A Study on the Effects of Solvent and Temperature on 2-Amino-7-Nitro-Fluorene (ANF) Using Synchronous Fluorescence
Abstract
1. Introduction
2. Materials and Method
2.1. Materials
2.2. Method
3. Results and Discussion
3.1. Absorption Bands
3.2. Fluorescence Bands
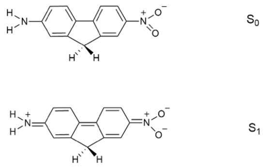
3.3. Ground and Excited State of ANF
3.4. Correlation of Solvent Properties with ANF Absorption and Fluorescence Emissions
3.5. Synchronous Fluorescence Intensity and Polarity
3.6. Synchronous Peak Wavelength and Polarity
3.7. Synchronous Intensity and Temperature
4. Conclusions
Author Contributions
Funding
Institutional Review Board
Data Availability Statement
Acknowledgments
Conflicts of Interest
References
- Lloyd, J.B.F. Synchronized excitation of fluorescence emission spectra. Nat. Phys. Sci. 1971, 231, 64–65. [Google Scholar] [CrossRef]
- Lloyd, J.B.F.; Evett, I.W. Prediction of peak wavelengths and intensities in synchronously excited fluorescence emission spectra. Anal. Chem. 1977, 49, 1710–1715. [Google Scholar] [CrossRef]
- Sunuwar, S.; Manzanares, C.E. Excitation, emission, and synchronous fluorescence for astrochemical applications: Experiments and computer simulations of synchronous spectra of polycyclic aromatic hydrocarbons and their mixtures. Icarus 2021, 370, 114689. [Google Scholar] [CrossRef]
- Sunuwar, S.; Manzanares, C.E. Identification and limit of detection of benzene, chlorobenzene, benzoic acid, phthalic acid, and mellitic acid in water solutions using excitation, emission, and single-band synchronous fluorescence spectroscopy. Curr. Anal. Chem. 2024, 20, 64–72. [Google Scholar] [CrossRef]
- Sunuwar, S.; Haddad, A.; Acheson, A.; Manzanares, C.E. Synchronous fluorescence as a sensor of trace amounts of polycyclic aromatic hydrocarbons. Sensors 2024, 24, 3800. [Google Scholar] [CrossRef]
- Vo-Dinh, T. Multicomponent analysis by synchronous luminescence spectrometry. Anal. Chem. 1978, 50, 396–401. [Google Scholar] [CrossRef]
- Kerkhoff, M.J.; Files, L.A.; Winefordner, J.D. Identification of polyaromatic hydrocarbon mixtures by low temperature constant energy synchronous fluorescence spectrometry. Anal. Chem. 1985, 57, 1673–1676. [Google Scholar] [CrossRef]
- Patra, D.; Mishra, A.K. Investigation on simultaneous analysis of multicomponent polycyclic aromatic hydrocarbon mixtures in water samples: A simple synchronous fluorimetric method. Talanta 2001, 55, 143–153. [Google Scholar] [CrossRef]
- Hua, G.; Killham, K.; Singleton, I. Potential application of synchronous fluorescence spectroscopy to determine benzo[a]pyrene in soil extracts. Environ. Pollut. 2006, 139, 272–278. [Google Scholar] [CrossRef]
- Sharma, H.; Jain, V.K.; Khan, Z.H. Identification of polycyclic aromatic hydrocarbons (PAHs) in suspended particulate matter by synchronous fluorescence spectroscopic technique. Spectrochim. Acta A Mol. Biomol. Spectrosc. 2007, 68, 43–49. [Google Scholar] [CrossRef]
- Ariese, F.; Kok, S.J.; Verkaik, M.; Gooijer, C.; Velthorst, N.H.; Hofstraat, J.W. Synchronous fluorescence spectrometry of fish bile: A rapid screening method for the biomonitoring of PAH exposure. Aquat. Toxicol. 1993, 26, 273–286. [Google Scholar] [CrossRef]
- Reynolds, D.M. Rapid and direct determination of tryptophan in water using synchronous fluorescence spectroscopy. Water Res. 2003, 37, 3055–3060. [Google Scholar] [CrossRef] [PubMed]
- Li, R.; Dhankhar, D.; Chen, J.; Cesario, T.C.; Rentzepis, P.M. A tryptophan synchronous and normal fluorescence study on bacteria inactivation mechanism. Proc. Natl. Acad. Sci. USA 2019, 116, 18822–18826. [Google Scholar] [CrossRef] [PubMed]
- Dujmov, J.; Sučcevlča, P. Application of synchronous fluorescence spectroscopy for characterization of the aromatic hydrocarbons in sediments of the middle Adriatic. Chem. Ecol. 1990, 4, 189–195. [Google Scholar] [CrossRef]
- Belzile, C.; Vincent, W.F.; Gibson, J.A.; Hove, P.V. Bio-optical characteristics of the snow, ice, and water column of a perennially ice-covered lake in the high arctic. Can. J. Fish. Aquat. Sci. 2001, 58, 2405–2418. [Google Scholar] [CrossRef]
- Li, Y.-Q.; Li, X.-Y.; Shindi, A.A.F.; Zou, Z.-X.; Liu, Q.; Lin, L.-R.; Li, N. Synchronous fluorescence spectroscopy and its applications in clinical analysis and food safety evaluation. In Reviews in Fluorescence 2010; Geddes, C.D., Ed.; Springer: New York, NY, USA, 2012; Volume 2010, pp. 95–117. [Google Scholar] [CrossRef]
- Sahar, A.; ur Rahman, U.; Kondjoyan, A.; Portanguen, S.; Dufour, E. Monitoring of thermal changes in meat by synchronous fluorescence spectroscopy. J. Food Eng. 2016, 168, 160–165. [Google Scholar] [CrossRef]
- Poulli, K.I.; Chantzos, N.V.; Mousdis, G.A.; Georgiou, C.A. Synchronous fluorescence spectroscopy: Tool for monitoring thermally stressed edible oils. J. Agric. Food Chem. 2009, 57, 8194–8201. [Google Scholar] [CrossRef]
- Karunakaran, V.; Senyushkina, T.; Saroja, G.; Liebscher, J.; Ernsting, N.P. 2-Amino-7-nitro-fluorenes in neat and mixed solvents-optical band shapes and solvatochromism. J. Phys. Chem. A. 2007, 111, 10944–10952. [Google Scholar] [CrossRef]
- Lippert, E. Spektroskopische bestimmung des dipolmomentes aromatischer verbindungen im ersten angeregten singulettzustand. Elektrochem. Ber. Bunsenges. Phys. Chem. 1957, 61, 962–975. [Google Scholar] [CrossRef]
- Lippert, E. Dipolmoment und elektronenstruktur von angeregten molekülen. Z. Für Naturforschung. 1955, A10, 541–545. [Google Scholar] [CrossRef]
- Mataga, N.; Kaifu, Y.; Koizumi, M. Solvent effects upon fluorescence spectra and the dipole moments of excited molecules. Bull. Chem. Soc. Jpn. 1956, 29, 465–470. [Google Scholar] [CrossRef]
- Baumann, W.; Bischof, H. Critical refinement of the theory of integral electro-optical emission measurements. J. Mol. Struct. 1985, 129, 125. [Google Scholar] [CrossRef]
- Czekalla, J.; Liptay, W.; Meyer, K.O. Die beeinflussung der fluoreszenz von molekülen durch ein äußeres elektrisches feld II. Bestimmung von dipolmomenten angeregter moleküle. Ber. Bunsenges. Phys. Chem. 1963, 67, 465–470. [Google Scholar] [CrossRef]
- Karunakaran, V.; Pfaffe, M.; Ioffe, I.; Senyushkina, T.; Kovalenko, S.A.; Mahrwald, R.; Fartzdinov, V.; Sklenar, H.; Ernsting, N.P. Solvation oscillations and excited state dynamics of 2-amino- and 2-hydroxy-7-nitrofluorene and its 2′-deoxyriboside. J. Phys. Chem. A 2008, 112, 4294–4307. [Google Scholar] [CrossRef] [PubMed]
- Fu, W.; Feng, J.-K.; Pan, G.-B. Theoretical study on the third-order nonlinear optical properties of a series of derived 9,9′-spirobifluorenes. J. Mol. Struct. 2001, 545, 157–165. [Google Scholar] [CrossRef]
- Ruthmann, J.; Kovalenko, S.A.; Ernsting, N.P.; Ouw, D. Femtosecond relaxation of 2-amino-7-nitrofluorene in acetonitrile: Observation of the oscillatory contribution to the solvent response. J. Chem. Phys. 1998, 109, 5466–5468. [Google Scholar] [CrossRef]
- CRC Handbook of Chemistry and Physics, 85th ed.; Lide, D.R., Ed.; CRC Press: Boca Raton, FL, USA, 2004. [Google Scholar]
- Anbu, N.; Nagarjun, N.; Jacob, M.; Kalaiarasi, J.M.V.K.; Dhakshinamoorth, A. Acetylation of alcohols, amines, phenols, thiols under catalyst and solvent-free conditions. Chemistry 2019, 1, 69–79. [Google Scholar] [CrossRef]
- Lakowicz, J. Principles of Fluorescence Spectroscopy; Springer: New York, NY, USA, 2006; Chapter 6; pp. 216–217. [Google Scholar] [CrossRef]








| ANF | λobs/λexcit. | Absorption | Excitation | Emission | Synchronous | |
|---|---|---|---|---|---|---|
| Solvents | nm | λabs | λex | λem/(fwhm) | λSF/(fwhm) | ∆λ |
| Benzene | 519/389 | 394 | 429 | 513/(94) | 519/(41) | 90 |
| Chlorobenzene | 555/393 | 397 | 414 | 549/(97) | 555/(62) | 141 |
| Ethyl acetate | 584/398 | 400 | 445 | 575/(111) | 584/(49) | 139 |
| Acetone | 631/403 | 408 | 454 | 629/(122) | 629/(61) | 177 |
| Acetic anhydride | 537/357 | 360 | 403 | 534/(120) | 534/(43) | 134 |
| Acetonitrile | 658/399 | 404 | 446 | 650/(133) | 658/(63) | 212 |
| Solvent | νabs (cm−1) | νem (cm−1) | νab − νem (cm−1) | Dipole Moment (D) | Index of Refraction (n) | ∆f | |
|---|---|---|---|---|---|---|---|
| Benzene | 25,380.7 | 19,493.2 | 5877.6 | 0.0 | 2.3 | 1.5011 | 0.001642 |
| Chlorobenzene | 25,188.9 | 18,214.9 | 6973.9 | 1.54 | 5.62 | 1.5248 | 0.142936 |
| Ethyl acetate | 25,000 | 17,391.3 | 7608.7 | 1.88 | 6.02 | 1.3724 | 0.199281 |
| Acetone | 24,509.8 | 15,898.3 | 8611.6 | 2.69 | 20.7 | 1.3587 | 0.284307 |
| Acetic anhydride | 27,777.8 | 18,726.6 | 9051.2 | 2.8 | 21 | 1.3901 | 0.273457 |
| Acetonitrile | 24,752.5 | 15,384.6 | 9367.9 | 3.44 | 37.5 | 1.3414 | 0.305416 |
Disclaimer/Publisher’s Note: The statements, opinions and data contained in all publications are solely those of the individual author(s) and contributor(s) and not of MDPI and/or the editor(s). MDPI and/or the editor(s) disclaim responsibility for any injury to people or property resulting from any ideas, methods, instructions or products referred to in the content. |
© 2025 by the authors. Licensee MDPI, Basel, Switzerland. This article is an open access article distributed under the terms and conditions of the Creative Commons Attribution (CC BY) license (https://creativecommons.org/licenses/by/4.0/).
Share and Cite
Sunuwar, S.; Rodriguez-Escalante, M.; Blanco-Cortés, P.; Manzanares, C.E. A Study on the Effects of Solvent and Temperature on 2-Amino-7-Nitro-Fluorene (ANF) Using Synchronous Fluorescence. ChemEngineering 2025, 9, 69. https://doi.org/10.3390/chemengineering9040069
Sunuwar S, Rodriguez-Escalante M, Blanco-Cortés P, Manzanares CE. A Study on the Effects of Solvent and Temperature on 2-Amino-7-Nitro-Fluorene (ANF) Using Synchronous Fluorescence. ChemEngineering. 2025; 9(4):69. https://doi.org/10.3390/chemengineering9040069
Chicago/Turabian StyleSunuwar, Suresh, Miguel Rodriguez-Escalante, Priscila Blanco-Cortés, and Carlos E. Manzanares. 2025. "A Study on the Effects of Solvent and Temperature on 2-Amino-7-Nitro-Fluorene (ANF) Using Synchronous Fluorescence" ChemEngineering 9, no. 4: 69. https://doi.org/10.3390/chemengineering9040069
APA StyleSunuwar, S., Rodriguez-Escalante, M., Blanco-Cortés, P., & Manzanares, C. E. (2025). A Study on the Effects of Solvent and Temperature on 2-Amino-7-Nitro-Fluorene (ANF) Using Synchronous Fluorescence. ChemEngineering, 9(4), 69. https://doi.org/10.3390/chemengineering9040069

