Oviposition Deterrence and Larvicidal Activity of Propyl Ether Dillapiole and Piperidyl Dillapiole Against Aedes (Stegomyia) aegypti (Diptera: Culicidae)
Abstract
1. Introduction
2. Materials and Methods
2.1. Acquisition of Dillapiole Derivatives
2.2. Maintenance of Aedes aegypti in the Insectarium
2.3. Acquisition of Aedes aegypti for Bioassays
2.4. Oviposition Deterrence in the Insectarium
2.5. Larvicidal and Residual Effect Bioassay Under Simulated Field Conditions
2.6. Sublethal Larvicidal Bioassay of Enzyme Activity
2.7. Catalase (CAT), Glutathione S-Transferase (GST), and Acetylcholinesterase (AChE) Activity, and Total Protein Concentration
2.8. Statistical Analysis
3. Results
3.1. Oviposition Deterrence in Female Aedes aegypti
3.2. Larvicidal Bioassay Under Simulated Field Conditions
3.3. Residual Effects of Dillapiole Derivatives
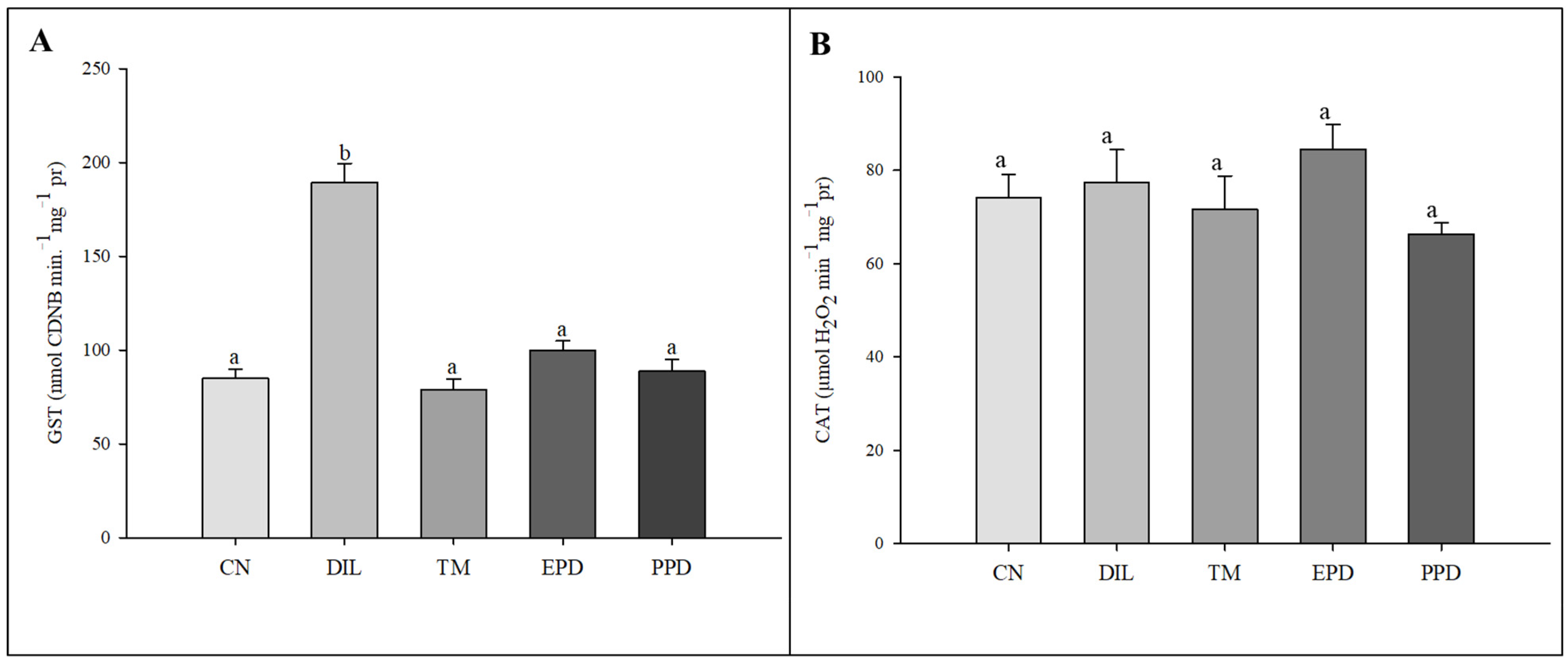
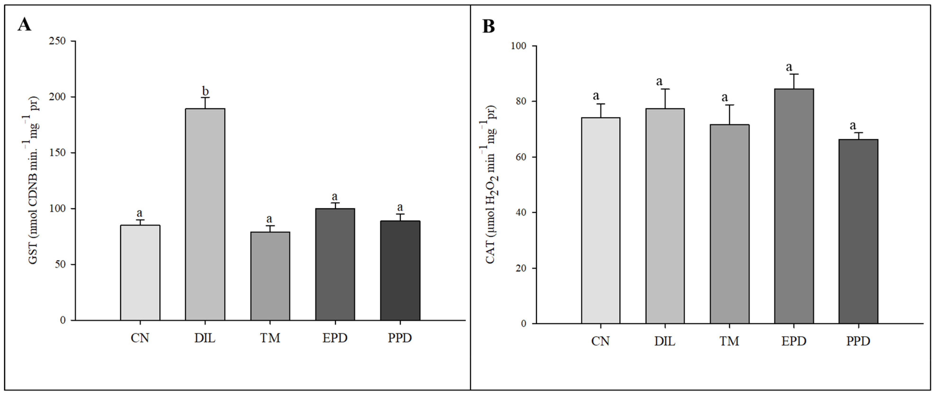
3.4. Activity of the Enzymes Glutathione S-Transferase (GST), Catalase (CAT), and Acetylcholinesterase (AChE)
4. Discussion
5. Conclusions
Author Contributions
Funding
Institutional Review Board Statement
Informed Consent Statement
Data Availability Statement
Conflicts of Interest
References
- Powell, J.R. Mosquitoes on the Move. Science 2016, 354, 971–972. [Google Scholar] [CrossRef] [PubMed]
- Valle, D.; Bellinato, D.F.; Viana-Medeiros, P.F.; Lima, J.B.P.; Junior, A.d.J.M. Resistance to temephos and deltamethrin in Aedes aegypti from Brazil between 1985 and 2017. Memórias Do Inst. Oswaldo Cruz 2019, 114, e180544. [Google Scholar] [CrossRef] [PubMed]
- Silvério, M.R.S.; Espindola, L.S.; Lopes, N.P.; Vieira, P.C. Plant Natural Products for the Control of Aedes aegypti: The Main Vector of Important Arboviruses. Molecules 2020, 25, 3484. [Google Scholar] [CrossRef] [PubMed]
- Prathibha, K.P.; Raghavendra, B.S.; Vijayan, V.A. Larvicidal, ovicidal, and oviposition-deterrent activities of four plant extracts against three mosquito species. Environ. Sci. Pollut. Res. 2014, 21, 6736–6743. [Google Scholar] [CrossRef]
- Chantawee, A.; Soonwera, M. Efficacies of four plant essential oils as larvicide, pupicide and oviposition deterrent agents against dengue fever mosquito, Aedes aegypti Linn. (Diptera: Culicidae). Asian Pac. J. Trop. Biomed. 2018, 8, 217–225. [Google Scholar] [CrossRef]
- Kamaraj, C.; Kumar, R.C.S.; Al-Ghanim, K.A.; Nicoletti, M.; Sathiyamoorthy, V.; Sarvesh, S.; Ragavendran, C.; Govindarajan, M. Novel essential oils blend as a repellent and toxic agent against disease-transmitting mosquitoes. Toxics 2023, 11, 517. [Google Scholar] [CrossRef]
- Senthilkumar, P.; Thavamurugan, S.; Annamalai, A.; Kolandhasamy, P.; Muthunarayanan, V.; Selvaraj, N.; Azhagiyamanavalan, L.; Vinayagam, R. Exploration of Secondary Metabolites in Platostoma menthoides (L.) Using Ethyl Acetate Extract and Its Antibacterial, Antioxidant, and Larvicidal Activities. Toxics 2025, 13, 51. [Google Scholar] [CrossRef]
- Rafael, M.S.; Hereira-Rojas, W.J.; Roper, J.; Nunomura, S.M.; Tadei, W.P. Potential control of Aedes aegypti (Diptera: Culicidae) with Piper aduncum L. (Piperaceae) extracts demonstrated by chromosomal biomarkers and toxic effects on interphase nuclei. Genet. Mol. Res. 2008, 7, 772–781. [Google Scholar] [CrossRef]
- Samuel, M.; Oliver, S.V.; Coetzee, M.; Brooke, B.D. The larvicidal effects of black pepper (Piper nigrum L.) and piperine against insecticide-resistant and susceptible strains of Anopheles malaria vector mosquitoes. Parasit. Vectors 2016, 9, 238. [Google Scholar] [CrossRef]
- Martianasari, R.; Hamid, P.H. Larvicidal, adulticidal, and oviposition-deterrent activity of Piper betle L. essential oil to Aedes aegypti. Vet. World 2019, 12, 367–371. [Google Scholar] [CrossRef]
- França, L.P.; Amaral, A.C.F.; Ramos, A.d.S.; Ferreira, J.L.P.; Maria, A.C.B.; Oliveira, K.M.T.; Araujo, E.S.; Branches, A.D.S.; Silva, J.N.; Silva, N.G.; et al. Piper capitarianum essential oil: A promising insecticidal agent for the management of Aedes aegypti and Aedes albopictus. Environ. Sci. Pollut. Res. 2021, 28, 9760–9776. [Google Scholar] [CrossRef] [PubMed]
- Pereira Filho, A.A.; Pessoa, G.C.D.; Yamaguchi, L.F.; Stanton, M.A.; Serravite, A.M.; Pereira, R.H.M.; Neves, W.S.; Kato, M.J. Larvicidal activity of essential oils from Piper species against strains of Aedes aegypti (Diptera: Culicidae) resistant to pyrethroids. Front. Plant Sci. 2021, 12, 685864. [Google Scholar] [CrossRef] [PubMed]
- Gomes, A.C.; Borges, A.; Zoca, D.G.; e Silva, M.L.A.; Machado, A.R.d.S.R.; Santos, M.F.C.; Laurentiz, R.d.S.d. Larvicidal potential of extracts and isolated compounds from Piper cubeba fruits against Aedes aegypti (Diptera: Culicidae) larvae. Nat. Prod. Res. 2023, 37, 2787–2794. [Google Scholar] [CrossRef] [PubMed]
- Lima, S.C.; Oliveira, A.C.; Tavares, C.P.S.; Costa, M.L.L.; Roque, R.A. Essential oil from Piper tuberculatum Jacq. (Piperaceae) and its majority compound β-caryophyllene: Mechanism of larvicidal action against Aedes aegypti (Diptera: Culicidae) and selective toxicity. Environ. Sci. Pollut. Res. 2024, 31, 33454–33463. [Google Scholar] [CrossRef]
- Oliveira, A.C.; Simões, R.C.; Lima, C.A.P.; Silva, F.M.A.; Nunomura, S.M.; Roque, R.A.; Tadei, W.P.; Nunomura, R.C.S. Essential oil of Piper purusanum C.DC (Piperaceae) and its main sesquiterpenes: Biodefensives against malaria and dengue vectors, without lethal effect on non-target aquatic fauna. Environ. Sci. Pollut. Res. Int. 2022, 29, 47242–47253. [Google Scholar] [CrossRef]
- Nyamoita, M.G.; Ester, I.; Zakaria, M.H.; Wilber, L.; Ochola, B.J.; Ahmed, H. Larvicidal and brine shrimp activities of Vitex schiliebenii extracts and isolated phytoecdysteroids on Anopheles gambiae Giles SS larvae. J. Appl. Pharm. Sci. 2013, 3, 91–95. [Google Scholar]
- Nyamoita, M.G.; Ester, I.; Zakaria, M.H.; Wilber, L.; Ochola, B.J.; Ahmed, H. Comparison of the effects of extracts from three Vitex plant species on Anopheles gambiae s.s. (Diptera: Culicidae) larvae. Acta Trop. 2013, 127, 199–203. [Google Scholar]
- Innocent, E.; Kisanga, A.C.; Gamba, N.; Kisinza, W.N.; Hassanali, A. Effect of Annona formulations on non-target invertebrates and on physicochemical water parameters at semi-field condition. J. Entomol. Zool. Stud. 2014, 2, 214–219. [Google Scholar]
- Mdoe, F.P.; Cheng, S.S.; Lyaruu, L.; Gamba, N.; Chang-Tzen, S.; Kweka, E.J. Larvicidal efficacy of Cryptomeria japonica leaf essential oils against Anopheles gambiae. Parasit. Vectors 2014, 7, 426. [Google Scholar] [CrossRef]
- Morais, L.S.; Sousa, J.P.B.; Aguiar, C.M.; Gomes, C.M.; Demarque, D.P.; Albernaz, L.C.; Espindola, L.S. Edible plant extracts against Aedes aegypti and validation of a Piper nigrum L. ethanolic extract as a natural insecticide. Molecules 2023, 28, 1264. [Google Scholar] [CrossRef]
- Almeida, R.R.; Souto, R.N.; Bastos, C.N.; da Silva, M.H.; Maia, J.G. Chemical variation in Piper aduncum and biological properties of its dillapiole-rich essential oil. Chem. Biodivers. 2009, 6, 1427–1434. [Google Scholar] [CrossRef] [PubMed]
- Maia, J.G.S.; Zoghbi, M.D.G.B.; Andrade, E.H.A.; Santos, A.S.; Silva, M.H.L.; Luz, A.I.R.; Bastos, C.N. Constituents of the essential oil of Piper aduncum L. growing wild in the Amazon region. Flavour Fragr. J. 1998, 13, 269–272. [Google Scholar]
- Fazolin, M.; Monteiro, A.F.M.; Bizzo, H.R.; Gama, P.E.; Viana, L.; De, O.; Lima, M.É.C. Insecticidal activity of Piper aduncum oil: Variation in dillapiole content and chemical and toxicological stability during storage. Acta Amaz. 2022, 52, 179–188. [Google Scholar] [CrossRef]
- Pinto, A.C.S.; Nogueira, K.L.; Chaves, F.C.M.; Silva, L.V.S.; Tadei, W.P.; Pohlit, A.M. Adulticidal activity of dillapiol and semi-synthetic derivatives of dillapiol against Aedes aegypti (L.) (Culicidae). J. Mosq. Res. 2012, 2, 1–7. [Google Scholar] [CrossRef][Green Version]
- Domingos, P.R.C.; Pinto, A.C.S.; Santos, J.M.M.; Rafael, M.S. Insecticidal and genotoxic potential of two semi-synthetic derivatives of dillapiole for the control of Aedes (Stegomyia) aegypti (Diptera: Culicidae). Mutat. Res. Genet. Toxicol. Environ. Mutagen. 2014, 772, 42–54. [Google Scholar] [CrossRef]
- Meireles, S.F.; Domingos, P.R.C.; Pinto, A.C.S.; Rafael, M.S. Toxic effect and genotoxicity of the semisynthetic derivatives dillapiole ethyl ether and dillapiole n-butyl ether for control of Aedes albopictus (Diptera: Culicidae). Mutat. Res./Genet. Toxicol. Environ. Mutagen. 2016, 807, 1–7. [Google Scholar] [CrossRef]
- Lima, V.S.; Pinto, A.C.; Rafael, M.S. Effect of isodillapiole on the expression of the insecticide resistance genes GSTE7 and CYP6N12 in Aedes aegypti from central Amazonia. Genet. Mol. Res. 2015, 14, 16728–16735. [Google Scholar]
- Santos, L.H.F.; Domingos, P.R.C.; Meireles, S.D.F.; Bridi, L.C.; Pinto, A.C.S.; Rafael, M.S. Genotoxic effects of semi-synthetic isodillapiole on oviposition in Aedes aegypti (Diptera: Culicidae). Rev. Da Soc. Bras. De Med. Trop. 2020, 53, e20200467. [Google Scholar] [CrossRef]
- Silva, J.S.; Pinto, A.C.S.; Santos, L.H.F.; Rafael, M.S. Efeito ovicida e larvicida do éter metil dilapiol (EMD) em Aedes aegypti, Manaus-AM. In Patologias: Doenças parasitárias, 1st ed.; Salgado, Y.C.S., Ed.; Editora Atena: Ponta Grossa, PR, Brasil, 2019; pp. 192–204. [Google Scholar] [CrossRef]
- Silva, J.S.; Pinto, A.C.S.; Santos, L.H.F.; Silva, L.J.S.; Cruz, D.L.V.; Rafael, M.S. Genotoxic and mutagenic effects of methyl ether dillapiole on the development of Aedes aegypti (Diptera: Culicidae). Med. Vet. Entomol. 2021, 35, 556–566. [Google Scholar] [CrossRef]
- Da Silva, J.S.; Pinto, A.C.d.S.; Meireles, S.d.F.; Morais, S.A.; Cruz, D.L.V.; Chaves, F.C.M.; Sousa, J.M.d.C.; Rafael, M.S. New derivatives of dillapiole have ovicidal, larvicidal and adulticidal effect on Aedes (Stegomyia) aegypti (Diptera: Culicidae). Rev. Bras. Entomol. 2024, 68, e20240010. [Google Scholar] [CrossRef]
- Nascimento, S.R.L.; Pinto, A.C.S.; Meireles, S.F.; Silva, J.S.; Chaves, F.C.M.; Rafael, M.S. Isolation of 4-nerolidylcatechol from leaves of Piper peltatum L., and evaluation of larvicidal activity in mosquito vectors, with emphasis on Aedes aegypti (Diptera: Culicidae). Rev. Bras. Entomol. 2024, 68, e20230074. [Google Scholar] [CrossRef]
- Sharifi, M.; Ghadamyari, M.; Gholivand, K.; Asghar, A.; Sajedi, R.H. Characterization of acetylcholinesterase from elm leaf beetle, Xanthogaleruca luteola, and QSAR of temephos derivatives against its activity. Pestic. Biochem. Physiol. 2017, 136, 12–22. [Google Scholar] [CrossRef] [PubMed]
- Johnson, T.O.; Ojo, O.A.; Ikiriko, S.; Ogunkua, J.; Akinyemi, G.O.; Rotimi, D.E.; Oche, J.-R.; Adegboyega, A.E. Biochemical evaluation and molecular docking assessment of Cymbopogon citratus as a natural source of acetylcholine esterase (AChE)-targeting insecticides. Biochem. Biophys. Rep. 2021, 22, 101175. [Google Scholar] [CrossRef] [PubMed]
- Lushchak, V.I. Free radicals, reactive oxygen species, oxidative stresses and their classifications. Ukr. Biochem. J. 2015, 87, 11–18. [Google Scholar] [CrossRef]
- Demirak, M.Ş.; Canpolat, E. Plant-based bioinsecticides for mosquito control: Impact on insecticide resistance and disease transmission. Insects 2022, 13, 162. [Google Scholar] [CrossRef]
- Tripathy, A. Oxidative stress, reactive oxygen species (ROS) and antioxidative defense system, with special reference to fish. Int. J. Curr. Res. Biosci. Plant Biol. 2016, 3, 79–89. [Google Scholar] [CrossRef]
- Ketterman, A.J.; Saisawang, C.; Wongsantichon, J. Insect glutathione transferases. Drug Metab. Rev. 2011, 43, 253–265. [Google Scholar] [CrossRef]
- Helvecio, E.; Romão, T.P.; de Carvalho-Leandro, D.; de Oliveira, I.F.; Cavalcanti, A.E.H.D.; Reimer, L.; Cavalcanti, M.d.P.; de Oliveira, A.P.S.; Paiva, P.M.G.; Napoleão, T.H.; et al. Polymorphisms in GSTE2 Is Associated with Temephos Resistance in Aedes aegypti. Pestic. Biochem. Physiol. 2019, 165, 104464. [Google Scholar] [CrossRef]
- Ranson, H.; Hemingway, J. Mosquito Glutathione Transferases. Methods Enzymol. 2005, 401, 226–241. [Google Scholar] [CrossRef]
- WHO (World Health Organization). Guidelines for Laboratory and Field Testing of Mosquito Larvicides; WHO: Geneva, Switzerland, 2005; pp. 1–41. Available online: https://www.who.int/publications/i/item/WHO-CDS-WHOPES-GCDPP-2005.13 (accessed on 22 March 2024).
- WHO (World Health Organization). Instructions for Determining the Susceptibility or Resistance of Mosquito Larvae to Insecticides: Report of the WHO Expert Committee on Resistance of Vectors and Reservoirs of Diseases to Pesticides; WHO: Geneva, Switzerland, 1981. [Google Scholar]
- Campos, D.F.; Braz-Mota, S.; Almeida-Val, V.M.F.; Val, A.L. Glycolytic modulations and antioxidant capacity in Amazonian fish, Bryconops giacopinii (Characiformes: Iguanodectidae), living at high temperature. Neotrop. Ichthyol. 2024, 22, e230130. [Google Scholar] [CrossRef]
- Budde, C.; Schoenfish, M.J.; Linder, M.E.; Deschenes, R.J. Purification and characterization of recombinant protein acyl-transferases. Methods 2006, 39, 143–150. [Google Scholar]
- Beutler, E. Red Cell Metabolism: A Manual of Biochemical Methods, 2nd ed.; Grune & Stratton: New York, NY, USA, 1975; p. 146. [Google Scholar]
- Keen, J.H.; Habig, W.H.; Jakoby, W.B. Mechanism for the several activities of the Glutathione S-Transferases. J. Biol. Chem. 1976, 251, 6188–6194. [Google Scholar]
- Ellman, G.L.; Courtney, D.; Andres, V.J.; Featherstone, R.M. A new and rapid colorimetric determination of acetylcholinesterase activity. Biochem. Pharmacol. 1961, 7, 88–95. [Google Scholar]
- Bradford, M.M. A rapid sensitive method for the quantification of microgram quantities of protein utilising the principle of protein-Dye Binding. Anal. Biochem. 1976, 72, 248–254. [Google Scholar]
- Silva, R.L.; Demarque, D.P.; Dusi, R.G.; Sousa, J.P.B.; Albernaz, L.C.; Espindola, L.S. Residual larvicidal activity of quinones against Aedes aegypti. Molecules 2020, 25, 3978. [Google Scholar] [CrossRef]
- Forattini, O.P. Culicidologia Médica: Identificação, Biologia e Epidemiologia; Edusp: São Paulo, Brazil, 2002; Volume 2, p. 864. [Google Scholar]
- Xue, R.; Barnard, D.R.; Ammar, A. Laboratory and field evaluation of insect repellents as oviposition deterrents against the mosquito Aedes albopictus. Med. Vet. Entomol. 2009, 15, 126–131. [Google Scholar] [CrossRef]
- Silva, M.A.; Passarini, G.M.; Martinez, L.N.; Facundo, V.A.; Teles, C.G.B.; Kuehn, C.C. Chemical Constituents and bioactivities of essential oils from the genus Piper (Piperaceae): A review. South Am. J. Basic Educ. Techn. Technol. 2015, 6, 776–817. Available online: https://periodicos.ufac.br/index.php/SAJEBTT/article/view/2711 (accessed on 15 March 2024).
- Chakraborty, S.; Burman, S.; Chandra, G. Repellent and oviposition-deterrent efficacies of Cuscuta chinensis on filarial vector Culex quinquefasciatus. Int. J. Mosq. Res. 2022, 9, 48–52. [Google Scholar] [CrossRef]
- Santos, G.K.N.; Dutra, K.A.; Barros, R.A.; Câmara, A.G.C.; Lira, D.D.; Gusmão, N.B.; Navarro, D.M.A.F. Essential oils from Alpinia purpurata (Zingiberaceae): Chemical composition, oviposition deterrence, larvicidal and antibacterial activity. Ind. Crops Prod. 2012, 40, 254–260. [Google Scholar] [CrossRef]
- Santana, H.; Trindade, F.; Stabeli, R.G.; Silva, A.; Militão, J.; Facundo, V. Essential oils of leaves of Piper species display larvicidal activity against the dengue vector, Aedes aegypti (Diptera: Culicidae). Rev. Bras. Plantas Med. 2015, 17, 105–111. [Google Scholar] [CrossRef]
- Dey, P.; Goyary, D.; Chattopadhyay, P.; Kishor, S.; Karmakar, S.; Verma, A. Evaluation of larvicidal activity of Piper longum leaf against the dengue vector, Aedes aegypti, malarial vector, Anopheles stephensi and filariasis vector, Culex quinquefasciatus. S. Afr. J. Bot. 2020, 132, 482–490. [Google Scholar] [CrossRef]
- Fonseca, Y.S.; de Souza, N.N.; Vieira, T.M.; de Deus, R.G.; Moreira, D.; Pires, L.C.; Ferreira, S.R.; Oliveira, C.L. Volatile Oil from Piper macedoi: A new perspective for Aedes aegypti mosquito control. Rev. Bras. Farmacogn. 2024, 34, 1333–1339. [Google Scholar] [CrossRef]
- Mukandiwa, L.; Eloff, J.N.; Naidoo, V. Larvicidal activity of leaf extracts and seselin from Clausena anisata (Rutaceae) against Aedes Aegypti. S. Afr. J. Bot. 2015, 100, 169–173. [Google Scholar] [CrossRef]
- Ochola, J.B.; Mutero, C.M.; Marubu, R.M.; Haller, B.F.; Hassanali, A.; Lwande, W. Mosquito larvicidal activity of Ocimum kilimandscharicum oil formulation under laboratory and field-simulated conditions. Insects 2022, 13, 203. [Google Scholar] [CrossRef]
- Dusi, R.G.; Morais, S.; Mendes, N.; Albernaz, L.C.; Hamilton, C.J.; Espindola, L.S. Potential of garlic oil as a biopesticide against all Aedes aegypti life stages. Ind. Crops Prod. 2022, 181, 114780. [Google Scholar] [CrossRef]
- Garelli, F.M.; Espinosa, M.O.; Weinberg, D.; Trinelli, M.A.; Gürtler, R.E. Water use practices limit the effectiveness of a temephos-based Aedes aegypti larval control program in Northern Argentina. PLoS Negl. Trop. Dis. 2011, 5, e991. [Google Scholar] [CrossRef]
- Hematpoor, A.; Liew, S.Y.; Chong, W.L.; Azirun, M.S.; Lee, V.S.; Awang, K. Inhibition and larvicidal activity of phenylpropanoids from Piper sarmentosum on acetylcholinesterase against mosquito vectors and their binding mode of interaction. PLoS ONE 2016, 11, e0155265. [Google Scholar] [CrossRef]
- Cantrell, C.L.; Pridgeon, J.W.; Fronczek, F.R.; Becnel, J.J. Structure–activity relationship studies on derivatives of eudesmanolides from Inula helenium as toxicants against Aedes aegypti larvae and adults. Chem. Biodivers. 2010, 7, 1681–1697. [Google Scholar] [CrossRef]
- Dias, C.N.; Moraes, D.F.C. Essential oils and their compounds as Aedes aegypti L. (Diptera: Culicidae) larvicides: Review. Parasitol. Res. 2014, 113, 565–592. [Google Scholar] [CrossRef]
- Dias, C.N.; De Mesquita, L.S.S.; Coutinho, D.F.; Malik, S. Plant derived essential oils against Aedes aegypti L. and their biotechnological production. In Medicinal Plants and Environmental Challenges; Ghorbanpour, M., Varma, A., Eds.; Springer International Publishing: Cham, Switzerland, 2017; pp. 345–357. [Google Scholar] [CrossRef]
- Luz, T.R.S.A.; Leite, J.A.C.; de Mesquita, L.S.S.; Bezerra, S.A.; Silveira, D.P.B.; de Mesquita, J.W.C.; Gomes, R.E.C.; Vilanova, C.M.; Ribeiro, M.N.d.S.; Amaral, F.M.M.D.; et al. Seasonal variation in the chemical composition and biological activity of the essential oil of Mesosphaerum suaveolens (L.) Kuntze. Ind. Crops Prod. 2020, 153, 112600. [Google Scholar] [CrossRef]
- Chaitanya, R.K.; Shashank, K.; Sridevi, P. Oxidative stress in invertebrate systems. In Free Radicals and Diseases; Ahmad, R., Ed.; InTech: Rijeka, Croatia, 2016. [Google Scholar] [CrossRef]
- Almeida, A.J.P.O.; Oliveira, J.C.P.L.; Silva, P.L.V.; Souza Júnior, J.F.; Gonçalves, T.A.F.; Dantas, S.H. ROS: Basic concepts, sources, cellular signaling, and its implications in aging pathways. Oxid. Med. Cell. Longev. 2022, 19, 1225578. [Google Scholar] [CrossRef]
- Van der Oost, R.; Beyer, J.; Vermeulen, N.P.E. Fish bioaccumulation and biomarkers in environmental risk assessment: A review. Environ. Toxicol. Pharmacol. 2003, 13, 57–149. [Google Scholar] [PubMed]
- Wei, S.H.; Clark, A.G.; Syvanen, M. Identification and cloning of a key insecticide-metabolizing glutathione S-transferase (MdGST-6A) from a hyper insecticide-resistant strain of the housefly Musca domestica. Insect Biochem. Mol. Biol. 2001, 31, 1145–1153. [Google Scholar] [CrossRef] [PubMed]
- Pavlidi, N.; Vontas, J.; Leeuwen, T.V. The role of glutathione S-transferases (GSTs) in insecticide resistance in crop pests and disease vectors. Curr. Opin. Insect Sci. 2018, 27, 97–102. [Google Scholar] [CrossRef]
- Vontas, J.G.; Small, G.J.; Hemingway, J. Glutathione S-transferases as antioxidant defence agents confer pyrethroid resistance in Nilaparvata lugens. Biochem. J. 2001, 357, 65–72. [Google Scholar] [CrossRef]
- Rajan, V.P.K.; Puthur, R.K. Activation of the oxidative stress in Culex quinquefasciatus by the augmented production of Reactive Oxygen Species (ROS) in response to Stachytarpheta jamaicensis exposure. J. Commun. Dis. 2021, 53, 43–51. [Google Scholar] [CrossRef]
- Pereira Filho, A.A.; Do Vale, V.F.; Monteiro, C.M.O.; Barrozo, M.M.; Stanton, M.A.; Yamaguchi, L.F.; Kato, M.J.; Araújo, R.N. Effects of Piper aduncum (Piperales: Piperaceae) essential oil and its main component dillapiole on detoxifying enzymes and acetylcholinesterase activity of Amblyomma sculptum (Acari: Ixodidae). Int. J. Mol. Sci. 2024, 25, 5420. [Google Scholar] [CrossRef]
- Riaz, M.A.; Chandor-Proust, A.; Dauphin-Villemant, C.; Poupardin, R.; Jones, C.M.; Strode, C.; Régent-Kloeckner, M.; David, J.-P.; Reynaud, S. Molecular mechanisms associated with increased tolerance to the neonicotinoid insecticide imidacloprid in the dengue vector Aedes aegypti. Aquat. Toxicol. 2013, 126, 326–337. [Google Scholar] [CrossRef]
- Vasantha-Srinivasan, P.; Senthil-Nathan, S.; Ponsankar, A.; Thanigaivel, A.; Edwin, E.-S.; Selin-Rani, S.; Chellappandian, M.; Pradeepa, V.; Lija-Escaline, J.; Kalaivani, K.; et al. Comparative analysis of mosquito (Diptera: Culicidae: Aedes aegypti Liston) responses to the insecticide temephos and plant-derived essential oil derived from Piper betle L. Ecotoxicol. Environ. Saf. 2017, 139, 439–446. [Google Scholar] [CrossRef]
- Lumjuan, N.; Rajatileka, S.; Changsom, D.; Wicheer, J.; Leelapat, P.; Prapanthadara, L.-A.; Somboon, P.; Lycett, G.; Ranson, H. The role of the Aedes aegypti Epsilon glutathione transferases in conferring resistance to DDT and pyrethroid insecticides. Insect Biochem. Mol. Biol. 2011, 41, 203–209. [Google Scholar] [CrossRef]
- Berenbaum, M.R.; Johnson, R.M. Xenobiotic detoxification pathways in honey bees. Curr. Opin. Insect Sci. 2015, 10, 51–58. [Google Scholar] [CrossRef]
- Edwin, E.-S.; Vasantha-Srinivasan, P.; Senthil-Nathan, S.; Thanigaivel, A.; Ponsankar, A.; Pradeepa, V.; Selin-Rani, S.; Kalaivani, K.; Hunter, W.B.; Abdel-Megeed, A.; et al. Anti-dengue efficacy of bioactive andrographolide from Andrographis paniculata (Lamiales: Acanthaceae) against the primary dengue vector Aedes aegypti (Diptera: Culicidae). Acta Trop. 2016, 163, 167–178. [Google Scholar] [CrossRef] [PubMed]
- Murray, M. Mechanisms of inhibitory and regulatory effects of methylenedioxyphenyl compounds on cytochrome P450-dependent drug oxidation. Curr. Drug Metab. 2000, 1, 67–84. [Google Scholar] [CrossRef] [PubMed]
- Fierascu, R.C.; Fierascu, I.C.; Dinu-Pirvu, C.E.; Fierascu, I.; Paunescu, A. The application of essential oils as a next-generation of pesticides: Recent developments and future perspectives. Z. Naturforsch. C J. Biosci. 2020, 75, 183–204. [Google Scholar] [CrossRef] [PubMed]
- Koeduka, T.; Watanabe, B.; Shirahama, K.; Nakayasu, M.; Suzuki, S.; Furuta, T.; Suzuki, H.; Matsui, K.; Kosaka, T.; Ozaki, S. Biosynthesis of dillapiole/apiole in dill (Anethum graveolens): Characterization of regioselective phenylpropene O-methyltransferase. Plant J. 2022, 113, 562–575. [Google Scholar] [CrossRef]
- Aremu, H.K.; Adekale, I.A.; Azeez, L.A.; Busari, H.K.; Adebisi, O.; Iwalewa, Z.O.; Alle, O.E.; Musa, D.A. Assessment of larvicidal and genotoxic potentials of extracts of Hyptis suaveolens against Culex quinquefasciatus based on enzyme profile and RAPD-PCR assay. Acta Trop. 2022, 229, 106384. [Google Scholar] [CrossRef]
- Kiran, S.; Anupam, K.; Patel, L.; Ramalakshmi, K.; Prakash, B. Assessment of toxicity and biochemical mechanisms underlying the insecticidal activity of chemically characterized Boswellia carterii essential oil against insect pest of legume seeds. Pestic. Biochem. Physiol. 2017, 139, 17–23. [Google Scholar] [CrossRef]
- Tehrani, H.S.; Moosavi-Movahedi, A.A. Catalase and its mysteries. Prog. Biophys. Mol. Biol. 2018, 140, 5–12. [Google Scholar] [CrossRef]
- Mack, L.K.; Attardo, G.M. Time-series analysis of transcriptomic changes due to permethrin exposure reveals that Aedes aegypti undergoes detoxification metabolism over 24 h. Sci. Rep. 2023, 13, 16564. [Google Scholar] [CrossRef]
- Figueroa-Villar, J.D.; Petronilho, E.C.; Kuca, K.; Franca, T.C.C. Review about structure and evaluation of reactivators of acetylcholinesterase inhibited with neurotoxic organophosphorus compounds. Curr. Med. Chem. 2021, 28, 1422–1442. [Google Scholar] [CrossRef]
- Vijayakumar, S.; Vinoj, G.; Malaikozhundan, B.; Shanthi, S.; Vaseeharan, B. Plectranthus amboinicus leaf extract mediated synthesis of zinc oxide nanoparticles and its control of methicillin resistant Staphylococcus aureus biofilm and blood sucking mosquito larvae. Spectrochim. Acta A Mol. Biomol. Spectrosc. 2015, 137, 886–891. [Google Scholar] [CrossRef] [PubMed]
- Pavela, R.; Maggi, F.; Iannarelli, R.; Benelli, G. Plant extracts for developing mosquito larvicides: From laboratory to the field, with insights on the modes of action. Acta Trop. 2019, 193, 236–271. [Google Scholar] [CrossRef] [PubMed]
- Costa, M.L.L.; de Oliveira, A.C.; Roque, R.A. Oxidative stress induction by essential oil from Piper alatipetiolatum (Piperaceae) triggers lethality in the larvae of Culex quinquefasciatus (Diptera: Culicidae). Pestic. Biochem. Physiol. 2024, 200, 105809. [Google Scholar] [CrossRef]






| Reading Intervals | LC50 (CI 95%) µg/mL | LC90 (CI 95%) µg/mL | χ2 (df) | Slope ± SE |
|---|---|---|---|---|
| Propyl ether dillapiole | ||||
| 24 h | 24.60 (20.17–30.02) | 78.13 (58.87–118.91) | 19.81 (3) | 2.55 (0.48) |
| 48 h | 14.76 (11.21–18.58) | 60.85 (44.18–100.76) | 15.38 (3) | 2.08 (0.40) |
| Piperidyl dillapiole | ||||
| 24 h | 31.58 (26.50–37.34) | 75.22 (60.47–103.55) | 3.73 (3) | 3.40 (0.28) |
| 48 h | 24.85 (21.43–28.69) | 49.89 (39.11–61.94) | 21.87 (3) | 4.64 (1.07) |
Disclaimer/Publisher’s Note: The statements, opinions and data contained in all publications are solely those of the individual author(s) and contributor(s) and not of MDPI and/or the editor(s). MDPI and/or the editor(s) disclaim responsibility for any injury to people or property resulting from any ideas, methods, instructions or products referred to in the content. |
© 2025 by the authors. Licensee MDPI, Basel, Switzerland. This article is an open access article distributed under the terms and conditions of the Creative Commons Attribution (CC BY) license (https://creativecommons.org/licenses/by/4.0/).
Share and Cite
da Silva, J.S.; da Silva Pinto, A.C.; de Souza, S.S.; Chaves, F.C.M.; da Fonseca Meireles, S.; Pereira, R.P.; Roque, R.A.; de Castro e Sousa, J.M.; Rafael, M.S. Oviposition Deterrence and Larvicidal Activity of Propyl Ether Dillapiole and Piperidyl Dillapiole Against Aedes (Stegomyia) aegypti (Diptera: Culicidae). Toxics 2025, 13, 283. https://doi.org/10.3390/toxics13040283
da Silva JS, da Silva Pinto AC, de Souza SS, Chaves FCM, da Fonseca Meireles S, Pereira RP, Roque RA, de Castro e Sousa JM, Rafael MS. Oviposition Deterrence and Larvicidal Activity of Propyl Ether Dillapiole and Piperidyl Dillapiole Against Aedes (Stegomyia) aegypti (Diptera: Culicidae). Toxics. 2025; 13(4):283. https://doi.org/10.3390/toxics13040283
Chicago/Turabian Styleda Silva, Junielson Soares, Ana Cristina da Silva Pinto, Samara Silva de Souza, Francisco Célio Maia Chaves, Sabrina da Fonseca Meireles, Rosalina Pinheiro Pereira, Rosemary Aparecida Roque, João Marcelo de Castro e Sousa, and Míriam Silva Rafael. 2025. "Oviposition Deterrence and Larvicidal Activity of Propyl Ether Dillapiole and Piperidyl Dillapiole Against Aedes (Stegomyia) aegypti (Diptera: Culicidae)" Toxics 13, no. 4: 283. https://doi.org/10.3390/toxics13040283
APA Styleda Silva, J. S., da Silva Pinto, A. C., de Souza, S. S., Chaves, F. C. M., da Fonseca Meireles, S., Pereira, R. P., Roque, R. A., de Castro e Sousa, J. M., & Rafael, M. S. (2025). Oviposition Deterrence and Larvicidal Activity of Propyl Ether Dillapiole and Piperidyl Dillapiole Against Aedes (Stegomyia) aegypti (Diptera: Culicidae). Toxics, 13(4), 283. https://doi.org/10.3390/toxics13040283

