Cellular Uptake and Toxicological Effects of Differently Sized Zinc Oxide Nanoparticles in Intestinal Cells †
Abstract
1. Introduction
2. Materials and Methods
2.1. Preparation and Characterisation of ZnO NP Dispersions
2.2. Cell Culture and NP Exposure
2.3. Cellular Uptake
2.4. Cell Viability Assays
2.5. Apoptosis Detection
2.6. Cell Cycle Analysis
2.7. Genotoxicity Assay
2.8. Mutagenicity Assay
2.9. Statistical Analysis
3. Results
3.1. NP Characterisation
3.2. Cellular Uptake
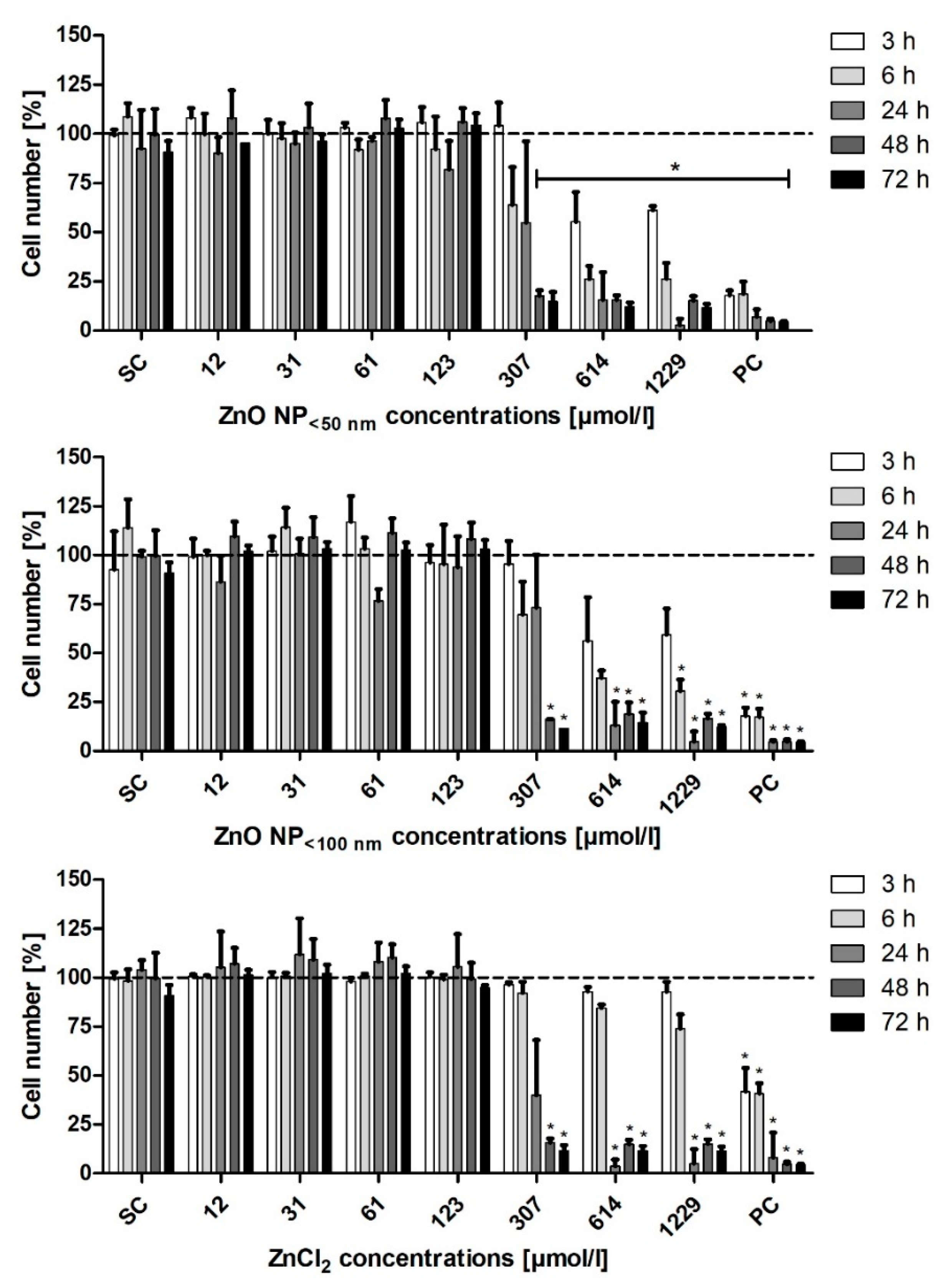
3.3. Cytotoxic Effects on Caco-2 Cells
3.4. Cytotoxic Effects on LT97 Cells
3.5. Real-Time Cell Analysis
3.6. Apoptosis Induction
3.7. Cell Cycle
3.8. Genotoxic Effects
3.9. Mutagenic Effects
4. Discussion
5. Conclusions
Supplementary Materials
Author Contributions
Funding
Institutional Review Board Statement
Informed Consent Statement
Data Availability Statement
Conflicts of Interest
References
- Gammoh, N.Z.; Rink, L. Zinc in Infection and Inflammation. Nutrients 2017, 9, 624. [Google Scholar] [CrossRef] [PubMed]
- Swain, P.S.; Rao, S.B.N.; Rajendran, D.; Pal, D.; Mondal, S.; Selvaraju, S. Effect of Supplementation of Nano Zinc Oxide on Nutrient Retention, Organ and Serum Minerals Profile, and Hepatic Metallothionein Gene Expression in Wister Albino Rats. Biol. Trace Elem. Res. 2019, 190, 76–86. [Google Scholar] [CrossRef] [PubMed]
- Hafez, A.; Nassef, E.; Fahmy, M.; Elsabagh, M.; Bakr, A.; Hegazi, E. Impact of dietary nano-zinc oxide on immune response and antioxidant defense of broiler chickens. Environ. Sci. Pollut. Res. Int. 2019, 27, 19108–19114. [Google Scholar] [CrossRef] [PubMed]
- Bai, M.M.; Liu, H.N.; Xu, K.; Wen, C.Y.; Yu, R.; Deng, J.P.; Yin, Y.L. Use of coated nano zinc oxide as an additive to improve the zinc excretion and intestinal morphology of growing pigs1. J. Anim. Sci. 2019, 97, 1772–1783. [Google Scholar] [CrossRef]
- Cufadar, Y.; Gocmen, R.; Kanbur, G.; Yildirim, B. Effects of Dietary Different Levels of Nano, Organic and Inorganic Zinc Sources on Performance, Eggshell Quality, Bone Mechanical Parameters and Mineral Contents of the Tibia, Liver, Serum and Excreta in Laying Hens. Biol. Trace Elem. Res. 2020, 193, 241–251. [Google Scholar] [CrossRef]
- Escorihuela, L.; Fernandez, A.; Rallo, R.; Martorell, B. Molecular dynamics simulations of zinc oxide solubility: From bulk down to nanoparticles. Food Chem. Toxicol. 2018, 112, 518–525. [Google Scholar] [CrossRef]
- Piccinno, F.; Gottschalk, F.; Seeger, S.; Nowack, B. Industrial production quantities and uses of ten engineered nanomaterials in Europe and the world. J. Nanoparticle Res. 2012, 14. [Google Scholar] [CrossRef]
- Zhu, Y.; Wu, J.; Chen, M.; Liu, X.; Xiong, Y.; Wang, Y.; Feng, T.; Kang, S.; Wang, X. Recent advances in the biotoxicity of metal oxide nanoparticles: Impacts on plants, animals and microorganisms. Chemosphere 2019, 237, 124403. [Google Scholar] [CrossRef]
- Mirhosseini, F.; Amiri, M.; Daneshkazemi, A.; Zandi, H.; Javadi, Z.S. Antimicrobial Effect of Different Sizes of Nano Zinc Oxide on Oral Microorganisms. Front. Dent. 2019, 16, 105–112. [Google Scholar] [CrossRef]
- Zhang, R.; Wang, Y.; Ma, D.; Ahmed, S.; Qin, W.; Liu, Y. Effects of ultrasonication duration and graphene oxide and nano-zinc oxide contents on the properties of polyvinyl alcohol nanocomposites. Ultrason. Sonochem. 2019, 59, 104731. [Google Scholar] [CrossRef]
- Jafarzadeh, S.; Rhim, J.W.; Alias, A.K.; Ariffin, F.; Mahmud, S. Application of antimicrobial active packaging film made of semolina flour, nano zinc oxide and nano-kaolin to maintain the quality of low-moisture mozzarella cheese during low-temperature storage. J. Sci. Food Agric. 2019, 99, 2716–2725. [Google Scholar] [CrossRef]
- Moreno-Olivas, F.; Tako, E.; Mahler, G.J. ZnO nanoparticles affect nutrient transport in an in vitro model of the small intestine. Food Chem. Toxicol. 2018, 124, 112–127. [Google Scholar] [CrossRef]
- Emmanuela de Andrade Vieira, J.; de Oliveira Ferreira, R.; Marcel Dos Reis Sampaio, D.; Pereira da Costa Araujo, A.; Malafaia, G. An insight on the mutagenicity and cytotoxicity of zinc oxide nanoparticles in Gallus gallus domesticus (Phasianidae). Chemosphere 2019, 231, 10–19. [Google Scholar] [CrossRef]
- Agnew, U.M.; Slesinger, T.L. Zinc Toxicity. In StatPearls; StatPearls Publishing: Treasure Island, FL, USA, 2020. [Google Scholar]
- Sun, T.Y.; Bornhoft, N.A.; Hungerbuhler, K.; Nowack, B. Dynamic Probabilistic Modeling of Environmental Emissions of Engineered Nanomaterials. Environ. Sci. Technol. 2016, 50, 4701–4711. [Google Scholar] [CrossRef] [PubMed]
- De Matteis, V. Exposure to Inorganic Nanoparticles: Routes of Entry, Immune Response, Biodistribution and In Vitro/In Vivo Toxicity Evaluation. Toxics 2017, 5, 29. [Google Scholar] [CrossRef] [PubMed]
- Zhang, S.; Cheng, S.; Jiang, X.; Zhang, J.; Bai, L.; Qin, X.; Zou, Z.; Chen, C. Gut-brain communication in hyperfunction of 5-hydroxytryptamine induced by oral zinc oxide nanoparticles exposure in young mice. Food Chem. Toxicol. 2020, 135, 110906. [Google Scholar] [CrossRef]
- Merck KGaA. Safety Data Sheet #544906; Merck KGaA: Darmstadt, Germany, 2019. [Google Scholar]
- Merck KGaA. Specification Sheet #544906; Merck KGaA: Darmstadt, Germany, 2019. [Google Scholar]
- Merck KGaA. Safety Data Sheet #677450; Merck KGaA: Darmstadt, Germany, 2019. [Google Scholar]
- Merck KGaA. Specification Sheet #677450; Merck KGaA: Darmstadt, Germany, 2019. [Google Scholar]
- FDA. Bioanalytical Method Validation Guidance for Industry; FDA: Rockville, MD, USA, 2018.
- DIN 32645. Chemical analysis—Decision Limit, Detection Limit and Determination Limit under Repeatability Conditions—Terms, Methods, Evaluation 2008-11; German Institute for Standardization: Berlin, Germany, 2008. [Google Scholar]
- Pinto, M. Enterocyte-like differentiation and polarization of the human colon carcinoma cell line Caco-2 in culture. Biol. Cell 1983, 47, 323–330. [Google Scholar]
- Araujo, F.; Sarmento, B. Towards the characterization of an in vitro triple co-culture intestine cell model for permeability studies. Int. J. Pharm. 2013, 458, 128–134. [Google Scholar] [CrossRef]
- Degen, C.; Habermann, N.; Piegholdt, S.; Glei, M.; Jahreis, G. Human colon cell culture models of different transformation stages to assess conjugated linoleic acid and conjugated linolenic acid metabolism: Challenges and chances. Toxicol. In Vitro 2012, 26, 985–992. [Google Scholar] [CrossRef]
- Klenow, S.; Pool-Zobel, B.L.; Glei, M. Influence of inorganic and organic iron compounds on parameters of cell growth and survival in human colon cells. Toxicol. In Vitro 2009, 23, 400–407. [Google Scholar] [CrossRef]
- Sohal, I.S.; DeLoid, G.; O’Fallon, K.; Gaines, P.; Demokritou, P.; Bello, D. Effects of ingested food-grade titanium dioxide, silicon dioxide, iron (III) oxide and zinc oxide nanoparticles on an in vitro model of intestinal epithelium: Comparison between monoculture vs. a mucus-secreting coculture model. NanoImpact 2020, 17, 100209. [Google Scholar] [CrossRef]
- Schneider, T.; Westermann, M.; Glei, M. In vitro uptake and toxicity studies of metal nanoparticles and metal oxide nanoparticles in human HT29 cells. Arch. Toxicol. 2017, 91, 3517–3527. [Google Scholar] [CrossRef]
- Thermo Fisher Scientific. Invitrogen USER GUIDE: eBioscience™ Annexin V-FITC Apoptosis Detection Kit; Thermo Fisher Scientific Inc.: Waltham, MA, USA, 2018. [Google Scholar]
- Pozarowski, P.; Darzynkiewicz, Z. Analysis of cell cycle by flow cytometry. Methods Mol. Biol. 2004, 281, 301–311. [Google Scholar] [CrossRef]
- Litron Laboratories. MicroFlow In Vitro—Micronucleus Analysis Kit—Instruction Manual; Litron Laboratories: Rochester, NY, USA, 2019. [Google Scholar]
- OECD. Test No. 471: Bacterial Reverse Mutation Test; OECD: Paris, France, 1997. [Google Scholar]
- Luepsen, H. Multiple Mittelwertvergleiche—Parametrisch und Nichtparametrisch—Sowie α-Adjustierungen mit Praktischen AnwEndungen mit R und SPSS; Universität zu Köln, Regionales Rechenzentrum: Köln, Gwemany, 2020. [Google Scholar]
- Rajput, V.D.; Minkina, T.M.; Behal, A.; Sushkova, S.N.; Mandzhieva, S.; Singh, R.; Gorovtsov, A.; Tsitsuashvili, V.S.; Purvis, W.O.; Ghazaryan, K.A.; et al. Effects of zinc-oxide nanoparticles on soil, plants, animals and soil organisms: A review. Environ. Nanotechnol. Monit. Manag. 2018, 9, 76–84. [Google Scholar] [CrossRef]
- Agarwal, H.; Shanmugam, V. A review on anti-inflammatory activity of green synthesized zinc oxide nanoparticle: Mechanism-based approach. Bioorg. Chem. 2020, 94, 103423. [Google Scholar] [CrossRef] [PubMed]
- Azeredo, H.M.C.; Otoni, C.G.; Correa, D.S.; Assis, O.B.G.; de Moura, M.R.; Mattoso, L.H.C. Nanostructured Antimicrobials in Food Packaging-Recent Advances. Biotechnol. J. 2019, 14, e1900068. [Google Scholar] [CrossRef] [PubMed]
- Cao, Y.; Li, J.; Liu, F.; Li, X.; Jiang, Q.; Cheng, S.; Gu, Y. Consideration of interaction between nanoparticles and food components for the safety assessment of nanoparticles following oral exposure: A review. Environ. Toxicol. Pharmacol. 2016, 46, 206–210. [Google Scholar] [CrossRef]
- Otero-Gonzalez, L.; Sierra-Alvarez, R.; Boitano, S.; Field, J.A. Application and validation of an impedance-based real time cell analyzer to measure the toxicity of nanoparticles impacting human bronchial epithelial cells. Environ. Sci. Technol. 2012, 46, 10271–10278. [Google Scholar] [CrossRef]
- Vallabani, N.V.S.; Sengupta, S.; Shukla, R.K.; Kumar, A. ZnO nanoparticles-associated mitochondrial stress-induced apoptosis and G2/M arrest in HaCaT cells: A mechanistic approach. Mutagenesis 2019, 34, 265–277. [Google Scholar] [CrossRef] [PubMed]
- Choi, S.J.; Choy, J.H. Biokinetics of zinc oxide nanoparticles: Toxicokinetics, biological fates, and protein interaction. Int. J. Nanomed. 2014, 9 (Suppl. 2), S261–S269. [Google Scholar] [CrossRef]
- Wang, J.; Gao, S.; Wang, S.; Xu, Z.; Wei, L. Zinc oxide nanoparticles induce toxicity in CAL 27 oral cancer cell lines by activating PINK1/Parkin-mediated mitophagy. Int. J. Nanomed. 2018, 13, 3441–3450. [Google Scholar] [CrossRef]
- Wang, D.; Cui, L.; Chang, X.; Guan, D. Biosynthesis and characterization of zinc oxide nanoparticles from Artemisia annua and investigate their effect on proliferation, osteogenic differentiation and mineralization in human osteoblast-like MG-63 Cells. J Photochem. Photobiol. B 2020, 202, 111652. [Google Scholar] [CrossRef]
- Wang, Z.L. Nanostructures of zinc oxide. Mater. Today 2004, 7, 26–33. [Google Scholar] [CrossRef]
- De Berardis, B.; Civitelli, G.; Condello, M.; Lista, P.; Pozzi, R.; Arancia, G.; Meschini, S. Exposure to ZnO nanoparticles induces oxidative stress and cytotoxicity in human colon carcinoma cells. Toxicol. Appl. Pharmacol. 2010, 246, 116–127. [Google Scholar] [CrossRef]
- Reis Ede, M.; de Rezende, A.A.; Santos, D.V.; de Oliveria, P.F.; Nicolella, H.D.; Tavares, D.C.; Silva, A.C.; Dantas, N.O.; Spano, M.A. Assessment of the genotoxic potential of two zinc oxide sources (amorphous and nanoparticles) using the in vitro micronucleus test and the in vivo wing somatic mutation and recombination test. Food Chem. Toxicol. 2015, 84, 55–63. [Google Scholar] [CrossRef]
- de Souza, J.M.; Mendes, B.O.; Guimaraes, A.T.B.; Rodrigues, A.S.L.; Chagas, T.Q.; Rocha, T.L.; Malafaia, G. Zinc oxide nanoparticles in predicted environmentally relevant concentrations leading to behavioral impairments in male swiss mice. Sci. Total Environ. 2018, 613–614, 653–662. [Google Scholar] [CrossRef] [PubMed]
- Cheng, J.; Wang, X.; Qiu, L.; Li, Y.; Marraiki, N.; Elgorban, A.M.; Xue, L. Green synthesized zinc oxide nanoparticles regulates the apoptotic expression in bone cancer cells MG-63 cells. J. Photochem. Photobiol. B 2020, 202, 111644. [Google Scholar] [CrossRef] [PubMed]
- Demir, E.; Akca, H.; Kaya, B.; Burgucu, D.; Tokgun, O.; Turna, F.; Aksakal, S.; Vales, G.; Creus, A.; Marcos, R. Zinc oxide nanoparticles: Genotoxicity, interactions with UV-light and cell-transforming potential. J. Hazard. Mater. 2014, 264, 420–429. [Google Scholar] [CrossRef] [PubMed]
- Dubey, A.; Goswami, M.; Yadav, K.; Chaudhary, D. Oxidative Stress and Nano-Toxicity Induced by TiO2 and ZnO on WAG Cell Line. PLoS ONE 2015, 10, e0127493. [Google Scholar] [CrossRef]
- Senapati, V.A.; Kumar, A.; Gupta, G.S.; Pandey, A.K.; Dhawan, A. ZnO nanoparticles induced inflammatory response and genotoxicity in human blood cells: A mechanistic approach. Food Chem. Toxicol. 2015, 85, 61–70. [Google Scholar] [CrossRef]
- Ickrath, P.; Wagner, M.; Scherzad, A.; Gehrke, T.; Burghartz, M.; Hagen, R.; Radeloff, K.; Kleinsasser, N.; Hackenberg, S. Time-Dependent Toxic and Genotoxic Effects of Zinc Oxide Nanoparticles after Long-Term and Repetitive Exposure to Human Mesenchymal Stem Cells. Int. J. Environ. Res. Public Health 2017, 14, 1590. [Google Scholar] [CrossRef]
- Yu, K.N.; Yoon, T.J.; Minai-Tehrani, A.; Kim, J.E.; Park, S.J.; Jeong, M.S.; Ha, S.W.; Lee, J.K.; Kim, J.S.; Cho, M.H. Zinc oxide nanoparticle induced autophagic cell death and mitochondrial damage via reactive oxygen species generation. Toxicol. In Vitro 2013, 27, 1187–1195. [Google Scholar] [CrossRef]
- Yin, H.; Casey, P.S.; McCall, M.J.; Fenech, M. Size-dependent cytotoxicity and genotoxicity of ZnO particles to human lymphoblastoid (WIL2-NS) cells. Environ. Mol. Mutagen. 2015, 56, 767–776. [Google Scholar] [CrossRef]
- Bisht, G.; Rayamajhi, S. ZnO Nanoparticles: A Promising Anticancer Agent. Nanobiomedicine 2016, 3, 9. [Google Scholar] [CrossRef] [PubMed]
- Abbasi-Oshaghi, E.; Mirzaei, F.; Mirzaei, A. Effects of ZnO nanoparticles on intestinal function and structure in normal/high fat diet-fed rats and Caco-2 cells. Nanomedicine 2018, 13, 2791–2816. [Google Scholar] [CrossRef] [PubMed]
- Kang, T.; Guan, R.; Chen, X.; Song, Y.; Jiang, H.; Zhao, J. In vitro toxicity of different-sized ZnO nanoparticles in Caco-2 cells. Nanoscale Res. Lett. 2013, 8, 496. [Google Scholar] [CrossRef] [PubMed]
- Li, J.; Song, Y.; Vogt, R.D.; Liu, Y.; Luo, J.; Li, T. Bioavailability and cytotoxicity of Cerium- (IV), Copper- (II), and Zinc oxide nanoparticles to human intestinal and liver cells through food. Sci. Total Environ. 2020, 702, 134700. [Google Scholar] [CrossRef]
- Hackenberg, S.; Scherzed, A.; Zapp, A.; Radeloff, K.; Ginzkey, C.; Gehrke, T.; Ickrath, P.; Kleinsasser, N. Genotoxic effects of zinc oxide nanoparticles in nasal mucosa cells are antagonized by titanium dioxide nanoparticles. Mutat. Res. Genet. Toxicol Environ. Mutagen. 2017, 816–817, 32–37. [Google Scholar] [CrossRef]
- Pan, C.H.; Liu, W.T.; Bien, M.Y.; Lin, I.C.; Hsiao, T.C.; Ma, C.M.; Lai, C.H.; Chen, M.C.; Chuang, K.J.; Chuang, H.C. Effects of size and surface of zinc oxide and aluminum-doped zinc oxide nanoparticles on cell viability inferred by proteomic analyses. Int. J. Nanomed. 2014, 9, 3631–3643. [Google Scholar] [CrossRef][Green Version]
- Prasanth, R.; Gopinath, D. Effect of ZnO nanoparticles on nasopharyngeal cancer cells viability and respiration. Appl. Phys. Lett. 2013, 102. [Google Scholar] [CrossRef]
- Duan, X.; Liao, Y.; Liu, T.; Yang, H.; Liu, Y.; Chen, Y.; Ullah, R.; Wu, T. Zinc oxide nanoparticles synthesized from Cardiospermum halicacabum and its anticancer activity in human melanoma cells (A375) through the modulation of apoptosis pathway. J. Photochem. Photobiol. B 2020, 202, 111718. [Google Scholar] [CrossRef] [PubMed]
- Senapati, V.A.; Kumar, A. ZnO nanoparticles dissolution, penetration and toxicity in human epidermal cells. Influence of pH. Environ. Chem. Lett. 2018, 16, 1129–1135. [Google Scholar] [CrossRef]
- Moratin, H.; Scherzad, A.; Gehrke, T.; Ickrath, P.; Radeloff, K.; Kleinsasser, N.; Hackenberg, S. Toxicological characterization of ZnO nanoparticles in malignant and non-malignant cells. Environ. Mol. Mutagen. 2018, 59, 247–259. [Google Scholar] [CrossRef] [PubMed]
- Eixenberger, J.E.; Anders, C.B.; Hermann, R.J.; Brown, R.J.; Reddy, K.M.; Punnoose, A.; Wingett, D.G. Rapid Dissolution of ZnO Nanoparticles Induced by Biological Buffers Significantly Impacts Cytotoxicity. Chem. Res. Toxicol. 2017, 30, 1641–1651. [Google Scholar] [CrossRef]
- Li, Z.; Guo, D.; Yin, X.; Ding, S.; Shen, M.; Zhang, R.; Wang, Y.; Xu, R. Zinc oxide nanoparticles induce human multiple myeloma cell death via reactive oxygen species and Cyt-C/Apaf-1/Caspase-9/Caspase-3 signaling pathway in vitro. Biomed. Pharmacother. 2020, 122, 109712. [Google Scholar] [CrossRef] [PubMed]
- Venkatasubbu, G.D.; Baskar, R.; Anusuya, T.; Seshan, C.A.; Chelliah, R. Toxicity mechanism of titanium dioxide and zinc oxide nanoparticles against food pathogens. Colloids Surf. B Biointerfaces 2016, 148, 600–606. [Google Scholar] [CrossRef]
- Boroumand Moghaddam, A.; Moniri, M.; Azizi, S.; Abdul Rahim, R.; Bin Ariff, A.; Navaderi, M.; Mohamad, R. Eco-Friendly Formulated Zinc Oxide Nanoparticles: Induction of Cell Cycle Arrest and Apoptosis in the MCF-7 Cancer Cell Line. Genes 2017, 8, 281. [Google Scholar] [CrossRef]
- Zijno, A.; De Angelis, I.; De Berardis, B.; Andreoli, C.; Russo, M.T.; Pietraforte, D.; Scorza, G.; Degan, P.; Ponti, J.; Rossi, F.; et al. Different mechanisms are involved in oxidative DNA damage and genotoxicity induction by ZnO and TiO2 nanoparticles in human colon carcinoma cells. Toxicol. In Vitro 2015, 29, 1503–1512. [Google Scholar] [CrossRef]
- Corradi, S.; Gonzalez, L.; Thomassen, L.C.; Bilanicova, D.; Birkedal, R.K.; Pojana, G.; Marcomini, A.; Jensen, K.A.; Leyns, L.; Kirsch-Volders, M. Influence of serum on in situ proliferation and genotoxicity in A549 human lung cells exposed to nanomaterials. Mutat. Res. 2012, 745, 21–27. [Google Scholar] [CrossRef]
- Akbaba, G.B.; Turkez, H. Investigation of the Genotoxicity of Aluminum Oxide, beta-Tricalcium Phosphate, and Zinc Oxide Nanoparticles In Vitro. Int. J. Toxicol. 2018, 37, 216–222. [Google Scholar] [CrossRef]
- Fadoju, O.; Ogunsuyi, O.; Akanni, O.; Alabi, O.; Alimba, C.; Adaramoye, O.; Cambier, S.; Eswara, S.; Gutleb, A.C.; Bakare, A. Evaluation of cytogenotoxicity and oxidative stress parameters in male Swiss mice co-exposed to titanium dioxide and zinc oxide nanoparticles. Environ. Toxicol. Pharmacol. 2019, 70, 103204. [Google Scholar] [CrossRef] [PubMed]
- Kwon, J.Y.; Lee, S.Y.; Koedrith, P.; Lee, J.Y.; Kim, K.M.; Oh, J.M.; Yang, S.I.; Kim, M.K.; Lee, J.K.; Jeong, J.; et al. Lack of genotoxic potential of ZnO nanoparticles in in vitro and in vivo tests. Mutat. Res. Genet. Toxicol. Environ. Mutagen. 2014, 761, 1–9. [Google Scholar] [CrossRef] [PubMed]
- Pan, X.; Redding, J.E.; Wiley, P.A.; Wen, L.; McConnell, J.S.; Zhang, B. Mutagenicity evaluation of metal oxide nanoparticles by the bacterial reverse mutation assay. Chemosphere 2010, 79, 113–116. [Google Scholar] [CrossRef]
- Kumar, A.; Pandey, A.K.; Singh, S.S.; Shanker, R.; Dhawan, A. Cellular uptake and mutagenic potential of metal oxide nanoparticles in bacterial cells. Chemosphere 2011, 83, 1124–1132. [Google Scholar] [CrossRef]
- Bondarenko, O.; Juganson, K.; Ivask, A.; Kasemets, K.; Mortimer, M.; Kahru, A. Toxicity of Ag, CuO and ZnO nanoparticles to selected environmentally relevant test organisms and mammalian cells in vitro: A critical review. Arch. Toxicol. 2013, 87, 1181–1200. [Google Scholar] [CrossRef] [PubMed]
- Rasmussen, J.W.; Martinez, E.; Louka, P.; Wingett, D.G. Zinc oxide nanoparticles for selective destruction of tumor cells and potential for drug delivery applications. Expert Opin. Drug Deliv. 2010, 7, 1063–1077. [Google Scholar] [CrossRef] [PubMed]













| ZnO NP | SSA [m2/g] | dBET [nm] | dDLS [nm] | PDI | Zeta Potential [mV] | |||
|---|---|---|---|---|---|---|---|---|
| Medium | Water | Medium | Water | Medium | Water | |||
| <50 nm | 23.2 | <50 | 198 ± 2 | 205 ± 1 | 0.15 ± 0.02 | 0.25 ± 0.01 | −8.1 ± 2.3 | 0.04 ± 1.01 |
| <100 nm | 13.3 | <100 | 256 ± 2 | 240 ± 2 | 0.16 ± 0.02 | 0.13 ± 0.02 | −6.7 ± 3.2 | −0.10 ± 0.84 |
| Compound | Dose [µg/Plate] | Number of Reverse Mutants/Plate [Mean ± SD] | |||
|---|---|---|---|---|---|
| TA100 | TA98 | ||||
| without S9 | with S9 | without S9 | with S9 | ||
| ZnO NP<50 nm | 0 | 148 ± 12 | 137 ± 37 | 30 ± 8 | 22 ± 3 |
| 0.1 | 139 ± 11 | 121 ± 2 | 32 ± 2 | 22 ± 4 | |
| 0.25 | 128 ± 21 | 125 ± 11 | 30 ± 5 | 22 ± 1 | |
| 0.5 | 139 ± 34 | 130 ± 14 | 29 ± 4 | 26 ± 2 | |
| 1 | 131 ± 22 | 126 ± 9 | 30 ± 6 | 22 ± 2 | |
| 2.5 | 143 ± 25 | 146 ± 27 | 31 ± 6 | 25 ± 3 | |
| 5 | 148 ± 8 | 148 ± 26 | 27 ± 1 | 26 ± 7 | |
| 10 | 148 ± 18 | 145 ± 21 | 33 ± 9 | 29 ± 5 | |
| ZnO NP<100 nm | 0 | 155 ± 34 | 170 ± 16 | 27 ± 1 | 27 ± 9 |
| 0.1 | 155 ± 27 | 177 ± 12 | 28 ± 5 | 27 ± 7 | |
| 0.25 | 144 ± 43 | 159 ± 18 | 26 ± 2 | 28 ± 12 | |
| 0.5 | 143 ± 24 | 158 ± 22 | 29 ± 5 | 36 ± 21 | |
| 1 | 141 ± 36 | 172 ± 11 | 29 ± 2 | 38 ± 28 | |
| 2.5 | 144 ± 31 | 169 ± 12 | 28 ± 5 | 36 ± 26 | |
| 5 | 143 ± 13 | 156 ± 10 | 27 ± 1 | 40 ± 15 | |
| 10 | 143 ± 13 | 166 ± 24 | 25 ± 1 | 46 ± 23 | |
| ZnCl2 | 17 | 123 ± 2 | 131 ± 18 | 18 ± 9 | 21 ± 2 |
| PC | 1136 ± 14 * | 3729 ± 95 * | 1820 ± 547 * | 688 ± 164 * | |
Publisher’s Note: MDPI stays neutral with regard to jurisdictional claims in published maps and institutional affiliations. |
© 2021 by the authors. Licensee MDPI, Basel, Switzerland. This article is an open access article distributed under the terms and conditions of the Creative Commons Attribution (CC BY) license (https://creativecommons.org/licenses/by/4.0/).
Share and Cite
Mittag, A.; Hoera, C.; Kämpfe, A.; Westermann, M.; Kuckelkorn, J.; Schneider, T.; Glei, M. Cellular Uptake and Toxicological Effects of Differently Sized Zinc Oxide Nanoparticles in Intestinal Cells. Toxics 2021, 9, 96. https://doi.org/10.3390/toxics9050096
Mittag A, Hoera C, Kämpfe A, Westermann M, Kuckelkorn J, Schneider T, Glei M. Cellular Uptake and Toxicological Effects of Differently Sized Zinc Oxide Nanoparticles in Intestinal Cells. Toxics. 2021; 9(5):96. https://doi.org/10.3390/toxics9050096
Chicago/Turabian StyleMittag, Anna, Christian Hoera, Alexander Kämpfe, Martin Westermann, Jochen Kuckelkorn, Thomas Schneider, and Michael Glei. 2021. "Cellular Uptake and Toxicological Effects of Differently Sized Zinc Oxide Nanoparticles in Intestinal Cells" Toxics 9, no. 5: 96. https://doi.org/10.3390/toxics9050096
APA StyleMittag, A., Hoera, C., Kämpfe, A., Westermann, M., Kuckelkorn, J., Schneider, T., & Glei, M. (2021). Cellular Uptake and Toxicological Effects of Differently Sized Zinc Oxide Nanoparticles in Intestinal Cells. Toxics, 9(5), 96. https://doi.org/10.3390/toxics9050096

