Degradation Characteristics of Nicosulfuron in Water and Soil by MnO2 Nano-Immobilized Laccase
Abstract
1. Introduction
2. Materials and Methods
2.1. Materials
2.2. Preparation and Characterization of Immobilized Laccase with MnO2 Nanoparticles
2.3. Extraction Method and Determination of Degradation Rate of Nicosulfuron
2.4. Optimization of Degradation Conditions for Nicosulfuron in Water
2.5. Optimization of Degradation Conditions for Nicosulfuron in Soil
2.6. Data Analysis
3. Results and Discussion
3.1. Preparation and Morphological Characterization of MnO2 Nanomaterials and Immobilized Laccase
3.2. Degradation of Nicosulfuron in Water by Immobilized Laccase
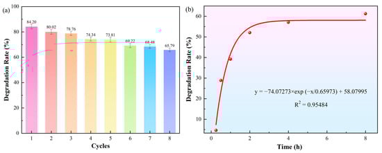
3.3. Reusability and Enzymatic Degradation Kinetics of Nicosulfuron Degradation by Immobilized Laccase Enzymes
3.4. Studies on the Degradation of Nicosulfuron in Soil by Immobilized Laccase
3.4.1. Regression Modeling Analysis of RSM
3.4.2. Response Surface and Contour Analysis
3.4.3. Optimization and Analysis of Results
3.5. Synergistic Mechanism of MnO2 Nanoparticles
3.6. Analysis of Nicosulfuron Degradation Pathway
4. Conclusions
Author Contributions
Funding
Institutional Review Board Statement
Informed Consent Statement
Data Availability Statement
Acknowledgments
Conflicts of Interest
References
- Zhang, C.; Chen, L.; Si, H.; Gao, W.; Liu, P.; Zhang, J. Study on the characteristics and mechanisms of nicosulfuron biodegradation by Bacillus velezensis CF57. J. Basic. Microbiol. 2020, 60, 649–658. [Google Scholar] [CrossRef] [PubMed]
- Furlong, E.T.; Burkhardt, M.R.; Gates, P.M.; Werner, S.L.; Battaglin, W.A. Routine determination of sulfonylurea, imidazolinone, and sulfonamide herbicides at nanogram-per-liter concentrations by solid-phase extraction and liquid chromatography/mass spectrometry. Sci. Total. Environ. 2000, 248, 135–146. [Google Scholar] [CrossRef] [PubMed]
- Sarmah, A.K.; Sabadie, J. Hydrolysis of sulfonylurea herbicides in soils and aqueous solutions: A review. J. Agric. Food Chem. 2002, 50, 6253–6265. [Google Scholar] [CrossRef]
- Ruan, Z.; Zhou, S.; Jiang, S.; Sun, L.; Zhai, Y.; Wang, Y.; Chen, C.; Zhao, B. Isolation and characterization of a novel cinosulfuron degrading Kurthia sp. from a methanogenic microbial consortium. Bioresour. Technol. 2013, 147, 477–483. [Google Scholar] [CrossRef] [PubMed]
- Lerma-García, M.J.; Simó-Alfonso, E.F.; Zougagh, M.; Ríos, Á. Use of gold nanoparticle-coated sorbent materials for the selective preconcentration of sulfonylurea herbicides in water samples and determination by capillary liquid chromatography. Talanta 2013, 105, 372–378. [Google Scholar] [CrossRef]
- Wang, P.P. Studies on the Sorption Mechanism and Environmental Fate of Atrazine and Nicosulfuron by Modified Biochar Materials. Ph.D Thesis, Chinese Academy of Agricultural Sciences, Beijing, China, 2020. [Google Scholar] [CrossRef]
- Wang, J.; Gao, H.; Guo, Z.; Meng, Y.; Yang, M.; Li, X.; Yang, Q. Adaptation responses in C4 photosynthesis of sweet maize (Zea mays L.) exposed to nicosulfuron. Ecotoxicol. Environ. Saf. 2021, 214, 112096. [Google Scholar] [CrossRef]
- Zhao, X.; Xie, Q.; Song, B.; Riaz, M.; Lal, M.K.; Wang, L.; Lin, X.; Huo, J. Research on phytotoxicity assessment and photosynthetic characteristics of nicosulfuron residues on Beta vulgaris L. J. Environ. Manag. 2024, 353, 120159. [Google Scholar] [CrossRef]
- Seguin, F.; Leboulanger, C.; Rimet, F.; Druart, J.C.; Bérard, A. Effects of atrazine and nicosulfuron on phytoplankton in systems of increasing complexity. Arch. Environ. Contam. Toxicol. 2001, 40, 198–208. [Google Scholar] [CrossRef]
- Trigo, C.; Spokas, K.A.; Cox, L.; Koskinen, W.C. Influence of Soil Biochar Aging on Sorption of the Herbicides MCPA, Nicosulfuron, Terbuthylazine, Indaziflam, and Fluoroethyldiaminotriazine. J. Agric. Food Chem. 2014, 62, 10855–10860. [Google Scholar] [CrossRef]
- Zhong, J.; Wu, S.; Chen, W.-J.; Huang, Y.; Lei, Q.; Mishra, S.; Bhatt, P.; Chen, S. Current insights into the microbial degradation of nicosulfuron: Strains, metabolic pathways, and molecular mechanisms. Chemosphere 2023, 326, 138390. [Google Scholar] [CrossRef]
- Lu, B.; Meng, R.; Wang, Y.; Xiong, W.; Ma, Y.; Gao, P.; Ren, J.; Zhang, L.; Zhao, Z.; Fan, G.; et al. Distinctive physiological and molecular responses of foxtail millet and maize to nicosulfuron. Front. Plant Sci. 2024, 14, 1308584. [Google Scholar] [CrossRef] [PubMed]
- Gonçalves, A.C., Jr.; Conradi Junior, E.; Schwantes, D.; Braccini, A.; Pinheiro, A.; Conradi, G. Fate of atrazine in soybean (Glycine max L.) and corn (Zea mays L.) succession in Brazilian subtropical conditions. Soil. Tillage Res. 2024, 237, 105958. [Google Scholar] [CrossRef]
- Xu, N.; Wu, Z.; Li, X.; Yang, M.; Han, J.; Lu, B.; Lu, B.; Wang, J. Effects of nicosulfuron on plant growth and sugar metabolism in sweet maize (Zea mays L.). PLoS ONE 2022, 17, e0276606. [Google Scholar] [CrossRef] [PubMed]
- Susha, V.; Das, T.; Nath, C.; Pandey, R.; Paul, S.; Ghosh, S. Impacts of tillage and herbicide mixture on weed interference, agronomic productivity and profitability of a maize—Wheat system in the North-western Indo-Gangetic Plains. Field Crop. Res. 2018, 219, 180–191. [Google Scholar] [CrossRef]
- Zhou, S.; Song, J.; Dong, W.; Mu, Y.; Zhang, Q.; Fan, Z.; Wang, Y.; Kong, D.; Zhou, Y.; Jiang, X.; et al. Nicosulfuron Biodegradation by a Novel Cold-Adapted Strain Oceanisphaera psychrotolerans LAM-WHM-ZC. J. Agric. Food Chem. 2017, 65, 10243–10249. [Google Scholar] [CrossRef]
- Li, M.; Song, J.; Ma, Q.; Kong, D.; Zhou, Y.; Jiang, X.; Parales, R.; Ruan, Z.; Zhang, Q. Insight into the Characteristics and New Mechanism of Nicosulfuron Biodegradation by a Pseudomonas sp. LAM1902. J. Agric. Food Chem. 2020, 68, 826–837. [Google Scholar] [CrossRef]
- Zhao, S.; Wang, J. Biodegradation of atrazine and nicosulfuron by Streptomyces nigra LM01: Performance, degradative pathway, and possible genes involved. J. Hazard. Mater. 2024, 471, 134336. [Google Scholar] [CrossRef]
- Dong, C.-D.; Tiwari, A.; Anisha, G.S.; Chen, C.-W.; Singh, A.; Haldar, D.; Patel, A.K.; Singhania, R.R. Laccase: A potential biocatalyst for pollutant degradation. Environ. Pollut. 2023, 319, 120999. [Google Scholar] [CrossRef] [PubMed]
- Al-Sareji, O.J.; Meiczinger, M.; Salman, J.M.; Al-Juboori, R.A.; Hashim, K.S.; Somogyi, V.; Jakab, M. Ketoprofen and aspirin removal by laccase immobilized on date stones. Chemosphere 2023, 311, 137133. [Google Scholar] [CrossRef]
- Sun, H.; Yuan, F.; Jia, S.; Zhang, X.; Xing, W. Laccase encapsulation immobilized in mesoporous ZIF-8 for enhancement bisphenol A degradation. J. Hazard. Mater. 2023, 445, 130460. [Google Scholar] [CrossRef]
- Yuan, Z.C.; Li, J.; Yao, M.Q.; Liu, F.; Ma, J.; Geng, S. Electrochemical performance of lithium-rich manganese-based cathode materials improved by polymorphic MnO2. Bull. Chin. Ceram. Soc. 2023, 42, 3387–3394. [Google Scholar] [CrossRef]
- Su, T.T. Preparation and microwave absorbing properties of manganese dioxide nanomaterials with different morphology. Master’s Thesis, Zhengzhou University, Zhengzhou, China, 2019. [Google Scholar]
- Zdarta, J.; Feliczak-Guzik, A.; Siwińska-Ciesielczyk, K.; Nowak, I.; Jesionowski, T. Mesostructured cellular foam silica materials for laccase immobilization and tetracycline removal: A comprehensive study. Microporous Mesoporous Mater. 2020, 291, 109688. [Google Scholar] [CrossRef]
- Zhang, Y.; Piao, M.; He, L.; Yao, L.; Piao, T.; Liu, Z.; Piao, Y. Immobilization of laccase on magnetically separable biochar for highly efficient removal of bisphenol A in water. RSC Adv. 2020, 10, 4795–4804. [Google Scholar] [CrossRef]
- Ruqayah Ali, G.; Osamah, J.A.-S.; Mónika, M.; Csilla, S.-K.; Raed, A.A.-J.; Miklós, J.; Edina, L.; Viola, S.; Mohammad Amir, K.; Khalid, S.H. A sustainable nano-hybrid system of laccase@M-MWCNTs for multifunctional PAHs and PhACs removal from water, wastewater, and lake water. Environ. Res. 2024, 246, 118097. [Google Scholar] [CrossRef]
- Devi, R.; Kumar, V.; Kumar, S.; Bulla, M.; Sharma, S.; Sharma, A. Electrochemical Analysis of MnO2 (α, β, and γ)-Based Electrode for High-Performance Supercapacitor Application. Appl. Sci. 2023, 13, 7907. [Google Scholar] [CrossRef]
- Anguraj, G.; Ashok Kumar, R.; Inmozhi, C.; Uthrakumar, R.; Elshikh, M.S.; Almutairi, S.M.; Kaviyarasu, K. MnO2 Doped with Ag Nanoparticles and Their Applications in Antimicrobial and Photocatalytic Reactions. Catalysts 2023, 13, 397. [Google Scholar] [CrossRef]
- Wang, Z.; Jia, H.; Liu, Z.; Peng, Z.; Dai, Y.; Zhang, C.; Guo, X.; Wang, T.; Zhu, L. Greatly enhanced oxidative activity of δ-MnO2 to degrade organic pollutants driven by dominantly exposed {−111} facets. J. Hazard. Mater. 2021, 413, 125285. [Google Scholar] [CrossRef] [PubMed]
- Huan, W.; Yang, Y.; Wu, B.; Yuan, H.; Zhang, Y.; Liu, X. Degradation of 2,4-DCP by the Immobilized Laccase on the Carrier of Fe3O4@SiO2-NH2. Chin. J. Chem. 2012, 30, 2849–2860. [Google Scholar] [CrossRef]
- Drozd, R.; Rakoczy, R.; Wasak, A.; Junka, A.; Fijałkowski, K. The application of magnetically modified bacterial cellulose for immobilization of laccase. Int. J. Biol. Macromol. 2018, 108, 462–470. [Google Scholar] [CrossRef] [PubMed]
- Amin, R.; Khorshidi, A.; Bensch, W.; Senkale, S.; Faramarzi, M.A. Degradation of Sesame Oil Phenolics Using Magnetic Immobilized Laccase. Catal. Lett. 2020, 150, 3086–3095. [Google Scholar] [CrossRef]
- Manzoor, Q.; Farrukh, M.A.; Sajid, A. Optimization of lead (II) and chromium (VI) adsorption using graphene oxide/ZnO/chitosan nanocomposite by response surface methodology. Appl. Surf. Sci. 2024, 655, 159544. [Google Scholar] [CrossRef]
- Zhang, X.; Du, L.; Jin, W. Screening and Optimization of Conditions for the Adsorption of Cd2+ in Serpentine by Using Response Surface Methodology. Int. J. Environ. Res. Public. Health 2022, 19, 16848. [Google Scholar] [CrossRef]
- Moreira, M.M.; Barroso, M.F.; Boeykens, A.; Withouck, H.; Morais, S.; Delerue-Matos, C. Valorization of apple tree wood residues by polyphenols extraction: Comparison between conventional and microwave-assisted extraction. Ind. Crop. Prod. 2017, 104, 210–220. [Google Scholar] [CrossRef]
- Da, T.; Chen, T.; Ma, Y.; Tong, Z. Application of response surface method in the separation of radioactive material: A review. Radiochim. Acta 2021, 110, 51–66. [Google Scholar] [CrossRef]
- Wang, H.; Tang, L.-X.; Ye, Y.-F.; Ma, J.-X.; Li, X.; Si, J.; Cui, B.-K.; Wang, H.; Tang, L.-X.; Ye, Y.-F.; et al. Laccase immobilization and its degradation of emerging pollutants: A comprehensive review. J. Environ. Manag. 2024, 359, 120984. [Google Scholar] [CrossRef]
- Yue, W.; Wang, X.; Zhang, J.; Bao, J.; Yao, M. Construction of Immobilized Laccase System Based on ZnO and Degradation of Mesotrione. Toxics 2024, 12, 434. [Google Scholar] [CrossRef]
- Kang, Z.-H.; Dong, J.-G.; Zhang, J.-L. Optimization and Characterization of Nicosulfuron-Degrading Enzyme from Bacillus subtilis Strain YB1. J. Integr. Agric. 2012, 11, 1485–1492. [Google Scholar] [CrossRef]
- Su, W.; Hao, H.; Wu, R.; Xu, H.; Xue, F.; Lu, C. Degradation of Mesotrione Affected by Environmental Conditions. Bull. Environ. Contam. Toxicol. 2016, 98, 212–217. [Google Scholar] [CrossRef]
- Galli, C.; Madzak, C.; Vadalà, R.; Jolivalt, C.; Gentili, P. Concerted Electron/Proton Transfer Mechanism in the Oxidation of Phenols by Laccase. ChemBioChem 2013, 14, 2500–2505. [Google Scholar] [CrossRef] [PubMed]
- Wang, X.; Liu, J.; Qu, R.; Wang, Z.; Huang, Q. The laccase-like reactivity of manganese oxide nanomaterials for pollutant conversion: Rate analysis and cyclic voltammetry. Sci. Rep. 2017, 7, 7756. [Google Scholar] [CrossRef] [PubMed]
- Le, T.N.; Le, X.A.; Tran, T.D.; Lee, K.J.; Kim, M.I. Laccase-mimicking Mn–Cu hybrid nanoflowers for paper-based visual detection of phenolic neurotransmitters and rapid degradation of dyes. J. Nanobiotechnol. 2022, 20, 358. [Google Scholar] [CrossRef]
- Wu, S.-T.; Su, H.-Q.; Xiao, Q.-X.; Qiu, Z.-Y.; Huang, G.-Q.; He, M.-N.; Ge, Y.; Wang, C.-H.; Lin, Y.-W. Design of bifunctional ultrathin MnO2 nanofilm with laccase-like activity for sensing environmental pollutants containing phenol groups. J. Hazard. Mater. 2024, 461, 132493. [Google Scholar] [CrossRef]
- Zhang, Z.; Zhang, Y.; Yang, D.C.; Zhang, J.L. Expression and functional analysis of three nicosulfuron-degrading enzymes from Bacillus subtilis YB1. J. Environ. Sci. Health Part. B 2018, 53, 476–485. [Google Scholar] [CrossRef] [PubMed]
- Zhang, Z.; Yang, D.; Wang, J.; Huo, J.; Zhang, J. Studies on the interactions between nicosulfuron and degradation enzymes. Process. Biochem. 2020, 91, 99–103. [Google Scholar] [CrossRef]
- Li, M.; Li, Q.; Yao, J.; Sunahara, G.; Duran, R.; Zhang, Q.; Ruan, Z. Transcriptomic response of Pseudomonas nicosulfuronedens LAM1902 to the sulfonylurea herbicide nicosulfuron. Sci. Rep. 2022, 12, 13656. [Google Scholar] [CrossRef]









| Factor | Level | ||
|---|---|---|---|
| −1 | 0 | 1 | |
| A-pH | 4 | 6 | 8 |
| B-Temperature (°C) | 30 | 45 | 60 |
| C-Initial pesticide concentration (mg/L) | 100 | 150 | 200 |
| Statistical Test | Response | Source | Sum of Squares | df | Mean Square | F-Value | p-Value | Remark |
|---|---|---|---|---|---|---|---|---|
| Sequential model fitting | MnO2@Lac | Mean vs. Total | 99,629.06 | 1 | 99,629.06 | |||
| Linear vs. Mean | 52.48 | 3 | 17.49 | 0.1619 | 0.9201 | |||
| 2FI vs. Linear | 5.79 | 3 | 1.93 | 0.0138 | 0.9976 | |||
| Quadratic vs. 2FI | 1371.12 | 3 | 457.04 | 116.92 | <0.0001 | Suggested | ||
| Cubic vs. Quadratic | 5.36 | 3 | 1.79 | 0.3247 | 0.8088 | Aliased | ||
| Residual | 22.00 | 4 | 5.50 | |||||
| Laccase | Mean vs. Total | 89,189.58 | 1 | 89,189.58 | ||||
| Linear vs. Mean | 31.80 | 3 | 10.60 | 0.2379 | 0.8683 | |||
| 2FI vs. Linear | 5.96 | 3 | 1.99 | 0.0346 | 0.9908 | |||
| Quadratic vs. 2FI | 563.96 | 3 | 187.99 | 140.59 | <0.0001 | Suggested | ||
| Cubic vs. Quadratic | 1.32 | 3 | 0.4408 | 0.2194 | 0.8785 | Aliased | ||
| Residual | 8.04 | 4 | 2.01 | |||||
| MnO2 | Mean vs. Total | 92,185.50 | 1 | 92,185.50 | ||||
| Linear vs. Mean | 56.74 | 3 | 18.91 | 0.2496 | 0.8602 | |||
| 2FI vs. Linear | 3.44 | 3 | 1.15 | 0.0117 | 0.9982 | |||
| Quadratic vs. 2FI | 937.92 | 3 | 312.64 | 50.06 | <0.0001 | Suggested | ||
| Cubic vs. Quadratic | 15.31 | 3 | 5.10 | 0.7184 | 0.5909 | Aliased | ||
| Residual | 28.41 | 4 | 7.10 | |||||
| Lack of Fit test | MnO2@Lac | Linear | 1382.27 | 9 | 153.59 | 27.92 | 0.0029 | |
| 2FI | 1376.48 | 6 | 229.41 | 41.70 | 0.0015 | |||
| Quadratic | 5.36 | 3 | 1.79 | 0.3247 | 0.8088 | Suggested | ||
| Cubic | 0.0000 | 0 | Aliased | |||||
| Pure Error | 22.00 | 4 | 5.50 | |||||
| Laccase | Linear | 571.24 | 9 | 63.47 | 31.59 | 0.0023 | ||
| 2FI | 565.29 | 6 | 94.21 | 46.89 | 0.0012 | |||
| Quadratic | 1.32 | 3 | 0.4408 | 0.2194 | 0.8785 | Suggested | ||
| Cubic | 0.0000 | 0 | Aliased | |||||
| Pure Error | 8.04 | 4 | 2.01 | |||||
| MnO2 | Linear | 956.67 | 9 | 106.30 | 14.97 | 0.0096 | ||
| 2FI | 953.23 | 6 | 158.87 | 22.37 | 0.0048 | |||
| Quadratic | 15.31 | 3 | 5.10 | 0.7184 | 0.5909 | Suggested | ||
| Cubic | 0.0000 | 0 | Aliased | |||||
| Pure Error | 28.41 | 4 | 7.10 | |||||
| Model summary statistics | Response | Source | Std. dev. | R2 | Adj. R2 | Pred. R2 | Press | Remark |
| MnO2@Lac | Linear | 10.39 | 0.0360 | −0.1864 | −0.3965 | 2034.32 | ||
| 2FI | 11.83 | 0.0400 | −0.5360 | −1.3492 | 3422.18 | |||
| Quadratic | 1.98 | 0.9812 | 0.9571 | 0.9175 | 120.11 | Suggested | ||
| Cubic | 2.35 | 0.9849 | 0.9396 | * | Aliased | |||
| Laccase | Linear | 6.68 | 0.0520 | −0.1667 | −0.4770 | 902.56 | ||
| 2FI | 7.57 | 0.0618 | −0.5011 | −1.7113 | 1656.82 | |||
| Quadratic | 1.16 | 0.9847 | 0.9650 | 0.9448 | 33.72 | Suggested | ||
| Cubic | 1.42 | 0.9868 | 0.9474 | * | Aliased | |||
| MnO2 | Linear | 8.70 | 0.0545 | −0.1637 | −0.3904 | 1448.51 | ||
| 2FI | 9.91 | 0.0578 | −0.5076 | −1.3930 | 2493.05 | |||
| Quadratic | 2.50 | 0.9580 | 0.9041 | 0.7223 | 289.28 | Suggested | ||
| Cubic | 2.66 | 0.9727 | 0.8909 | * | Aliased |
| Response | Source | Sum of Squares | Degree of Freedom | Mean Square | F Value | p-Value |
|---|---|---|---|---|---|---|
| MnO2@Lac | Model | 1429.39 | 9 | 158.82 | 40.63 | <0.0001 |
| Residual | 27.36 | 7 | 3.91 | - | - | |
| Lack of fit | 5.36 | 3 | 1.79 | 0.32 | 0.8088 | |
| Pure Error | 22.00 | 4 | 5.50 | - | - | |
| Cor Total | 1456.75 | 16 | - | - | - | |
| Laccase | Model | 601.73 | 9 | 66.86 | 50.00 | <0.0001 |
| Residual | 9.36 | 7 | 1.34 | - | - | |
| Lack of fit | 1.32 | 3 | 0.44 | 0.22 | 0.8785 | |
| Pure Error | 8.04 | 4 | 2.01 | - | - | |
| Cor Total | 611.09 | 16 | - | - | - | |
| MnO2 | Model | 998.10 | 9 | 110.90 | 17.76 | 0.0005 |
| Residual | 43.71 | 7 | 6.24 | - | - | |
| Lack of fit | 15.31 | 3 | 5.10 | 0.72 | 0.5909 | |
| Pure Error | 28.41 | 4 | 7.10 | - | - | |
| Cor Total | 1041.82 | 16 | - | - | - |
| Response | Optimum Conditions | Predicted Mean (%) | Experimental Results (%) | ||
|---|---|---|---|---|---|
| pH | Temperature (°C) | Concentration (mg/kg) | |||
| MnO2@Lac | 5.9 | 46.5 | 151.1 | 90.3 | 90.1 |
| Laccase | 6.2 | 44.3 | 153.3 | 80.5 | 79.8 |
| MnO2 | 5.8 | 46.8 | 150.7 | 84.9 | 84.2 |
Disclaimer/Publisher’s Note: The statements, opinions and data contained in all publications are solely those of the individual author(s) and contributor(s) and not of MDPI and/or the editor(s). MDPI and/or the editor(s) disclaim responsibility for any injury to people or property resulting from any ideas, methods, instructions or products referred to in the content. |
© 2024 by the authors. Licensee MDPI, Basel, Switzerland. This article is an open access article distributed under the terms and conditions of the Creative Commons Attribution (CC BY) license (https://creativecommons.org/licenses/by/4.0/).
Share and Cite
Yue, W.; Wang, X.; Zhang, J.; Bao, J.; Yao, M. Degradation Characteristics of Nicosulfuron in Water and Soil by MnO2 Nano-Immobilized Laccase. Toxics 2024, 12, 619. https://doi.org/10.3390/toxics12080619
Yue W, Wang X, Zhang J, Bao J, Yao M. Degradation Characteristics of Nicosulfuron in Water and Soil by MnO2 Nano-Immobilized Laccase. Toxics. 2024; 12(8):619. https://doi.org/10.3390/toxics12080619
Chicago/Turabian StyleYue, Wanlei, Xin Wang, Jiale Zhang, Jia Bao, and Mengqin Yao. 2024. "Degradation Characteristics of Nicosulfuron in Water and Soil by MnO2 Nano-Immobilized Laccase" Toxics 12, no. 8: 619. https://doi.org/10.3390/toxics12080619
APA StyleYue, W., Wang, X., Zhang, J., Bao, J., & Yao, M. (2024). Degradation Characteristics of Nicosulfuron in Water and Soil by MnO2 Nano-Immobilized Laccase. Toxics, 12(8), 619. https://doi.org/10.3390/toxics12080619

