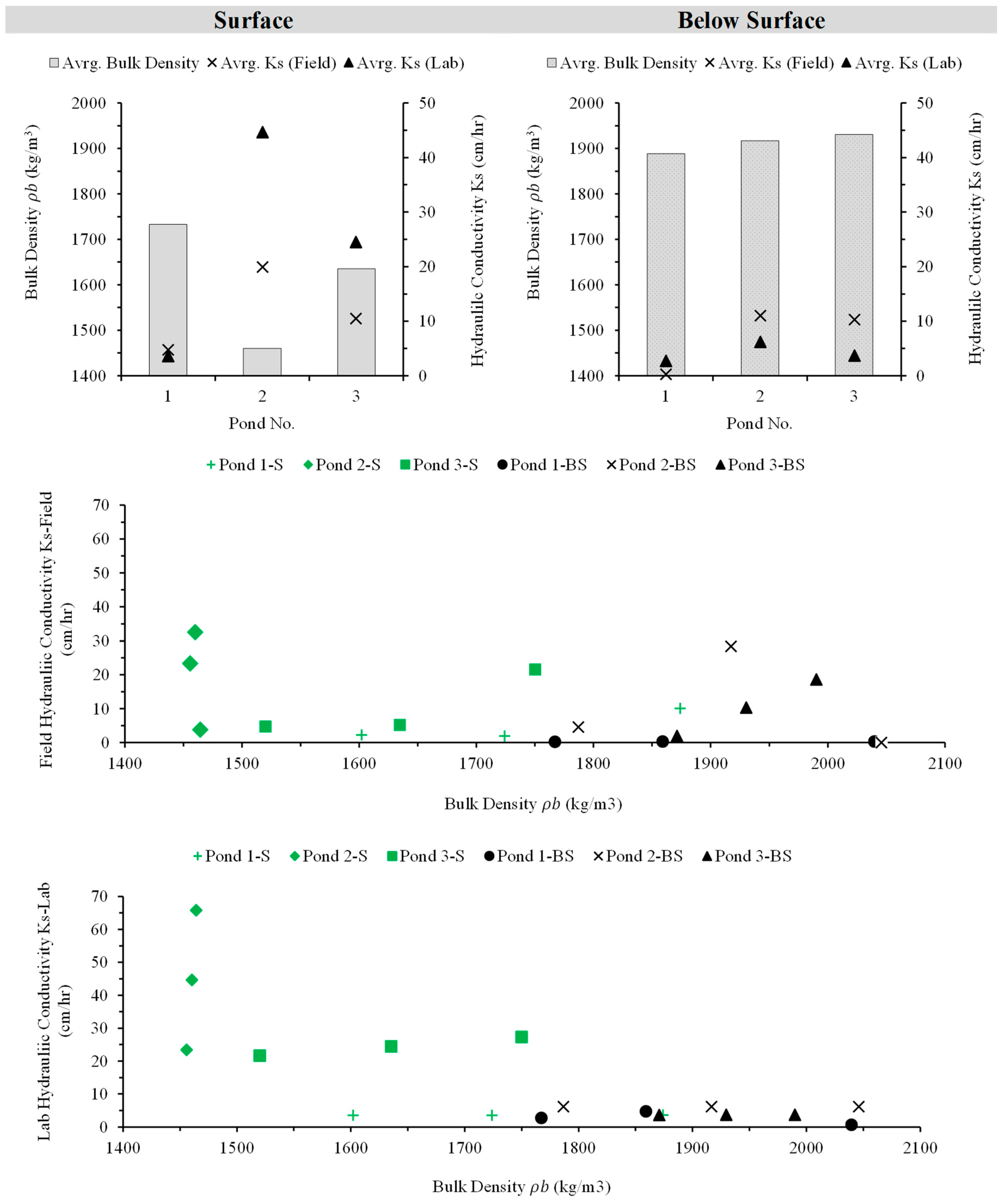
3.3.1. Hydraulic Conductivity Variation with Soil Effective Grain Size

Hydraulic conductivity (Ks) variations were analysed in relation to effective grain size (D10), defined as the particle diameter at which 10% of the sample is finer [47]. Surface soil D10 values for Ponds 1, 2, and 3 averaged 0.10 mm, 0.15 mm, and 0.16 mm, respectively, while subsurface values ranged from 0.10 mm (Pond 1) to 0.17 mm (Pond 2) and 0.14 mm (Pond 3).
Empirical correlations, such as Beyer’s (1964) [48] equation, are commonly used to estimate Ks for coarse-grained soils and expressed as
K s , B e y e r = C D 10 2 ,
where Ks,Beyer (cm/h) is the estimated hydraulic conductivity, D10 (mm) is the effective grain size, and C is a dimensionless constant defined as
C = 4.5 × 10 3 l o g 500 C u ,
with Cu being the uniformity coefficient (D60/D10). The estimated C values ranged from 9.7 × 10−3 to 1.1 × 10−2, yielding hydraulic conductivity values as summarised in Table 4.
Beyer’s [48] correlation significantly overestimated Ks values across all test locations, with discrepancies of up to 100 times, particularly for subsurface measurements. This overestimation suggests that Beyer’s equation is unsuitable for the fine-to-medium sand compositions found in the Zeekoe Catchment, likely due to its assumptions regarding well-sorted granular materials. The results reinforce the need for site-specific calibration of empirical models to account for local soil heterogeneity.
As shown in Figure 25, Ks,field versus (D10)2 exhibited a general linear trend, while laboratory hydraulic conductivity (Ks,lab) followed a steeper positive slope. These findings underscore the critical role of effective grain size in soil permeability, with coarser soils, such as those in Pond 2, exhibiting higher Ks values due to larger pore spaces. Conversely, the finer-grained soils in Pond 1 corresponded to lower infiltration rates, particularly in compacted sub-surface layers.

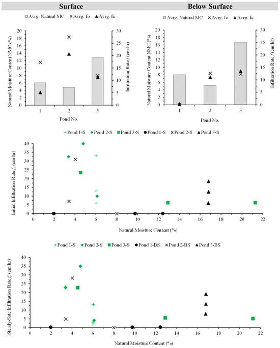
3.3.2. Influence of Moisture Content on Infiltration Rates

Figure 26 explores the relationship between infiltration rates and the natural moisture content (NMC) of the soil. Moisture content influences sorptivity—the soil’s ability to absorb water—which tends to be greater in drier soils [35,49]. Higher initial infiltration rates (fo) are typically associated with low NMC due to increased water absorption capacity. Sorptivity is often approximated as the slope of cumulative infiltration (Fp) versus the square root of time [49].
While some trends supported this expectation—such as the general difference between fo and steady-state infiltration rates (fc) in drier soils—a consistent correlation between NMC and infiltration rates (fp) was not observed across all test locations.
Pond 3 soils had the highest NMC yet showed a minimal difference between fo and fc, indicating limited absorption potential despite moisture presence. In Pond 2, surface and sub-surface soils had similar NMC, but surface infiltration rates were notably higher, likely due to sub-surface compaction impeding flow. Pond 1, with moderate NMC, was nearly impermeable below the surface, consistent with the presence of a dense, sealed subsurface layer.
Although NMC values generally ranged from 3 to 7%, some exceeded 20%. Despite the lack of a direct relationship between NMC and infiltration rates, general trends suggest that soil structure and compaction exert greater control over infiltration behaviour than moisture content alone.

3.3.3. Relationship Between Porosity and Bulk Density

Compaction reduces air voids in soil, leading to increased bulk density (ρb) and a corresponding reduction in porosity (n). This inverse relationship can be expressed as
n 1 ρ b ,
highlighting that higher ρb results in lower n. Figure 27 presents the measured porosity and bulk density values for the investigated ponds.
Surface soils exhibited higher porosity and lower bulk density compared to sub-surface soils. For instance, the average surface porosity (n) was 0.32, 0.44, and 0.43 for Ponds 1, 2, and 3, respectively, with corresponding ρb values of 1733, 1460, and 1635 kg/m3. Sub-surface soils, on the other hand, showed lower porosities (0.33, 0.30, and 0.38) and higher bulk densities (1889, 1917, and 1930 kg/m3).
While the general inverse relationship was evident, localised variations in soil texture and compaction affected the clarity of trends across the test sites. These results underscore the role of ρb and porosity in influencing soil structure and infiltration behaviour.

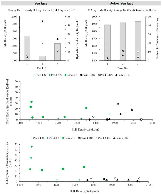
3.3.4. Hydraulic Conductivity Variation with Bulk Density

The relationship between soil hydraulic conductivity (Ks) and bulk density (ρb) is shown in Figure 28. Given the inverse relationship between porosity and bulk density (Equation (8)), a similar trend was expected between Ks and ρb. Hydraulic conductivity, which depends on porosity, reflects the ease of water movement through the soil as described by Green–Ampt’s [42] equation (Equation (2)).
Surface soils typically exhibited higher Ks values with lower ρb across the three ponds. For instance, surface samples from Pond 2, with the lowest mean ρb (1460 kg/m3), corresponded to the highest Ks,field (19.9 cm/h) and Ks,lab (44.7 cm/h). Sub-surface soils, however, exhibited less variation, with lower mean Ks values generally corresponding to higher ρb. Pond 1 had the lowest sub-surface ρb (1889 kg/m3) but also the lowest Ks,field (0.3 cm/h) and Ks,lab (2.8 cm/h). Overall, laboratory-derived Ks values showed a clearer inverse correlation with ρb compared to field-derived values, likely due to the controlled nature of lab tests and the variability of in situ conditions.

3.4. Summary of Experimental Results

Table 5 presents the average physical and hydraulic properties of the soils sampled from the three ponds, based on surface (<200 mm) and sub-surface (200–400 mm) layers at three locations per pond. A graphical synthesis incorporating deeper borehole data (Figure 29) complements this summary.
Soils in Pond 2 were characterised by higher effective grain sizes (D10, D30, D60) and lower uniformity coefficients, consistent with observed higher infiltration rates and laboratory flow values. The significant contrast between field and laboratory hydraulic conductivities—especially in Pond 1—reflects the influence of surface compaction, clogging, and environmental variability. Notably, sub-surface layers in Pond 1 exhibited extremely low Ks and infiltration rates, confirming the presence of near-impervious conditions. Conversely, in Pond 3, comparable values between surface and sub-surface layers suggest minimal structural impedance to vertical flow. These observations are reinforced by variations in porosity, bulk density, and moisture content, underscoring the complex interaction between soil texture, structure, and infiltration dynamics.

3.5. HYDRUS-2D Simulation Results

3.5.1. Simulation Results of Double-Ring Infiltrometer

The HYDRUS-2D model was used to simulate Double-Ring Infiltrometer (DRI) tests, incorporating laboratory and field data as model inputs. These simulations aimed to evaluate infiltration behaviour observed in the field, particularly the distribution of pressure head and water movement over time. Figure 30 presents the simulated pressure head distribution after three hours, illustrating the movement of water through the underlying soil layers.
Water infiltrated in both vertical and lateral directions, influenced by the setup of the infiltration rings. Vertical flow was governed by water entering through the inner ring (30 cm diameter), while lateral movement resulted from capillary action and water infiltration from the outer ring (60 cm diameter). The outer ring’s wetted surface area (2121 cm2) was significantly larger than that of the inner ring (706 cm2), resulting in greater lateral infiltration compared to vertical movement (Figure 31). The flow pattern was more uniform in Ponds 2 and 3, likely due to their similar soil properties, whereas Pond 1 displayed irregular flow paths, indicative of spatial variability in soil permeability.
Cross-sections taken along the DRI centreline (Figure 32) illustrate infiltration depth variation with pressure head. The wetting front reached greater depths in ponds with higher hydraulic conductivities, with Pond 2 showing the deepest infiltration (~100 cm), aligning with its preferential hydraulic properties. In contrast, Pond 1 exhibited shallower infiltration depths, consistent with its lower permeability. A strong correlation was observed between hydraulic conductivity and infiltration depth, reinforcing trends observed in both field and laboratory investigations.
These small-scale simulations provided insights into localised infiltration dynamics; however, understanding the broader impact of infiltration on groundwater recharge required larger-scale simulations, as explored in the following section.

3.5.2. Simulation Results of Water Movement to the Water Table

Building upon the localised infiltration processes examined in the DRI simulations, larger-scale HYDRUS-2D modelling was conducted to evaluate the movement of water from pond surfaces to the groundwater table (5.5 m deep). The model incorporated soil properties derived from field and laboratory data for the upper soil layers (0–40 cm) and was extended to greater depths using borehole log data from the surrounding area [32].
Figure 33 presents the pressure head distribution at various time intervals, illustrating the duration required for the wetting front to reach the water table in each pond.
The simulated infiltration rates and wetting front propagation varied considerably across the three ponds. Pond 2 exhibited the highest infiltration rate (36.7 cm/h), reaching the water table within 15 h, followed by Pond 3 (22.0 cm/h, 25 h). In contrast, Pond 1 displayed the lowest infiltration rate (3.9 cm/h), taking 140 h to reach the water table. The slower infiltration observed in Pond 1 was attributed to denser, low-permeability underlying layers, consistent with findings from field infiltration tests.
Despite these differences, lateral wetting front displacement remained relatively uniform across the ponds. Ponds 2 and 3 exhibited a lateral wetting front spread of 3.5 m (expanding from an initial radius of 50 m to approximately 53.5 m), whereas Pond 1 showed a lateral movement of 3.0 m. This behaviour aligns with observed variations in soil permeability, where compacted or finer-grained layers restricted vertical infiltration but facilitated some lateral water movement.
Vertical cross-sections along the pond centre lines illustrate the propagation of the wetting front in terms of pressure head (Figure 34). The pressure head variations in Ponds 2 and 3 exhibited strong agreement at various depths, particularly upon reaching the water table, due to their similar soil properties, in contrast to Pond 1.
Modelling results indicated a reduced infiltration rate in Pond 1, attributed to a low-permeability surface layer, which became evident within the first 5–10 h of the simulation. However, beyond a depth of 40 cm, this reduction in infiltration rate was negligible. The surface layer of the ponds plays a crucial role in overall infiltration performance.
To evaluate the impact of surface clogging, the hydraulic conductivity (Ks) of the upper 20 cm soil layer was varied in a scenario-based analysis, adjusting it from field-measured values to three additional soil types: sandy clay (Ks = 0.1 cm/h), sandy clay loam (Ks = 1.0 cm/h), and silty sand (Ks = 10.0 cm/h). The influence of these surface hydraulic conductivity variations in infiltration depth and rate is summarised in Table 6, while Figure 35 presents the corresponding wetting front profiles under different surface conditions.
Reducing the surface layer hydraulic conductivity (Ks) in Pond 1 from 4.8 cm/h (in situ) to 0.1 cm/h decreased the infiltration rate from 3.9 cm/h to 2.8 cm/h, with the wetting front depth reducing by 150 cm (from 550 cm to 400 cm) over 140 h.
The most restrictive scenario across was the 20 cm sandy clay surface crust layer (Ks = 0.1 cm/h), which significantly delayed the wetting front reaching the water table. The time increased by 53 h in Pond 1 (140 to 193 h), 3 h in Pond 2 (15 to 18 h), and 2 h in Pond 3 (25 to 27 h).
Field infiltration tests showed no improvement in measured infiltration rates when conducted 20 cm below the pond surface, suggesting the presence of a low-permeability crust layer. This crust likely formed due to runoff deposition and sieving, leading to a microstructure with distinct layered formations over time [50]. Interestingly, infiltration rates were higher when measured at the pond surface compared to 20 cm below, reinforcing the existence of a deeper layer with reduced hydraulic conductivity.

3.6. Variation in Hydraulic Conductivity and Infiltration Rates

3.6.1. Discrepancies Between Field and Lab Hydraulic Conductivity Measurements

Hydraulic conductivity (Ks) exhibited significant variability across the investigated ponds, with field-measured values fluctuating by more than an order of magnitude within the same pond. This variability reflects the inherent spatial heterogeneity in soil properties. To quantify these differences, statistical analyses were conducted following Moriasi et al. (2007) [51]. The mean, standard deviation, and coefficient of variation (CV) for both field infiltration and laboratory permeability tests are summarised in Table 7a,b.
The CV, calculated as the ratio of standard deviation to the mean, classified variability as weak (≤10%), moderate (10–100%), or strong (≥100%) [52]. Field Ks values exhibited greater variability than laboratory tests, with CV exceeding 100% in Pond 2’s sub-surface, indicating localised impermeable layers. In contrast, laboratory results were more consistent due to controlled conditions.
Pond 3 displayed similar CV values for both surface and sub-surface tests, suggesting homogeneous soil properties. These results confirm that field tests capture in situ heterogeneity, whereas laboratory tests provide controlled permeability estimates. Following ASTM [23], Ks is best considered an index property akin to moisture content and particle size distribution due to its sensitivity to boundary conditions.

3.6.2. Comparison of Field-Measured and Simulated Infiltration Rates

A comparison between field-measured steady-state infiltration rates (fc) and simulated infiltration rates from HYDRUS-2D is presented in Table 8. In all cases, the simulated infiltration rates were higher than those measured in the field, with percentage differences ranging from 67% to 182%, despite both tests being conducted over the same 3 h duration. These discrepancies highlight model sensitivity to near-surface heterogeneity and the influence of low-permeability layers at greater depths. The largest variations were observed for subsurface infiltration, suggesting that stratified layers with reduced permeability significantly impeded vertical water movement.

4. Discussion

The findings of this study demonstrate the feasibility of repurposing stormwater detention and retention ponds for managed aquifer recharge (MAR) in the Zeekoe Catchment. The three investigated ponds—strategically selected for their distribution across the catchment—exhibited contrasting infiltration behaviours due to variations in local soil characteristics and subsurface structure. Field infiltration tests, laboratory permeability analyses, and HYDRUS-2D simulations all revealed significant variability in infiltration performance. Pond 2 exhibited the highest infiltration capacity (20.6 cm/h), while Pond 1 demonstrated the lowest, largely due to the presence of dense, low-permeability sublayers.
A positive correlation was observed between potential infiltration depth and infiltration rate, suggesting that areas with deeper percolation capacity are better suited for groundwater recharge. As shown in Figure 36, Pond 2—located centrally within the catchment—aligns with zones of higher infiltration potential, positioning it as a technically and strategically favourable recharge zone.
Discrepancies observed between field, laboratory, and simulated hydraulic conductivity values were notable. Field measurements captured the natural heterogeneity of the in situ soil structure, whereas laboratory tests reflected more idealised, controlled conditions, leading to lower variability and greater consistency. Meanwhile, HYDRUS-2D simulations tended to overestimate infiltration compared to field results, largely due to simplified assumptions that overlooked compacted or low-permeability sub-layers encountered during site investigations. To harmonise these results, future efforts could employ inverse modelling calibrated against field data and refine soil layering within the model domain. Additionally, incorporating geostatistical interpolation of field-measured data may improve spatial accuracy and simulation reliability.
To assess the practical viability of these findings, comparisons were made with established MAR schemes operating under similar semi-arid conditions. In Australia, the Salisbury project recharges approximately 0.5–1.0 million m3/year via stormwater treated in wetlands, equating to 1370–2740 m3/day [7,8]. In Namibia, the Windhoek MAR scheme contributes 2–8 million m3/year from a combination of dam water and treated wastewater, or about 5480–21,920 m3/day [9,10]. By comparison, Pond 2 in this study demonstrates a theoretical daily infiltration potential of up to 20,600 m3/day, placing it well within the operational range of these internationally recognised schemes. This comparison strengthens the case for decentralised stormwater-based recharge as a viable strategy for Cape Town.
A local comparison was also made with the Atlantis Water Resource Management Scheme (AWRMS), situated approximately 50 km north of Cape Town. The Atlantis system achieves recharge rates of 0.04–0.46 cm/h, classified as very low to low infiltration capacity, as shown in Table 9 [49]. In contrast, the infiltration rates measured in this study—especially in Pond 2—were significantly higher, reinforcing their potential for augmenting local groundwater reserves.
Unlike Atlantis, which operates under controlled, restricted-access conditions, the ponds in the Zeekoe Catchment are embedded in residential zones and remain open to public use. This makes sustained high infiltration rates essential, not only to maximise recharge but also to prevent prolonged surface ponding, which could pose health and safety concerns such as mosquito breeding or drowning risks. With observed infiltration rates far exceeding minimum requirements, these multi-functional urban ponds could be integrated into Cape Town’s broader water security planning.
The observed variability in infiltration behaviour across the three ponds carries practical implications for real-world MAR implementation. Field-based evidence indicates that removing or loosening compacted topsoil layers, simulated through sub-surface DRI testing, can markedly enhance infiltration capacity. This presents a low-cost and operationally feasible intervention when retrofitting existing ponds for recharge. Additionally, local site conditions such as soil moisture content, vegetation cover, and evidence of soil sealing must be factored into MAR site selection and management. Ponds with drier topsoils, minimal compaction, and sparse vegetation are more likely to support higher infiltration during dry seasons when recharge opportunities are most beneficial and surface ponding risks are minimised.
These findings suggest that surface scarification or excavation of low-permeability surface layers could significantly improve recharge performance, especially in urban environments where land availability is constrained. Such interventions, coupled with routine maintenance and hydrological monitoring, could enable sustainable and effective use of existing stormwater ponds as decentralised MAR assets.

5. Conclusions

This study demonstrated the feasibility of adapting existing stormwater detention and retention ponds as recharge basins to support managed aquifer recharge (MAR) in the Cape Flats Aquifer (CFA) of Cape Town. Through field infiltration experiments, laboratory permeability testing, and HYDRUS-2D numerical simulations, significant spatial variability in infiltration capacity was observed, reflecting the heterogeneity of local soil conditions and subsurface structure.
The findings highlight that urban stormwater ponds, especially those underlain by more permeable sandy soils and minimal compaction, present promising opportunities for groundwater augmentation. Notably, removing compacted surface layers was found to enhance infiltration performance, offering a practical and low-cost intervention for retrofitting existing ponds. This aligns with previous findings from MAR projects in Australia and Namibia, where modified surface conditions and decentralised infrastructure contributed to successful long-term recharge outcomes [7,8,9,10].
When benchmarked against international and local schemes, such as the Salisbury wetlands-based MAR system in Australia and the Atlantis Water Resource Management Scheme in South Africa, the Zeekoe Catchment ponds exhibit favourable recharge characteristics. These results underscore the potential for integrating stormwater infiltration into broader urban water resource planning, particularly in semi-arid cities where decentralised, multi-functional infrastructure is essential.
Although recharge times under real-world conditions may exceed those predicted by simulations due to subsurface geological complexities not fully captured in the model, they are expected to remain within practical limits for MAR implementation. Importantly, Pond 2 served as a representative site for stormwater ponds situated in the central region of the Zeekoe Catchment, a region that consistently demonstrated favourable infiltration potential. This reinforces the strategic value of targeting centrally located ponds for recharge interventions, where soil permeability, infiltration performance, and hydrological positioning align most strongly with MAR objectives. These findings support the integration of decentralised stormwater management and MAR strategies as a sustainable approach to strengthening urban water security in Cape Town and similar semi-arid cities.

Author Contributions

Writing—original draft, Conceptualisation, Methodology, Investigation, Formal analysis, Visualisation, K.P.M.; Supervision, Conceptualisation, Methodology, Funding acquisition, Project administration, Writing—review and editing, D.K.; Supervision, Conceptualisation, Methodology, Writing—review and editing, J.O.; Conceptualization, Supervision, Writing—review & editing, N.P.A. All authors have read and agreed to the published version of the manuscript.

Funding

The authors acknowledge the funding provided by the Water Research Commission WRC project no. 2526/1/22 within the Future Water Institute at the University of Cape Town for supporting the principal researcher.

Data Availability Statement

Data will be available upon request.

Acknowledgments

The authors acknowledge HYDRUS-2D for awarding a student grant to use the software licence.

Conflicts of Interest

The authors declare that the research was conducted in the absence of any commercial or financial relationships that could be construed as potential conflicts of interest.

References

  1. Pitman, W.V. Overview of water resource assessment in South Africa: Current state and future challenges. Water SA 2011, 37, 659–664. [Google Scholar] [CrossRef]
  2. Mudefi, E. Perspectives on 2018 ‘water crisis management’ in Cape Town, South Africa: A systematic review. Int. J. Water 2023, 19, 248–274. [Google Scholar] [CrossRef]
  3. Warner, J.F.; Meissner, R. Cape Town’s “Day Zero” water crisis: A manufactured media event? Int. J. Disaster Risk Reduct. 2021, 64, 102481. [Google Scholar] [CrossRef]
  4. City of Cape Town. Water Outlook 2018 Report; Department of Water and Sanitation, City of Cape Town: Cape Town, South Africa, 2018. Available online: https://resource.capetown.gov.za/documentcentre/Documents/City%20research%20reports%20and%20review/Water%20Outlook%202018_Rev%2030_31%20December%202018.pdf (accessed on 15 January 2025).
  5. Stefan, C.; Ansems, N. Web-based global inventory of managed aquifer recharge applications. Sustain. Water Resour. Manag. 2018, 4, 153–162. [Google Scholar] [CrossRef]
  6. Dillon, P.; Toze, S.; Page, D.; Vanderzalm, J.; Bekele, E.; Sidhu, J.; Rinck-Pfeiffer, S. Managed aquifer recharge: Rediscovering nature as a leading edge technology. Water Sci. Technol. 2010, 62, 2338–2345. [Google Scholar] [CrossRef]
  7. Dillon, P.; Pavelic, P.; Page, D.; Beringen, H.; Ward, J. Managed Aquifer Recharge: An Introduction; Waterlines Report Series No. 13; National Water Commission: Canberra, Australia, 2009; pp. 1–76. Available online: https://recharge.iah.org/files/2016/11/MAR_Intro-Waterlines-2009.pdf (accessed on 10 March 2025).
  8. Page, D.; Vanderzalm, J.; Barry, K.; Levett, K.; Kremer, S.; Ayuso-Gabella, N.; Dillon, P.; Toze, S.; Sidhu, J.; Shackleton, M. Operational Residual Risk Assessment for the Salisbury Stormwater ASTR Project. In Water for a Healthy Country National Research Flagship Report; CSIRO: Perth, WA, Australia, 2009. [Google Scholar]
  9. Murray, R.; Tredoux, G.; Ravenscroft, P.; Botha, F. Artificial Recharge Strategy—Version 1.3. In Strategy Development: A National Approach to Implement Artificial Recharge as Part of Water Resource Planning; Department of Water Affairs and Forestry: Pretoria, South Africa, 2007. Available online: https://www.dws.gov.za/Documents/Other/Water%20Resources/ARStrategyforSAJun07SecA.pdf (accessed on 20 March 2025).
  10. Tredoux, G.; Van der Merwe, B.; Peters, I. Artificial recharge of the Windhoek aquifer, Namibia: Water quality considerations. Bol. Geol. Min. 2009, 120, 269–278. Available online: https://web.igme.es/Boletin/2009/120_2_2009/269-278.pdf (accessed on 5 March 2025).
  11. Wright, W.; Conrad, J. The Cape Flats Aquifer: Current Status; CSIR Report No. 11/95; CSIR: Stellenbosch, South Africa, 1995. Available online: https://www.dws.gov.za/ghreport/reports/2.2%28291%29.pdf (accessed on 10 January 2025).
  12. Okedi, J. The Prospects for Stormwater Harvesting in Cape Town, South Africa Using the Zeekoe Catchment as a Case Study. Ph.D. Thesis, University of Cape Town, Cape Town, South Africa, 2019. Available online: https://open.uct.ac.za/handle/11427/30453 (accessed on 30 June 2020).
  13. Tanyanyiwa, C.T.; Armitage, N.P.; Okedi, J. The hydrological impacts of retrofitted detention ponds for urban managed aquifer recharge in the Cape Flats, South Africa. Water 2025, 17, 145. [Google Scholar] [CrossRef]
  14. Tredoux, G.; Ross, W.; Gerber, A. The potential of the Cape Flats aquifer for the storage and abstraction of reclaimed effluent (South Africa). In Proceedings of the International Symposium on Artificial Groundwater Recharge, Dortmund, Germany, 14–18 May 1979; Volume 131, pp. 23–43. [Google Scholar]
  15. Vandoolaeghe, M.A.C. The Cape Flats Groundwater Development Pilot Abstraction Scheme; Technical Report Gh3655; Directorate Geohydrology: Cape Town, South Africa, 1989. Available online: https://www.dws.gov.za/ghreport/reports/GH3655.pdf (accessed on 15 March 2025).
  16. Mauck, B.; Winter, K. Assessing the potential for managed aquifer recharge (MAR) of the Cape Flats Aquifer. Water SA 2021, 47, 505–514. [Google Scholar] [CrossRef]
  17. Parsons, R. Groundwater Information Sheet: Cape Flats Aquifer; WRC Report No. TT 357/08; Water Research Commission: Pretoria, South Africa, 2008. [Google Scholar]
  18. Nel, M. Groundwater: The Myths, the Truths and the Basics; WRC Report No. SP 108/17; Water Research Commission: Gezina, South Africa, 2017; Available online: https://www.wrc.org.za/wp-content/uploads/mdocs/Groundwater%20book_web.pdf (accessed on 2 March 2025)ISBN 978-1-4312-0917-0.
  19. Tredoux, G.; Cain, J. The Atlantis Water Resource Management Scheme: 30 Years of Artificial Groundwater Recharge; Report No. PRSA 000/00/11609/10—Activity 17; Department of Water Affairs: Pretoria, South Africa, 2010.
  20. Bugan, R.D.H.; Jovanovic, N.; Israel, S.; Tredoux, G.; Genthe, B.; Steyn, M.; Allpass, D.; Bishop, R.; Marinus, V. Four decades of water recycling in Atlantis (Western Cape, South Africa): Past, present, and future. Water SA 2016, 42, 577–594. [Google Scholar] [CrossRef]
  21. Wright, A.; du Toit, I.D. Artificial recharge of urban wastewater: The key component in the development of an industrial town on the arid west coast of South Africa. Hydrogeol. J. 1996, 4, 118–129. [Google Scholar] [CrossRef]
  22. Tredoux, G.; Cavé, L.C.; Bishop, R. Long-term stormwater and wastewater infiltration into a sandy aquifer, South Africa. In Management of Aquifer Recharge for Sustainability, Proceedings of the 4th International Symposium on Artificial Recharge of Groundwater (ISAR-4), Adelaide, SA, Australia, 22–26 September 2002; Dillon, P.J., Ed.; CRC Press: Boca Raton, FL, USA, 2020. [Google Scholar]
  23. ASTM D3385-09; Standard Test Method for Infiltration Rate of Soils in the Field Using Double-Ring Infiltrometer. ASTM International: West Conshohocken, PA, USA, 2009. [CrossRef]
  24. Gregory, J.H. Stormwater Infiltration at the Scale of an Individual Residential Lot in North Central Florida. Master’s Thesis, University of Florida, Gainesville, FL, USA, 2004. Available online: https://buildgreen.ifas.ufl.edu/attachment/Stormwater_Infiltration_JustinGregory.pdf (accessed on 5 March 2025).
  25. Teague, N.F. Near Surface Infiltration Measurements and the Implications for Artificial Recharge. Master’s Thesis, San Diego State University, San Diego, CA, USA, 2010. Available online: https://www.researchgate.net/publication/274638738 (accessed on 2 March 2025).
  26. Dunkerley, D. Infiltration rates and soil moisture in a groved mulga community near Alice Springs, arid central Australia: Evidence for complex internal rainwater redistribution in a runoff–runon landscape. J. Arid Environ. 2002, 51, 199–219. [Google Scholar] [CrossRef]
  27. Kumar, P.A.; Vardhan, P.V.M.; Karishma, S.N. Study of soil infiltration rates on different soil conditions at selected sites. Int. J. Latest Trends Eng. Technol. 2017, 10, 223–227. [Google Scholar] [CrossRef]
  28. Boeno, D.; Gubiani, P.I.; Van Lier, Q.J.; Mulazzani, R.P. Estimating lateral flow in double ring infiltrometer measurements. Rev. Bras. Cienc. Solo 2021, 45, e0210027. [Google Scholar] [CrossRef]
  29. Li, M.; Liu, T.; Duan, L.; Luo, Y.; Ma, L.; Zhang, J.; Zhou, Y.; Chen, Z. The scale effect of double-ring infiltration and soil infiltration zoning in a semi-arid steppe. Water 2019, 11, 1457. [Google Scholar] [CrossRef]
  30. Van Vuuren, J.H.; Dippenaar, M.A.; Van Biljon, R.; Van Rooy, J.L. Seepage through permeable interlocking concrete pavements and their subgrades using a large infiltration table apparatus. Int. J. Pavement Res. Technol. 2021, 14, 337–347. [Google Scholar] [CrossRef]
  31. Fourie, A.B.; Strayton, G. Evaluation of a new method for the measurement of permeability in the field. J. S. A. Inst. Civ. Eng. 1996, 38, 10–14. Available online: https://journals.co.za/doi/pdf/10.10520/AJA10212019_23823 (accessed on 15 March 2025).
  32. Fairbrother Drill Company Ltd. Collection of Geotechnical Investigation and Drilling Reports from Various Cape Town Sites; Unpublished Internal Documents (Hardcopy, Obtained During Site Visit in 2017); Fairbrother Drill Company Ltd.: Cape Town, South Africa, 2010. [Google Scholar]
  33. Conrad, J.E. Groundwater Specialist Study—Cape Town International Airport Runway Re-Alignment and Associated Infrastructure Project; GEOSS Report No. 2014/06-10; GEOSS: Stellenbosch, South Africa, 2014. [Google Scholar]
  34. GEOSS. Geohydrological Assessment of a Proposed Belhar Residential Development; GEOSS Report No. 2013/07-18; GEOSS—Geohydrological and Spatial Solutions International (Pty) Ltd.: Stellenbosch, South Africa, 2013. [Google Scholar]
  35. Radcliffe, D.E.; Šimůnek, J. Soil Physics with HYDRUS: Modelling and Applications; CRC Press: Boca Raton, FL, USA, 2010. [Google Scholar]
  36. Šimůnek, J.; van Genuchten, M.T.; Šejna, M. Development and applications of the HYDRUS and STANMOD software packages and related codes. Vadose Zone J. 2008, 7, 587–600. [Google Scholar] [CrossRef]
  37. Šimůnek, J.; Šejna, M.; van Genuchten, M.T. Modeling nonequilibrium flow and transport processes using HYDRUS. Vadose Zone J. 2008, 7, 782–797. [Google Scholar] [CrossRef]
  38. Mavundla, K.P. An Experimental Study on the Infiltration Potential of Stormwater Ponds in Zeekoe Catchment, Cape Town, South Africa. Master’s Thesis, University of Cape Town, Cape Town, South Africa, 2022. Available online: http://hdl.handle.net/11427/37078 (accessed on 10 January 2024).
  39. Department of Water Affairs and Forestry (DWAF). The Assessment of Water Availability in the Berg Catchment (WMA 19) by Means of Water Resource-Related Models: Groundwater Model Report Volume 5—Cape Flats Aquifer Model; Umvoto Africa (Pty) Ltd.: Cape Town, South Africa; Ninham Shand (Pty) Ltd.: Pretoria, South Africa, 2008. Available online: https://www.dws.gov.za/Documents/Other/WMA/19/Reports/Rep9-Vol5-GW%20Cape%20Flats%20Aquifer.pdf (accessed on 15 April 2021).
  40. Adelana, S.M.A.; Xu, Y.; Vrbka, P. A conceptual model for the development and management of the Cape Flats aquifer, South Africa. Water SA 2010, 36, 461–474. [Google Scholar] [CrossRef]
  41. Horton, R.E. The role of infiltration in the hydrologic cycle. Trans. Am. Geophys. Union 1933, 14, 446–460. [Google Scholar] [CrossRef]
  42. Green, W.H.; Ampt, G.A. Studies on soil physics: 1. The flow of air and water through soils. J. Agric. Sci. 1911, 4, 1–24. [Google Scholar] [CrossRef]
  43. Darcy, H. Les Fontaines Publiques de la Ville de Dijon; Dalmont: Paris, France, 1856; Available online: https://gallica.bnf.fr/ark:/12148/bpt6k624312 (accessed on 15 May 2021).
  44. Yu, C.; Zheng, C. HYDRUS: Software for Flow and Transport Modeling in Variably Saturated Media, Software Spotlight. Ground Water 2010, 48, 787–791. [Google Scholar] [CrossRef]
  45. Morianou, G.; Kourgialas, N.N.; Karatzas, G.P. A review of HYDRUS 2D/3D applications for simulations of water dynamics, root uptake and solute transport in tree crops under drip irrigation. Water 2023, 15, 741. [Google Scholar] [CrossRef]
  46. Fatehnia, M. Automated Method for Determining Infiltration Rate in Soils. Ph.D. Thesis, Florida State University, Tallahassee, FL, USA, 2015. [Google Scholar]
  47. ASTM D2487-17; Standard Practice for Classification of Soils for Engineering Purposes (Unified Soil Classification System). ASTM International: West Conshohocken, PA, USA, 2017. [CrossRef]
  48. Beyer, W. Zur Bestimmung der Wasserdurchlässigkeit von Kiesen und Sanden aus der Kornverteilungskurve. Wasserwirtsch. Wassertech. 1964, 14, 165–168. (In German) [Google Scholar]
  49. Subramanya, K. Engineering Hydrology, 3rd ed.; Tata McGraw-Hill Publishing Company Limited: New Delhi, India, 2008. [Google Scholar]
  50. Valentin, C.; Bresson, L.M. Morphology, genesis, and classification of surface crusts in loamy and sandy soils. Geoderma 1992, 55, 225–245. [Google Scholar] [CrossRef]
  51. Moriasi, D.N.; Arnold, J.G.; Van Liew, M.W.; Bingner, R.L.; Harmel, R.D.; Veith, T.L. Model evaluation guidelines for systematic quantification of accuracy in watershed simulations. Trans. ASABE 2007, 50, 885–900. [Google Scholar] [CrossRef]
  52. Weiss, P.T.; LeFevre, G.; Gulliver, J.S. Contamination of Soil and Groundwater Due to Stormwater Infiltration Practices: A Literature Review; Minnesota Pollution Control Agency: St. Paul, MN, USA, 2008; Available online: https://hdl.handle.net/11299/115341 (accessed on 28 July 2023).
Figure 1. Geographical location of the Zeekoe Catchment within the Cape Flats Aquifer, Cape Town, South Africa [12,40].
Figure 1. Geographical location of the Zeekoe Catchment within the Cape Flats Aquifer, Cape Town, South Africa [12,40].
Hydrology 12 00087 g001
Figure 2. Spatial distribution of selected borehole log locations in the Zeekoe Catchment [32,38].
Figure 2. Spatial distribution of selected borehole log locations in the Zeekoe Catchment [32,38].
Hydrology 12 00087 g002
Figure 3. Lithological profiles of selected borehole logs within the study area (used unconventional lithological patterns that are unique to this study area) [32,38].
Figure 3. Lithological profiles of selected borehole logs within the study area (used unconventional lithological patterns that are unique to this study area) [32,38].
Hydrology 12 00087 g003
Figure 4. Locations of representative stormwater ponds selected for infiltration experiments [12,38].
Figure 4. Locations of representative stormwater ponds selected for infiltration experiments [12,38].
Hydrology 12 00087 g004
Figure 5. Infiltration test locations and surface conditions within the representative ponds: (a) Pond 1, (b) Pond 2, and (c) Pond 3 [38].
Figure 5. Infiltration test locations and surface conditions within the representative ponds: (a) Pond 1, (b) Pond 2, and (c) Pond 3 [38].
Hydrology 12 00087 g005
Figure 6. Schematic of the Double-Ring Infiltrometer test setup [38].
Figure 6. Schematic of the Double-Ring Infiltrometer test setup [38].
Hydrology 12 00087 g006
Figure 7. Field configurations of Double-Ring Infiltrometer for surface and sub-surface testing [38].
Figure 7. Field configurations of Double-Ring Infiltrometer for surface and sub-surface testing [38].
Hydrology 12 00087 g007
Figure 8. Cumulative infiltration and infiltration rate versus time.
Figure 8. Cumulative infiltration and infiltration rate versus time.
Hydrology 12 00087 g008
Figure 9. Constant-head permeability test setup, showing apparatus and flow direction.
Figure 9. Constant-head permeability test setup, showing apparatus and flow direction.
Hydrology 12 00087 g009
Figure 10. Permeability chamber with dimensions: (a) image and (b) schematic.
Figure 10. Permeability chamber with dimensions: (a) image and (b) schematic.
Hydrology 12 00087 g010
Figure 11. Axisymmetric model geometry for DRI test: Surface configuration.
Figure 11. Axisymmetric model geometry for DRI test: Surface configuration.
Hydrology 12 00087 g011
Figure 12. Axisymmetric model geometry for DRI test: subsurface configuration after topsoil removal.
Figure 12. Axisymmetric model geometry for DRI test: subsurface configuration after topsoil removal.
Hydrology 12 00087 g012
Figure 13. Two-dimensional axisymmetric model domain and boundary conditions for the DRI field test simulations in HYDRUS 2-D.
Figure 13. Two-dimensional axisymmetric model domain and boundary conditions for the DRI field test simulations in HYDRUS 2-D.
Hydrology 12 00087 g013
Figure 14. Radial cross-section model geometry of stormwater pond infiltration.
Figure 14. Radial cross-section model geometry of stormwater pond infiltration.
Hydrology 12 00087 g014
Figure 15. Two-dimensional axisymmetric model domain and boundary conditions for large-scale simulations in HYDRUS 2-D.
Figure 15. Two-dimensional axisymmetric model domain and boundary conditions for large-scale simulations in HYDRUS 2-D.
Hydrology 12 00087 g015
Figure 16. Cumulative infiltration (Fp) and infiltration rates (fp) over time for Pond 1.
Figure 16. Cumulative infiltration (Fp) and infiltration rates (fp) over time for Pond 1.
Hydrology 12 00087 g016
Figure 17. Cumulative infiltration (Fp) and infiltration rates (fp) over time for Pond 2.
Figure 17. Cumulative infiltration (Fp) and infiltration rates (fp) over time for Pond 2.
Hydrology 12 00087 g017
Figure 18. Cumulative infiltration (Fp) and infiltration rates (fp) over time for Pond 3.
Figure 18. Cumulative infiltration (Fp) and infiltration rates (fp) over time for Pond 3.
Hydrology 12 00087 g018
Figure 19. Minimum and maximum cumulative infiltration (Fp) and steady-state infiltration rates (fc) for surface and sub-surface conditions across the investigated ponds.
Figure 19. Minimum and maximum cumulative infiltration (Fp) and steady-state infiltration rates (fc) for surface and sub-surface conditions across the investigated ponds.
Hydrology 12 00087 g019
Figure 20. Relationship between average steady-state infiltration rate (fc) and Horton’s decay coefficient (λ) for the three investigated ponds.
Figure 20. Relationship between average steady-state infiltration rate (fc) and Horton’s decay coefficient (λ) for the three investigated ponds.
Hydrology 12 00087 g020
Figure 21. Hydraulic conductivity Ks for surface and sub-surface conditions across the three investigated ponds.
Figure 21. Hydraulic conductivity Ks for surface and sub-surface conditions across the three investigated ponds.
Hydrology 12 00087 g021
Figure 22. Particle size distribution curves for surface (S) and sub-surface (BS) soil samples from Ponds 1, 2, and 3.
Figure 22. Particle size distribution curves for surface (S) and sub-surface (BS) soil samples from Ponds 1, 2, and 3.
Hydrology 12 00087 g022
Figure 23. Average flow rates from laboratory Constant-Head Permeameter (CHP) tests for surface and sub-surface soils from the three investigated ponds.
Figure 23. Average flow rates from laboratory Constant-Head Permeameter (CHP) tests for surface and sub-surface soils from the three investigated ponds.
Hydrology 12 00087 g023
Figure 24. Hydraulic conductivities (Ks) derived from laboratory CHP tests for surface and sub-surface soils.
Figure 24. Hydraulic conductivities (Ks) derived from laboratory CHP tests for surface and sub-surface soils.
Hydrology 12 00087 g024
Figure 25. Effective grain size (D10) versus field and laboratory hydraulic conductivity (Ks) for surface and sub-surface soils.
Figure 25. Effective grain size (D10) versus field and laboratory hydraulic conductivity (Ks) for surface and sub-surface soils.
Hydrology 12 00087 g025
Figure 26. Natural moisture content (NMC) versus initial (fo) and steady-state (fc) infiltration rates for surface and sub-surface soils.
Figure 26. Natural moisture content (NMC) versus initial (fo) and steady-state (fc) infiltration rates for surface and sub-surface soils.
Hydrology 12 00087 g026
Figure 27. Porosity (n) versus bulk density (ρb) for surface and sub-surface soils.
Figure 27. Porosity (n) versus bulk density (ρb) for surface and sub-surface soils.
Hydrology 12 00087 g027
Figure 28. Bulk density (ρb) versus field and laboratory hydraulic conductivity (Ks) for surface and sub-surface soils.
Figure 28. Bulk density (ρb) versus field and laboratory hydraulic conductivity (Ks) for surface and sub-surface soils.
Hydrology 12 00087 g028
Figure 29. Graphical summary of hydraulic properties of the three investigated ponds (* proposed values based on borehole log data [32]).
Figure 29. Graphical summary of hydraulic properties of the three investigated ponds (* proposed values based on borehole log data [32]).
Hydrology 12 00087 g029
Figure 30. Axisymmetric pressure head distribution below the DRI after a 3 h simulation.
Figure 30. Axisymmetric pressure head distribution below the DRI after a 3 h simulation.
Hydrology 12 00087 g030
Figure 31. Steady-state infiltration pattern from the DRI, illustrating vertical and lateral water movement.
Figure 31. Steady-state infiltration pattern from the DRI, illustrating vertical and lateral water movement.
Hydrology 12 00087 g031
Figure 32. Axisymmetric pressure head versus infiltration depth below the DRI at t = 3 h.
Figure 32. Axisymmetric pressure head versus infiltration depth below the DRI at t = 3 h.
Hydrology 12 00087 g032
Figure 33. Simulated pressure head distribution from pond infiltration to the water table.
Figure 33. Simulated pressure head distribution from pond infiltration to the water table.
Hydrology 12 00087 g033
Figure 34. Axisymmetric pressure head profile versus infiltration depth for pond infiltration to the water table.
Figure 34. Axisymmetric pressure head profile versus infiltration depth for pond infiltration to the water table.
Hydrology 12 00087 g034
Figure 35. Simulated wetting front profiles under varying surface layer hydraulic conductivities.
Figure 35. Simulated wetting front profiles under varying surface layer hydraulic conductivities.
Hydrology 12 00087 g035
Figure 36. Potential infiltration depth across the Zeekoe catchment [12].
Figure 36. Potential infiltration depth across the Zeekoe catchment [12].
Hydrology 12 00087 g036
Table 1. Description and location of representative ponds [38].
Table 1. Description and location of representative ponds [38].
Pond No.Pond TypeSurface Area (m2)LatitudeLongitude
1Detention32,000.0−34.00918.581
2Retention10,000.0−34.02518.519
3Detention9000.0−34.08718.484
Table 2. Numerical model parameters for simulating DRI field tests using HYDRUS 2-D.
Table 2. Numerical model parameters for simulating DRI field tests using HYDRUS 2-D.
DescriptionParameterUnitMagnitude
Time DiscretisationInitialhour0
Finalhour3
Initial time stephour0.0024
Minimum time stephour0.00024
Maximum time stephour120
Number of print timehour10
IterationMaximum number of iterations-10
Water content tolerance-0.001
Pressure head tolerancecm1
Rectangular dimensionsHorizontal rectangular dimensioncm200
Vertical rectangular dimensioncm100
FE mesh sizecm1–5
Boundary conditionsTop-Constant head and no-flux
Bottom-No flux
Right side-No flux
Left side-No flux
Table 3. Numerical model parameters for simulating water movement through the pond surface to the water table using HYDRUS-2D.
Table 3. Numerical model parameters for simulating water movement through the pond surface to the water table using HYDRUS-2D.
DescriptionParameterUnitMagnitude
Time DiscretisationInitialhour0
Finalhour140
Initial time stephour0.0024
Minimum time stephour0.00024
Maximum time stephour120
Number of print timehour100
IterationMaximum number of iterations-10
Water content tolerance-0.001
Pressure head tolerancecm1
Rectangular dimensionsHorizontal rectangular dimensioncm6500
Vertical rectangular dimensioncm650
FE mesh sizecm20
Boundary conditionsTop-Constant head
Bottom-Seepage face
Right side-No flux
Left side-No flux
Table 4. Comparison of hydraulic conductivity estimates (field, laboratory, and Beyer’s equation).
Table 4. Comparison of hydraulic conductivity estimates (field, laboratory, and Beyer’s equation).
Pond No.C ConstantKs,BeyerKs,fieldKs,lab
--cm/h cm/h cm/h
Surface
Pond 19.7 × 10−335.04.83.6
Pond 21.1 × 10−286.419.944.7
Pond 31.1 × 10−299.410.524.5
Below Surface
Pond 19.7 × 10−331.60.32.7
Pond 21.0 × 10−2104.811.06.2
Pond 31.1 × 10−277.210.33.7
Table 5. Summary of soil physical and hydraulic properties of the three investigated ponds.
Table 5. Summary of soil physical and hydraulic properties of the three investigated ponds.
PropertyNotationUnitsPond 1Pond 2Pond 3
* Surface** Below Surface* Surface** Below Surface* Surface** Below Surface
Soil TextureFines%682111
Sand928998999898
Gravel130011
Effective Grain SizeD10mm0.100.100.150.170.160.14
D300.190.190.200.250.210.19
D600.350.330.320.390.320.30
Coefficients of UniformityCu-3.533.572.152.321.301.36
Coefficients of CurvatureCc-1.011.140.850.980.850.86
USCS Soil Group--SP-SMSP-SMSPSPSPSP
Porosityn-0.320.330.440.300.430.38
Void Ratioe%474978437761
Specific GravityGS-2.612.602.492.602.562.58
Bulk Densityρbkg/m3173318891460191716351930
Natural Moisture ContentNMC%68551317
Lab Hydraulic Gradienticm/cm9.79.79.89.69.79.7
Lab Average Flow Rateqcm/h4349.38.226.84
Lab Hydraulic ConductivityKs,labcm/h3.62.844.76.224.53.7
Field Hydraulic ConductivityKs,fieldcm/h4.80.319.91110.510.3
Field Initial Infiltration Ratefocm/h17.30.127.512.71212.3
Field Steady Infiltration Ratefccm/h6.20.320.71111.213.5
Field Cum. Infiltration RateFpcm21.21.163.335.331.038.2
Decay Coefficientλ-1.92.00.40.40.21.2
* Depth (<200 mm); ** Depth (200–400 mm); SP-SM—poorly graded sand with silt; SP—poorly graded sand.
Table 6. Simulated impact of surface layer hydraulic conductivity on pond infiltration performance.
Table 6. Simulated impact of surface layer hydraulic conductivity on pond infiltration performance.
PondDuration (Hours)Surface Layer Ks
(cm/h)
Wetting Front Depth
(cm)
Infiltration Rate fp
(cm/h)
Pond 1140* 4.85503.9
0.13982.8
1.05193.7
10.05714.1
Pond 215* 19.955036.7
0.146130.7
1.050333.5
10.053635.7
Pond 325* 10.555022.0
0.150320.1
1.052320.9
10.054821.9
* Field-measured hydraulic conductivity (Ks) values.
Table 7. (a) Statistical analysis of field-measured hydraulic conductivity (Ks,field). (b) Statistical analysis of laboratory-measured hydraulic conductivity Ks,lab.
Table 7. (a) Statistical analysis of field-measured hydraulic conductivity (Ks,field). (b) Statistical analysis of laboratory-measured hydraulic conductivity Ks,lab.
(a)
Field (Surface)Field (Below Surface)
Pond No.Test Loc.Ks,fieldAvg. Ks,fieldStd. Dev.CVPond No.Test Loc.Ks,fieldAvg. Ks,fieldStd. Dev.CV
--cm/hcm/h-%--cm/hcm/h-%
112.34.84.697.0110.30.30.00.0
21.920.3
310.130.3
2132.619.914.773.82128.411.015.2138.6
23.820
323.434.6
315.210.59.691.63110.310.38.380.6
24.722
321.6318.6
(b)
Laboratory (Surface)Laboratory (Below Surface)
Pond No.Test Loc.Ks,labAvg. Ks,labStd. Dev.CVPond No.Test Loc.Ks,labAvg. Ks,labStd. Dev.CV
--cm/hcm/h-%--cm/hcm/h-%
113.63.60.00.0112.82.82.174.1
23.620.7
33.634.8
2132.640.622.354.8216.26.20.00.0
265.826.2
323.536.2
3124.524.52.911.6313.73.70.00.0
221.723.7
327.433.7
Table 8. Comparison of field-measured and simulated infiltration rates at t = 3 h.
Table 8. Comparison of field-measured and simulated infiltration rates at t = 3 h.
Test Setup
Description
Pond No.Field Infiltration Rate (cm/h)HYDRUS 2-D
Infiltration Rate (cm/h)
Percentage DifferenceAverage
Percentage Difference
Surface16.212.36768
220.733.648
311.229.089
Below-Surface10.36.7182118
211.032.398
313.528.772
Table 9. Classification of infiltration capacities [49].
Table 9. Classification of infiltration capacities [49].
Infiltration ClassInfiltration Capacity (cm/h)Remarks
Very Low<0.25Highly clayey soil
Low0.25 to 2.5Shallow soils, clay soils, soils low in organic matter
Medium1.25 to 2.5Sandy Loam, Silt
High>2.5Deep sands, well-drained aggregated soils.
Disclaimer/Publisher’s Note: The statements, opinions and data contained in all publications are solely those of the individual author(s) and contributor(s) and not of MDPI and/or the editor(s). MDPI and/or the editor(s) disclaim responsibility for any injury to people or property resulting from any ideas, methods, instructions or products referred to in the content.

Share and Cite

MDPI and ACS Style

Mavundla, K.P.; Okedi, J.; Kalumba, D.; Armitage, N.P. Estimation of Infiltration Parameters for Groundwater Augmentation in Cape Town, South Africa. Hydrology 2025, 12, 87. https://doi.org/10.3390/hydrology12040087

AMA Style

Mavundla KP, Okedi J, Kalumba D, Armitage NP. Estimation of Infiltration Parameters for Groundwater Augmentation in Cape Town, South Africa. Hydrology. 2025; 12(4):87. https://doi.org/10.3390/hydrology12040087

Chicago/Turabian Style

Mavundla, Kgomoangwato Paul, John Okedi, Denis Kalumba, and Neil Philip Armitage. 2025. "Estimation of Infiltration Parameters for Groundwater Augmentation in Cape Town, South Africa" Hydrology 12, no. 4: 87. https://doi.org/10.3390/hydrology12040087

APA Style

Mavundla, K. P., Okedi, J., Kalumba, D., & Armitage, N. P. (2025). Estimation of Infiltration Parameters for Groundwater Augmentation in Cape Town, South Africa. Hydrology, 12(4), 87. https://doi.org/10.3390/hydrology12040087

Note that from the first issue of 2016, this journal uses article numbers instead of page numbers. See further details here.

Article Metrics

Back to TopTop