Investigation of Anthocyanins Stability from Pomegranate Juice (Punica Granatum L. Cv Ermioni) under a Simulated Digestion Process
Abstract
1. Introduction
2. Materials and Methods
2.1. Chemicals and Reagents
2.2. Juice Preparation
2.3. Simulated Digestion Process
2.4. Determination of Total Monomeric Anthocyanin Content
2.5. Determination of Polymeric Color
2.6. Determination of Total Phenolic Content
2.7. Determination of Antioxidant Activity
2.8. Solid Phase Extraction of Phenolic Compounds and High Performance Liquid Chromatography
2.9. Statistical Analysis
3. Results
3.1. Characterization of Pomegranate Juice from Ermioni Variety
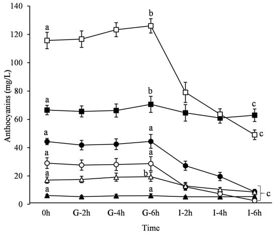
3.2. Evolution of ACNs During the Simulated Digestion Process
3.3. Total Phenolic Content and Antioxidant Activity During the Simulated Digestion Process
4. Discussion
Author Contributions
Funding
Conflicts of Interest
References
- Trichopoulou, A.; Naska, A. What consumers eat. In The Nutrition Handbook for Food Processors; Henry, C.J.K., Chapman, C., Eds.; Woodhead Publishing Series in Food Science, Technology and Nutrition; Woodhead Publishing: Cambridge, UK, 2002; pp. 7–33. ISBN 978-1-85573-464-7. [Google Scholar]
- Wu, S.; Tian, L. Diverse Phytochemicals and Bioactivities in the Ancient Fruit and Modern Functional Food Pomegranate (Punica granatum). Molecules 2017, 22, 1606. [Google Scholar] [CrossRef] [PubMed]
- Lee, S.H.; Park, S.M.; Park, S.M.; Park, J.H.; Shin, D.Y.; Kim, G.Y.; Ryu, C.H.; Shin, S.C.; Jung, J.M.; Kang, H.S.; et al. Induction of apoptosis in human leukemia U937 cells by anthocyanins through down-regulation of Bcl-2 and activation of caspases. Int. J. Oncol. 2009, 34, 1077–1083. [Google Scholar] [PubMed]
- Çam, M.; Hışıl, Y.; Durmaz, G. Classification of eight pomegranate juices based on antioxidant capacity measured by four methods. Food Chem. 2009, 112, 721–726. [Google Scholar] [CrossRef]
- Hamad, A.W.; Al-Momene, W. Separation and purification of crude ellagic acid from white flesh of pomegranate fruits as a potent anti-carcinogenic. New Biotechnol. 2009, 25, S286. [Google Scholar] [CrossRef]
- Celik, I.; Temur, A.; Isik, I. Hepatoprotective role and antioxidant capacity of pomegranate (Punica granatum) flowers infusion against trichloroacetic acid-exposed in rats. Food Chem. Toxicol. 2009, 47, 145–149. [Google Scholar] [CrossRef]
- El-Sayyad, H.I.H. Cholesterol overload impairing cerebellar function: The promise of natural products. Nutrition 2015, 31, 621–630. [Google Scholar] [CrossRef] [PubMed]
- DiSilvestro, R.A.; DiSilvestro, D.J.; DiSilvestro, D.J. Pomegranate extract mouth rinsing effects on saliva measures relevant to gingivitis risk. Phytother. Res. 2009, 23, 1123–1127. [Google Scholar] [CrossRef]
- Aslam, M.N.; Lansky, E.P.; Varani, J. Pomegranate as a cosmeceutical source: Pomegranate fractions promote proliferation and procollagen synthesis and inhibit matrix metalloproteinase-1 production in human skin cells. J. Ethnopharmacol. 2006, 103, 311–318. [Google Scholar] [CrossRef]
- Kong, J.-M.; Chia, L.-S.; Goh, N.-K.; Chia, T.-F.; Brouillard, R. Analysis and biological activities of anthocyanins. Phytochemistry 2003, 64, 923–933. [Google Scholar] [CrossRef]
- Pojer, E.; Mattivi, F.; Johnson, D.; Stockley, C.S. The Case for Anthocyanin Consumption to Promote Human Health: A Review. Compr. Rev. Food Sci. Food Saf. 2013, 12, 483–508. [Google Scholar] [CrossRef]
- Johanningsmeier, S.D.; Harris, G.K. Pomegranate as a Functional Food and Nutraceutical Source. Annu. Rev. Food Sci. Technol. 2011, 2, 181–201. [Google Scholar] [CrossRef] [PubMed]
- Ramos, P.; Herrera, R.; Moya-León, M.A. Chapter 14—Anthocyanins: Food Sources and Benefits to Consumer’s Health. In Handbook of Anthocyanins: Food Sources, Chemical Applications and Health Benefits; Warner, L.M., Ed.; Nova Science Publishers, Inc.: Hauppauge, NY, USA, 2014; pp. 363–384. ISBN 978-1-63321-762-1. [Google Scholar]
- Du, C.T.; Wang, P.L.; Francis, F.J. Anthocyanins of pomegranate, Punica granatum. J. Food Sci. 1975, 40, 417–418. [Google Scholar] [CrossRef]
- Espín, J.C.; Soler-Rivas, C.; Wichers, H.J.; García-Viguera, C. Anthocyanin-Based Natural Colorants: A New Source of Antiradical Activity for Foodstuff. J. Agric. Food Chem. 2000, 48, 1588–1592. [Google Scholar] [CrossRef]
- Gil, M.I.; Tomás-Barberán, F.A.; Hess-Pierce, B.; Holcroft, D.M.; Kader, A.A. Antioxidant Activity of Pomegranate Juice and Its Relationship with Phenolic Composition and Processing. J. Agric. Food Chem. 2000, 48, 4581–4589. [Google Scholar] [CrossRef] [PubMed]
- Kalt, W.; Blumberg, J.B.; McDonald, J.E.; Vinqvist-Tymchuk, M.R.; Fillmore, S.A.E.; Graf, B.A.; O’Leary, J.M.; Milbury, P.E. Identification of Anthocyanins in the Liver, Eye, and Brain of Blueberry-Fed Pigs. J. Agric. Food Chem. 2008, 56, 705–712. [Google Scholar] [CrossRef]
- Crozier, A.; Jaganath, I.B.; Clifford, M.N. Dietary phenolics: Chemistry, bioavailability and effects on health. Nat. Prod. Rep. 2009, 26, 1001–1043. [Google Scholar] [CrossRef]
- McGhie, T.K.; Ainge, G.D.; Barnett, L.E.; Cooney, J.M.; Jensen, D.J. Anthocyanin Glycosides from Berry Fruit Are Absorbed and Excreted Unmetabolized by Both Humans and Rats. J. Agric. Food Chem. 2003, 51, 4539–4548. [Google Scholar] [CrossRef] [PubMed]
- Wu, X.; Pittman, H.E.; Mckay, S.; Prior, R.L. Aglycones and Sugar Moieties Alter Anthocyanin Absorption and Metabolism after Berry Consumption in Weanling Pigs. J. Nutr. 2005, 135, 2417–2424. [Google Scholar] [CrossRef] [PubMed]
- Braga, A.R.C.; Murador, D.C.; de Souza Mesquita, L.M.; de Rosso, V.V. Bioavailability of anthocyanins: Gaps in knowledge, challenges and future research. J. Food Compos. Anal. 2018, 68, 31–40. [Google Scholar] [CrossRef]
- Garcia-Alonso, M.; Minihane, A.-M.; Rimbach, G.; Rivas-Gonzalo, J.C.; de Pascual-Teresa, S. Red wine anthocyanins are rapidly absorbed in humans and affect monocyte chemoattractant protein 1 levels and antioxidant capacity of plasma☆. J. Nutr. Biochem. 2009, 20, 521–529. [Google Scholar] [CrossRef]
- Felgines, C.; Krisa, S.; Mauray, A.; Besson, C.; Lamaison, J.-L.; Scalbert, A.; Mérillon, J.-M.; Texier, O. Radiolabelled cyanidin 3-O-glucoside is poorly absorbed in the mouse. Br. J. Nutr. 2010, 103, 1738–1745. [Google Scholar] [CrossRef]
- Pérez-Vicente, A.; Gil-Izquierdo, A.; García-Viguera, C. In Vitro Gastrointestinal Digestion Study of Pomegranate Juice Phenolic Compounds, Anthocyanins, and Vitamin C. J. Agric. Food Chem. 2002, 50, 2308–2312. [Google Scholar] [CrossRef] [PubMed]
- Mosele, I.J.; Macià, A.; Romero, M.-P.; Motilva, M.-J.; Rubió, L. Application of in vitro gastrointestinal digestion and colonic fermentation models to pomegranate products (juice, pulp and peel extract) to study the stability and catabolism of phenolic compounds. J. Funct. Foods 2015, 14, 529–540. [Google Scholar] [CrossRef]
- Fawole, A.O.; Opara, L.U. Stability of total phenolic concentration and antioxidant capacity of extracts from pomegranate co-products subjected to in vitro digestion. BMC Complement. Alternat. Med. 2016, 16, 358. [Google Scholar] [CrossRef] [PubMed]
- Gullon, B.; Pintado, E.M.; Fernández-López, J.; Pérez-Álvarez, A.J.; Viuda-Martos, M. In vitro gastrointestinal digestion of pomegranate peel (Punica granatum) flour obtained from co-products: Changes in the antioxidant potential and bioactive compounds stability. J. Funct. Foods 2015, 19, 617–628. [Google Scholar] [CrossRef]
- Ryan, L.; Prescott, L.S. Stability of the antioxidant capacity of twenty-five commercially available fruit juices subjected to an in vitro digestion. Int. J. Food Sci. Technol. 2010, 45, 1191–1197. [Google Scholar] [CrossRef]
- Yang, P.; Yuan, C.; Wang, H.; Han, F.; Liu, Y.; Wang, L.; Liu, Y. Stability of Anthocyanins and Their Degradation Products from Cabernet Sauvignon Red Wine under Gastrointestinal pH and Temperature Conditions. Molecules 2018, 23, 354. [Google Scholar] [CrossRef]
- Rodriguez-Saona, L.E.; Wrolstad, R.E. F1-Anthocyanins. In Handbook of Food Analytical Chemistry, Volume 2: Pigments, Colorants, Flavors, Texture, and Bioactive Food Components; Wrolstad, R.E., Acree, T.E., Decker, E.A., Penner, M.H., Reid, D.S., Schwartz, S.J., Shoemaker, C.F., Smith, D., Sporns, P., Eds.; John Wiley & Sons, Inc.: Hoboken, NJ, USA, 2004; pp. 6–69. ISBN 978-0-471-70908-4. [Google Scholar]
- Singleton, V.L.; Rossi, J.A. Colorimetry of Total Phenolics with Phosphomolybdic-Phosphotungstic Acid Reagents. Am. J. Enol. Vitic. 1965, 16, 144–158. [Google Scholar]
- Molyneux, P. The use of the stable free radical diphenylpicryl- hydrazyl (DPPH) for estimating antioxidant activity. Songklanakarin J. Sci. Technol. 2004, 26, 211–219. [Google Scholar]
- Santiago, M.C.P.; Gouvêa, A.C.M.S.; Godoy, R.L.; Borguini, R.G.; Pacheco, S.; Nogueira, R.I.; Nascimento, L.D.; Freitas, S.P. Analytical standards production for the analysis of pomegranate anthocyanins by HPLC. Braz. J. Food Technol. 2014, 17, 51–57. [Google Scholar] [CrossRef][Green Version]
- Cristofori, V.; Caruso, D.; Latini, G.; Dell’Agli, M.; Cammilli, C.; Rugini, E.; Bignami, C.; Muleo, R. Fruit quality of Italian pomegranate (Punica granatum L.) autochthonous varieties. Eur. Food Res. Technol. 2011, 232, 397–403. [Google Scholar] [CrossRef]
- Turfan, Ö.; Türkyılmaz, M.; Yemiş, O.; Özkan, M. Anthocyanin and colour changes during processing of pomegranate (Punica granatum L., cv. Hicaznar) juice from sacs and whole fruit. Food Chem. 2011, 129, 1644–1651. [Google Scholar] [CrossRef]
- Lee, J.; Rennaker, C.; Wrolstad, R.E. Correlation of two anthocyanin quantification methods: HPLC and spectrophotometric methods. Food Chem. 2008, 110, 782–786. [Google Scholar] [CrossRef]
- Todaro, A.; Cavallaro, R.; Malfa, S.L.; Continella, A.; Gentile, A.; Fischer, U.; Carle, R.; Spagna, G. Anthocyanin profile and antioxidant activity of freshly squeezed pomegranate (Punica granatum L.) juices of Sicilian and Spanish provenances. Ital. J. Food Sci. 2016, 28, 464–479. [Google Scholar]
- Lantzouraki, D.Z.; Sinanoglou, V.J.; Zoumpoulakis, P.; Proestos, C. Comparison of the Antioxidant and Antiradical Activity of Pomegranate (Punica granatum L.) by Ultrasound-Assisted and Classical Extraction. Anal. Lett. 2016, 49, 969–978. [Google Scholar] [CrossRef]
- Woodward, G.; Kroon, P.; Cassidy, A.; Kay, C. Anthocyanin Stability and Recovery: Implications for the Analysis of Clinical and Experimental Samples. J. Agric. Food Chem. 2009, 57, 5271–5278. [Google Scholar] [CrossRef] [PubMed]
- Kamonpatana, K.; Failla, M.L.; Kumar, P.S.; Giusti, M.M. Anthocyanin Structure Determines Susceptibility to Microbial Degradation and Bioavailability to the Buccal Mucosa. J. Agric. Food Chem. 2014, 62, 6903–6910. [Google Scholar] [CrossRef]
- Schwartz, E.; Tzulker, R.; Glazer, I.; Bar-Ya’akov, I.; Wiesman, Z.; Tripler, E.; Bar-Ilan, I.; Fromm, H.; Borochov-Neori, H.; Holland, D.; et al. Environmental Conditions Affect the Color, Taste, and Antioxidant Capacity of 11 Pomegranate Accessions’ Fruits. J. Agric. Food Chem. 2009, 57, 9197–9209. [Google Scholar] [CrossRef] [PubMed]
- Dafny-Yalin, M.; Glazer, I.; Bar-Ilan, I.; Kerem, Z.; Holland, D.; Amir, R. Color, Sugars and Organic Acids Composition in Aril Juices and Peel Homogenates Prepared from Different Pomegranate Accessions. J. Agric. Food Chem. 2010, 58, 4342–4352. [Google Scholar] [CrossRef]
- Kay, C.D.; Kroon, P.A.; Cassidy, A. The bioactivity of dietary anthocyanins is likely to be mediated by their degradation products. Mol. Nutr. Food Res. 2009, 53, S92–S101. [Google Scholar] [CrossRef]
- Madrigal-Carballo, S.; Rodriguez, G.; Krueger, C.G.; Dreher, M.; Reed, J.D. Pomegranate (Punica granatum) supplements: Authenticity, antioxidant and polyphenol composition. J. Funct. Foods 2009, 1, 324–329. [Google Scholar] [CrossRef]
- Liu, Y.; Zhang, D.; Wu, Y.; Wang, D.; Wei, Y.; Wu, J.; Ji, B. Stability and absorption of anthocyanins from blueberries subjected to a simulated digestion process. Int. J. Food Sci. Nutr. 2014, 65, 440–448. [Google Scholar] [CrossRef]





| Parameter | Value |
|---|---|
| pH | 3.3 ± 0.2 |
| Total monomeric anthocyanins (mg/L) 1 | 187 ± 5 |
| % Polymeric color | 12.0 ± 1.2 |
| Total phenolic content (mg/L) 2 | 1271 ± 40 |
| EC50 | 0.35 ± 0.05 |
| Anthocyanin Content (mg/L) | |
| Delphidin-3,5-diglucoside | 54.5 (14.2%) 3 |
| Cyanidin-3,5-diglucoside | 104.3 (27.4%) |
| Pelargonidin-3,5-diglucoside | 9.8 (2.4%) |
| Delphidin-3-glucoside | 35.5 (9.2%) |
| Cyanidin-3-glucoside | 155.3 (40.8%) |
| Pelargonidin-3-glucoside | 23.4 (6.0%) |
| Total | 382.8 ± 0.1 |
| Sample 1 | Total Phenolic Content (mg/L) 2 | EC50 (Juice% v/v) 3 | Ellagic Acid (mg/L) |
|---|---|---|---|
| 0 h | 1240 ± 43 A | 0.38 ± 0.05 A | 1.6 ± 0.1 A |
| G-2 h | 1248 ± 73 A | 0.39 ± 0.05 A | 1.6 ± 0.1 A |
| G-4 h | 1239 ± 54 A | 0.39 ± 0.05 A | 2.1 ± 0.3 AB |
| G-6 h | 1297 ± 39 A | 0.41 ± 0.09 A | 2.9 ± 0.3 B |
| I-2 h | 1086 ± 28 B | 0.43 ± 0.05 A | 9.2 ± 1.1 C |
| I-4 h | 1112 ± 18 B | 0.42 ± 0.05 A | 10.1 ± 1.8 C |
| I-6 h | 1086 ± 40 B | 0,43 ± 0,06 A | 11.2 ± 1.2 C |
© 2019 by the authors. Licensee MDPI, Basel, Switzerland. This article is an open access article distributed under the terms and conditions of the Creative Commons Attribution (CC BY) license (http://creativecommons.org/licenses/by/4.0/).
Share and Cite
Gardeli, C.; Varela, K.; Krokida, E.; Mallouchos, A. Investigation of Anthocyanins Stability from Pomegranate Juice (Punica Granatum L. Cv Ermioni) under a Simulated Digestion Process. Medicines 2019, 6, 90. https://doi.org/10.3390/medicines6030090
Gardeli C, Varela K, Krokida E, Mallouchos A. Investigation of Anthocyanins Stability from Pomegranate Juice (Punica Granatum L. Cv Ermioni) under a Simulated Digestion Process. Medicines. 2019; 6(3):90. https://doi.org/10.3390/medicines6030090
Chicago/Turabian StyleGardeli, Chrysavgi, Kalliopi Varela, Eleni Krokida, and Athanasios Mallouchos. 2019. "Investigation of Anthocyanins Stability from Pomegranate Juice (Punica Granatum L. Cv Ermioni) under a Simulated Digestion Process" Medicines 6, no. 3: 90. https://doi.org/10.3390/medicines6030090
APA StyleGardeli, C., Varela, K., Krokida, E., & Mallouchos, A. (2019). Investigation of Anthocyanins Stability from Pomegranate Juice (Punica Granatum L. Cv Ermioni) under a Simulated Digestion Process. Medicines, 6(3), 90. https://doi.org/10.3390/medicines6030090

