Abstract
Due to high geological background and intensive mining activities, soils are prone to heavy metals (HMs) accumulation and ecological fragility in Guizhou Province, China. A total of 740 topsoil samples were therefore collected, and aimed to determine the concentrations of As, Cd, Cr, Hg, and Pb, estimate the ecological pollution, and evaluate the carcinogenic and non-carcinogenic health risks to humans. Results showed As (1.08%) and Cd (24.46%) in soil exceeded standards. The Igeo showed that Cr (1.49%) and Hg (31.62%) in soil were at light pollution levels; single factor pollution index (PI) showed that Cd (21.35%) in soil was mildly polluted; risk index (RI) as at a low risk level. Notably, both deterministic and Monte Carlo analyses revealed unacceptable carcinogenic risks for As and Cr in children, with traditional methods potentially underestimating As risks. Moreover, Target-Organ Toxicity Dose (TTD) revealed soil HMs as a higher risk to hematological health, with notable health risks posed by Pb in children. It is noted that spatial distribution analysis suggested that the southwestern region of Guizhou Province should be prioritized for health risk management and control. By integrating the uniqueness of geological environments, multi-dimensional health risk assessments, and spatial distributions, the present study provides a scientific basis for assessing HMs pollution risks and soil health risks in the karst regions.
1. Introduction
Heavy metals (HMs) contamination in soil emerged as a critical environmental problem due to their inherent toxicity, persistent retention, non-degradability, and sustained bioavailability [1,2]. Soil is an important carrier of HMs. Excessive HMs can disrupt the productivity and quality of soil when entering into the soil layer [3]. Furthermore, severely contaminated soils may serve as a persistent source of groundwater and ecosystem contamination [4]. More seriously, when the concentration of HMs such as lead (Pb), arsenic (As), and mercury (Hg) in the farmland soil reaches a certain level, it will destroy the internal balance of the farmland [5]. It is important to note that soil ecosystems, particularly those of farmland, are crucial for human survival and development [6]. It is essential to evaluate the contamination status and ecological risks associated with HMs contamination in agroecosystems.
Soil contamination by HMs varies across China, with southern provinces bearing the brunt of the problem; these regions should be considered key areas for monitoring and managing HM pollution. Simultaneously, cadmium (Cd), Hg, Pb, chromium (Cr), and arsenic (As) have been identified as the main HMs requiring targeted control efforts within Chinese soils [7]. Therefore, this study focuses on these five HMs. In, addition, Southwest China constitutes a pivotal component of karst region all over the world [8]. Karst area is a fragile ecosystem prone to human impacts with high geochemical background value and limited HM capacity. Karst landscapes, formed from carbonate rock formations, are among the regions naturally characterized by elevated HM concentrations due to their unique geological composition. Research has shown that as these carbonate-rich areas undergo weathering, essential elements like calcium and magnesium leach out, leading to either the preservation or further accumulation of HMs. HMs typically accumulate in the residue, showing a steady proportional rise in both concentration and volume. This persistent buildup allows them to remain detectable in regions with minimal bedrock composition, even following extensive soil formation processes [9,10]. Geological surveys reveal that carbonate rock formations in Guizhou Province cover approximately 1.1 × 105 km2, which accounts for 73% of the provincial territory [11] and ranks first in China. And, the researches reported that mining and smelting in Southwest China could release HMs to cause superimposed soil pollution [12]. Presently, these techniques of single factor pollution index (PI), Nemero pollution index (PN), geo-accumulation index (Igeo), ecological risk (Er) and risk index (RI) were all conducted to investigate the ecological risks polluted by HMs in karst areas [13,14]. Tang et al. [15] found that PN was moderately polluted for the agricultural soils of karst areas. Qin et al. [16] indicated that Er in the karst area of Yunnan Province reached moderate risk accounting for 55.27% of the total samples. Therefore, the ecological pollution status of HMs in the karst areas deserves further attention.
The health risk assessment, a quantitative approach, evaluates potential human exposure risks through ingestion, dermal contact, and inhalation [17,18]. Specifically, the concentration of HMs and exposure parameters were the main considerations for deterministic risk assessment [19,20]. However, the deterministic risk, calculated by fixed values, relies on the actual magnitude of the risk defined by individual differences, age, physical condition, gender, and metabolic parameters [21,22]. In contrast, probabilistic risk simulation provided a more accurate basis for risk management and remediation [23]. Based on probabilistic modeling, the Monte Carlo simulation technique incorporates the variability in critical exposure traits, such as the fluctuation in soil ingestion rate (Ring), body weight (BW) and exposure frequency (EF). In probabilistic risk assessment, every variable and parameter is treated as a probability distribution rather than a fixed value. This approach dramatically minimizes the uncertainties inherent in health risk evaluations. The Monte Carlo simulation method follows these essential steps: First, probability distributions are established for HM concentration parameters. Next, uncertain parameter values are generated according to these distributions. The model then performs 10,000 randomized samplings across these parameter ranges, feeding them into the risk assessment calculations. Finally, the simulated output parameters are analyzed to generate cumulative probability distributions that quantify potential health risks [24,25]. Therefore, Monte Carlo simulation can well make up for the deficiencies of classical techniques. This technique can estimate the probability of pollutants exceeding the danger threshold and prioritize the part of health risk control, effectively conducting probabilistic health risk analysis [26]. For example, Eslami et al. [27] studied the health risks of pesticides on fruits, and the Monte Carlo simulation they adopted revealed that the total hazard quotient (THQ = 36.7%) of children was significantly higher than that of adults (7.8%). Traditional mean analysis was unable to capture this difference, demonstrating the precise identification ability of probability methods for sensitive populations. The emphasis suggested that evaluating probabilistic risk could yield a more suitable health risk assessment, to some degree [28]. In addition, the Target-Organ Toxicity Dose (TTD), a method for risk characterization of specific toxicological endpoints, which is an improvement on the traditional health risk assessment. It not only accounts for the critical effects of pollutants but also integrates the assessment of toxic doses across multiple target organs for diverse HMs, thereby significantly enhancing the precision of risk evaluations. To some extent, it places a particular emphasis on the potential impacts on target organs when pollutant concentrations surpass critical exposure doses [29]. Still, it is limited to establishing a more comprehensive and multi-perspective assessment on integrating deterministic risk, probabilistic risk and target organ toxicity dose to pay attention to human health.
As the discussion above, our study aimed to (1) systematically evaluate the spatial distribution and contamination severity of HMs; (2) assess the carcinogenic and non-carcinogenic health risks of HMs using a deterministic assessment and the Monte Carlo method; and (3) estimate the non-carcinogenic health risks of HMs using the TTD method. The present study can provide a theoretical framework for the scientific evaluation and human health risk assessment of HMs contamination in karst areas of Guizhou Province.
2. Materials and Methods
2.1. Study Area
Guizhou Province (24°37′ N–29°13′ N, 103°36′ E–109°35′ E), lies within the eastern segment of the Yunnan-Guizhou Plateau, featuring elevated ground to the west and descending terrain to the east. The annual temperatures hover between 14–16 °C and rainfall typically ranges from 1100–1400 mm. Spanning 176,167 square kilometers, this vital agricultural hub supports a population of around 35.81 million people and plays a key role in China’s grain production [30].
2.2. Sample Collection and Analysis
In autumn 2017, 740 topsoil samples (from 0–20 cm depth) were gathered from Guizhou’s farmland, nearly encompassing the entire cultivated area. The layout of sampling points referred to the Chinese national standard DZ/T 0295-2016 [31], soil samples were collected in Guiyang (GY, n = 48), Zunyi (ZY, n = 148), Anshun (AS, n = 82), Liupanshui (LPS, n = 21), Bijie (BJ, n = 51), Qiandongnan (QDN, n = 151), Qiannan (QN, n = 119), Qianxinan (QXN, n = 44) and Tongren (TR, n = 75). The distributions of sampling sites were shown in Figure 1.
Figure 1.
Location of the study area and distribution of sampling sites.
To ensure a representative composite sample, five individual subsamples were gathered within a roughly 10-m radius of the target site and carefully homogenized. Following collection, all specimens were left to air-dry under ambient laboratory conditions. The soil sample processing procedure was conducted as follows: First, a 2 mm sieve was employed to remove animal residues, stones, and plant materials. The ground soil sample was then reduced to approximately 400 g using the quartering method. Subsequently, the entire sample was uniformly sieved through a 0.25 mm sieve. Of the resulting material, one-quarter was allocated for soil pH measurement, while the remaining portion (300 g) was further sieved through a 0.15 mm sieve for the determination of HMs in the soil [32]. Subsequently, 0.25 g of soil was transferred into a Teflon crucible, and then a 10 mL mixture of nitric acid and perchloric acid in a 4:1 ratio, along with 2 mL of hydrofluoric acid, was added. The crucible was subsequently heated to promote digestion. Once digested, the solution was moved to a 25 mL colorimetric tube and topped up with ultra-pure water to the required volume. The Pb, Cd, and Cr contents in the soil were then measured using Inductively Coupled Plasma-Mass Spectrometry (ICP-MS) [33]. ICP-MS allows for simultaneous multi-element detection, offering rapid, highly sensitive analysis of trace amounts [34]. In another process, about 0.3 g of soil sample via a 0.15 mm sieve was weighed and placed into a 50 mL colorimetric tube. The sample was slightly wetted with water and then mixed with 10 mL of a 1:1 aqua regia solution (HCl-HNO3-H2O, 3:1:4). This mixture was digested in a boiling water bath for 2 h, then allowing to cool, and diluting with ultra-pure water to the desired volume. The Hg content was measured using an Atomic Fluorescence Spectrometer (AF-630A) [35]. For As determination, the aliquot was taken and mixed with thiourea and ascorbic acid [36]. Hg and As were detected by AFS, and this method has high sensitivity and accuracy [37].
To measure the pH of soils, about 10 g of soil were carefully weighed and transferred into a 50 mL beaker. Then, 25 mL of water was poured in to eliminate any trapped carbon dioxide. The mixture was stirred vigorously to ensure thorough blending and left to sit for half an hour. Finally, the pH level was measured using a glass electrode.
During the determination process, GBW07408 (from the National Standards Research Center of China) was utilized for HM content analysis and quality control. The recovery rate of spiked samples was maintained between 90% and 110%. Parallel samples were taken every 30 samples, with relative deviations kept within 10%.
2.3. Contamination Assessment
The PI, PN and Igeo were applied to assess the contamination of HMs in farmland in Guizhou Province. The PI assessed individual HM pollutant concentrations in the soils [38], while the PN gauged the overall pollution impact of multiple HMs [39]. These indices are calculated as follows:
where Ci is the measured concentration of HM i, Si is the standard evaluation value, which is the soil pollution risk screening value in the “Soil environmental quality standard” [40]. The pollution level classifications for PI and PN were shown in Table S1 [41].
Considering the impact of natural diagenesis on the background values, the geological accumulation index (Igeo) was employed to assess the contamination of HMs, and it identified the influence of anthropogenic activities [42]. It was calculated as follows:
where Bi is the geochemical background value of HM i in the local soil [43], Ci is the measured concentration of HM i, and 1.5 is the coefficient of variation that results from rock formation [44]. The pollution level classification for Igeo was shown in Table S2 [42].
2.4. Potential Ecological Risk Assessment
The potential ecological risk index method proposed by Hakanson [38] can comprehensively consider the ecotoxicity of pollutants and ecological environmental factors. This approach effectively captures the overall influence of different contaminants on the ecosystem. This index can be used to quantitatively analyze and predict potential ecological risks. RI is the sum of the ecological health risk index for each HM (Er), calculated as follows:
where Ti is the toxic response factor (As: 10, Cd: 30, Cr: 2, Hg: 40, Pb: 5). The risk levels classifications for Er and RI were shown in Table S3 [38].
2.5. Health Risk Assessment
The health risk assessment recommended by the USEPA for human exposure to HM was quantified both non-carcinogenic and carcinogenic risks via oral ingestion (ing), inhalation (inh) and dermal contact (dermal), respectively [45]:
where ADDing, ADDinh, and ADDder represent the average daily doses of HMs in the soil in mg/(kg·d); CS is the soil HM concentration (mg/kg). The interpretation and values of the exposure parameters are shown in Table S4 [46,47,48].
The formulas below were used to compute the non-carcinogenic and carcinogenic risk indices:
HI represents the non-cancerous health risk associated with a single HM across various exposure routes, while the THI aggregates the risks from multiple HMs. If either the THI or HI exceeds 1, it signals a possible risk of health problems [49]. RfDi indicates the non-carcinogenic average daily reference dose for HM i. CR is the carcinogenic risk factor for all exposure pathways for a single HM, the TCR indicates the total carcinogenic risk for multiple HMs. SF is a carcinogenic slope factor. When the CR values surpass the risk cutoff of 1 × 10−4, it suggests that humans face significant risks of cancer. Conversely, if the CR values fall below the commonly accepted threshold of 1 × 10−6, they are typically viewed as posing an insignificant threat to human health [50]. The values of exposure parameters relevant to adults and children in the health risk assessment are shown in Table S5 [46,47,48,51].
To address uncertainties and variability in risk quantification, a probabilistic framework employing Monte Carlo simulations was implemented. Computational analyses were conducted using Oracle Crystal Ball, with 10,000 iterative samplings at a 95% confidence interval, drawing stochastically from predefined exposure parameter distributions [52]. This approach generated probabilistic health risk profiles, while the parameter configurations for probability density functions in the risk assessment model [53] were detailed in Table S6 [46,54,55,56].
In addition, TTD is an improvement on the HI method, and the toxic dose of HM in multiple target organs is included in the evaluation scope, which can more accurately reflect the specific health risks of pollutants to humans [57]. At present, the corresponding target organ toxicity data for Cd, Pb, As and Cr are relatively complete, and the corresponding target organ toxicity effect endpoint data have been reported, while the target organ toxicity data for Hg are relatively lacking [58]. The formula for calculating HI in the TTD method is as follows:
where the TTDi value is the endpoint of the toxicological effect of the corresponding target organ for each HM (Table S7) [59]. HITTD is the risk value of a single HM to the target organ. The THITTD is the sum of the HITTD of multiple HMs.
2.6. Data Analysis
Microsoft Office Excel 2024, IBM SPSS Statistics 27, Origin 2024 and GraphPad Prism 10 were employed for experimental data processing and analysis. Independent sample t-test of health risk indices (HI, CR) between adults and children were performed using Student’s t-test. Subsequently, Kriging interpolation of ArcGIS 10.8 software was used to conduct spatial interpolation mapping to describe the spatial distribution of HMs.
3. Results
3.1. Evaluation of Heavy Metal Pollution
The results of HMs pollution in soil were shown in Table 1. The mean values of As, Cd, Cr, Hg and Pb for the soil samples were 9.08, 0.36, 73.06,0.13 and 28.14 mg/kg, respectively. When compared with the soil background values of Guizhou Province, the exceeding rates of As, Cd, Cr, Hg and Pb were 4.46%, 5.54%, 20.95%, 62.03% and 18.92%, respectively. Furthermore, the soils in Guizhou Province mainly exhibited slight acidity, with pH values between 3.84 and 8.06 and an average of 6.14. At pH levels ≤ 5.5, between 5.5 and 6.5, and from 6.5 to 7.5, Cd exceedance rates were 37.39%, 32.03%, and 9.47%, respectively. At the pH > 7.5, the exceeding rate of As was 9.88%. The total exceedance rates of As and Cd were 1.08% and 24.46%, respectively. Moreover, the coefficient of variation (CV) was in the order of As (59.25%) > Hg (46.15%) > Cd (44.44%) > Cr (39.98%) > Pb (28.75%).
Table 1.
Concentrations of heavy metal in soils in the study area (mg/kg).
The kriging method was further used to analyze the current status and spatial distribution of HM contamination in agricultural soils (Figure 2). High levels of As and Hg were observed in the central area; high Cd and Cr were concentrated mainly in the western region; and Pb concentrations were higher from the northern parts, respectively. And the levels of pH were high in the southwestern part.
Figure 2.
Spatial distribution of heavy metal pollution characteristics. (a) As; (b) Cd; (c) Cr; (d) Hg; (e) Pb; (f) pH.
In addition, the methods of Igeo and PI were utilized to assess the contamination status of farmland soils. assess the contamination status of farmland soils. in the Guizhou Province. The values of Igeo indicated that 1.49% of Cr and 31.62% of Hg, indicating minor pollution (Figure 3a). The average PI for HMs varied between 0.23 and 0.84. Specifically, 21.35% of the sampling sites exhibited mild Cd contamination (1 < PI ≤ 2), and 3.11% showed moderate Cd contamination (2 < PI ≤ 3) (Figure 3b). The PN value was 1.77, which was at the light pollution level.
Figure 3.
Assessment of the (a) Igeo and (b) PI.
3.2. Ecological Risk Assessment
The Er values calculated by HMs concentrations rank as the order of Cd > Pb > As > Hg > Cr, with 10.95% sites of Cd rated at a moderate risk level (Figure 4a). And, there was no ecological risk level in Guizhou because the RI value was below 80. More importantly, the spatial pattern of RI (Figure 4b) indicated higher concentrations in the western area, with slightly higher values in the central region.
Figure 4.
Assessment of (a) Er and spatial distribution of (b) RI.
3.3. Deterministic Risk Assessment
The results of the deterministic risk assessment were shown in Table 2. The results for the three exposure pathways were in the order of HIing(1.12 × 10−1) > HIdermal(1.54 × 10−2) > HIinh(7.62 × 10−4) in adults and HIing(7.54 × 10−1) > HIdermal(7.22 × 10−2) > HIinh(1.32 × 10−3) in children, indicating that oral ingestion is the primary exposure pathway for non-carcinogenic risks. The deterministic risks posed by HMs, the order of HI was Cr(5.12 × 10−2) > As(4.59 × 10−2) > Pb(3.03 × 10−2) > Hg(6.82 × 10−4) > Cd(6.42 × 10−4) in adults and Cr(3.12 × 10−1) > As(3.05 × 10−1) > Pb(2.02 × 10−1) > Hg(4.50 × 10−3) > Cd(4.03 × 10−3) in children. Although all soil HI values were under 1, 27.84% THI values in children and 30% TCR values in adults were above the acceptable range. At the same time, the order for CR was Cr(6.32 × 10−5) > As(2.04 × 10−5) > Cd(3.27 × 10−6) > Pb(3.56 × 10−7) in adults and Cr(4.06 × 10−4) > As(1.36 × 10−4) > Cd(2.19 × 10−5) > Pb(2.39 × 10−6) in children. CR(Cr) exceeded the acceptable range in 9.59% of adults. Specifically, the CRing values of As and Cr for children in the ingestion pathway were greater than 1 × 10−4. And, the exceeding rate of CR(As) in children was 57.30%. The Student’s t-test showed that there were significant differences in all health risk indicators between children and adults (Figures S1 and S2). For THI, TCR, As, Cd, Cr, Hg and Pb, the non-carcinogenic and carcinogenic risks were notably greater in children compared to adults (p < 0.0001).
Table 2.
Carcinogenic and non-carcinogenic risk assessment of heavy metals in different populations.
The kriging technique was further employed to map out the spatial patterns of THI and TCR among both adults and children (Figure 5). The high TCR values of adults and children were primarily located in the southwest and central parts areas (Figure 5a,c), and the high THI values were mainly distributed in the southwest, central and northeast areas (Figure 5b,d).
Figure 5.
Spatial distribution of total carcinogenic and non-carcinogenic risks in (a,b) adults and (c,d) children.
3.4. Probabilistic Risk Assessment
The probabilistic assessment by Monte Carlo simulation was shown in Figure 6 and Figure 7. The probabilistic risks ranked as follows: for mean HI values, Cr(5.18 × 10−2) > As(4.64 × 10−2) > Pb(3.06 × 10−2) > Hg(6.79 × 10−4) > Cd(6.45 × 10−4) in adults (Figure 6b–f) and Cr(3.15 × 10−1) > As(3.08 × 10−1) > Pb(2.04 × 10−1) > Hg(4.47 × 10−3) > Cd(4.04 × 10−3) in children (Figure 6h–l); similarly, for mean CR values, the order was Cr(6.40 × 10−5) > As(2.07 × 10−5) > Cd(3.29 × 10−6) > Pb(3.61 × 10−7) in adults (Figure 7b–e) and the order was Cr(4.11 × 10−4) > As(1.38 × 10−4) > Cd(2.20 × 10−5) > Pb(2.41 × 10−6) in children (Figure 7g–j). Obviously, the Cr values both in CR and HI were the highest among all of the investigated HMs. In adults, HI(Cr) contributed 39.85% to THI, followed by HI(As) with 35.69%. In children, HI(Cr) contributed 37.68% to THI, followed by HI(As) with 36.84%. In children, there was an 11.67% probability that the THI value exceeded the exposure risk value. The acceptable threshold for CR(Cr) was likely to be exceeded in adults, but it was guaranteed to be exceeded in children, with a 100% probability. Additionally, there was a 94.62% probability that the acceptable threshold for CR(As) would be exceeded in children. The total probabilistic carcinogenic risk was 20.69% for adults and 100% for children, respectively. The Student’s t-test showed that there were significant differences in all health risk indicators between children and adults (Figures S3 and S4). For THI, TCR, As, Cd, Cr, Hg and Pb, the probabilistic non-carcinogenic and carcinogenic risks were notably greater in children compared to adults (p < 0.0001).
Figure 6.
Probabilistic non-carcinogenic risk assessment of heavy metals in (a–f) adults and (g–l) children.
Figure 7.
Probabilistic carcinogenic risk assessment of heavy metals in (a–e) adults and (f–j) children.
3.5. Health Risk Assessment Based on the TTD Method
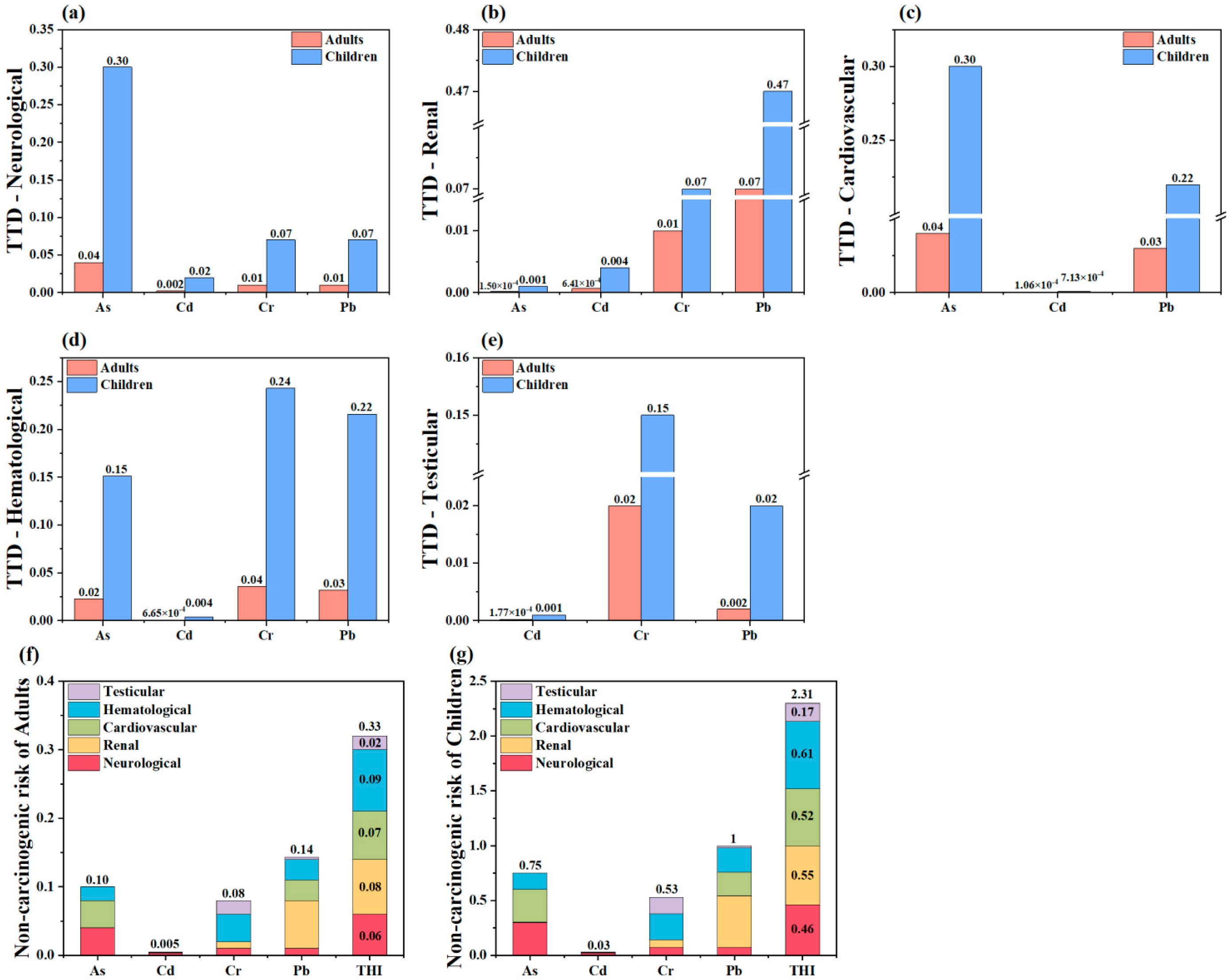
Oral ingestion, as the primary exposure way of health risk, was selected as a non-carcinogenic risk assessment modified by the TTD. From the target organs, the cumulative risks in our study were 0.09, 0.08, 0.07, 0.06 and 0.2 in adults (Figure 8f) and 0.61, 0.55, 0.52, 0.46 and 0.17 in children (Figure 8g), respectively. It showed that HITTD(Hematological) had the highest contribution rate to THITTD, which was 27.27% and 26.41% in adults and children, respectively. From the perspective, the Pb, As, Cr and Cd values for cumulative risks were 0.14, 0.10, 0.08 and 0.005 in adults and 1, 0.75, 0.53, and 0.03 in children, respectively. The data showed that the contributions of HITTD(Pb) were 42.42% in adults and 43.29% in children. In total, The THITTD was 2.56 times higher than the definitive risk assessment of THIAdults and 2.79 times that of THIChildren. The health risks of HMs in different target organs were illustrated in Figure 8. The neurological and cardiovascular systems were most sensitive to As (Figure 8a,c), the renal system to Pb (Figure 9b), and the hematological and testicular systems to Cr (Figure 8d,e). In addition, children faced greater health risks compared to adults.
Figure 8.
Non-carcinogenic risk of (a–e) different target organs and (f,g) different populations based on TTD.
Figure 9.
Spatial distribution of total non-carcinogenic risks of different target organs in adults (a) and children (b).
The spatial pattern of HITTD was uniformly comparable across adults (Figure 9a) and children (Figure 9b) for various target organs. The high-risk areas for the neurological and cardiovascular systems were primarily in the central region, those for the renal system in the northern, and those for the testicular system in the west. The high values of THITTD were primarily located in the southwest, central and northeast regions.
4. Discussion
4.1. Heavy Metals Pollution Analysis
In most cases, the adsorption of metal elements onto soil particle surfaces intensifies as soil pH levels increase [60]. We found that the higher Cd concentrations of samples are higher at the low pH. To some extent, it might be contributed to the low solubility of soil Cd at a high pH accounting with the properties of calcareous soil [61]. In contrast, the present study indicated that As exceeded the limit at high pH levels. As previously study described, the solubility of As in soil is possibly rising with the soil pH increasing [62]. Furthermore, the CV reflected the variability and dispersion of soil elements. Elements with high CV may be affected by human activities [63]. As, Cd, Cr and Hg showed high variability (CV ≥ 36%), indicating that they had high spatial heterogeneity [64], which may be due to the impacts of parent rocks and the process of soil formation [16].
The PI of Cd was the highest, primarily due to its relatively high toxicological response factor [65]. Investigation of the agricultural soil near the mining area in central Guizhou showed that the PN was 2.5 [14], which was higher than the result of this study, as it was near the mining area possibly. Although the PI for other HMs were within the standard limits, 24.46% of the sites showed Cd contamination. Therefore, the PN was 1.77, indicating that Guizhou province was under slight pollution. The PN describes the possibility of pollution, the risk amount of the indicated pollution and it is also able to measure the reach of HMs pollution to the topsoil level, taking into account the risks of all referenced HMs [66]. The Igeo index considers the effects of natural diagenesis and anthropogenic activities [67], and the Igeo of 31.62% of Hg was slightly polluted, indicating that Hg was affected by anthropogenic activities. Guizhou is one of the major Hg-producing regions in China, consistently ranking first in terms of Hg ore reserves and production. The related mining and smelting activities will produce a large amount of Hg-containing waste gas, waste water and waste residue, which is very likely to lead to HMs contamination of its neighboring soils [68]. Therefore, the contamination of Hg in farmland soil should be noted within the Guizhou Province. Moreover, the Er of 10.95% Cd indicated a moderate pollution level. Although the results of RI indicated that the study area was at a low risk level, the impact of Cd should still be taken seriously. The Igeo focuses on quantifying the effects of anthropogenic pollution, while other indices (such as Er and RI) pay more attention to toxicity responses or comprehensive risk assessment. Therefore, PI and Er described the pollution risk level of Cd, while Igeo indicated the impact of human activities on Hg. The pollution of Cd and Hg in the farmland soil of Guizhou Province deserves attention, suggesting that priority should be given to control and reduce their risk to the environment. The deficiency of this study is that only five HMs were investigated. However, the influence of other HMs (such as Cu, Co, Zn, etc.) is also very important. Therefore, in the subsequent research work, we consider including these several HMs in the study to assess the soil environmental quality more comprehensively.
4.2. Deterministic and Probabilistic Risk Assessment
Deterministic health risk assessment was used to estimate carcinogenic and non-carcinogenic risks for adults and children via ingestion, inhalation, and skin contact. Kyere et al. [69] and Demirtepe et al. [70] showed that higher HI levels were typically observed in the ingestion routes compared to inhalation and skin contact routes. This study also showed that the ingestion route contributed the most to HI. Therefore, this pathway should be valued. Similar to previous studies [71,72], our study indicated that children exhibited higher non-carcinogenic and carcinogenic risks than adults (p < 0.0001), primarily owing to their conduct, biological traits, and exposure duration [73]. In addition, Lu et al. [74] revealed that As and Cr contributed high CR was noteworthy, particularly in the southwestern region, which aligned with the findings of this study. The CR of Cr was higher, potentially due to its lower slope factor, posing a greater carcinogenic risk than other HMs. Meantime, there are many mineral resources in Guizhou Province with high concentrations of Cr [75]. Therefore, the health risks posed by As and Cr to children deserve attention in the southwestern region.
Monte Carlo simulation, a widely used probabilistic risk assessment technique, minimizes uncertainty and offers more comprehensive results during risk evaluation [22]. Through the evaluation of two methods, Cr had the highest risk in HI and CR, followed by As; and CR values for Cr and As exceeded the acceptable range in children. However, the mean HI and CR values of As, Cd, Cr, and Pb, for the probabilistic approach were slightly higher than those for the deterministic approach. Previous research used deterministic values to assess health risks, which eventually may underestimate the risk outcomes [76,77]. A significant reduction has been observed in exceedance probabilities for THI for children and adult TCR and CR(As) for adults relative to their safety thresholds. These phenomena suggested that the above indicators may be overestimated in deterministic assessments. Additionally, the CR of As for children exceeded the probability risk increased, among from 57.30% in deterministic assessment to 94.62%, which indicated that the risk may be underestimated. To our knowledge, deterministic and probabilistic techniques are widely used to estimate human health risks posed by various pollutants [78]. Combining the two methods to explore the health risks of HMs to people can provide a scientific foundation for policymakers to achieve risk management. A key limitation is the absence of formal sensitivity analysis. Although the main purpose of this study was to assess the overall risk probability range of soil heavy metals to the population, and Monte Carlo simulation effectively quantified the variability of the results under the uncertainty of the given parameters, this limited the identification of key risk drivers. Future studies should incorporate sensitivity and uncertainty analysis to further explain the research results in depth. In addition, Jin et al. [79] estimated the health risks of HMs in food, which gave us great enlightenment. Subsequently, we consider conducting an assessment of HMs pollution and health risks related to soil, crops and humans.
4.3. Health Risk Assessment Modified by the TTD Method
The health risks posed by HMs in soil to local populace were objectively evaluated by both the deterministic and probabilistic risks. However, traditional health risk assessment models only consider the most sensitive effect target organ of HMs, while actual risks arise from damage to multiple target organs simultaneously. This may result in an underestimation of the non-carcinogenic health risks posed by soil HMs contamination to humans [57,80]. Therefore, TTD was further used for risk assessment of specific target organs.
On account of Pb being more sensitive to the toxic effects of target organs, its cumulative risk value was higher than other HMs. More importantly, the HITTD value of Pb in children was 1. Therefore, the health risks caused by Pb to children should be paid attention to. In terms of a single target organ, the accumulation risk in the hematology was the highest, indicating that HMs in agricultural soil might cause damage to the hematological system of the population, although it is still within the safe threshold of soil risk. Compared with the traditional deterministic assessment results, the HITTD evaluated by the TTD model was 1.56~7.79 times than that of HI, which was mainly due to the joint action of two or more HMs in these target organs [81]. Thus, utilizing the TTD model allows for more precise measurement and comparison of cumulative risks associated with various HMs against risk values obtained through traditional methods, providing a deeper understanding of health risks to target organs [81]. To this end, the TTD addresses the limitation of the traditional method in comprehensively assessing risks across multiple target organs.
In addition, consistent with the results of traditional methods, the health risks in the southwest region are noteworthy. Due to the lack of supporting data and uneven medical resource allocation, it cannot be determined whether the incidence rates of relevant diseases in various regions of Guizhou align with research findings. Therefore, residents in high-risk areas should be mindful of undergoing regular health checks for related target organ diseases. However, none of these three health risk assessment techniques take into account the bioavailability of HMs in the soil, which may lead to an overestimation of health risks. This is the deficiency of this study. Future research will focus on the bioavailability of soil HMs and animal experiments to fully explore and verify the carcinogenic and non-carcinogenic health risks brought by related metal pollutants to the human body, to evaluate the health risks of soil HMs more comprehensively. It will facilitate decision-making regarding health risks and the formulation of appropriate public health measures.
5. Conclusions
Cd and Hg were the main pollutants in agricultural soil of Guizhou Province, and their distribution was affected by industrial activities and soil pH. The PN indicated slight pollution in the farmland soil within the province. Children were at higher risk of non-carcinogenic and carcinogenic than adults, and the CR of Cr (3.12 × 10−1) and As (3.05 × 10−1) was particularly prominent, which exceeded the acceptable range. However, the carcinogenic risk of adults was less than 1 × 10−4 and did not exceed the standard. Convergent findings from deterministic modeling and Monte Carlo simulations revealed CR for As and Cr exceeding safety thresholds in children. Further, the TTD was used to assess multi-organ risk, revealing a higher risk of soil HMs for hematological health, with notable health risks posed by Pb in children. This approach addresses the limitation of the traditional method in comprehensively assessing risks across multiple target organs. It is noted that spatial distribution analysis suggested that the southwestern region of Guizhou Province should be prioritized for health risk management and control. By integrating the uniqueness of geological environments, multi-dimensional health risk assessments, and spatial distributions, this study provides a scientific basis for assessing HMs pollution risks and soil health risks in karst regions.
Supplementary Materials
The following supporting information can be downloaded at: https://www.mdpi.com/article/10.3390/toxics13060515/s1, Figure S1. Non-carcinogenic risk significance test analysis for adults and children Note: **** p < 0.0001; Figure S2. Carcinogenic risk significance test analysis for adults and children. Note: **** p < 0.0001; Figure S3. Probabilistic non-carcinogenic risk significance test analysis for adults and children. Note: **** p < 0.0001; Figure S4. Probabilistic carcinogenic risk significance test analysis for adults and children. Note: **** p < 0.0001; Table S1: Classification of the PI and PN; Table S2: Classification of the Igeo; Table S3: Classification of the Er and RI; Table S4: Description of parameters in health risk assessment; Table S5: Reference dose (RfD) and cancer slope factor (SF) via oral (Ingestion), inhalation and dermal contact; Table S6: Distribution settings for each parameter in the Monte Carlo simulation; Table S7: The corresponding target organ toxicity doses for each heavy metal.
Author Contributions
Q.L.: Conceptualization, methodology, validation and writing—original draft preparation; D.L.: Conceptualization, validation and writing—review and editing; Z.W.: Validation and formal analysis; D.S.: Data curation and funding acquisition; T.Z.: Writing—review and editing, supervision and project administration; Q.Z.: Resources, project administration and funding acquisition. All authors have read and agreed to the published version of the manuscript.
Funding
This research was funded by the National Natural Science Foundation of China [42467054; 42167054]; Guizhou Provincial Foundation for Excellent Scholars Program (No. GCC[2023]076); Guizhou Provincial Basic Research Program (Natural Science) ([2023]317); Guizhou Provincial Key Technology R&D Program (No. 2024078); the Open Foundation for Key Laboratory of Environmental Pollution Monitoring and Disease Control, Ministry of Education ([2022]441); (GMU-2023-HJZ-03); The Central Government Supports the Reform and Development of Local Colleges and Universities ([2023]067).
Institutional Review Board Statement
Not applicable.
Informed Consent Statement
Not applicable.
Data Availability Statement
The data presented in this study are available on request from the corresponding author.
Conflicts of Interest
The authors declare no conflicts of interest.
References
- Su, C.; Wang, J.; Chen, Z.; Meng, J.; Yin, G.; Zhou, Y.; Wang, T. Sources and health risks of heavy metals in soils and vegetables from intensive human intervention areas in South China. Sci. Total Environ. 2023, 857, 159389. [Google Scholar] [CrossRef] [PubMed]
- Vareda, J.P.; Valente, A.J.M.; Durães, L. Assessment of heavy metal pollution from anthropogenic activities and remediation strategies: A review. J. Environ. Manag. 2019, 246, 101–118. [Google Scholar] [CrossRef]
- Wei, L.; Wang, K.; Noguera, D.R.; Jiang, J.; Oyserman, B.; Zhao, N.; Zhao, Q.; Cui, F. Transformation and speciation of typical heavy metals in soil aquifer treatment system during long time recharging with secondary effluent: Depth distribution and combination. Chemosphere 2016, 165, 100–109. [Google Scholar] [CrossRef] [PubMed]
- Konyshev, A.A.; Sidkina, E.S.; Cherkasova, E.V.; Mironenko, M.V.; Gridasov, A.G.; Zhilkina, A.V.; Bugaev, I.A. Migration Forms of Heavy Metals and Chemical Composition of Surface Waters in the “Arsenic” Shaft Area (Pitkäranta Ore District, South Karelia). Geochem. Int. 2020, 58, 1068–1074. [Google Scholar] [CrossRef]
- Shi, H.; Li, J. Research on Heavy Metal Pollution and Comprehensive Treatment of Farmland Soil. Front. Chem. Sci. Eng. 2022, 2, 8–12. [Google Scholar] [CrossRef]
- Xu, D.; Fu, R.; Liu, H.; Guo, X. Current knowledge from heavy metal pollution in Chinese smelter contaminated soils, health risk implications and associated remediation progress in recent decades: A critical review. J. Clean. Prod. 2021, 286, 124989. [Google Scholar] [CrossRef]
- Chen, H.; Teng, Y.; Lu, S.; Wang, Y.; Wang, J. Contamination features and health risk of soil heavy metals in China. Sci. Total Environ. 2015, 512–513, 143–153. [Google Scholar] [CrossRef]
- Yang, Q.; Yang, Z.; Zhang, Q.; Liu, X.; Zhuo, X.; Wu, T.; Wang, L.; Wei, X.; Ji, J. Ecological risk assessment of Cd and other heavy metals in soil-rice system in the karst areas with high geochemical background of Guangxi, China. Sci. China Earth Sci. 2021, 64, 1126–1139. [Google Scholar] [CrossRef]
- Wen, Y.; Li, W.; Yang, Z.; Zhang, Q.; Ji, J. Enrichment and source identification of Cd and other heavy metals in soils with high geochemical background in the karst region, Southwestern China. Chemosphere 2020, 245, 125620. [Google Scholar] [CrossRef]
- Xia, X.; Ji, J.; Yang, Z.; Han, H.; Huang, C.; Li, Y.; Zhang, W. Cadmium risk in the soil-plant system caused by weathering of carbonate bedrock. Chemosphere 2020, 254, 126799. [Google Scholar] [CrossRef]
- Luo, K.; Liu, H.; Liu, Q.; Tu, Y.; Yu, E.; Xing, D. Cadmium accumulation and migration of 3 peppers varieties in yellow and limestone soils under geochemical anomaly. Environ. Technol. 2022, 43, 10–20. [Google Scholar] [CrossRef] [PubMed]
- Pu, W.; Sun, J.; Zhang, F.; Wen, X.; Liu, W.; Huang, C. Effects of copper mining on heavy metal contamination in a rice agrosystem in the Xiaojiang River Basin, southwest China. Acta Geochim. 2019, 38, 753–773. [Google Scholar] [CrossRef]
- Guo, Y.; Wu, R.; Guo, C.; Lv, J.; Wu, L.; Xu, J. Occurrence, sources and risk of heavy metals in soil from a typical antimony mining area in Guizhou Province, China. Environ. Geochem. Health 2022, 45, 3637–3651. [Google Scholar] [CrossRef]
- Cui, W.; Mei, Y.; Liu, S.; Zhang, X. Health risk assessment of heavy metal pollution and its sources in agricultural soils near Hongfeng Lake in the mining area of Guizhou Province, China. Front. Public Health 2023, 11, 1276925. [Google Scholar] [CrossRef] [PubMed]
- Tang, M.; Lu, G.; Fan, B.; Xiang, W.; Bao, Z. Bioaccumulation and risk assessment of heavy metals in soil-crop systems in Liujiang karst area, Southwestern China. Environ. Sci. Pollut. Res. 2020, 28, 9657–9669. [Google Scholar] [CrossRef]
- Qin, Y.; Zhang, F.; Xue, S.; Ma, T.; Yu, L. Heavy Metal Pollution and Source Contributions in Agricultural Soils Developed from Karst Landform in the Southwestern Region of China. Toxics 2022, 10, 568. [Google Scholar] [CrossRef]
- Adimalla, N.; Chen, J.; Qian, H. Spatial characteristics of heavy metal contamination and potential human health risk assessment of urban soils: A case study from an urban region of South India. Ecotoxicol. Environ. Saf. 2020, 194, 110406. [Google Scholar] [CrossRef]
- Kampa, M.; Castanas, E. Human health effects of air pollution. Environ. Pollut. 2008, 151, 362–367. [Google Scholar] [CrossRef]
- Wang, Y.; Duan, X.; Wang, L. Spatial distribution and source analysis of heavy metals in soils influenced by industrial enterprise distribution: Case study in Jiangsu Province. Sci. Total Environ. 2020, 710, 134953. [Google Scholar] [CrossRef]
- Chen, R.; Zhang, Q.; Chen, H.; Yue, W.; Teng, Y. Source apportionment of heavy metals in sediments and soils in an interconnected river-soil system based on a composite fingerprint screening approach. J. Hazard. Mater. 2021, 411, 125125. [Google Scholar] [CrossRef]
- Huang, J.; Wu, Y.; Sun, J.; Li, X.; Geng, X.; Zhao, M.; Sun, T.; Fan, Z. Health risk assessment of heavy metal(loid)s in park soils of the largest megacity in China by using Monte Carlo simulation coupled with Positive matrix factorization model. J. Hazard. Mater. 2021, 415, 125629. [Google Scholar] [CrossRef] [PubMed]
- Chen, H.; Wang, L.; Hu, B.; Xu, J.; Liu, X. Potential driving forces and probabilistic health risks of heavy metal accumulation in the soils from an e-waste area, southeast China. Chemosphere 2022, 289, 133182. [Google Scholar] [CrossRef] [PubMed]
- Yang, S.; Liu, X.; Xu, J. New Perspectives about Health Risk Assessment of Soil Heavy Metal Pollution-Origin and Prospects of Probabilistic Risk Analysis. Acta Pedol. Sin. 2022, 59, 28–37. [Google Scholar] [CrossRef]
- Yang, B.; Li, W.; Xiong, J.; Yang, J.; Huang, R.; Xie, P. Health Risk Assessment of Heavy Metals in Soil of Lalu Wetland Based on Monte Carlo Simulation and ACPS-MLR. Water 2023, 15, 4223. [Google Scholar] [CrossRef]
- Tudi, M.; Li, H.; Li, H.; Wang, L.; Lyu, J.; Yang, L.; Tong, S.; Yu, Q.J.; Ruan, H.D.; Atabila, A.; et al. Exposure Routes and Health Risks Associated with Pesticide Application. Toxics 2022, 10, 335. [Google Scholar] [CrossRef]
- Ding, D.; Kong, L.; Jiang, D.; Wei, J.; Cao, S.; Li, X.; Zheng, L.; Deng, S. Source apportionment and health risk assessment of chemicals of concern in soil, water and sediment at a large strontium slag pile area. J. Environ. Manag. 2022, 304, 114228. [Google Scholar] [CrossRef]
- Eslami, Z.; Mahdavi, V.; Tajdar-oranj, B. Probabilistic health risk assessment based on Monte Carlo simulation for pesticide residues in date fruits of Iran. Environ. Sci. Pollut. Res. 2021, 28, 42037–42050. [Google Scholar] [CrossRef]
- Peng, C.; Cai, Y.; Wang, T.; Xiao, R.; Chen, W. Regional probabilistic risk assessment of heavy metals in different environmental media and land uses: An urbanization-affected drinking water supply area. Sci. Rep. 2016, 6, 37084. [Google Scholar] [CrossRef]
- Wilbur, S.B.; Hansen, H.; Pohl, H.; Colman, J.; McClure, P. Using the ATSDR Guidance Manual for the Assessment of Joint Toxic Action of Chemical Mixtures. Environ. Toxicol. Pharmacol. 2004, 18, 223–230. [Google Scholar] [CrossRef]
- Kong, X.; Liu, T.; Yu, Z.; Chen, Z.; Lei, D.; Wang, Z.; Zhang, H.; Li, Q.; Zhang, S. Heavy Metal Bioaccumulation in Rice from a High Geological Background Area in Guizhou Province, China. Int. J. Environ. Res. Public Health 2018, 15, 2281. [Google Scholar] [CrossRef]
- Ministry of Land and Resources of the People’s Republic of China. Specification of Land Quality Geochemical Assessment; Ministry of Land and Resources of the People’s Republic of China: Beijing, China, 2016.
- Ministry of Environmental Protection. The Technical Specification for Soil Environmental Monitoring; Ministry of Environmental Protection: Beijing, China, 2004.
- Ministry of Environmental Protection. Soil and Sediment—Digestion of Total Metal Elements—Microwave Assisted Acid Digestion Method; Ministry of Environmental Protection: Beijing, China, 2017.
- He, S.; Niu, Y.; Xing, L.; Liang, Z.; Song, X.; Ding, M.; Huang, W. Research progress of the detection and analysis methods of heavy metals in plants. Front. Plant Sci. 2024, 15, 1310328. [Google Scholar] [CrossRef] [PubMed]
- General Administration of Quality Supervision, Inspection and Quarantine. Soil Quality—Determination of Total Mercury, Total Arsenic, Total Lead—Atomic Fluorescence Part I: Determination of Total Mercury in Soil; General Administration of Quality Supervision, Inspection and Quarantine: Beijing, China, 2008.
- General Administration of Quality Supervision, Inspection and Quarantine. Soil Quality—Determination of Total Mercury, Total Arsenic, Total Lead—Atomic Fluorescence Part II: Determination of Total Arsenic in Soil; General Administration of Quality Supervision, Inspection and Quarantine: Beijing, China, 2008.
- Wang, T.; Yang, Y.; Ya, Y.; Mo, L.; Fan, Y.; Liao, J.; Huang, D.; Tan, H. Determination of Arsenic and Mercury in Soil by Microwave Digestion and Hidride GenerationAtomic Fluorescence Spectrometry. ACS Agric. Sci. Technol. 2013, 14, 651–653. [Google Scholar]
- Hakanson, L. An ecological risk index for aquatic pollution control. A sedimentological approach. Water Res. 1980, 14, 975–1001. [Google Scholar] [CrossRef]
- Nemerow, N.L. Stream, Lake, Estuary, and Ocean Pollution; Van Nostrand Reinhold: New York, NY, USA, 1985. [Google Scholar]
- Ministry of Environmental Protection. Soil Environmental Quality Risk Control Standard for Soil Contamination of Agricultural Land; Ministry of Environmental Protection: Beijing, China, 2018.
- Förstner, U.; Ahlf, W.; Calmano, W.; Kersten, M. Sediment Criteria Development. In Sediments and Environmental Geochemistry; Springer: Berlin/Heidelberg, Germany, 1990; pp. 311–338. [Google Scholar] [CrossRef]
- Müller, G. Index of geoaccumulation in sediments of the Rhine River. GeoJournal 1969, 2, 108–118. [Google Scholar]
- CNEMC. The Backgrounds of Soil Environment of Guizhou, China; China National Environmental Monitoring Center: Beijing, China, 1990.
- Loska, K.; Wiechula, D.; Korus, I. Metal contamination of farming soils affected by industry. Environ. Int. 2004, 30, 159–165. [Google Scholar] [CrossRef]
- USEPA; Exposure Analysis and Risk Characterization Group; Moya, J. Exposure Factors Handbook; USEPA National Center for Environmental Assessment: Washington, DC, USA, 1997.
- USEPA. Supplemental Guidance for Developing Soil Screening Levels for Superfund Sites; Office of Emergency and Remedial Response: Washington, DC, USA, 2002.
- Ministry of Environmental Protection. Chinese Population Exposure Parameter Manual; Ministry of Environmental Protection: Beijing, China, 2013.
- Liu, H.; Wang, H.; Zhang, Y.; Yuan, J.; Peng, Y.; Li, X.; Shi, Y.; He, K.; Zhang, Q. Risk assessment, spatial distribution, and source apportionment of heavy metals in Chinese surface soils from a typically tobacco cultivated area. Environ. Sci. Pollut. Res. Int. 2018, 25, 16852–16863. [Google Scholar] [CrossRef]
- MohseniBandpi, A.; Eslami, A.; Ghaderpoori, M.; Shahsavani, A.; Jeihooni, A.K.; Ghaderpoury, A.; Alinejad, A. Health risk assessment of heavy metals on PM2.5 in Tehran air, Iran. Data Brief 2018, 17, 347–355. [Google Scholar] [CrossRef]
- USEPA. Risk Assessment Guidance for Superfund (RAGS); U.S. Environment Protection Agency: Washington, DC, USA, 2009.
- Sarwar, T.; Shahid, M.; Natasha, N.; Khalid, S.; Haidar Shah, A.; Ahmad, N.; Naeem, M.A.; Khan, Z.U.H.; Murtaza, B.; Bakhat, H. Quantification and risk assessment of heavy metal build-up in soil–plant system after irrigation with untreated city wastewater in Vehari, Pakistan. Environ. Geochem. Health 2020, 42, 4281–4297. [Google Scholar] [CrossRef]
- Yang, X.; Cheng, B.; Gao, Y.; Zhang, H.; Liu, L. Heavy metal contamination assessment and probabilistic health risks in soil and maize near coal mines. Front. Public Health 2022, 10, 1004579. [Google Scholar] [CrossRef]
- Liu, Z.; Du, Q.; Guan, Q.; Luo, H.; Shan, Y.; Shao, W. A Monte Carlo simulation-based health risk assessment of heavy metals in soils of an oasis agricultural region in northwest China. Sci. Total Environ. 2023, 857, 159543. [Google Scholar] [CrossRef]
- Duan, X.; Zhao, X.; Wang, B.; Chen, Y.; Cao, S. Highlights of the Chinese Exposure Factors Handbook (Adults); Academic Press: Cambridge, MA, USA, 2015. [Google Scholar]
- Chen, R.; Chen, H.; Song, L.; Yao, Z.; Meng, F.; Teng, Y. Characterization and source apportionment of heavy metals in the sediments of Lake Tai (China) and its surrounding soils. Sci. Total Environ. 2019, 694, 133819. [Google Scholar] [CrossRef] [PubMed]
- USEPA. Exposure Factors Handbook: 2011 Edition; National Center for Environmental Assessment Office of Research and Development: Washington, DC, USA, 2011.
- Liu, L.; Han, J.; Qian, Y.; Zhang, Z.; Guo, S. Assessment of heavy metal non-carcinogenic health risk in solidified fly ash using TTD and WOE methods. Environ. Chem. 2019, 38, 1014–1020. (In Chinese) [Google Scholar]
- ATSDR. Guidance Manual for the Assessment of Joint Toxic Action of Chemical Mixtures; ATSDR: Atlanta, GA, USA, 2001.
- ATSDR. Interaction Profile for Arsenic, Cadmium, Chromium and Lead [Online]; ATSDR: Atlanta, GA, USA, 2004.
- Vega, F.A.; Covelo, E.F.; Andrade, M.L. Competitive sorption and desorption of heavy metals in mine soils: Influence of mine soil characteristics. J. Colloid. Interface Sci. 2006, 298, 582–592. [Google Scholar] [CrossRef]
- Zhang, S.; Song, J.; Cheng, Y.; McBride, M.B. Derivation of regional risk screening values and intervention values for cadmium-contaminated agricultural land in the Guizhou Plateau. Land Degrad. Dev. 2018, 29, 2366–2377. [Google Scholar] [CrossRef]
- Wang, X.; Jia, Y.; Jiang, R. Effects of As pollutant in soil on crop growth and safety of agricultural products under Cd stress. Ecol. Environ. Sci. 2009, 18, 2132–2136. (In Chinese) [Google Scholar]
- Yang, S.; Qu, Y.; Ma, J.; Liu, L.; Wu, H.; Liu, Q.; Gong, Y.; Chen, Y.; Wu, Y. Comparison of the concentrations, sources, and distributions of heavy metal(loid)s in agricultural soils of two provinces in the Yangtze River Delta, China. Environ. Pollut. 2020, 264, 114688. [Google Scholar] [CrossRef]
- Zhu, Y.; An, Y.; Li, X.; Cheng, L.; Lv, S. Geochemical characteristics and health risks of heavy metals in agricultural soils and crops from a coal mining area in Anhui province, China. Environ. Res. 2024, 241, 117670. [Google Scholar] [CrossRef]
- Obiri-Nyarko, F.; Duah, A.A.; Karikari, A.Y.; Agyekum, W.A.; Manu, E.; Tagoe, R. Assessment of heavy metal contamination in soils at the Kpone landfill site, Ghana: Implication for ecological and health risk assessment. Chemosphere 2021, 282, 131007. [Google Scholar] [CrossRef]
- Yari, A.A.; Varvani, J.; Zare, R. Assessment and zoning of environmental hazard of heavy metals using the Nemerow integrated pollution index in the vineyards of Malayer city. Acta Geophys. 2020, 69, 149–159. [Google Scholar] [CrossRef]
- Zhao, L.; Xu, Y.; Hou, H.; Shangguan, Y.; Li, F. Source identification and health risk assessment of metals in urban soils around the Tanggu chemical industrial district, Tianjin, China. Sci. Total Environ. 2014, 468–469, 654–662. [Google Scholar] [CrossRef]
- Ma, L.; Zhou, L.; Song, B.; Wang, F.; Zhang, Y.; Wu, Y. Mercury Pollution in Dryland Soil and Evaluation of Maize Safety Production in Guizhou Province. Environ. Sci. 2023, 44, 2868–2878. (In Chinese) [Google Scholar]
- Kyere, V.N.; Greve, K.; Atiemo, S.M.; Amoako, D.; Aboh, I.J.K.; Cheabu, B.S. Contamination and Health Risk Assessment of Exposure to Heavy Metals in Soils from Informal E-Waste Recycling Site in Ghana. Emerg. Sci. J. 2018, 2, 428. [Google Scholar] [CrossRef]
- Demirtepe, H. Soil Contamination by Metals/Metalloids around an Industrial Region and Associated Human Health Risk Assessment. J. Adv. Res. Nat. Appl. Sci. 2024, 10, 91–105. [Google Scholar] [CrossRef]
- Ahmad, W.; Alharthy, R.D.; Zubair, M.; Ahmed, M.; Hameed, A.; Rafique, S. Toxic and heavy metals contamination assessment in soil and water to evaluate human health risk. Sci. Rep. 2021, 11, 17006. [Google Scholar] [CrossRef]
- Pan, L.; Wang, Y.; Ma, J.; Hu, Y.; Su, B.; Fang, G.; Wang, L.; Xiang, B. A review of heavy metal pollution levels and health risk assessment of urban soils in Chinese cities. Environ. Sci. Pollut. Res. Int. 2018, 25, 1055–1069. [Google Scholar] [CrossRef] [PubMed]
- Pena-Fernandez, A.; Gonzalez-Munoz, M.J.; Lobo-Bedmar, M.C. Establishing the importance of human health risk assessment for metals and metalloids in urban environments. Environ. Int. 2014, 72, 176–185. [Google Scholar] [CrossRef]
- Lu, C.; Qing, L.; Wang, X.; Zhang, C.; Xi, Z.; Liu, Z.; Wang, X. Characterization and Risk Assessment of Heavy Metals in Soil of Mine Area in the Yunnan-Guizhou Area. Environ. Sci. 2024, 1–17. (In Chinese) [Google Scholar] [CrossRef]
- Yang, Q.; Li, Z.; Lu, X.; Duan, Q.; Huang, L.; Bi, J. A review of soil heavy metal pollution from industrial and agricultural regions in China: Pollution and risk assessment. Sci. Total Environ. 2018, 642, 690–700. [Google Scholar] [CrossRef]
- Guo, S.; Zhang, Y.; Xiao, J.; Zhang, Q.; Ling, J.; Chang, B.; Zhao, G. Assessment of heavy metal content, distribution, and sources in Nansi Lake sediments, China. Environ. Sci. Pollut. Res. Int. 2021, 28, 30929–30942. [Google Scholar] [CrossRef]
- Ihedioha, J.N.; Ogili, E.O.; Ekere, N.R.; Ezeofor, C.C. Risk assessment of heavy metal contamination of paddy soil and rice (Oryza sativa) from Abakaliki, Nigeria. Environ. Monit. Assess. 2019, 191, 350. [Google Scholar] [CrossRef]
- Yang, S.; Zhao, J.; Chang, S.X.; Collins, C.; Xu, J.; Liu, X. Status assessment and probabilistic health risk modeling of metals accumulation in agriculture soils across China: A synthesis. Environ. Int. 2019, 128, 165–174. [Google Scholar] [CrossRef] [PubMed]
- Jin, J.; Zhao, X.; Zhang, L.; Hu, Y.; Zhao, J.; Tian, J.; Ren, J.; Lin, K.; Cui, C. Heavy metals in daily meals and food ingredients in the Yangtze River Delta and their probabilistic health risk assessment. Sci. Total Environ. 2023, 854, 158713. [Google Scholar] [CrossRef] [PubMed]
- Gu, Y.; Lin, Q.; Gao, Y. Metals in exposed-lawn soils from 18 urban parks and its human health implications in southern China’s largest city, Guangzhou. J. Clean. Prod. 2016, 115, 122–129. [Google Scholar] [CrossRef]
- Wu, J.; Wang, H. Assessment and amendment methods of heavy metal non-carcinogenic health risks in agricultural land around smelters. J. Environ. Eng. Technol. 2024, 14, 112–120. (In Chinese) [Google Scholar] [CrossRef]
Disclaimer/Publisher’s Note: The statements, opinions and data contained in all publications are solely those of the individual author(s) and contributor(s) and not of MDPI and/or the editor(s). MDPI and/or the editor(s) disclaim responsibility for any injury to people or property resulting from any ideas, methods, instructions or products referred to in the content. |
© 2025 by the authors. Licensee MDPI, Basel, Switzerland. This article is an open access article distributed under the terms and conditions of the Creative Commons Attribution (CC BY) license (https://creativecommons.org/licenses/by/4.0/).








