Abstract
The relationship between ozone (O3) exposure and gestational diabetes mellitus (GDM) in twin pregnancies remains unexplored. This study aimed to investigate the association between O3 exposure and GDM risk in twin pregnancies, and to explore the synergistic effects of O3 exposure with other maternal factors. A total of 428 pregnancies recruited from a prospective twin cohort were included. Cox proportional hazard models with distributed lag non-linear models (DLNMs) were applied to examine the associations between O3 exposure and the risk of GDM and to identify the critical windows. The multiplicative and additive interaction were further analyzed to test the synergistic effects. A 10 μg/m3 increase in average O3 exposure during the 12 weeks before pregnancy was associated with a 26% higher risk of GDM. The critical windows were identified in the period from the 3rd week before gestation to the 2nd gestational week as well as from the 17th to 19th gestational week. There were synergistic effects between high O3 exposure during preconception and advanced maternal age, and a history of preterm birth/abortion/stillbirth. Periconceptional O3 exposure could increase the risk of GDM in twin pregnancy women, and the synergism of O3 exposure with certain GDM risk factors was observed.
1. Introduction
Gestational diabetes mellitus (GDM) is defined as diabetes in the pregnant women who did not have overt diabetes prior to gestation [1]. The global prevalence of GDM varies widely, ranging from 1.0% to over 30.0% [2,3]. GDM has been shown to have both short- and long-term negative health impacts on mothers as well as their children. The short-term consequences include increased risks of gestational hypertensive disease, stillbirth, preterm birth, cesarean sections, and the occurrence of macrosomia at delivery [1,4,5,6]. For long-term outcomes, mothers with GDM are at an elevated risk for developing type 2 diabetes, ischemic heart disease, nonalcoholic fatty liver diseases and hypertension, and their offsprings face a greater susceptibility to impaired cognitive ability, cardiovascular disease, and metabolic complications later in life [1,6,7].
There is growing evidence linking atmospheric pollution exposure to GDM, and the association between ozone (O3) and GDM is particularly drawing attention in recent years [8,9,10,11,12]. O3 pollution has been considered as an important global health threat since ongoing climate change and anthropogenic emissions are causing the rising of ground-level O3 concentrations in majority of areas and countries all around the world [10]. Several animal experiments confirmed that exposure to O3 can disrupt glucose homeostasis [13,14]. Recent epidemiological studies have also established associations between O3 exposure and the risk of GDM [11,15,16,17,18]. However, it is worth noting that all the existing data were limited to singleton pregnancies, and there is a lack of research with focus on the association between O3 exposure and the development of GDM in twin pregnancies.
The incidence of twin pregnancies has continued to rise over the past two decades due to delayed childbearing and the wide use of assisted reproductive technologies (ART) [19]. The proportion of twin births in China has exceeded 3.0% [20]. It has been indicated that twin pregnancy is an independent risk factor for the development of GDM [21,22,23]. Moreover, GDM in twin pregnancies might exacerbate adverse health outcomes, including preeclampsia, perinatal mortality, and induction rates [24,25]. Therefore, it is worth investigating the relationship between O3 exposure and the occurrence of GDM in twin pregnancies.
In addition, it is crucial to highlight that very few studies have explored whether there is an interaction between O3 exposure and the individual characteristics of pregnant women in the development of GDM. A recent study has shown an interaction of seasonal variation and pre-pregnancy body mass index (BMI) in the risk of GDM [26].
The aim of the present study was to examine the association of pre-conceptional and prenatal exposure to O3 with the risk of GDM in twin pregnancies, and to explore the synergistic effect between O3 and maternal characteristics on GDM development.
2. Methods
2.1. Original Cohort
This research is part of the ongoing Shanghai Twin Pregnancy Birth Cohort (STPBC) Study, a prospective birth cohort designed to investigate the effects of environmental and behavioral exposures during the periconception period on the outcomes of twin pregnancies. This study is conducted at the International Peace Maternity and Child Health Hospital, affiliated with Shanghai Jiao Tong University School of Medicine. Beginning 15 November 2018, all women with twin pregnancies in early gestation (less than 14 weeks) were invited to participate in the STPBC study during their initial visit to the twin clinic with participation limited to those who provided informed consent. Further details on the STPBC study have been published in our previous research [27]. The STPBC Study was approved by the ethics committee of Shanghai Jiao Tong University School of Medicine (SJUPN-201717).
2.2. Study Population
Between November 2018 and December 2023, a total of 675 twin pregnant women were enrolled in the present study. However, 247 participants were excluded due to factors such as preexisting maternal diseases, fetal chromosomal abnormalities, severe structural defects, spontaneous/iatrogenic reduction, abortion, stillbirth, or missing data on home address or GDM status. As a result, 428 women with twin pregnancies were included in the final analysis (Figure S1).
2.3. Assessment of Ambient Pollutant Exposure, Temperature, and Relative Humidity
The residential addresses of the pregnant women were collected at their initial antenatal examination. Each residential address was converted into longitude and latitude coordinates to determine the concentration of O3 and PM2.5 in the center of the nearest grid area. Data for a daily maximum 8 h O3 and PM2.5 during the study period were obtained from Tracking Air Pollution in the China database (http://tapdata.org.cn, accessed on 1 May 2024) and the spatial resolution of both O3 and PM2.5 was 10 km [28,29,30,31,32,33]. Figure S2 shows the monthly fluctuation in O3 concentration from January 2018 to December 2023. The weekly O3 and PM2.5 exposure from the 12th week before gestation to the 35th gestational week were calculated, considering the 12 weeks before pregnancy, is a plausible biologically relevant window of O3 exposure that might influence menstrual cycles and ovulation prior to gestation [34,35]. The details on the calculation of O3 and PM2.5 measurements have been reported previously [28,29,30,31,32,33]. Average values for O3 and PM2.5 in both the week and the trimester scale were utilized to assess atmospheric exposure in our study. Average daily values for other ambient pollutants (PM10, SO2, NO2, and CO) were calculated by applying the inverse distance weighted (IDW) method with data being obtained from air quality monitoring stations in Shanghai. Average daily values for temperature and relative humidity were calculated based on the historical reanalysis datasets from the National Aeronautics and Space Administration (NASA) (www.xihe-energy.com, accessed on 1 May 2024).
Among the latest documents released by the World Health Organization (WHO), the Global Air Quality Guidelines (AOG 2021) explicitly define the threshold for ozone; however, only for the general population [36]. According to the WHO AQG 2021 [36], daily maximum 8 h O3 concentration limits are 100 µg/m3. Considering that the specific O3 exposure thresholds exclusively for pregnancy were unavailable, we used the general WHO guideline thresholds as a reference to define high and low O3 concentration cases in our analysis. Accordingly, average O3 exposure was categorized into high exposure (≥100 µg/m3) and low exposure (<100 µg/m3).
2.4. Outcome Measurements
All participants were required to complete GDM screening utilizing a 2 h 75 g oral glucose tolerance test (OGTT) between the 24th and 28th weeks of pregnancy and undergo fasting plasma glucose (FPG) from the 32nd to 34th gestational weeks. GDM was diagnosed based on the recommendations of the International Association of Diabetes and Pregnancy Study Groups (IADPSG): FPG ≥ 5.1 mmol/L (≥92 mg/dL), 1 h plasma glucose ≥ 10.0 mmol/L (≥180 mg/dL), or 2 h plasma glucose ≥ 8.5 mmol/L (≥153 mg/dL) [37].
2.5. Covariates
Covariates included maternal age, ethnicity (Han, other), education level (junior school or below, high school, college or graduate school or above), family monthly income per capita (RMB <5000, RMB 5000–7999, RMB ≥8000), first gestation (yes, no), primipara (yes, no), history of abortion/preterm birth/still birth (yes, no), chorionicity [monochorionic monoamniotic (MCMA)/monochorionic diamniotic (MCDA), dichorionic diamniotic (DCDA)], pregnancy via ART (yes, no), preconception tobacco/alcohol use (yes, no), pre-pregnancy BMI, anemia (yes, no), gestational hypertension (yes, no), and thyroid disease (yes, no). Maternal age was further categorized into <35 years and ≥35 years based on the widely recognized clinical classification that women aged 35 years or older is defined as advanced maternal age, a threshold associated with increased risks for pregnancy-related outcomes [38].
2.6. Statistical Analyses
Statistical descriptions were provided using percentages for categorical variables, and group differences were examined through the Chi-squared test.
The Cox proportional hazard models were applied to evaluate the association between average O3 exposure during different gestational periods and GDM. We fitted the following four models. In the crude model, only average O3 exposure was included. Model I was adjusted for temperature and relative humidity. Model II was further adjusted for sociodemographic characteristics (advanced maternal age, ethnicity, education level, and family income), history of preterm birth/abortion/still birth, first gestation, primipara, chorionicity, and pregnancy via ART in addition to the factors included in model I. Model III, based on the covariates in Model II, pregnancy health indicators, including maternal tobacco/alcohol use, pre-pregnancy BMI, anemia, thyroid disease, and gestational hypertension were simultaneously adjusted.
Double-pollution models were utilized to examine the potential confounding effects, in which one of the air pollutants, including PM2.5, PM10, SO2, NO2, and CO, was applied to adjust the model [8].
A distributed lag non-linear model (DLNM) incorporated in Cox proportional hazard models was then utilized to identify the susceptible weeks of O3 exposure for the development of GDM. In this model, a cross-basis matrix for O3 was created, with the exposure-response dimension being set as linear by default, and the lag-response dimension defined by natural cubic splines. Based on Akaike information criterion (AIC), the degree of freedom for the optimal model was set as 5. The ambient temperature and relative humidity were included in the models using natural cubic splines, with the degrees of freedom for both being set as 2 in the exposure-response and the lag-response dimension. In addition, the multiplicative and additive interaction between high O3 exposure (≥100 μg/m3) during different periods and maternal GDM risk factors (age and history of preterm birth/abortion/still birth) on GDM was tested. Relative excess risk due to interaction (RERI) was utilized to determine the existence of additive interaction, with RERI > 0 indicating a statistically significant additive interaction. Subsequently, the stratification analyses were performed according to maternal characteristics.
We also conducted sensitivity analyses to test the robustness of our results. First, we used natural splines with 6 or 7 degrees of freedom for the O3 lag constraint, and with 3 degrees for the temperature or relative humidity non-linear constraint in the cross matrix to assess the hazards of GDM separately. Second, we restricted the study population to those subjects with Han ethnicity, without DCDA, without tobacco/alcohol use, or without pre-pregnancy obesity.
All statistical analyses were performed using R software version 4.3.1 (R Foundation for Statistical Computing, Vienna, Austria). A two-sided p value < 0.05 was considered as significant difference.
3. Results
3.1. Baseline Characteristics of Participants
Table 1 summarizes the baseline characteristics of participants. Of the 428 twin pregnant women, 72 (16.82%) were diagnosed with GDM. Participants with GDM tended to have a higher age and pre-pregnancy BMI (p < 0.05). Levels of O3 and other air pollutant exposure during different periods among participants were presented in Table S1. We also explored the distribution of maternal age, history of abortion/preterm birth/still birth, and pre-pregnancy obesity between the two groups of high vs. low O3 exposure before pre-pregnancy. We found that there were no significant differences between the two groups (Table S2) as well. The median average O3 exposure from pre-pregnancy to the second trimester was consistently above 100 μg/m3.
Table 1.
Baseline characteristics of participants by GDM.
3.2. Associations Between Average O3 Exposure During Different Periods and the Risks of GDM
Table 2 shows the impact of average O3 exposure during different periods on GDM. After adjusting for covariates, it was found that there was a significant association between average O3 exposure during the 12 weeks before pregnancy and the incidence of GDM; a per 10 μg/m3 increase in O3 was associated with a 26% (95% CI: 7–48%) higher risk of GDM (p < 0.05). In addition, it was also indicated that participants with high exposure to O3 (≥100 μg/m3) during the preconception period were more likely to develop GDM (HR: 2.89, 95% CI: 1.36–6.12). By contrast, these associations were not observed in the first and the second trimester. Consistent changes were found in the double-pollution models. Moreover, we also explored the association between O3 exposure for each month before pregnancy and GDM (Figure S3). Similar results were observed in general.
Table 2.
The effects of single-pollutant and double-pollutant O3 exposure on GDM risk during different periods.
3.3. Critical Windows of Weekly O3 Exposure for GDM Risks
Figure 1 shows the association between O3 exposure and GDM in 2D and 3D plots. The hazard of GDM was associated with O3 exposure from the 3rd week before gestation to the 2nd gestational week and from the 17th to the 19th gestational week. Figure 1a indicates that the strongest effect of O3 exposure was observed in the 2nd week before gestation (HR: 1.07, 95% CI: 1.08–1.13). Figure 1b depicts the effects of O3 exposure on GDM with different lag weeks, with two significant peaks by lag week from lag 9 weeks to lag 14 weeks and from lag 29 weeks to lag 31 weeks.
Figure 1.
Weekly associations of O3 exposure (per 10 μg/m3) with the development of GDM. (a) and (b) showed the weekly association between O3 and GDM of pregnancy in 2D and 3D plots, respectively. Adjusted for temperature and relative humidity, sociodemographic characteristics (advanced maternal age, ethnicity, education level, and family income), history of preterm birth/abortion/still birth, first gestation, primipara, chorionicity, pregnancy via assisted reproductive technology, pregnancy health indicators, including maternal tobacco/alcohol use, pre-pregnancy body mass index, anemia, thyroid disease, and gestational hypertension. O3: ozone; GDM: gestational diabetes mellitus; HR: hazard ratio; CI: confidence interval.
3.4. Interaction Between High O3 Exposure During Different Periods and Maternal Characteristics on GDM Risks
The results presented in Figure 2 indicate a significant additive interaction between high O3 exposure (≥100 μg/m3) during the preconception period and an advanced maternal age in relation to GDM (RERI: 2.52, 95% CI: 0.22–8.02). Additionally, a significant multiplicative interaction was observed between high O3 exposure during the preconception period and a history of abortion, preterm birth, or stillbirth (p for multiplicative interaction < 0.05). However, these associations were not observed in the first and the second trimester (Table S3).
Figure 2.
Interaction between high O3 exposure during the 12 weeks before pregnancy and maternal characteristics on GDM risks. Adjusted for temperature and relative humidity, sociodemographic characteristics (advanced maternal age, ethnicity, education level, and family income), history of preterm birth/abortion/still birth, first gestation, primipara, chorionicity, pregnancy via assisted reproductive technology, pregnancy health indicators, including maternal tobacco/alcohol use, pre-pregnancy body mass index, anemia, thyroid disease, and gestational hypertension. O3: ozone; GDM: gestational diabetes mellitus; HR: hazard ratio; CI: confidence interval; MI: multiplicative interaction; RERI: relative excess risk due to interaction.
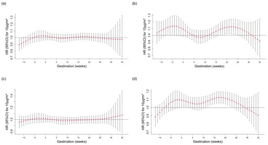
3.5. Stratification Analyses
In the stratification analyses, we estimated the effects of weekly O3 exposure on GDM according to maternal age and history of abortion/preterm birth/stillbirth. The similar findings were generally shown that women with advanced age, and history of abortion, preterm birth, or stillbirth were more sensitive to O3 exposure across the preconception period and the second trimester (Figure 3).
Figure 3.
Stratification analyses: weekly associations between high O3 exposure during the 12 weeks before pregnancy and GDM for different maternal characteristics. (a,b) showed the association in women without and with advanced maternal age, respectively. (c,d) showed the association in women without and with history of preterm birth/abortion/still birth, respectively. Adjusted for temperature and relative humidity, sociodemographic characteristics (advanced maternal age, ethnicity, education level, and family income), history of preterm birth/abortion/still birth, first gestation, primipara, chorionicity, pregnancy via assisted reproductive technology, pregnancy health indicators, including maternal tobacco/alcohol use, pre-pregnancy body mass index, anemia, thyroid disease, and gestational hypertension. O3: ozone; GDM: gestational diabetes mellitus; HR: hazard ratio; CI: confidence interval.
3.6. Sensitivity Analyses
Utilizing natural splines with 6 and 7 degrees of freedom for the O3 lag constraint and with 3 degrees for the temperature or relative humidity non-linear constraint, we still observed the similar results that the significant lag windows for O3 spanned the preconception period and the first trimester (Figure S4). After excluding participants of minority ethnicities, carrying DCDA, using tobacco/alcohol, or pre-pregnancy obesity, we found that the average O3 exposure during the preconception period remained positively associated with GDM (Table S4) and the critical windows were consistent with primary analyses (Figure S4).
4. Discussion
Based on the STPBC Study, for the first time we explored the association between O3 exposure during different periconception periods and the risk of GDM among twin pregnant women. Our results suggested that there was a significant association between higher O3 exposure during pre-pregnancy and an increased incidence of GDM, and the periods of 3rd week before gestation to the 2nd gestational week and the 17th to the 19th gestational week might be the potential critical windows. More importantly, the synergistic effects were observed between O3 exposure and advanced maternal age and having history of abortion/preterm birth/stillbirth on the risk of GDM.
The incidence of twin pregnancies in recent years is an increasing trend [20] and several studies reported that twin pregnancies were associated with an elevated risk of GDM, compared with singleton pregnancies [39,40]. Another cohort study conducted in Shanghai reported that the incidence of GDM in singleton pregnancies was 12.32% [20]. In contrast, our study found a substantially higher GDM incidence of 16.82% in twin pregnancies.
In recent years, a growing number of epidemiological studies have been conducted to investigate the association in singleton pregnancies [11,15,16,17,18]. The results of these studies consistently showed that O3 exposure during the conception period increased the risk of GDM [11,15,16,17,18]. Nevertheless, so far there is a research gap in twin pregnancies. This is the first study focusing on twin pregnancies, observing that there was a significant positive association between average O3 exposure during the 12 weeks before pregnancy and the development of GDM. To our knowledge, to date very few studies have explored the risk of O3 exposure during pre-pregnancy on GDM in singleton pregnancies. The two studies from the US, in which O3 concentrations ranged from 29.71 to 41.3 ppb during pre-pregnancy, found a significantly inverse association between O3 exposure and GDM [41,42]. By contrast, a study in Taiwan, O3 concentrations being around 27.5 ppb, suggested a positive association, which supported our findings to a large extent; however, the association did not reach the significant level on statistics [43]. A more recent study conducted in Beijing also indicated that the elevated risk of GDM is associated with the increased O3 exposure during the first month before pregnancy [16]. Based on the existing data, the contradictory results might be due to the ethnic differences and the physiological variations between twin and singleton pregnancies. One of the primary differences between twin pregnancies and singleton pregnancies is the increased placental mass in twin pregnancies, which produces higher levels of hormones such as human placental lactogen and progesterone [21,22,23]. These hormones can interfere with insulin sensitivity, leading to insulin resistance and GDM [21,22,23]. Furthermore, the increased levels of oxidative stress biomarkers including malondialdehyde (MDA) and decreased antioxidant ability were found in twin pregnancy women, indicating twin pregnancies could induce higher level of oxidative stress [44]. Oxidative stress can damage the pancreatic β-cells, resulting in decreased insulin secretion and interfere with the normal function of insulin receptors, leading to insulin resistance, and thereby increasing the risk of GDM [45]. In addition, O3 exposure could exert oxidative stress by producing 4-hydroxynonenal (4HNE) and decreasing superoxide dismutase (SOD), increase circulating metabolites of glycolysis and promote gluconeogenesis, thereby disrupting glucose homeostasis [13,46]. Therefore, twin pregnancies exposed to high levels of O3 are more likely to develop GDM.
Though a number of studies have assessed the trimester-specific relationship between O3 exposure and GDM, up to now, only one study has investigated the week-specific effects of O3 on the risk of GDM, indicating that the 5th to 10th gestational weeks might be a critical window for the effects of O3 exposure on GDM in singleton pregnancies [18]. Our findings similarly highlighted the importance of early pregnancy in twin pregnancies. In addition, we found that pre-pregnancy and mid-pregnancy were also potentially sensitive windows. Overall, it appeared that O3 exposure during peri-conception period and the second trimester was associated with the risk of GDM in twin pregnancies. According to the previous research, the underlying explanation might be that during these periods, developing embryos and fetuses are especially sensitive to environmental factors [16]. In the peri-conception period, oocyte and sperm are highly vulnerable to oxidative stress, and the demethylation of imprinted genes is crucial during the process of gamete to germ cell formation [47]. The high exposure to O3 leading to oxidative damage could result in the DNA methylation of the imprinted gene Igf2, which then might inhibit its gene expression [16]. Igf2 is an imprinted gene in humans that plays a key role in the development of diabetes and the inhibition of Igf2, and it has been found to be involved in maternal hyperglycemia [16]. In the second trimester, the increased production of placental hormones, such as human placental lactogen and progesterone, leads to heightened insulin resistance [48]. Additionally, weight gain and fat accumulation during mid-pregnancy could further exacerbate insulin resistance and increase the risk of GDM [49].
It is worth noting that, based on the trimester-scale analysis, we observe the significant association between O3 exposure and the risk of GDM during the 12 weeks before pregnancy, rather than in the first or the second trimester. In contrast, based on the week-scale analysis, we found that O3 exposure during specific gestational weeks both in the first and second trimesters was associated with the risk of GDM. The trimester-scale analysis adopted by our study aggregates exposure over a broad period, potentially masking short-term variations in O3 exposure that may have effects. By contrast, the week-scale analysis is capable of capturing finer temporal details, allowing the identification of specific weeks which might be particularly susceptible to environmental stressors like O3. In addition, there was evidence that the 12 weeks before pregnancy might be a critical period for the establishment of baseline insulin sensitivity, thereby having a lasting impact on glucose metabolism during pregnancy [34,50,51].
Furthermore, we explored the multiplicative and additive interaction between high O3 exposure (≥100 μg/m3) during different periods and maternal characteristics on GDM. The significant synergistic effects were observed between high O3 exposure during the preconception period and advanced maternal age and having history of preterm birth/abortion/stillbirth. Previous studies have shown that advanced maternal age, a history of abortion, preterm birth, and stillbirth could increase the GDM risk [52,53]. Our findings suggested that high O3 exposure may amplify the adverse effects of these particular maternal risk factors on the development of GDM, particularly when high exposure occurs before conception. The observed synergistic effects underscored the importance of considering both environmental and maternal characteristics in assessing GDM risk. In addition to O3 exposure and twin pregnancies, maternal GDM risk factors such as advanced maternal age, and a history of preterm birth, abortion, or stillbirth have been linked to higher levels of oxidative stress [54]. As previously described, oxidative stress has been associated with the risk of GDM. Thus, it is plausible that the interactions between high O3 exposure and maternal risk factors among twin pregnancies might be mediated through oxidative stress.
Finally, to assess the robustness of our results, we conducted double-pollutant models and sensitivity analyses in four subgroups after excluding participants of minority ethnicities, those carrying DCDA, subjects exposed to tobacco/alcohol, or those with pre-pregnancy obesity, similar results were observed in general, which further strengthen the association between O3 exposure during periconception periods and the risk of GDM among twin pregnant women.
Our study has several strengths. First, while the existing research predominantly addresses the effects of environmental exposures on singleton pregnancies, our study uniquely focuses on twin pregnancies, a population with distinct physiological and clinical characteristics. Notably, to our knowledge, this is the first study exploring the association between O3 exposure and the risk of GDM among twin pregnant women. This focus allows us to fill a critical gap in understanding how O3 exposure may differentially impact maternal health in this high-risk group. Second, our study identified two key exposure windows for O3: the 3rd week before gestation to the 2nd gestational week and from the 17th to the 19th gestational week. These findings provide novel insights into the timing of O3 exposure in twin pregnancies that is associated with GDM risk, offering actionable implications for intervention strategies. Third, the Cox proportion model with DLNMs was applied to identify the week-scale critical susceptible period for the effect of O3 exposure on GDM. The Cox proportion model with DLNMs allowed us to account for the timing of GDM diagnosis during pregnancy, providing a more detailed and precise understanding of the relationship between O3 exposure and GDM risk over time. Fourth, our findings provided the first evidence that high O3 exposure could amplify the detrimental effects of certain maternal factors on the risk of GDM.
However, our study has several limitations. First, the single-center design of the present study might raise the possibility of selection bias. Future studies with a multicenter design are warranted. Second, our findings are based on data from Shanghai, which shows relatively high ambient O3 levels [55,56]. However, as the most developed metropolis, Shanghai has an advanced healthcare system with widespread access to prenatal care and routine screening for GDM. These unique environmental and healthcare characteristics may influence the generalizability of our results. The critical windows for O3 should be examined in other regions since, in theory, exposure to different levels of O3 may result in different health effects. Third, although major confounders concerning the association between O3 exposure and the risk of GDM were considered in our analysis, other important factors, such as energy intake, were not taken into account. Fourth, the O3 exposure was estimated by matching the longitude and latitude of home address data, while O3 exposure in workplaces may introduce interferences, which potentially reduced the accuracy of exposure level measurements. Fifth, although outdoor O3 exposure is the primary contributor to overall exposure, which is typically used in epidemiological studies, indoor O3 levels may also modulate individual exposure levels, which may affect the validity of the results.
5. Conclusions
Our research is the first to provide evidence supporting a positive association between average O3 exposure during the 12 weeks before pregnancy and the development of GDM in twin pregnancies. Furthermore, our findings suggested that the 3rd week before gestation to the 2nd gestational week and the 17th to the 19th gestational week could be critical windows for higher O3 exposure in its relation to increased risk of GDM. Remarkably, high O3 exposure may amplify the adverse effects of certain maternal GDM risk factors, including advanced maternal age, and a history of preterm birth/abortion/stillbirth, particularly when high exposure occurs before conception. These findings emphasize the need for targeted public health strategies to reduce O3 exposure, particularly during critical periods before and during pregnancy, to mitigate the risk of GDM in twin pregnancies. Moreover, our study highlights the importance of integrating environmental factors into maternal health risk assessments, especially for high-risk populations such as those with multiple gestations.
Supplementary Materials
The following supporting information can be downloaded at: https://www.mdpi.com/article/10.3390/toxics13020117/s1, Figure S1: Flowchart of study population selection; Figure S2: Levels of O3 by Month in Shanghai from 2018 to 2023; Table S1: Levels of Air Pollutant Concentrations during Different Periods in the STPBC Study; Figure S3: Risk of GDM with Average O3 Exposure by Month before Pregnancy; Table S2: Characteristics of Participants by High O3 Exposure during 12 weeks before Pregnancy; Table S3: Interaction between high O3 exposure (≥100 μg/m3) during different trimesters and maternal characteristics on GDM risks; Table S4: Sensitivity analysis 1: HRs of GDM associated with average O3 exposure in 12 weeks before pregnancy; Figure S4: Sensitive analyses 2: Weekly associations between O3 exposure during 12 weeks before pregnancy and GDM in different population and models.
Author Contributions
Conceptualization, S.L. (Shenghui Li) and A.Z.; Methodology, Y.X. and A.Z.; Software, A.Z.; Validation, Y.X., Y.W. and J.C.; Formal Analysis, A.Z.; Investigation, A.Z.; Resources, Y.X.; Data Curation, R.L., W.K., L.H., R.H., S.L. (Shuping Lyu), and Y.Z.; Writing—Original Draft Preparation, A.Z.; Writing—Review and Editing, S.L. (Shenghui Li) and J.C.; Visualization, Y.X.; Supervision, Y.W.; Project Administration, Y.X.; Funding Acquisition, S.L. (Shenghui Li) and A.Z. All authors have read and agreed to the published version of the manuscript.
Funding
This work was supported by grants from the National Natural Science Foundation of China [82204060, 82273651, 81874266] and the Key Research and Development Project of Hainan Province awarded to Shenghui Li.
Institutional Review Board Statement
The STPBC Study was approved by the ethics committee of Shanghai Jiao Tong University School of Medicine (SJUPN-201717).
Informed Consent Statement
Informed consent was obtained from all subjects involved in the study.
Data Availability Statement
The data presented in this study are available on request from the corresponding author due to the privacy.
Acknowledgments
The authors sincerely appreciate the contributions of the women who took part in this study.
Conflicts of Interest
The authors declare no conflicts of interest.
References
- Sweeting, A.; Wong, J.; Murphy, H.R.; Ross, G.P. A Clinical Update on Gestational Diabetes Mellitus. Endocr. Rev. 2022, 43, 763–793. [Google Scholar] [CrossRef]
- Gao, C.; Sun, X.; Lu, L.; Liu, F.; Yuan, J. Prevalence of Gestational Diabetes Mellitus in Mainland China: A Systematic Review and Meta-Analysis. J. Diabetes Investig. 2019, 10, 154–162. [Google Scholar] [CrossRef] [PubMed]
- McIntyre, H.D.; Catalano, P.; Zhang, C.; Desoye, G.; Mathiesen, E.R.; Damm, P. Gestational Diabetes Mellitus. Nat. Rev. Dis. Primers 2019, 5, 47. [Google Scholar] [CrossRef] [PubMed]
- Coustan, D.R.; Lowe, L.P.; Metzger, B.E.; Dyer, A.R. The Hyperglycemia and Adverse Pregnancy Outcome (HAPO) Study: Paving the Way for New Diagnostic Criteria for Gestational Diabetes Mellitus. Am. J. Obstet. Gynecol. 2010, 202, 651–654. [Google Scholar] [CrossRef] [PubMed]
- Kc, K.; Shakya, S.; Zhang, H. Gestational Diabetes Mellitus and Macrosomia: A Literature Review. Ann. Nutr. Metab. 2015, 66 (Suppl. S2), S14–S20. [Google Scholar] [CrossRef]
- Metzger, B.E.; Coustan, D.R.; Trimble, E.R. Hyperglycemia and Adverse Pregnancy Outcomes. Clin. Chem. 2019, 65, 937–938. [Google Scholar] [CrossRef]
- Bianco, M.E.; Josefson, J.L. Hyperglycemia During Pregnancy and Long-Term Offspring Outcomes. Curr. Diabetes Rep. 2019, 19, 143. [Google Scholar] [CrossRef]
- Wan, Z.; Zhang, S.; Zhuang, G.; Liu, W.; Qiu, C.; Lai, H.; Liu, W. Effect of Fine Particulate Matter Exposure on Gestational Diabetes Mellitus Risk: A Retrospective Cohort Study. Eur. J. Public Health 2024, 34, 787–793. [Google Scholar] [CrossRef]
- Yang, Y.; Ma, X.; Pang, W.; Jiang, C. Causal Associations of PM2.5 and GDM: A Two-Sample Mendelian Randomization Study. Toxics 2023, 11, 171. [Google Scholar] [CrossRef]
- Zhang, J.J.; Wei, Y.; Fang, Z. Ozone Pollution: A Major Health Hazard Worldwide. Front. Immunol. 2019, 10, 2518. [Google Scholar] [CrossRef]
- Zhao, G.; Zhang, F.; Zhong, Y.; Zhang, Y.; Zhang, X.; Zhu, S.; Zhang, X.; Li, T.; Zhu, W.; Li, D. Independent and Interactive Effects of Ozone and Thermal Inversion Exposure on the Risk of Gestational Diabetes Mellitus in Wuhan, China. Environ. Sci. Pollut. Res. 2023, 30, 91315–91323. [Google Scholar] [CrossRef] [PubMed]
- Zheng, Y.; Bian, J.; Hart, J.; Laden, F.; Soo-Tung Wen, T.; Zhao, J.; Qin, H.; Hu, H. PM2.5 Constituents and Onset of Gestational Diabetes Mellitus: Identifying Susceptible Exposure Windows. Atmos. Environ. 2022, 291, 119409. [Google Scholar] [CrossRef] [PubMed]
- Miller, D.B.; Karoly, E.D.; Jones, J.C.; Ward, W.O.; Vallanat, B.D.; Andrews, D.L.; Schladweiler, M.C.; Snow, S.J.; Bass, V.L.; Richards, J.E.; et al. Inhaled Ozone (O3)-Induces Changes in Serum Metabolomic and Liver Transcriptomic Profiles in Rats. Toxicol. Appl. Pharmacol. 2015, 286, 65–79. [Google Scholar] [CrossRef]
- Snow, S.J.; Phillips, P.M.; Ledbetter, A.; Johnstone, A.F.M.; Schladweiler, M.C.; Gordon, C.J.; Kodavanti, U.P. The Influence of Maternal and Perinatal High-Fat Diet on Ozone-Induced Pulmonary Responses in Offspring. J. Toxicol. Env. Health Part A 2019, 82, 86–98. [Google Scholar] [CrossRef]
- Hu, H.; Ha, S.; Henderson, B.H.; Warner, T.D.; Roth, J.; Kan, H.; Xu, X. Association of Atmospheric Particulate Matter and Ozone with Gestational Diabetes Mellitus. Environ. Health Perspect. 2015, 123, 853–859. [Google Scholar] [CrossRef]
- Li, Z.; Xu, R.; Wang, Z.; Qian, N.; Qian, Y.; Peng, J.; Zhu, X.; Guo, C.; Li, X.; Xu, Q.; et al. Ozone Exposure Induced Risk of Gestational Diabetes Mellitus. Chemosphere 2022, 308, 136241. [Google Scholar] [CrossRef]
- Yao, M.; Liu, Y.; Jin, D.; Yin, W.; Ma, S.; Tao, R.; Tao, F.; Zhu, P. Relationship Between Temporal Distribution of Air Pollution Exposure and Glucose Homeostasis During Pregnancy. Environ. Res. 2020, 185, 109456. [Google Scholar] [CrossRef]
- Zhang, L.; Wang, P.; Zhou, Y.; Cheng, Y.; Li, J.; Xiao, X.; Yin, C.; Li, J.; Meng, X.; Zhang, Y. Associations of Ozone Exposure with Gestational Diabetes Mellitus and Glucose Homeostasis: Evidence from a Birth Cohort in Shanghai, China. Sci. Total Environ. 2023, 857, 159184. [Google Scholar] [CrossRef]
- McGrath, R.T.; Hocking, S.L.; Scott, E.S.; Seeho, S.K.; Fulcher, G.R.; Glastras, S.J. Outcomes of Twin Pregnancies Complicated by Gestational Diabetes: A Meta-Analysis of Observational Studies. J. Perinatol. 2017, 37, 360–368. [Google Scholar] [CrossRef]
- Chen, P.; Li, M.; Mu, Y.; Wang, Y.; Liu, Z.; Li, Q.; Li, X.; Dai, L.; Xie, Y.; Liang, J.; et al. Temporal Trends and Adverse Perinatal Outcomes of Twin Pregnancies at Differing Gestational Ages: An Observational Study from China Between 2012–2020. BMC Pregnancy Childbirth 2022, 22, 467. [Google Scholar] [CrossRef]
- Hiersch, L.; Berger, H.; Okby, R.; Ray, J.G.; Geary, M.; McDonald, S.D.; Murry-Davis, B.; Riddell, C.; Halperin, I.; Hasan, H.; et al. Incidence and Risk Factors for Gestational Diabetes Mellitus in Twin Versus Singleton Pregnancies. Arch. Gynecol. Obstet. 2018, 298, 579–587. [Google Scholar] [CrossRef] [PubMed]
- Retnakaran, R.; Shah, B.R. Impact of Twin Gestation and Fetal Sex on Maternal Risk of Diabetes During and After Pregnancy. Diabetes Care 2016, 39, e110–e111. [Google Scholar] [CrossRef] [PubMed]
- Weissman, A.; Drugan, A. Glucose Tolerance in Singleton, Twin and Triplet Pregnancies. J. Perinat. Med. 2016, 44, 893–897. [Google Scholar] [CrossRef] [PubMed]
- Dave, E.D.; Bodnar, L.M.; Vani, K.; Himes, K.P. Perinatal Outcomes in Twin Pregnancies Complicated by Gestational Diabetes. Am. J. Obstet. Gynecol. MFM 2021, 3, 100396. [Google Scholar] [CrossRef]
- Fox, N.S.; Rebarber, A.; Klauser, C.K.; Roman, A.S.; Saltzman, D.H. Intrauterine Growth Restriction in Twin Pregnancies: Incidence and Associated Risk Factors. Am. J. Perinatol. 2011, 28, 267–272. [Google Scholar] [CrossRef]
- Li, W.; Wang, L.; Guo, J.; Dong, W.; Zhang, S.; Li, W.; Leng, J. Seasonal Variation and Its Interaction with Pre-Pregnancy BMI for GDM: A Large Population-Based Study in Tianjin, China. Sci. Rep. 2023, 13, 22837. [Google Scholar] [CrossRef]
- Xia, Y.; Huang, L.; Long, Z.; Chen, Y.; Gao, L.; Hua, R.; Li, S.; Wang, Y. The Association of Preconceptional Folic Acid Supplementation with Gestational Age and Preterm Birth Risk in Twin Pregnancies: A Prospective Cohort Study in China. Eur. J. Nutr. 2024, 63, 107–119. [Google Scholar] [CrossRef]
- Xiao, Q.; Geng, G.; Xue, T.; Liu, S.; Cai, C.; He, K.; Zhang, Q. Tracking PM2.5 and O3 Pollution and the Related Health Burden in China 2013–2020. Environ. Sci. Technol. 2022, 56, 6922–6932. [Google Scholar] [CrossRef]
- Xue, T.; Zheng, Y.; Geng, G.; Xiao, Q.; Meng, X.; Wang, M.; Li, X.; Wu, N.; Zhang, Q.; Zhu, T. Estimating Spatiotemporal Variation in Ambient Ozone Exposure During 2013–2017 Using a Data-Fusion Model. Environ. Sci. Technol. 2020, 54, 14877–14889. [Google Scholar] [CrossRef]
- Geng, G.; Xiao, Q.; Liu, S.; Liu, X.; Cheng, J.; Zheng, Y.; Xue, T.; Tong, D.; Zheng, B.; Peng, Y.; et al. Tracking Air Pollution in China: Near Real-Time PM2.5 Retrievals from Multisource Data Fusion. Environ. Sci. Technol. 2021, 55, 12106–12115. [Google Scholar] [CrossRef]
- Xiao, Q.; Geng, G.; Liu, S.; Liu, J.; Meng, X.; Zhang, Q. Spatiotemporal Continuous Estimates of Daily 1 km PM2.5 from 2000 to Present Under the Tracking Air Pollution in China (TAP) Framework. Atmos. Chem. Phys. 2022, 22, 13229–13242. [Google Scholar] [CrossRef]
- Xiao, Q.; Zheng, Y.; Geng, G.; Chen, C.; Huang, X.; Che, H.; Zhang, X.; He, K.; Zhang, Q. Separating Emission and Meteorological Contribution to PM2.5 Trends Over East China During 2000–2018. Atmos. Chem. Phys. 2021, 21, 9475–9496. [Google Scholar] [CrossRef]
- Xiao, Q.; Geng, G.; Cheng, J.; Liang, F.; Li, R.; Meng, X.; Xue, T.; Huang, X.; Kan, H.; Zhang, Q.; et al. Evaluation of Gap-Filling Approaches in Satellite-Based Daily PM2.5 Prediction Models. Atmos. Environ. 2020, 244, 117921. [Google Scholar] [CrossRef]
- Niu, Z.; Habre, R.; Yang, T.; Grubbs, B.H.; Eckel, S.P.; Toledo-Corral, C.M.; Johnston, J.; Dunton, G.F.; Lurvey, N.; Al-Marayati, L.; et al. Preconceptional and Prenatal Exposure to Air Pollutants and Risk of Gestational Diabetes in the MADRES Prospective Pregnancy Cohort Study. Lancet Reg. Health Am. 2023, 25, 100575. [Google Scholar] [CrossRef]
- Lv, X.; Lin, G.; Zhang, Y.; Yuan, K.; Liang, T.; Liu, R.; Du, Y.; Yu, H.; Sun, S. Weekly-Specific Ambient PM1 Before and During Pregnancy and the Risk of Gestational Diabetes Mellitus. Ecotoxicol. Environ. Saf. 2024, 284, 117006. [Google Scholar] [CrossRef]
- Liu, J.; He, C.; Si, Y.; Li, B.; Wu, Q.; Ni, J.; Zhao, Y.; Hu, Q.; Du, S.; Lu, Z.; et al. Toward Better and Healthier Air Quality: Global PM2.5 and O3 Pollution Status and Risk Assessment Based on the New WHO Air Quality Guidelines for 2021. Glob. Chall. 2024, 8, 2300258. [Google Scholar] [CrossRef]
- Metzger, B.E.; Gabbe, S.G.; Persson, B.; Buchanan, T.A.; Catalano, P.A.; Damm, P.; Dyer, A.R.; Leiva, A.D.; Hod, M.; Kitzmiler, J.L.; et al. International Association of Diabetes and Pregnancy Study Groups Recommendations on the Diagnosis and Classification of Hyperglycemia in Pregnancy. Diabetes Care 2010, 33, 676–682. [Google Scholar] [CrossRef]
- Smithson, S.D.; Greene, N.H.; Esakoff, T.F. Pregnancy Outcomes in Very Advanced Maternal Age Women. Am. J. Obstet. Gynecol. MFM 2022, 4, 100491. [Google Scholar] [CrossRef]
- Park, J.; Kim, W.J.; Chung, Y.H.; Kim, B.; Park, Y.; Park, I.Y.; Ko, H.S. Association Between Pregravid Liver Enzyme Levels and Gestational Diabetes in Twin Pregnancies: A Secondary Analysis of National Cohort Study. Sci. Rep. 2021, 11, 18695. [Google Scholar] [CrossRef]
- Zhang, Z.; Mei, L.; Li, L.; Xiao, J.; Wu, X.; Yuan, Y. Maternal and Neonatal Outcomes of Twin Pregnancies Complicated by Gestational Diabetes Mellitus. Endocrine 2024, 84, 388–398. [Google Scholar] [CrossRef]
- Jo, H.; Eckel, S.P.; Chen, J.; Cockburn, M.; Martinez, M.P.; Chow, T.; Lurmann, F.; Funk, W.E.; McConnell, R.; Xiang, A.H. Associations of Gestational Diabetes Mellitus with Residential Air Pollution Exposure in a Large Southern California Pregnancy Cohort. Environ. Int. 2019, 130, 104933. [Google Scholar] [CrossRef] [PubMed]
- Robledo, C.A.; Mendola, P.; Yeung, E.; Mannisto, T.; Sundaram, R.; Liu, D.; Ying, Q.; Sherman, S.; Grantz, K.L. Preconception and Early Pregnancy Air Pollution Exposures and Risk of Gestational Diabetes Mellitus. Environ. Res. 2015, 137, 316–322. [Google Scholar] [CrossRef] [PubMed]
- Shen, H.; Hua, S.; Chiu, C.; Li, C. Maternal Exposure to Air Pollutants and Risk of Gestational Diabetes Mellitus in Taiwan. Int. J. Environ. Res. Public Health 2017, 14, 1604. [Google Scholar] [CrossRef] [PubMed]
- Jantsch, L.B.; de Lucca, L.; Dorneles, B.N.; Konopka, C.K.; Goncalves, T.D.L. Evaluation of Oxidative Stress and Delta-Aminolevulinate Dehydratase Activity in Twin Pregnancies. J. Matern.-Fetal Neonatal Med. 2020, 33, 3071–3076. [Google Scholar] [CrossRef] [PubMed]
- Saucedo, R.; Ortega-Camarillo, C.; Ferreira-Hermosillo, A.; Diaz-Velazquez, M.F.; Meixueiro-Calderon, C.; Valencia-Ortega, J. Role of Oxidative Stress and Inflammation in Gestational Diabetes Mellitus. Antioxidants 2023, 12, 1812. [Google Scholar] [CrossRef]
- Rivas-Arancibia, S.; Rodriguez-Martinez, E.; Valdes-Fuentes, M.; Miranda-Martinez, A.; Hernandez-Orozco, E.; Resendiz-Ramos, C. Changes in SOD and NF-KappaB Levels in Substantia Nigra and the Intestine Through Oxidative Stress Effects in a Wistar Rat Model of Ozone Pollution. Antioxidants 2024, 13, 536. [Google Scholar] [CrossRef]
- Aitken, R.J.; Baker, M.A. Oxidative Stress, Sperm Survival and Fertility Control. Mol. Cell. Endocrinol. 2006, 250, 66–69. [Google Scholar] [CrossRef]
- Vince, K.; Perkovic, P.; Matijevic, R. What Is Known and What Remains Unresolved Regarding Gestational Diabetes Mellitus (GDM). J. Perinat. Med. 2020, 48, 757–763. [Google Scholar] [CrossRef]
- Tranidou, A.; Magriplis, E.; Tsakiridis, I.; Pazaras, N.; Apostolopoulou, A.; Chourdakis, M.; Dagklis, T. Effect of Gestational Weight Gain During the First Half of Pregnancy on the Incidence of GDM, Results from a Pregnant Cohort in Northern Greece. Nutrients 2023, 15, 893. [Google Scholar] [CrossRef]
- Zhang, D.Y.; Cheng, D.C.; Cao, Y.N.; Su, Y.; Chen, L.; Liu, W.Y.; Yu, Y.X.; Xu, X.M. The Effect of Dietary Fiber Supplement on Prevention of Gestational Diabetes Mellitus in Women with Pre-Pregnancy Overweight/Obesity: A Randomized Controlled Trial. Front. Pharmacol. 2022, 13, 922015. [Google Scholar] [CrossRef]
- Lewandowska, M.; Więckowska, B.; Sajdak, S. Pre-Pregnancy Obesity, Excessive Gestational Weight Gain, and the Risk of Pregnancy-Induced Hypertension and Gestational Diabetes Mellitus. J. Clin. Med. 2020, 9, 1980. [Google Scholar] [CrossRef] [PubMed]
- Lao, T.T.; Ho, L.; Chan, B.C.P.; Leung, W. Maternal Age and Prevalence of Gestational Diabetes Mellitus. Diabetes Care 2006, 29, 948–949. [Google Scholar] [CrossRef] [PubMed]
- Peled, T.; Nun, E.L.B.; Hochler, H.; Sela, H.Y.; Lipschuetz, M.; Weiss, A.; Grisaru-Granovsky, S.; Rottenstreich, M. Perinatal Outcomes in Nulliparous Women with a History of Multiple Pregnancy Losses According to Number of Previous Pregnancy Losses. Am. J. Obstet. Gynecol. MFM 2023, 5, 100946. [Google Scholar] [CrossRef] [PubMed]
- Menon, R. Oxidative Stress Damage as a Detrimental Factor in Preterm Birth Pathology. Front. Immunol. 2014, 5, 567. [Google Scholar] [CrossRef]
- Li, X.B.; Fan, G. Interannual Variations, Sources, and Health Impacts of the Springtime Ozone in Shanghai. Environ. Pollut. 2022, 306, 119458. [Google Scholar] [CrossRef]
- Yan, R.S.; Wang, H.L.; Huang, C.; Wang, Q.; An, J.Y. Characteristics and Control Strategies on Summertime Peak Ozone Concentration in Shanghai. Huan Jing Ke Xue 2021, 42, 3577–3584. [Google Scholar]
Disclaimer/Publisher’s Note: The statements, opinions and data contained in all publications are solely those of the individual author(s) and contributor(s) and not of MDPI and/or the editor(s). MDPI and/or the editor(s) disclaim responsibility for any injury to people or property resulting from any ideas, methods, instructions or products referred to in the content. |
© 2025 by the authors. Licensee MDPI, Basel, Switzerland. This article is an open access article distributed under the terms and conditions of the Creative Commons Attribution (CC BY) license (https://creativecommons.org/licenses/by/4.0/).


