Activation of ClO2 by Nanoscale Zero-Valent Iron for Efficient Soil Polycyclic Aromatic Hydrocarbon Degradation: New Insight into the Relative Contribution of Fe(IV) and Hydroxyl Radicals
Abstract
1. Introduction
2. Materials and Methods
2.1. Chemicals
2.2. Preparation of PHE-Spiked Soil, ClO2 and nFe0
2.3. Batch Degradation Experiments
2.4. Detection of Iron Species and ClO2 Variations
2.5. Identification of Active Oxidant Species
2.6. Biological Toxicity Evaluation
2.7. Data Analysis
3. Results and Discussion
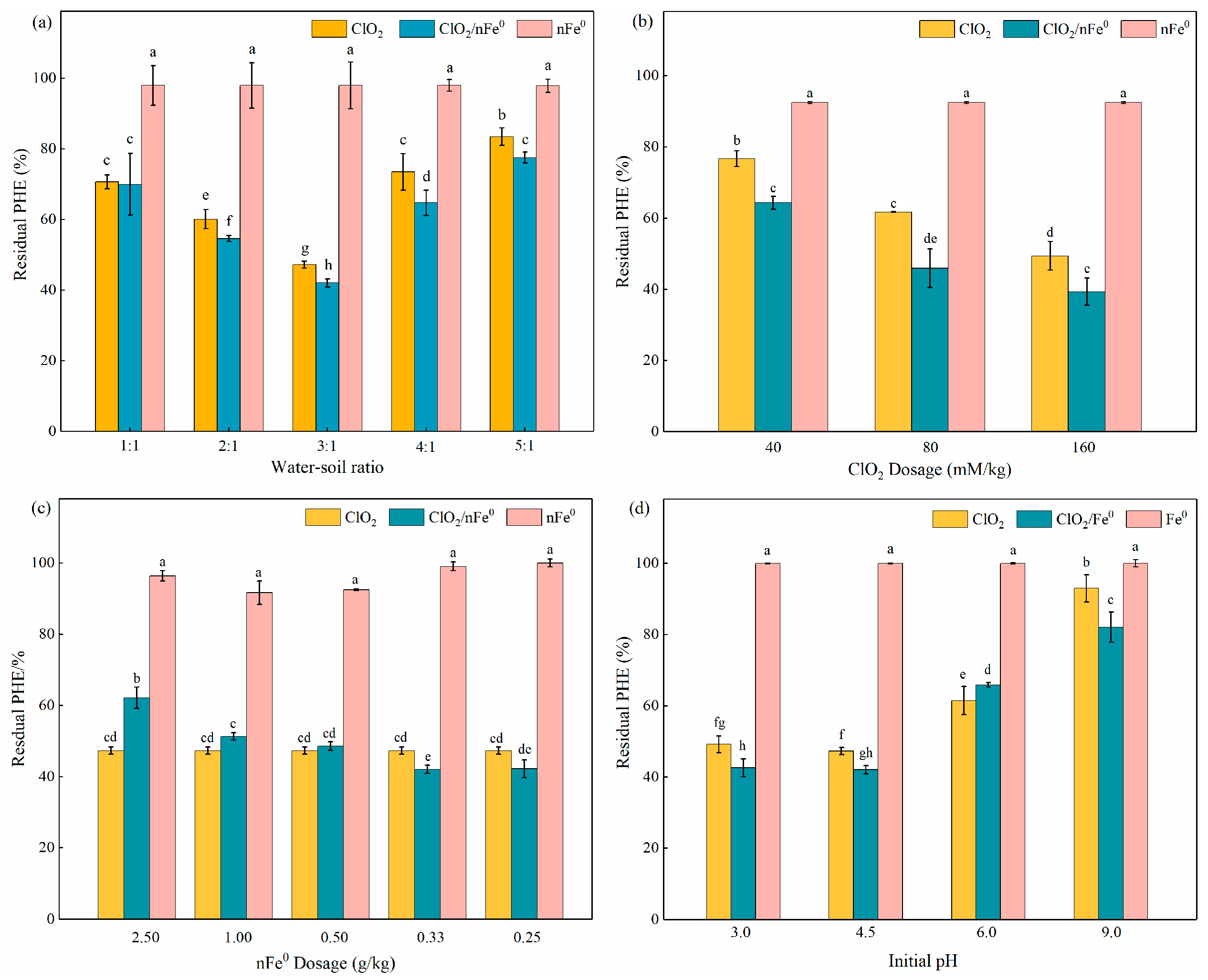
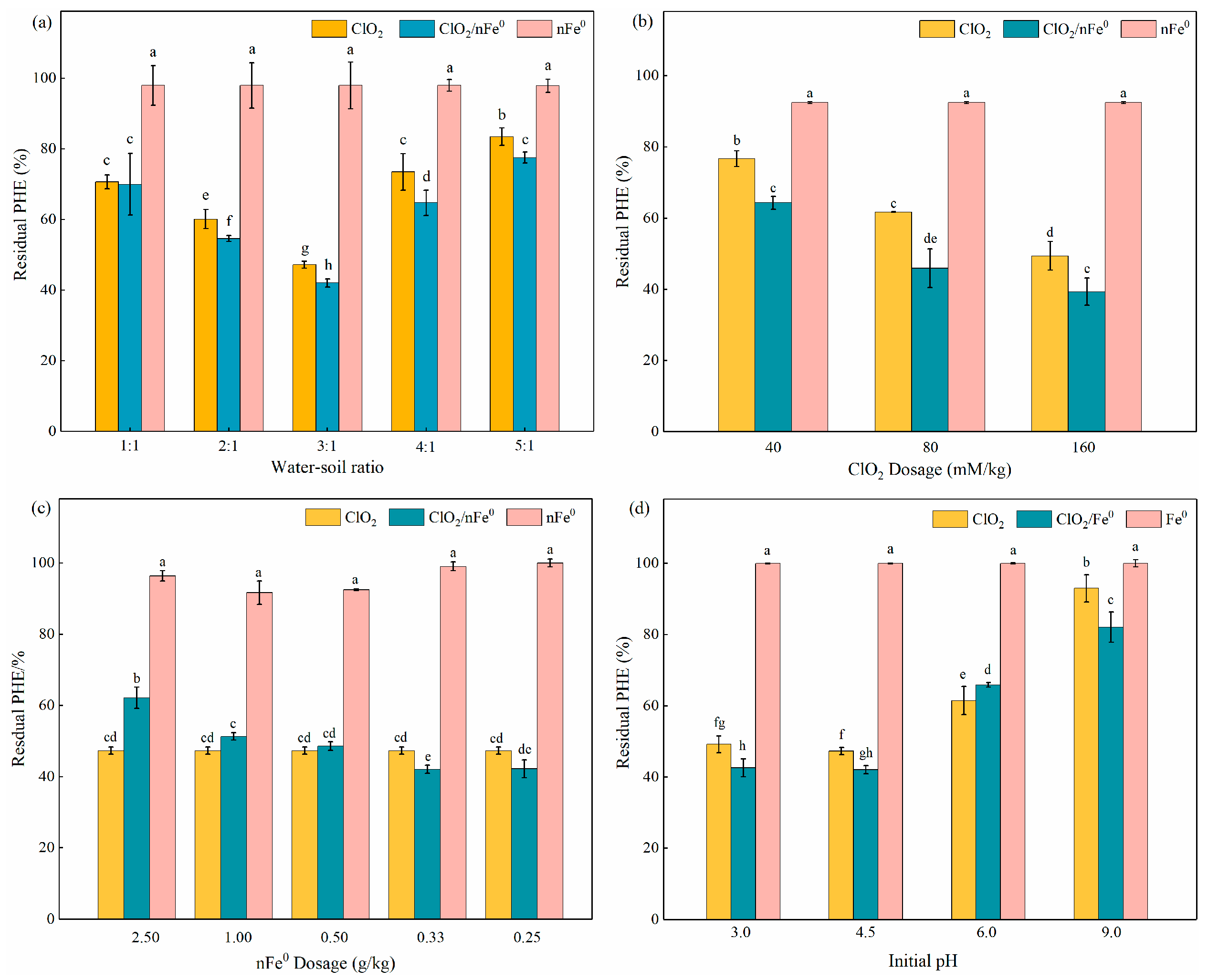
3.1. Optimization of the Reaction Conditions for PHE Degradation in ClO2/nFe0 System
3.2. Characterization of nFe0
3.3. Reactive Oxygen Species in ClO2/nFe0 System
3.4. Degradation Intermediates and Ecotoxicity Prediction
3.5. Lettuce Growth in ClO2/nFe0-Treated Soil
4. Conclusions
Supplementary Materials
Author Contributions
Funding
Institutional Review Board Statement
Informed Consent Statement
Data Availability Statement
Conflicts of Interest
References
- Lu, J.; Guo, Z.; Pan, Y.; Li, M.; Chen, X.; He, M.; Wu, H.; Zhang, J. Simultaneously enhanced removal of PAHs and nitrogen driven by Fe2+/Fe3+ cycle in constructed wetland through automatic tidal operation. Water Res. 2022, 215, 118232. [Google Scholar] [CrossRef] [PubMed]
- Kuppusamy, S.; Thavamani, P.; Venkateswarlu, K.; Lee, Y.B.; Naidu, R.; Megharaj, M. Remediation approaches for polycyclic aromatic hydrocarbons (PAHs) contaminated soils: Technological constraints, emerging trends and future directions. Chemosphere 2017, 168, 944–968. [Google Scholar] [CrossRef]
- Zhou, Z.; Liu, X.; Sun, K.; Lin, C.; Ma, J.; He, M.; Ouyang, W. Persulfate-based advanced oxidation processes (AOPs) for organic-contaminated soil remediation: A review. Chem. Eng. J. 2019, 372, 836–851. [Google Scholar] [CrossRef]
- Jesus, F.; Pereira, J.L.; Campos, I.; Santos, M.; Ré, A.; Keizer, J.; Nogueira, A.; Gonçalves, F.J.M.; Abrantes, N.; Serpa, D. A review on polycyclic aromatic hydrocarbons distribution in freshwater ecosystems and their toxicity to benthic fauna. Sci. Total Environ. 2022, 820, 153282. [Google Scholar] [CrossRef]
- Bianco, F.; Race, M.; Papirio, S.; Esposito, G. A critical review of the remediation of PAH-polluted marine sediments: Current knowledge and future perspectives. Resour. Environ. Sustain. 2023, 11, 100101. [Google Scholar] [CrossRef]
- Davie-Martin, C.L.; Stratton, K.G.; Teeguarden, J.G.; Waters, K.M.; Simonich, S.L.M. Implications of bioremediation of polycyclic aromatic hydrocarbon-contaminated soils for human health and cancer risk. Environ. Sci. Technol. 2017, 51, 9458–9468. [Google Scholar] [CrossRef]
- Zhang, T.; Liu, Y.; Zhong, S.; Zhang, L. AOPs-based remediation of petroleum hydrocarbons-contaminated soils: Efficiency, influencing factors and environmental impacts. Chemosphere 2020, 246, 125726. [Google Scholar] [CrossRef]
- Peng, J.; Yin, R.; Yang, X.; Shang, C. A novel UVA/ClO2 advanced oxidation process for the degradation of micropollutants in water. Environ. Sci. Technol. 2022, 56, 9. [Google Scholar] [CrossRef] [PubMed]
- Suh, M.J.; Simpson, M.A.A.; William, M.A. Purified chlorine dioxide as an alternative to chlorine disinfection to minimize chlorate formation during postharvest produce washing. Environ. Sci. Technol. 2023, 57, 8. [Google Scholar] [CrossRef] [PubMed]
- Wang, Z.; Li, J.; Song, W.; Ma, R.; Yang, J.; Zhang, X.; Huang, F.; Dong, W. Rapid degradation of atrazine by a novel advanced oxidation process of bisulfite/chlorine dioxide: Efficiency, mechanism, pathway. Chem. Eng. J. 2022, 445, 136558. [Google Scholar] [CrossRef]
- Su, R.; Huang, L.; Li, N.; Li, L.; Jin, B.; Zhou, W.; Gao, B.; Yue, Q.; Li, Q. Chlorine dioxide radicals triggered by chlorite under visible-light irradiation for enhanced degradation and detoxification of norfloxacin antibiotic: Radical mechanism and toxicity evaluation. Chem. Eng. J. 2021, 414, 128768. [Google Scholar] [CrossRef]
- Craig, L.R.; Candace, M. Novel use of chlorine dioxide granules as an alternative to methyl bromide soil fumigation. Glob. J. Agric. Innov. Res. Dev. 2020, 7, 34–44. [Google Scholar] [CrossRef]
- Smith, D.J.; Scapanski, A. Distribution and chemical fate of [36Cl] chlorine dioxide gas on avocados, eggs, onions, and sweet potatoes. J. Agric. Food. Chem. 2020, 68, 5000–5008. [Google Scholar] [CrossRef] [PubMed]
- Sun, Y.; Niu, W.-K.; Hu, X.-J.; Ma, X.-H.; Sun, Y.-J.; Wen, Y. Oxidative degradation of polycyclic aromatic hydrocarbons in contaminated industrial soil using chlorine dioxide. Chem. Eng. J. 2020, 394, 124857. [Google Scholar] [CrossRef]
- Ma, Y.; Gu, N.; Gao, J.; Wang, K.; Wu, Y.; Meng, X. Remediation of anthracene-contaminated soil by ClO2 in the presence of magnetic Fe3O4-CuO@montmorillonite as catalyst. Water Air Soil. Pollut. 2016, 227, 303. [Google Scholar] [CrossRef]
- Wang, H.-L.; Dong, J.; Jiang, W.-F. Study on the treatment of 2-sec-butyl-4,6-dinitrophenol (DNBP) wastewater by ClO2 in the presence of aluminum oxide as catalyst. J. Hazard. Mater. 2010, 183, 347–352. [Google Scholar] [CrossRef]
- Shi, L.; Li, N.; Wang, C.; Wang, C. Catalytic oxidation and spectroscopic analysis of simulated wastewater containing o-chlorophenol by using chlorine dioxide as oxidant. J. Hazard. Mater. 2010, 178, 1137–1140. [Google Scholar] [CrossRef] [PubMed]
- Liu, B.; Niu, W.; Hu, X.; Liu, F.; Jiang, J.; Wang, H.; Wang, S. Enhanced oxidative activation of chlorine dioxide by divalent manganese ion for efficient removal of PAHs in industrial soil. Chem. Eng. J. 2022, 434, 134631. [Google Scholar] [CrossRef]
- Li, K.; Li, J.; Qin, F.; Dong, H.; Wang, W.; Luo, H.; Qin, D.; Zhang, C.; Tan, H. Nano zero valent iron in the 21st century: A data-driven visualization and analysis of research topics and trends. J. Clean. Prod. 2023, 415, 137812. [Google Scholar] [CrossRef]
- Liu, Y.Z.; Wu, T.; White, J.C.; Lin, D. A new strategy using nanoscale zero-valent iron to simultaneously promote remediation and safe crop production in contaminated soil. Nat. Nanotechnol. 2021, 16, 197. [Google Scholar] [CrossRef]
- Scaria, J.; Gopinath, A.; Nidheesh, P.V. A versatile strategy to eliminate emerging contaminants from the aqueous environment: Heterogeneous Fenton process. J. Clean. Prod. 2021, 278, 124014. [Google Scholar] [CrossRef]
- Hirami, Y.; Hunge, Y.M.; Suzuki, N.; Rodríguez-González, V.; Kondo, T.; Yuasa, M.; Fujishima, A.; Teshima, K.; Terashima, C. Enhanced degradation of ibuprofen using a combined treatment of plasma and Fenton reactions. J. Colloid. Interface Sci. 2023, 642, 829–836. [Google Scholar] [CrossRef] [PubMed]
- Hunge, Y.M.; Yadav, A.A.; Kang, S.-W.; Mohite, B.M. Role of Nanotechnology in Photocatalysis Application. Recent. Pat. Nanotechnol. 2023, 17, 5–7. [Google Scholar] [CrossRef]
- Li, Y.; Pan, L.; Zhu, Y.; Yu, Y.; Wang, D.; Yang, G.; Yuan, X.; Liu, X.; Li, H.; Zhang, J. How does zero valent iron activating peroxydisulfate improve the dewatering of anaerobically digested sludge? Water Res. 2019, 163, 114912. [Google Scholar] [CrossRef] [PubMed]
- Zhou, Z.; Ma, J.; Liu, X.; Lin, C.; Sun, K.; Zhang, H.; Li, X.; Fan, G. Activation of peroxydisulfate by nanoscale zero-valent iron for sulfamethoxazole removal in agricultural soil: Effect, mechanism and ecotoxicity. Chemosphere 2019, 223, 196–203. [Google Scholar] [CrossRef]
- Li, J.; Lai, B. Chlorine dioxide catalytic oxidation by zero valent iron for the degradation of PNP in aqueous solution. In IOP Conference Series: Earth and Environmental Science; IOP Publishing: Bristol, UK, 2018; Volume 167, p. 012008. [Google Scholar] [CrossRef]
- Rougé, V.; Allard, S.; Croué, J.P.; von Gunten, U. In situ formation of free chlorine during ClO2 treatment: Implications on the formation of disinfection byproducts. Environ. Sci. Technol. 2018, 52, 13421–13429. [Google Scholar] [CrossRef] [PubMed]
- Terhalle, J.; Kaiser, P.; Jütte, M.; Buss, J.; Yasar, S.; Marks, R.; Uhlmann, H.; Schmidt, T.C.; Lutze, H.V. Chlorine dioxide—Pollutant transformation and formation of hypochlorous acid as a secondary oxidant. Environ. Sci. Technol. 2018, 52, 9964–9971. [Google Scholar] [CrossRef] [PubMed]
- Aguilar, Z.G.; Brillas, E.; Salazar, M.; Nava, J.L.; Sirés, I. Evidence of Fenton-like reaction with active chlorine during the electrocatalytic oxidation of Acid Yellow 36 azo dye with Ir-Sn-Sb oxide anode in the presence of iron ion. Appl. Catal. B-Environ. 2017, 206, 44–52. [Google Scholar] [CrossRef]
- Candeias, L.P.; Stratford, M.R.L.; Wardman, P. Formation of hydroxyl radicals on reaction of hypochlorous acid with ferrocyanide, a model iron(II) complex. Free Radic. Res. 1994, 20, 241–249. [Google Scholar] [CrossRef] [PubMed]
- Li, M.; Li, H.; Ling, C.; Shang, H.; Wang, H.; Zhao, S.; Liang, C.; Mao, C.; Guo, F.; Zhou, B.; et al. Highly selective synthesis of surface FeIV=O with nanoscale zero-valent iron and chlorite for efficient oxygen transfer reactions. Proc. Natl. Acad. Sci. USA 2023, 120, e2304562120. [Google Scholar] [CrossRef] [PubMed]
- Henderson, R.; Carlson, K.; Gregory, D. The impact of ferrous ion reduction of chlorite ion on drinking water process performance. Water Res. 2001, 35, 4464–4473. [Google Scholar] [CrossRef] [PubMed]
- Kim, C.; Ahn, J.-Y.; Kim, T.Y.; Shin, W.S.; Hwang, I. Activation of persulfate by nanosized zero-valent iron (NZVI): Mechanisms and transformation products of NZVI. Environ. Sci. Technol. 2018, 52, 3625–3633. [Google Scholar] [CrossRef]
- Lombi, E.; Donner, E.; Dusinska, M.; Wickson, F. A One Health approach to managing the applications and implications of nanotechnologies in agriculture. Nat. Nanotechnol. 2019, 14, 523–531. [Google Scholar] [CrossRef] [PubMed]
- Lowry, G.V.; Avellan, A.; Gilbertson, L.M. Opportunities and challenges for nanotechnology in the agri-tech revolution. Nat. Nanotechnol. 2019, 14, 517–522. [Google Scholar] [CrossRef] [PubMed]
- Lemaire, J.; Buès, M.; Kabeche, T.; Hanna, K.; Simonnot, M.-O. Oxidant selection to treat an aged PAH contaminated soil by in situ chemical oxidation. J. Environ. Chem. Eng. 2013, 1, 1261–1268. [Google Scholar] [CrossRef]
- Wang, X.; Zhou, B.; Yang, H.; Wang, X.; Xie, Y. Effect of oxidation on nitro-based pharmaceutical degradation and trichloronitromethane formation. Chemosphere 2016, 146, 154–161. [Google Scholar] [CrossRef]
- Chuang, Y.-H.; Wu, K.-L.; Lin, W.-C.; Shi, H.-J. Photolysis of chlorine dioxide under UVA irradiation: Radical formation, application in treating micropollutants, formation of disinfection byproducts, and toxicity under scenarios relevant to potable reuse and drinking water. Environ. Sci. Technol. 2022, 56, 2593–2604. [Google Scholar] [CrossRef]
- Boparai, H.K.; Joseph, M.; O’Carroll, D.M. Kinetics and thermodynamics of cadmium ion removal by adsorption onto nano zerovalent iron particles. J. Hazard. Mater. 2011, 186, 458–465. [Google Scholar] [CrossRef]
- McFarland, M.L.; Haby, V.A.; Redmon, L.A.; Bade, D.H. Managing soil acidity. SCS-2001-05. Available online: https://oaktrust.library.tamu.edu/items/09fb3876-c815-4739-aaa9-ee306becbad7 (accessed on 22 November 2024).
- Lin, T.-C.; Pan, P.-T.; Cheng, S.-S. Ex situ bioremediation of oil-contaminated soil. J. Hazard. Mater. 2010, 176, 27–34. [Google Scholar] [CrossRef] [PubMed]
- Qin, J.; Zhang, S.; Zhu, Y.; Radian, A.; Long, M. Calcium superphosphate as an inorganic stabilizer for modified-Fenton treatment of diesel-contaminated soil with two different exogenous iron sources. J. Clean. Prod. 2021, 294, 126255. [Google Scholar] [CrossRef]
- Chen, Z.; Liu, X.; Huang, C.; Li, J.; Shen, X. Artificial Cytochrome c Mimics: Graphene Oxide–Fe(III) Complex-Coated Molecularly Imprinted Colloidosomes for Selective Photoreduction of Highly Toxic Pollutants. ACS Appl. Mater. Interfaces. 2020, 12, 6615–6626. [Google Scholar] [CrossRef] [PubMed]
- Umile, T.P.; Groves, J.T. Catalytic generation of chlorine dioxide from chlorite using a water-soluble manganese porphyrin. Angew. Chem. 2010, 50, 695–698. [Google Scholar] [CrossRef]
- Hao, R.; Mao, X.; Wang, Z.; Zhao, Y.; Wang, T.; Sun, Z.; Yuan, B.; Li, Y. A novel method of ultraviolet/NaClO2-NH4OH for NO removal: Mechanism and kinetics. J. Hazard. Mater. 2019, 368, 234–242. [Google Scholar] [CrossRef] [PubMed]
- Li, J.; Cassol, G.S.; Zhao, J.; Sato, Y.; Jing, B.H.; Zhang, Y.L.; Shang, C.; Yang, X.; Ao, Z.M.; Chen, G.J.; et al. Superfast degradation of micropollutants in water by reactive species generated from the reaction between chlorine dioxide and sulfite. Water Res. 2022, 222, 118886. [Google Scholar] [CrossRef]
- Chen, C.; Hall, S.J.; Coward, E.; Thompson, A. Iron-mediated organic matter decomposition in humid soils can counteract protection. Nat. Commun. 2020, 11, 2255. [Google Scholar] [CrossRef]
- Cornell, R.M.; Schwertmann, U. The Iron Oxides: Structure, Properties, Reactions, Occurrences, and Uses; Wiley-VCH: Weinheim, Germany, 2003. [Google Scholar]
- Chen, Y.; Miller, J.C.; Xie, J.; David, W.T. Challenges relating to the quantification of ferryl(IV) ion and hydroxyl radical generation rates using methyl phenyl sulfoxide (PMSO), phthalhydrazide, and benzoic acid as probe compounds in the homogeneous Fenton reaction. Environ. Sci. Technol. 2023, 57, 18617–18625. [Google Scholar] [CrossRef] [PubMed]
- Pang, S.-Y.; Jiang, J.; Ma, J. Oxidation of sulfoxides and arsenic(III) in corrosion of nanoscale zero valent iron by oxygen: Evidence against ferryl ions (Fe(IV)) as active intermediates in Fenton reaction. Environ. Sci. Technol. 2010, 45, 307–312. [Google Scholar] [CrossRef] [PubMed]
- Wang, Y.B.; Shi, Z.Z.; Shen, H.B.; Xing, Q.S.; Pi, Y.Q. Efficient removal of levofloxacin by iron (II) phthalocyanine/g-C3N4 activated peroxymonosulfate under high salinity conditions: Role of high-valent iron-oxo species. Chem. Eng. J. 2023, 470, 144038. [Google Scholar] [CrossRef]
- Qin, J.; Ashworth, D.J.; Yates, S.R.; Shen, G. Coupled use of Fe-impregnated biochar and urea-hydrogen peroxide to simultaneously reduce soil–air emissions of fumigant and improve crop growth. J. Hazard. Mater. 2020, 396, 122762. [Google Scholar] [CrossRef]
- Liu, F.; Hu, N.; Wang, A.; Ma, D.; Shan, Y.; Jiao, W. Structure-dependent degradation of phthalate esters with persulfate oxidation activated by thermal in soil. Environ. Res. 2024, 253, 119167. [Google Scholar] [CrossRef] [PubMed]
- Dong, X.; Feng, R.; Jiang, Y.; Cai, T.; Jiang, C. The impacts of temperature, soil-water ratio, and background multiplied inorganic anions on the degradation of organophosphorus flame retardants in soil by peroxydisulfate-based advanced oxidation processes. Process Saf. Environ. Prot. 2022, 168, 422–433. [Google Scholar] [CrossRef]
- Jonsson, S.; Persson, Y.; Frankki, S.; van Bavel, B.; Lundstedt, S.; Haglund, P.; Tysklind, M. Degradation of polycyclic aromatic hydrocarbons (PAHs) in contaminated soils by Fenton’s reagent: A multivariate evaluation of the importance of soil characteristics and PAH properties. J. Hazard. Mater. 2007, 149, 86–96. [Google Scholar] [CrossRef]
- Cheng, M.; Zeng, G.; Huang, D.; Lai, C.; Xu, P.; Zhang, C.; Liu, Y. Hydroxyl radicals based advanced oxidation processes (AOPs) for remediation of soils contaminated with organic compounds: A review. Chem. Eng. J. 2016, 284, 582–598. [Google Scholar] [CrossRef]
- Liu, Y.; Gao, J.F.; Wang, Q.; Chen, H.; Zhang, Y.; Fu, X.Y. Efficient peroxymonosulfate activation by nanoscale zerovalent iron for removal of sulfadiazine and sulfadiazine resistance bacteria: Sulfidated modification or not. J. Hazard. Mater. 2024, 469, 133869. [Google Scholar] [CrossRef] [PubMed]
- Xu, M.-Y.; Lin, Y.-L.; Zhang, T.-Y.; Hu, C.-Y.; Tang, Y.-L.; Deng, J.; Xu, B. Chlorine dioxide-based oxidation processes for water purification: A review. J. Hazard. Mater. 2022, 436, 129195. [Google Scholar] [CrossRef]
- Huang, J.; Wang, L.; Ren, N.; Ma, F.; Ju, L. Disinfection effect of chlorine dioxide on bacteria in water. Water Res. 1997, 31, 607. [Google Scholar] [CrossRef]
- Song, X.; Su, R.; Wang, Y.; Zhang, Y.; Gao, B.; Wang, Y.; Ma, D.; Li, Q. Visible light-driven chlorite activation process for enhanced sulfamethoxazole antibiotics degradation, antimicrobial resistance reduction and biotoxicity elimination. Chem. Eng. J. 2023, 452, 139103. [Google Scholar] [CrossRef]
- Bao, Y.; Lian, C.; Huang, K.; Yu, H.R.; Liu, W.Y.; Zhang, J.L.; Xing, M.Y. Generating High-valent Iron-oxo ≡FeIV=O Complexes in Neutral Microenvironments through Peroxymonosulfate Activation by Zn-Fe Layered Double Hydroxides. Angew. Chem. 2022, 61, e202209542. [Google Scholar] [CrossRef]
- Diao, Z.-H.; Xu, X.-R.; Jiang, D.; Kong, L.-J.; Sun, Y.-X.; Hu, Y.-X.; Hao, Q.-W.; Chen, H. Bentonite-supported nanoscale zero-valent iron/persulfate system for the simultaneous removal of Cr(VI) and phenol from aqueous solutions. Chem. Eng. J. 2016, 302, 213–222. [Google Scholar] [CrossRef]
- Chekli, L.; Bayatsarmadi, B.; Sekine, R.; Sarkar, B.; Shen, A.M.; Scheckel, K.G.; Skinner, W.; Naidu, R.; Shon, H.K.; Lombi, E.; et al. Analytical characterisation of nanoscale zero valent iron: A methodological review. Anal. Chim. Acta. 2016, 903, 13–35. [Google Scholar] [CrossRef] [PubMed]
- Bae, S.; Collins, R.N.; Waite, T.D.; Hanna, K. Advances in surface passivation of nanoscale zerovalent iron a critical review. Environ. Sci. Technol. 2018, 52, 12010–12025. [Google Scholar] [CrossRef] [PubMed]
- Liu, J.; Jiang, S.; Chen, D.; Dai, G.; Wei, D.; Shu, Y. Activation of persulfate with biochar for degradation of bisphenol A in soil. Chem. Eng. J. 2020, 381, 122637. [Google Scholar] [CrossRef]
- Xia, Q.; Jiang, Z.; Wang, J.; Yao, Z. A facile preparation of hierarchical dendritic zero-valent iron for Fenton-like degradation of phenol. Catal. Commun. 2017, 100, 57–61. [Google Scholar] [CrossRef]
- Huang, M.; Wang, X.L.; Liu, C.; Fang, G.D.; Gao, J.; Wang, Y.J.; Zhou, D.M. Mechanism of metal sulfides accelerating Fe(II)/Fe(III) redox cycling to enhance pollutant degradation by persulfate: Metallic active sites vs. reducing sulfur species. J. Hazard. Mater. 2021, 404, 124175. [Google Scholar] [CrossRef] [PubMed]
- Ozawa, T.; Miura, Y.; Ueda, J.-I. Oxidation of spin-traps by chlorine dioxide (ClO2) radical in aqueous solutions: First ESR evidence of formation of new nitroxide radicals. Free Radic. Biol. Med. 1996, 20, 837–841. [Google Scholar] [CrossRef] [PubMed]
- Teel, A.L.; Watts, R.J. Degradation of carbon tetrachloride by modified Fenton’s reagent. J. Hazard. Mater. 2002, 94, 179–189. [Google Scholar] [CrossRef]
- Pattison, D.I.; Davies, M.J. Absolute rate constants for the reaction of hypochlorous acid with protein side chains and peptide bonds. Chem. Res. Toxicol. 2001, 14, 9. [Google Scholar] [CrossRef]
- Zhang, J.; Hu, X.; Jiang, J.; Wang, B.; Zhang, Y. Reinforced PAHs degradation in industrial site soil by Fe(III)/NaClO catalytic oxidation system: Insights from promoting hydroxyl radicals generation. Chem. Eng. J. 2023, 474, 145785. [Google Scholar] [CrossRef]
- Reddy Ramireddy, V.S.; Kurakula, R.; Velayudhaperumal Chellam, P.; James, A.; van Hullebusch, E.D. Systematic computational toxicity analysis of the ozonolytic degraded compounds of azo dyes: Quantitative structure-activity relationship (QSAR) and adverse outcome pathway (AOP) based approach. Environ. Res. 2023, 231, 116142. [Google Scholar] [CrossRef]
- Chen, P.; Hu, Y.; Chen, G.; Zhao, N.; Dou, Z. Probing the bioconcentration and metabolism disruption of bisphenol A and its analogues in adult female zebrafish from integrated AutoQSAR and metabolomics studies. Sci. Total Environ. 2023, 905, 167011. [Google Scholar] [CrossRef]
- Li, H.; Yao, Y.; Zhang, J.; Du, J.; Xu, S.; Wang, C.; Zhang, D.; Tang, J.; Zhao, H.; Zhou, J. Degradation of phenanthrene by peroxymonosulfate activated with bimetallic metal-organic frameworks: Kinetics, mechanisms, and degradation products. Chem. Eng. J. 2020, 397, 125401. [Google Scholar] [CrossRef]
- Woo, O.T.; Chung, W.K.; Wong, K.H.; Chow, A.T.; Wong, P.K. Photocatalytic oxidation of polycyclic aromatic hydrocarbons: Intermediates identification and toxicity testing. J. Hazard. Mater. 2009, 168, 1192–1199. [Google Scholar] [CrossRef]
- Grotz, N.; Guerinot, M.L. Molecular aspects of Cu, Fe and Zn homeostasis in plants. Biochim. Biophys. Acta Mol. Cell Res. 2006, 1763, 595–608. [Google Scholar] [CrossRef] [PubMed]
- Qutob, M.; Rafatullah, M.; Muhammad, S.A.; Siddiqui, M.R.; Alam, M. Advanced oxidation of polycyclic aromatic hydrocarbons in tropical soil: Self-catalytic utilization of natural iron contents in an oxygenation reactor supported with persulfate. Sci. Total Environ. 2024, 926, 171843. [Google Scholar] [CrossRef]
- Cajal-Mariñosa, P.; Calle, R.G.d.l.; Rivas, F.J.; Tuhkanen, T. Impacts of Changing Operational Parameters of In Situ Chemical Oxidation (ISCO) on Removal of Aged PAHs from Soil. J. Adv. Oxid. Technol. 2012, 15, 429–436. [Google Scholar] [CrossRef]
- Gao, Y.; Xue, Y.; Zhen, K.; Guo, J.; Tang, X.; Zhang, P.; Wang, C.; Sun, H.; Wu, J. Remediation of soil contaminated with PAHs and γ-HCH using Fenton oxidation activated by carboxymethyl cellulose-modified iron oxide-biochar. J. Hazard. Mater. 2023, 453, 131450. [Google Scholar] [CrossRef]
- Wang, J.; Zhang, X.; Zhou, X.; Waigi, M.G.; Gudda, F.O.; Zhang, C.; Ling, W. Promoted oxidation of polycyclic aromatic hydrocarbons in soils by dual persulfate/calcium peroxide system. Sci. Total Environ. 2021, 758, 143680. [Google Scholar] [CrossRef]








Disclaimer/Publisher’s Note: The statements, opinions and data contained in all publications are solely those of the individual author(s) and contributor(s) and not of MDPI and/or the editor(s). MDPI and/or the editor(s) disclaim responsibility for any injury to people or property resulting from any ideas, methods, instructions or products referred to in the content. |
© 2025 by the authors. Licensee MDPI, Basel, Switzerland. This article is an open access article distributed under the terms and conditions of the Creative Commons Attribution (CC BY) license (https://creativecommons.org/licenses/by/4.0/).
Share and Cite
Hu, X.; Xing, X.; Zhang, F.; Li, B.; Chen, S.; Wang, B.; Qin, J.; Miao, J. Activation of ClO2 by Nanoscale Zero-Valent Iron for Efficient Soil Polycyclic Aromatic Hydrocarbon Degradation: New Insight into the Relative Contribution of Fe(IV) and Hydroxyl Radicals. Toxics 2025, 13, 36. https://doi.org/10.3390/toxics13010036
Hu X, Xing X, Zhang F, Li B, Chen S, Wang B, Qin J, Miao J. Activation of ClO2 by Nanoscale Zero-Valent Iron for Efficient Soil Polycyclic Aromatic Hydrocarbon Degradation: New Insight into the Relative Contribution of Fe(IV) and Hydroxyl Radicals. Toxics. 2025; 13(1):36. https://doi.org/10.3390/toxics13010036
Chicago/Turabian StyleHu, Xiaojun, Xiaorong Xing, Fan Zhang, Bingzhi Li, Senlin Chen, Bo Wang, Jiaolong Qin, and Jie Miao. 2025. "Activation of ClO2 by Nanoscale Zero-Valent Iron for Efficient Soil Polycyclic Aromatic Hydrocarbon Degradation: New Insight into the Relative Contribution of Fe(IV) and Hydroxyl Radicals" Toxics 13, no. 1: 36. https://doi.org/10.3390/toxics13010036
APA StyleHu, X., Xing, X., Zhang, F., Li, B., Chen, S., Wang, B., Qin, J., & Miao, J. (2025). Activation of ClO2 by Nanoscale Zero-Valent Iron for Efficient Soil Polycyclic Aromatic Hydrocarbon Degradation: New Insight into the Relative Contribution of Fe(IV) and Hydroxyl Radicals. Toxics, 13(1), 36. https://doi.org/10.3390/toxics13010036

