A Hybrid Wavelet-Based Deep Learning Model for Accurate Prediction of Daily Surface PM2.5 Concentrations in Guangzhou City
Abstract
1. Introduction
2. Data and Methods
2.1. Data
2.2. Wavelet Transformation (WT)
2.3. Artificial Neural Network (ANN)
2.4. Recurrent Neural Network (RNN)
2.5. Long Short-Term Memory (LSTM)
2.6. Gated Recurrent Unit (GRU)
2.7. Bidirectional Long Short-Term Memory (BiLSTM)
2.8. Bidirectional Gated Recurrent Unit (BiGRU)
2.9. Convolutional Neural Network (CNN)
2.10. Hybrid Models
- (1)
- Feature selection: The correlation coefficient is used to discover the best input features that have the strongest relationship with PM2.5 concentration.
- (2)
- Data decomposition: Wavelet functions are used to decompose input variables into high-frequency and low-frequency components.
- (3)
- Combination prediction: Predict PM2.5 concentration using multiple deep learning models.
- (4)
- Model evaluation: The prediction results of multiple models are evaluated using evaluation indices.
2.11. Normalization
2.12. Performance Criteria (Metrics)
3. Results
3.1. Correlation Between Input Predictors and PM2.5
3.2. Selection of Mother Wavelets
3.3. Selection of the Hyperparameters in the Models
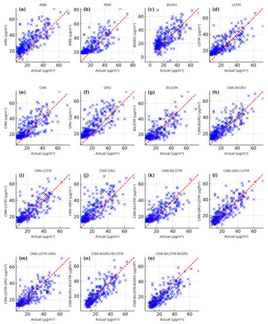
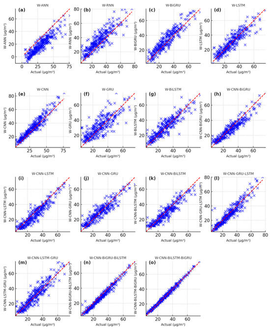
3.4. Performance Comparison of the Various Models
4. Discussion
5. Conclusions
Author Contributions
Funding
Institutional Review Board Statement
Informed Consent Statement
Data Availability Statement
Conflicts of Interest
References
- Crippa, M.; Solazzo, E.; Guizzardi, D.; Van Dingenen, R.; Leip, A. Air pollutant emissions from global food systems are responsible for environmental impacts, crop losses and mortality. Nat. Food 2022, 3, 942–956. [Google Scholar] [CrossRef]
- Tripathi, D.P.; Nema, A.K. Seasonal variation of biochemical parameters and air pollution tolerance index (APTI) of selected plant species in Delhi city, and detailed meta-analysis from Indian metropolitan cities. Atmos. Environ. 2023, 309, 119862. [Google Scholar] [CrossRef]
- Abadi, A.R.S.; Hamzeh, N.H.; Kaskaoutis, D.G.; Opp, C.; Kazemi, A.F. Long-Term Spatio-Temporal Analysis, Distribution, and Trends of Dust Events over Iran. Atmosphere 2025, 16, 334. [Google Scholar] [CrossRef]
- Guo, Q.; He, Z.; Wang, Z. Change in Air Quality during 2014–2021 in Jinan City in China and Its Influencing Factors. Toxics 2023, 11, 210. [Google Scholar] [CrossRef] [PubMed]
- Liu, J.; Wang, P.; Shang, L.; Ye, F.; Liu, L.; He, Z. Adverse Associations of Long-Term Exposure to PM2.5 and Its Components with Platelet Traits among Subway Shift-Workers without Air Purifier Use. Toxics 2024, 12, 529. [Google Scholar] [CrossRef]
- Botto, L.; Bulbarelli, A.; Lonati, E.; Cazzaniga, E.; Palestini, P. Correlation between Exposure to UFP and ACE/ACE2 Pathway: Looking for Possible Involvement in COVID-19 Pandemic. Toxics 2024, 12, 560. [Google Scholar] [CrossRef]
- Sun, L.; Wei, P.; Westerdahl, D.; Xue, J.; Ning, Z. Evaluating Indoor Air Quality in Schools: Is the Indoor Environment a Haven during High Pollution Episodes? Toxics 2024, 12, 564. [Google Scholar] [CrossRef]
- Zhang, Y.; Fan, L.; Wang, S.; Luo, H. Short-Term Interaction Effects of PM2.5 and O3 on Daily Mortality: A Time-Series Study of Multiple Cities in China. Toxics 2024, 12, 578. [Google Scholar] [CrossRef]
- Yang, D.; Li, M.; Geng, X.; Feng, Z. Sources and Specified Health Risks of 12 PM2.5-Bound Metals in a Typical Air-Polluted City in Northern China during the 13th Five-Year Plan. Toxics 2024, 12, 581. [Google Scholar] [CrossRef]
- Fowler, D.; Pyle, J.A.; Sutton, M.A.; Williams, M.L. Global Air Quality, past present and future: An introduction. Philos. Trans. R. Soc. A Math. Phys. Eng. Sci. 2020, 378, 20190323. [Google Scholar] [CrossRef]
- Nansai, K.; Tohno, S.; Chatani, S.; Kanemoto, K.; Kagawa, S.; Kondo, Y.; Takayanagi, W.; Lenzen, M. Consumption in the G20 nations causes particulate air pollution resulting in two million premature deaths annually. Nat. Commun. 2021, 12, 6286. [Google Scholar] [CrossRef] [PubMed]
- Tao, H.; Jawad, A.H.; Shather, A.H.; Al-Khafaji, Z.; Rashid, T.A.; Ali, M.; Al-Ansari, N.; Marhoon, H.A.; Shahid, S.; Yaseen, Z.M. Machine learning algorithms for high-resolution prediction of spatiotemporal distribution of air pollution from meteorological and soil parameters. Environ. Int. 2023, 175, 107931. [Google Scholar] [CrossRef] [PubMed]
- Song, Y.; Zhang, C.; Jin, X.; Zhao, X.; Huang, W.; Sun, X.; Yang, Z.; Wang, S. Spatial prediction of PM2.5 concentration using hyper-parameter optimization XGBoost model in China. Environ. Technol. Innov. 2023, 32, 103272. [Google Scholar] [CrossRef]
- Kim, H.; Hong, S. Relationship between Land-Use Type and Daily Concentration and Variability of PM10 in Metropolitan Cities: Evidence from South Korea. Land 2022, 11, 23. [Google Scholar] [CrossRef]
- Adnan, R.M.; Mo, W.; Kisi, O.; Heddam, S.; Al-Janabi, A.M.S.; Zounemat-Kermani, M. Harnessing Deep Learning and Snow Cover Data for Enhanced Runoff Prediction in Snow-Dominated Watersheds. Atmosphere 2024, 15, 1407. [Google Scholar] [CrossRef]
- Guo, Q.; He, Z.; Wang, Z. Prediction of monthly average and extreme atmospheric temperatures in Zhengzhou based on artificial neural network and deep learning models. Front. For. Glob. Chang. 2023, 6, 1249300. [Google Scholar] [CrossRef]
- Roy, B.; Malviya, L.; Kumar, R.; Mal, S.; Kumar, A.; Bhowmik, T.; Hu, J.W. Hybrid Deep Learning Approach for Stress Detection Using Decomposed EEG Signals. Diagnostics 2023, 13, 1936. [Google Scholar] [CrossRef]
- He, D.; Dong, Z.; Zhu, B. An effective global biochar application strategy for reducing global cropland nitrogen emissions without compromising crop yield: Findings from a global meta-analysis and density functional theory calculation. Environ. Technol. Innov. 2024, 33, 103546. [Google Scholar] [CrossRef]
- Poelzl, M.; Kern, R.; Kecorius, S.; Lovrić, M. Exploration of transfer learning techniques for the prediction of PM10. Sci. Rep. 2025, 15, 2919. [Google Scholar] [CrossRef]
- Guo, Q.; He, Z.; Wang, Z. Prediction of Hourly PM2.5 and PM10 Concentrations in Chongqing City in China Based on Artificial Neural Network. Aerosol Air Qual. Res. 2023, 23, 220448. [Google Scholar] [CrossRef]
- Pak, A.; Rad, A.K.; Nematollahi, M.J.; Mahmoudi, M. Application of the Lasso regularisation technique in mitigating overfitting in air quality prediction models. Sci. Rep. 2025, 15, 547. [Google Scholar] [CrossRef]
- Rahimi, A. Short-term prediction of NO2 and NOxconcentrations using multilayer perceptron neural network: A case study of Tabriz, Iran. Ecol. Process. 2017, 6, 4. [Google Scholar] [CrossRef]
- Guo, Q.; He, Z.; Li, S.; Li, X.; Meng, J.; Hou, Z.; Liu, J.; Chen, Y. Air Pollution Forecasting Using Artificial and Wavelet Neural Networks with Meteorological Conditions. Aerosol Air Qual. Res. 2020, 20, 1429–1439. [Google Scholar] [CrossRef]
- Wang, P.; Zhang, G.; Chen, F.; He, Y. A hybrid-wavelet model applied for forecasting PM2.5 concentrations in Taiyuan city, China. Atmos. Pollut. Res. 2019, 10, 1884–1894. [Google Scholar] [CrossRef]
- Shakya, D.; Deshpande, V.; Goyal, M.K.; Agarwal, M. PM2.5 air pollution prediction through deep learning using meteorological, vehicular, and emission data: A case study of New Delhi, India. J. Clean. Prod. 2023, 427, 139278. [Google Scholar] [CrossRef]
- Singh, S.; Suthar, G. Machine learning and deep learning approaches for PM2.5 prediction: A study on urban air quality in Jaipur, India. Earth Sci. Inform. 2024, 18, 97. [Google Scholar] [CrossRef]
- Gonçalves, R.; Ribeiro, V.M. Convolutional attention with roll padding: Classifying PM2.5 concentration levels in the city of Beijing. Energy 2024, 289, 130045. [Google Scholar] [CrossRef]
- Wang, J.; Wang, P.; Tian, H.; Tansey, K.; Liu, J.; Quan, W. A deep learning framework combining CNN and GRU for improving wheat yield estimates using time series remotely sensed multi-variables. Comput. Electron. Agric. 2023, 206, 107705. [Google Scholar] [CrossRef]
- Ahn, J.M.; Kim, J.; Kim, H.; Kim, K. Harmful Cyanobacterial Blooms forecasting based on improved CNN-Transformer and Temporal Fusion Transformer. Environ. Technol. Innov. 2023, 32, 103314. [Google Scholar] [CrossRef]
- Dai, H.; Liu, Y.; Wang, J.; Ren, J.; Gao, Y.; Dong, Z.; Zhao, B. Large-scale spatiotemporal deep learning predicting urban residential indoor PM2.5 concentration. Environ. Int. 2023, 182, 108343. [Google Scholar] [CrossRef]
- Kim, Y.-b.; Park, S.-B.; Lee, S.; Park, Y.-K. Comparison of PM2.5 prediction performance of the three deep learning models: A case study of Seoul, Daejeon, and Busan. J. Ind. Eng. Chem. 2023, 120, 159–169. [Google Scholar] [CrossRef]
- Guo, Q.; He, Z.; Wang, Z. Monthly climate prediction using deep convolutional neural network and long short-term memory. Sci. Rep. 2024, 14, 17748. [Google Scholar] [CrossRef]
- Guo, Q.; He, Z.; Wang, Z.; Qiao, S.; Zhu, J.; Chen, J. A Performance Comparison Study on Climate Prediction in Weifang City Using Different Deep Learning Models. Water 2024, 16, 2870. [Google Scholar] [CrossRef]
- Sayeed, A.; Choi, Y.; Pouyaei, A.; Lops, Y.; Jung, J.; Salman, A.K. CNN-based model for the spatial imputation (CMSI version 1.0) of in-situ ozone and PM2.5 measurements. Atmos. Environ. 2022, 289, 119348. [Google Scholar] [CrossRef]
- Xia, S.; Zhang, R.; Zhang, L.; Wang, T.; Wang, W. Multi-dimensional distribution prediction of PM2.5 concentration in urban residential areas based on CNN. Build. Environ. 2025, 267, 112167. [Google Scholar] [CrossRef]
- Kim, D.; Ho, C.-H.; Park, I.; Kim, J.; Chang, L.-S.; Choi, M.-H. Untangling the contribution of input parameters to an artificial intelligence PM2.5 forecast model using the layer-wise relevance propagation method. Atmos. Environ. 2022, 276, 119034. [Google Scholar] [CrossRef]
- Huang, H.; Qian, C. Modeling PM2.5 forecast using a self-weighted ensemble GRU network: Method optimization and evaluation. Ecol. Indic. 2023, 156, 111138. [Google Scholar] [CrossRef]
- Zhang, Y.; Li, C.; Duan, H.; Yan, K.; Wang, J.; Wang, W. Deep learning based data-driven model for detecting time-delay water quality indicators of wastewater treatment plant influent. Chem. Eng. J. 2023, 467, 143483. [Google Scholar] [CrossRef]
- Guo, Q.; He, Z.; Wang, Z. Assessing the effectiveness of long short-term memory and artificial neural network in predicting daily ozone concentrations in Liaocheng City. Sci. Rep. 2025, 15, 6798. [Google Scholar] [CrossRef]
- Park, S.-Y.; Woo, S.-H.; Lim, C. Predicting PM10 and PM2.5 concentration in container ports: A deep learning approach. Transp. Res. Part D Transp. Environ. 2023, 115, 103601. [Google Scholar] [CrossRef]
- Kushwah, V.; Agrawal, P. Hybrid model for air quality prediction based on LSTM with random search and Bayesian optimization techniques. Earth Sci. Inform. 2024, 18, 32. [Google Scholar] [CrossRef]
- Bedi, S.; Katiyar, A.; Krishnan, N.M.A.; Kota, S.H. Utilizing LSTM models to predict PM2.5 levels during critical episodes in Delhi, the world’s most polluted capital city. Urban Clim. 2024, 53, 101835. [Google Scholar] [CrossRef]
- Lin, M.-D.; Liu, P.-Y.; Huang, C.-W.; Lin, Y.-H. The application of strategy based on LSTM for the short-term prediction of PM2.5 in city. Sci. Total Environ. 2024, 906, 167892. [Google Scholar] [CrossRef]
- Miao, L.; Tang, S.; Ren, Y.; Kwan, M.-P.; Zhang, K. Estimation of daily ground-level PM2.5 concentrations over the Pearl River Delta using 1 km resolution MODIS AOD based on multi-feature BiLSTM. Atmos. Environ. 2022, 290, 119362. [Google Scholar] [CrossRef]
- Teng, M.; Li, S.; Xing, J.; Song, G.; Yang, J.; Dong, J.; Zeng, X.; Qin, Y. 24-Hour prediction of PM2.5 concentrations by combining empirical mode decomposition and bidirectional long short-term memory neural network. Sci. Total Environ. 2022, 821, 153276. [Google Scholar] [CrossRef]
- Yin, S.; Liu, H.; Duan, Z. Hourly PM2.5 concentration multi-step forecasting method based on extreme learning machine, boosting algorithm and error correction model. Digit. Signal Process. 2021, 118, 103221. [Google Scholar] [CrossRef]
- Kumar, S.; Kumar, V. Multi-view Stacked CNN-BiLSTM (MvS CNN-BiLSTM) for urban PM2.5 concentration prediction of India’s polluted cities. J. Clean. Prod. 2024, 444, 141259. [Google Scholar] [CrossRef]
- Zhang, J.; Li, S. Air quality index forecast in Beijing based on CNN-LSTM multi-model. Chemosphere 2022, 308, 136180. [Google Scholar] [CrossRef]
- Faraji, M.; Nadi, S.; Ghaffarpasand, O.; Homayoni, S.; Downey, K. An integrated 3D CNN-GRU deep learning method for short-term prediction of PM2.5 concentration in urban environment. Sci. Total Environ. 2022, 834, 155324. [Google Scholar] [CrossRef]
- Yan, R.; Liao, J.; Yang, J.; Sun, W.; Nong, M.; Li, F. Multi-hour and multi-site air quality index forecasting in Beijing using CNN, LSTM, CNN-LSTM, and spatiotemporal clustering. Expert Syst. Appl. 2021, 169, 114513. [Google Scholar] [CrossRef]
- Kow, P.-Y.; Wang, Y.-S.; Zhou, Y.; Kao, I.F.; Issermann, M.; Chang, L.-C.; Chang, F.-J. Seamless integration of convolutional and back-propagation neural networks for regional multi-step-ahead PM2.5 forecasting. J. Clean. Prod. 2020, 261, 121285. [Google Scholar] [CrossRef]
- Cho, E.; Yoon, H.; Cho, Y. Evaluation of the impact of intensive PM2.5 reduction policy in Seoul, South Korea using machine learning. Urban Clim. 2024, 53, 101778. [Google Scholar] [CrossRef]
- He, Z.; Guo, Q. Comparative Analysis of Multiple Deep Learning Models for Forecasting Monthly Ambient PM2.5 Concentrations: A Case Study in Dezhou City, China. Atmosphere 2024, 15, 1432. [Google Scholar] [CrossRef]
- Zhu, M.; Xie, J. Investigation of nearby monitoring station for hourly PM2.5 forecasting using parallel multi-input 1D-CNN-biLSTM. Expert Syst. Appl. 2023, 211, 118707. [Google Scholar] [CrossRef]
- Ahmed, A.A.M.; Jui, S.J.J.; Sharma, E.; Ahmed, M.H.; Raj, N.; Bose, A. An advanced deep learning predictive model for air quality index forecasting with remote satellite-derived hydro-climatological variables. Sci. Total Environ. 2024, 906, 167234. [Google Scholar] [CrossRef]
- Samal, K.K.R.; Babu, K.S.; Das, S.K. Multi-directional temporal convolutional artificial neural network for PM2.5 forecasting with missing values: A deep learning approach. Urban Clim. 2021, 36, 100800. [Google Scholar] [CrossRef]
- Wu, S.; Li, H. Prediction of PM2.5 concentration in urban agglomeration of China by hybrid network model. J. Clean. Prod. 2022, 374, 133968. [Google Scholar] [CrossRef]
- Shen, J.; Liu, Q.; Feng, X. Hourly PM2.5 concentration prediction for dry bulk port clusters considering spatiotemporal correlation: A novel deep learning blending ensemble model. J. Environ. Manag. 2024, 370, 122703. [Google Scholar] [CrossRef]
- Da, X.; Ye, D.; Shen, Y.; Cheng, P.; Yao, J.; Wang, D. A Novel Hybrid Method for Multi-Step Short-Term 70 m Wind Speed Prediction Based on Modal Reconstruction and STL-VMD-BiLSTM. Atmosphere 2024, 15, 1014. [Google Scholar] [CrossRef]
- Yang, H.; Wang, W.; Li, G. Multi-factor PM2.5 concentration optimization prediction model based on decomposition and integration. Urban Clim. 2024, 55, 101916. [Google Scholar] [CrossRef]
- Zheng, Q.; Tian, X.; Yu, Z.; Jiang, N.; Elhanashi, A.; Saponara, S.; Yu, R. Application of wavelet-packet transform driven deep learning method in PM2.5 concentration prediction: A case study of Qingdao, China. Sustain. Cities Soc. 2023, 92, 104486. [Google Scholar] [CrossRef]
- Qiao, W.; Wang, Y.; Zhang, J.; Tian, W.; Tian, Y.; Yang, Q. An innovative coupled model in view of wavelet transform for predicting short-term PM10 concentration. J. Environ. Manag. 2021, 289, 112438. [Google Scholar] [CrossRef]
- Ebrahimi-Khusfi, Z.; Taghizadeh-Mehrjardi, R.; Kazemi, M.; Nafarzadegan, A.R. Predicting the ground-level pollutants concentrations and identifying the influencing factors using machine learning, wavelet transformation, and remote sensing techniques. Atmos. Pollut. Res. 2021, 12, 101064. [Google Scholar] [CrossRef]
- Guo, Q.; He, Z.; Wang, Z. Predicting of Daily PM2.5 Concentration Employing Wavelet Artificial Neural Networks Based on Meteorological Elements in Shanghai, China. Toxics 2023, 11, 51. [Google Scholar] [CrossRef]
- Liu, M.; Lu, Y.; Long, S.; Bai, J.; Lian, W. An attention-based CNN-BiLSTM hybrid neural network enhanced with features of discrete wavelet transformation for fetal acidosis classification. Expert Syst. Appl. 2021, 186, 115714. [Google Scholar] [CrossRef]
- Hu, X.; Huang, G.; Zhou, F.; Qiu, Y.; Gou, X.; Chen, C. Pressure response using wavelet analysis in the process of hydraulic fracturing: Numerical simulation and field case. J. Pet. Sci. Eng. 2022, 217, 110837. [Google Scholar] [CrossRef]
- Jida, S.N.; Hetet, J.-F.; Chesse, P.; Guadie, A. Roadside vehicle particulate matter concentration estimation using artificial neural network model in Addis Ababa, Ethiopia. J. Environ. Sci. 2021, 101, 428–439. [Google Scholar] [CrossRef]
- Chandrasekar, A.; Zhang, S.; Mhaskar, P. A Hybrid Hubspace-RNN based approach for Modelling of Non-Linear Batch Processes. Chem. Eng. Sci. 2023, 281, 119118. [Google Scholar] [CrossRef]
- Zhao, L.; Li, Z.; Qu, L.; Zhang, J.; Teng, B. A hybrid VMD-LSTM/GRU model to predict non-stationary and irregular waves on the east coast of China. Ocean Eng. 2023, 276, 114136. [Google Scholar] [CrossRef]
- Ying, H.; Deng, C.; Xu, Z.; Huang, H.; Deng, W.; Yang, Q. Short-term prediction of wind power based on phase space reconstruction and BiLSTM. Energy Rep. 2023, 9, 474–482. [Google Scholar] [CrossRef]
- Rezaei, M.; Mohammadifar, A.; Gholami, H.; Mina, M.; Riksen, M.J.P.M.; Ritsema, C. Mapping of the wind erodible fraction of soil by bidirectional gated recurrent unit (BiGRU) and bidirectional recurrent neural network (BiRNN) deep learning models. CATENA 2023, 223, 106953. [Google Scholar] [CrossRef]
- Pan, S.; Yang, B.; Wang, S.; Guo, Z.; Wang, L.; Liu, J.; Wu, S. Oil well production prediction based on CNN-LSTM model with self-attention mechanism. Energy 2023, 284, 128701. [Google Scholar] [CrossRef]
- Deng, C.; Qin, C.; Li, Z.; Li, K. Spatiotemporal variations of PM2.5 pollution and its dynamic relationships with meteorological conditions in Beijing-Tianjin-Hebei region. Chemosphere 2022, 301, 134640. [Google Scholar] [CrossRef]
- Guo, Q.; Wang, Z.; He, Z.; Li, X.; Meng, J.; Hou, Z.; Yang, J. Changes in Air Quality from the COVID to the Post-COVID Era in the Beijing-Tianjin-Tangshan Region in China. Aerosol Air Qual. Res. 2021, 21, 210270. [Google Scholar] [CrossRef]
- Samal, K.K.R.; Panda, A.K.; Babu, K.S.; Das, S.K. An improved pollution forecasting model with meteorological impact using multiple imputation and fine-tuning approach. Sustain. Cities Soc. 2021, 70, 102923. [Google Scholar] [CrossRef]
- Guo, Q.; He, Z.; Wang, Z. The Characteristics of Air Quality Changes in Hohhot City in China and their Relationship with Meteorological and Socio-economic Factors. Aerosol Air Qual. Res. 2024, 24, 230274. [Google Scholar] [CrossRef]
- Sang, Y.F. A review on the applications of wavelet transform in hydrology time series analysis. Atmos. Res. 2013, 122, 8–15. [Google Scholar]
- Moreno-Barón, L.; Cartas, R.; Merkoçi, A.; Alegret, S.; del Valle, M.; Leija, L.; Hernandez, P.R.; Muñoz, R. Application of the wavelet transform coupled with artificial neural networks for quantification purposes in a voltammetric electronic tongue. Sens. Actuators B Chem. 2006, 113, 487–499. [Google Scholar] [CrossRef]
- Hou, X.; Ge, F.; Chen, D.; Shen, L.; Zou, F. Temporal distribution-based prediction strategy for dynamic multi-objective optimization assisted by GRU neural network. Inf. Sci. 2023, 649, 119627. [Google Scholar] [CrossRef]
- Gao, Z.; Do, K.; Li, Z.; Jiang, X.; Maji, K.J.; Ivey, C.E.; Russell, A.G. Predicting PM2.5 levels and exceedance days using machine learning methods. Atmos. Environ. 2024, 323, 120396. [Google Scholar] [CrossRef]
- Liu, H.; Wang, Q.; Wei, P.; Zhang, Q.; Qu, Y.; Zhang, Y.; Tian, J.; Xu, H.; Zhang, N.; Shen, Z.; et al. The impacts of regional transport on anthropogenic source contributions of PM2.5 in a basin city, China. Sci. Total Environ. 2024, 917, 170038. [Google Scholar] [CrossRef]
- Wang, X.; Qin, J.; Zhong, S.; Yang, Y.; Lu, Q.; Yu, L. The differential impact of 2015–2020 El Niño and El Niño Modoki on warm- and cold-season PM2.5 concentration and distribution across China. Atmos. Environ. 2023, 305, 119816. [Google Scholar] [CrossRef]











| Influence Factor | Abbreviation | R |
|---|---|---|
| Precipitation (t) | P (t) | −0.2021 |
| Extreme wind velocity (t) | EWV (t) | −0.3554 |
| Mean atmospheric pressure (t) | MAP (t) | 0.4027 |
| Mean wind velocity (t) | MWV (t) | −0.1720 |
| Mean atmospheric temperature (t) | MAT (t) | −0.3696 |
| Mean water pressure (t) | MWP (t) | −0.4440 |
| Mean relative humidity (t) | MRH (t) | −0.3034 |
| Sunshine hours (t) | SH (t) | 0.1549 |
| Minimum atmospheric pressure (t) | MINAP (t) | 0.4024 |
| Minimum atmospheric temperature (t) | MINAT (t) | −0.4373 |
| Maximum atmospheric pressure (t) | MAXAP (t) | 0.4084 |
| Maximum atmospheric temperature (t) | MAXAT (t) | −0.2348 |
| Maximum wind velocity (t) | MAXWV (t) | −0.3388 |
| Minimum relative humidity (t) | MINRH (t) | −0.4134 |
| AQI (t) | AQI (t) | 0.4978 |
| PM10 (t) | PM10 (t) | 0.7203 |
| SO2 (t) | SO2 (t) | 0.5717 |
| CO (t) | CO (t) | 0.5119 |
| NO2 (t) | NO2 (t) | 0.6166 |
| O3 (t) | O3 (t) | 0.1748 |
| PM2.5 (t) | PM2.5 (t) | 0.7507 |
| PM2.5 (t − 1) | PM2.5 (t − 1) | 0.5577 |
| PM2.5 (t − 2) | PM2.5 (t − 2) | 0.4705 |
| PM2.5 (t − 3) | PM2.5 (t − 3) | 0.4306 |
| PM2.5 (t − 4) | PM2.5 (t − 4) | 0.3871 |
| PM2.5 (t − 5) | PM2.5 (t − 5) | 0.3511 |
| PM2.5 (t − 6) | PM2.5 (t − 6) | 0.3028 |
| Mother Wavelets | CA2 and CD1 | CA2 and CD2 | CD1 and CD2 |
|---|---|---|---|
| db2 | −0.0009 | 0.9643 | 0.0006 |
| db3 | 0.0015 | −0.0012 | 0.0017 |
| db4 | 0.0005 | −0.0005 | 0.0006 |
| db5 | −0.0012 | 0.0026 | −0.001 |
| db6 | −0.0019 | 0.0022 | −0.0014 |
| db7 | −0.0015 | 0.0015 | 0.0001 |
| db8 | 0.0003 | 0.0008 | 0.0003 |
| db9 | 0.0015 | −0.0005 | 0.0017 |
| db10 | 0.002 | −0.0014 | 0.0022 |
| sym2 | 0.0015 | −0.0009 | 0.0006 |
| sym3 | 0.0015 | −0.0012 | 0.0017 |
| sym4 | −0.0014 | 0.0018 | −0.0012 |
| sym5 | 0.0001 | 0.0001 | 0.0006 |
| sym6 | −0.0014 | 0.0017 | −0.0016 |
| sym7 | 0.0015 | −0.0006 | 0.0027 |
| sym8 | −0.0018 | 0.0019 | −0.0009 |
| coif1 | −0.0016 | 0.002 | −0.0012 |
| coif2 | −0.002 | 0.0021 | 0.9153 |
| coif3 | −0.0022 | 0.0019 | −0.0009 |
| coif4 | −0.0021 | 0.0022 | −0.0014 |
| coif5 | −0.0021 | 0.002 | −0.0016 |
| bior1.1 | 0 | 0 | 0 |
| bior2.2 | 0.0029 | 0.0143 | 0.0169 |
| bior3.3 | 0.0005 | −0.061 | 0.0006 |
| bior4.4 | −0.0011 | −0.0002 | 0.0098 |
| bior5.5 | 0.0033 | −0.0122 | 0.0002 |
| bior6.8 | −0.0016 | 0.0013 | 0.0024 |
| Hyperparameters | ANN | RNN | GRU | BiGRU | LSTM | BiLSTM | CNN |
|---|---|---|---|---|---|---|---|
| Units in hidden layer | 21 | 100 | 100 | 100 | 100 | 100 | |
| Activation function | logsig-purelin | tanh-sigmoid | Relu | ||||
| Learning rate | 0.001 | 0.001 | 0.001 | 0.001 | 0.001 | 0.001 | 0.001 |
| Batch size | 15 | 15 | 15 | 15 | 15 | 15 | 15 |
| Epochs | 100 | 100 | 100 | 100 | 100 | 100 | 100 |
| Optimizer | Trainbr | Adam | Adam | Adam | Adam | Adam | Adam |
| Kernel size | 3 × 1 | ||||||
| Max-pooling | 2 × 1 | ||||||
| Convolution Filters | 16–32 | ||||||
| Models | R | RMSE (μg/m3) | MAE (μg/m3) | MAPE (%) |
|---|---|---|---|---|
| ANN | 0.6630 | 11.9688 | 9.9072 | 62.7491 |
| RNN | 0.6779 | 11.3927 | 9.7002 | 54.7036 |
| GRU | 0.6793 | 11.3511 | 8.9722 | 54.2364 |
| BiGRU | 0.6802 | 11.3294 | 8.8436 | 52.7421 |
| CNN | 0.7330 | 10.3658 | 8.2465 | 48.2678 |
| LSTM | 0.7458 | 10.0380 | 8.1713 | 45.6636 |
| BiLSTM | 0.7609 | 9.5961 | 7.6862 | 39.7882 |
| CNN-GRU | 0.7426 | 10.1655 | 8.1557 | 47.2628 |
| CNN-BiGRU | 0.7580 | 9.6270 | 7.7992 | 41.7416 |
| CNN-LSTM | 0.7810 | 8.5610 | 7.5092 | 38.9337 |
| CNN-BiLSTM | 0.7856 | 8.2600 | 6.6141 | 37.7028 |
| CNN-LSTM-GRU | 0.8005 | 7.8311 | 5.8929 | 31.9232 |
| CNN-GRU-LSTM | 0.8123 | 7.8235 | 5.7128 | 31.1673 |
| CNN-BiLSTM-BiGRU | 0.8183 | 7.8196 | 5.6382 | 29.0080 |
| CNN-BiGRU-BiLSTM | 0.8323 | 7.6418 | 5.5519 | 26.2684 |
| Models | R | RMSE (μg/m3) | MAE (μg/m3) | MAPE (%) |
|---|---|---|---|---|
| W-ANN | 0.8188 | 11.5113 | 9.5490 | 58.4057 |
| W-RNN | 0.8718 | 8.8379 | 7.2191 | 44.6752 |
| W-GRU | 0.8890 | 8.7971 | 6.8600 | 34.1093 |
| W-BiGRU | 0.9029 | 8.6062 | 6.2471 | 31.4817 |
| W-CNN | 0.9161 | 7.5615 | 5.5796 | 28.6538 |
| W-LSTM | 0.9133 | 7.2930 | 5.0708 | 20.6160 |
| W-BiLSTM | 0.9223 | 6.7973 | 4.4111 | 18.4883 |
| W-CNN-GRU | 0.9122 | 7.3323 | 5.0871 | 20.6178 |
| W-CNN-BiGRU | 0.9212 | 7.2920 | 4.4431 | 18.7684 |
| W-CNN-LSTM | 0.9344 | 6.6869 | 3.6688 | 17.7805 |
| W-CNN-BiLSTM | 0.9404 | 4.6816 | 3.2193 | 17.5674 |
| W-CNN-LSTM-GRU | 0.9464 | 4.5310 | 3.1840 | 16.5858 |
| W-CNN-GRU-LSTM | 0.9489 | 4.4583 | 2.7451 | 14.4150 |
| W-CNN-BiLSTM-BiGRU | 0.9859 | 2.5590 | 2.0056 | 10.0762 |
| W-CNN-BiGRU-BiLSTM | 0.9952 | 1.4935 | 1.2091 | 7.3782 |
Disclaimer/Publisher’s Note: The statements, opinions and data contained in all publications are solely those of the individual author(s) and contributor(s) and not of MDPI and/or the editor(s). MDPI and/or the editor(s) disclaim responsibility for any injury to people or property resulting from any ideas, methods, instructions or products referred to in the content. |
© 2025 by the authors. Licensee MDPI, Basel, Switzerland. This article is an open access article distributed under the terms and conditions of the Creative Commons Attribution (CC BY) license (https://creativecommons.org/licenses/by/4.0/).
Share and Cite
He, Z.; Guo, Q.; Wang, Z.; Li, X. A Hybrid Wavelet-Based Deep Learning Model for Accurate Prediction of Daily Surface PM2.5 Concentrations in Guangzhou City. Toxics 2025, 13, 254. https://doi.org/10.3390/toxics13040254
He Z, Guo Q, Wang Z, Li X. A Hybrid Wavelet-Based Deep Learning Model for Accurate Prediction of Daily Surface PM2.5 Concentrations in Guangzhou City. Toxics. 2025; 13(4):254. https://doi.org/10.3390/toxics13040254
Chicago/Turabian StyleHe, Zhenfang, Qingchun Guo, Zhaosheng Wang, and Xinzhou Li. 2025. "A Hybrid Wavelet-Based Deep Learning Model for Accurate Prediction of Daily Surface PM2.5 Concentrations in Guangzhou City" Toxics 13, no. 4: 254. https://doi.org/10.3390/toxics13040254
APA StyleHe, Z., Guo, Q., Wang, Z., & Li, X. (2025). A Hybrid Wavelet-Based Deep Learning Model for Accurate Prediction of Daily Surface PM2.5 Concentrations in Guangzhou City. Toxics, 13(4), 254. https://doi.org/10.3390/toxics13040254

