Gender- and Obesity-Specific Association of Co-Exposure to Personal Care Product and Plasticizing Chemicals and Short Sleep Duration among Adults: Evidence from the National Health and Nutrition Examination Survey 2011–2016
Abstract
1. Introduction
2. Materials and Methods
2.1. Study Population
2.2. Biomeasure of Personal Care Product and Plasticizing Chemicals (PCPPCs)
2.3. Sleep Duration
2.4. Covariates
2.5. Statistical Analysis
2.5.1. Logistic Regression
2.5.2. Weighted Quantile Sum Regression
2.5.3. Bayesian Kernel Machine Regression
2.6. Sensitivity Analysis
3. Results
3.1. Baseline Characteristics of the Study Population
3.2. Distributions of Urinary PCPPCs
3.3. Association between PCPPC Exposures and Short Sleep Duration by Gender and Obesity-Specific Status: Logistic Regression Findings
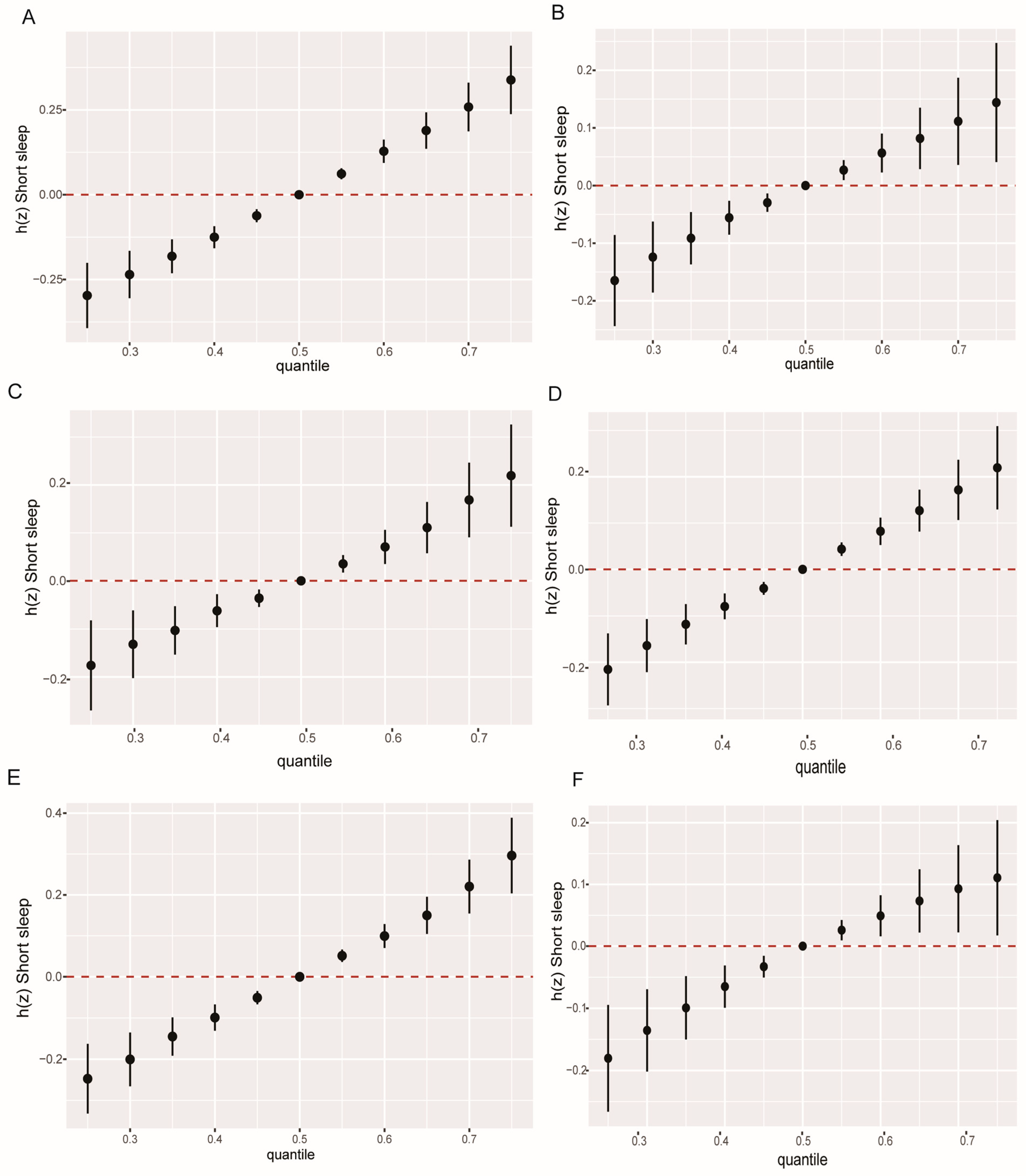
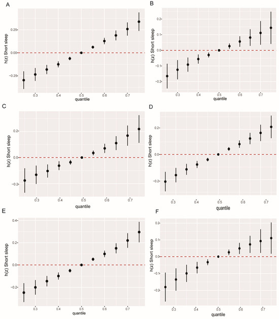
3.4. Association between PCPPC Mixture and Short Sleep Duration by Gender- and Obesity-Specific Status: WQS Regression Findings
3.5. Association between PCPPC Mixture and Short Sleep Duration by Gender and Obesity: BKMR Findings
3.6. Sensitivity Analysis Findings
4. Discussion
4.1. Principle Findings
4.2. Comparison with Other Studies
4.2.1. Gender-Specific Differences
4.2.2. Obesity-Specific Differences
4.3. Research Implications
4.4. Strengths and Limitations
5. Conclusions
Supplementary Materials
Author Contributions
Funding
Institutional Review Board Statement
Informed Consent Statement
Data Availability Statement
Conflicts of Interest
References
- Watson, N.F.; Badr, M.S.; Belenky, G.; Bliwise, D.L.; Buxton, O.M.; Buysse, D.; Dinges, D.F.; Gangwisch, J.; Grandner, M.A.; Kushida, C.; et al. Recommended Amount of Sleep for a Healthy Adult: A Joint Consensus Statement of the American Academy of Sleep Medicine and Sleep Research Society. Sleep 2015, 38, 843–844. [Google Scholar] [CrossRef] [PubMed]
 - Khubchandani, J.; Price, J.H. Short Sleep Duration in Working American Adults, 2010–2018. J. Community Health 2020, 45, 219–227. [Google Scholar] [CrossRef] [PubMed]
 - Altevogt, B.M.; Colten, H.R. Sleep Disorders and Sleep Deprivation: An Unmet Public Health Problem; National Academies Press (US): Washington, DC, USA, 2006. [Google Scholar]
 - Grandner, M.A.; Chakravorty, S.; Perlis, M.L.; Oliver, L.; Gurubhagavatula, I. Habitual sleep duration associated with self-reported and objectively determined cardiometabolic risk factors. Sleep Med. 2014, 15, 42–50. [Google Scholar] [CrossRef]
 - Itani, O.; Jike, M.; Watanabe, N.; Kaneita, Y. Short sleep duration and health outcomes: A systematic review, meta-analysis, and meta-regression. Sleep Med. 2017, 32, 246–256. [Google Scholar] [CrossRef] [PubMed]
 - Beydoun, H.A.; Beydoun, M.A.; Jeng, H.A.; Zonderman, A.B.; Eid, S.M. Bisphenol-A and Sleep Adequacy among Adults in the National Health and Nutrition Examination Surveys. Sleep 2016, 39, 467–476. [Google Scholar] [CrossRef] [PubMed]
 - Sears, C.G.; Braun, J.M. Urinary phthalate metabolite concentrations and adolescent sleep duration. Environ. Epidemiol. 2021, 5, e134. [Google Scholar] [CrossRef]
 - Shiue, I. Urinary arsenic, pesticides, heavy metals, phthalates, polyaromatic hydrocarbons, and polyfluoroalkyl compounds are associated with sleep troubles in adults: USA NHANES, 2005-2006. Environ. Sci. Pollut. Res. Int. 2017, 24, 3108–3116. [Google Scholar] [CrossRef] [PubMed]
 - Zhou, R.; Zhang, L.; Yan, J.; Sun, Y.; Jiang, H. Association of sleep problems with urinary concentrations of personal care and consumer product chemicals: A nationally representative, population-based study. Environ. Sci. Pollut. Res. Int. 2023, 30, 14533–14544. [Google Scholar] [CrossRef] [PubMed]
 - Fatima, Y.; Doi, S.A.; Najman, J.M.; Mamun, A.A. Exploring Gender Difference in Sleep Quality of Young Adults: Findings from a Large Population Study. Clin. Med. Res. 2016, 14, 138–144. [Google Scholar] [CrossRef] [PubMed]
 - Luo, J.; Zhu, G.; Zhao, Q.; Guo, Q.; Meng, H.; Hong, Z.; Ding, D. Prevalence and risk factors of poor sleep quality among Chinese elderly in an urban community: Results from the Shanghai aging study. PLoS ONE 2013, 8, e81261. [Google Scholar] [CrossRef]
 - Cho, K.H.; Cho, E.H.; Hur, J.; Shin, D. Association of Sleep Duration and Obesity According to Gender and Age in Korean Adults: Results from the Korea National Health and Nutrition Examination Survey 2007-2015. J. Korean Med. Sci. 2018, 33, e345. [Google Scholar] [CrossRef] [PubMed]
 - Fan, Y.; Zhang, L.; Wang, Y.; Li, C.; Zhang, B.; He, J.; Guo, P.; Qi, X.; Zhang, M.; Guo, C.; et al. Gender differences in the association between sleep duration and body mass index, percentage of body fat and visceral fat area among chinese adults: A cross-sectional study. BMC Endocr. Disord. 2021, 21, 247. [Google Scholar] [CrossRef] [PubMed]
 - Ren, L.; Chang, L.; Kang, Y.; Zhao, Y.; Chen, F.; Pei, L. Gender-Specific Association Between Sleep Duration and Body Mass Index in Rural China. Front. Endocrinol. (Lausanne) 2022, 13, 877100. [Google Scholar] [CrossRef] [PubMed]
 - Kishman, E.E.; Breneman, C.B.; Sparks, J.R.; Wang, X. Associations between Sleep and Body Composition in Older Women and the Potential Role of Physical Function. Sleep Biol. Rhythms. 2023, 21, 175–183. [Google Scholar] [CrossRef] [PubMed]
 - Do, M.T.; Chang, V.C.; Mendez, M.A.; de Groh, M. Urinary bisphenol A and obesity in adults: Results from the Canadian Health Measures Survey. Health Promot Chronic Dis Prev Can 2017, 37, 403–412. [Google Scholar] [CrossRef] [PubMed]
 - Shankar, A.; Teppala, S.; Sabanayagam, C. Urinary bisphenol a levels and measures of obesity: Results from the national health and nutrition examination survey 2003-2008. Int. Sch. Res. Not. Endocrinol. 2012, 2012, 965243. [Google Scholar] [CrossRef] [PubMed]
 - Fan, J.; Ding, C.; Gong, W.; Yuan, F.; Zhang, Y.; Feng, G.; Song, C.; Liu, A. Association of Sleep Duration and Overweight/Obesity among Children in China. Int. J. Environ. Res. Public Health 2020, 17, 1962. [Google Scholar] [CrossRef] [PubMed]
 - Hatcher, K.M.; Smith, R.L.; Chiang, C.; Li, Z.; Flaws, J.A.; Mahoney, M.M. Association of phthalate exposure and endogenous hormones with self-reported sleep disruptions: Results from the Midlife Women’s Health Study. Menopause 2020, 27, 1251–1264. [Google Scholar] [CrossRef] [PubMed]
 - Hatcher, K.M.; Smith, R.L.; Li, Z.; Flaws, J.A.; Davies, C.R.; Mahoney, M.M. Preliminary findings reveal that phthalate exposure is associated with both subjective and objective measures of sleep in a small population of midlife women. Maturitas 2022, 157, 62–65. [Google Scholar] [PubMed]
 - Wu, X.; Liu, S.; Wen, L.; Tan, Y.; Zeng, H.; Liang, H.; Weng, X.; Wu, Y.; Yao, H.; Fu, Y.; et al. Association between phthalates and sleep problems in the U.S. adult females from NHANES 2011-2014. Int. J. Environ. Health Res. 2023, 34, 1961–1976. [Google Scholar] [CrossRef] [PubMed]
 - Zamora, A.N.; Peterson, K.E.; Goodrich, J.M.; Téllez-Rojo, M.M.; Song, P.X.K.; Meeker, J.D.; Dolinoy, D.C.; Torres-Olascoaga, L.A.; Cantoral, A.; Jansen, E.C. Associations between exposure to phthalates, phenols, and parabens with objective and subjective measures of sleep health among Mexican women in midlife: A cross-sectional and retrospective analysis. Environ. Sci. Pollut. Res. Int. 2023, 30, 65544–65557. [Google Scholar] [CrossRef] [PubMed]
 - Spiegel, K.; Leproult, R.; Colecchia, E.F.; L’Hermite-Balériaux, M.; Nie, Z.; Copinschi, G.; Cauter, E.V. Adaptation of the 24-h growth hormone profile to a state of sleep debt. Am. J. Physiol.-Regul. Integr. Comp. Physiol. 2000, 279, R874–R883. [Google Scholar] [CrossRef] [PubMed]
 - Kim, W.; Lee, J.; Ha, J.; Jo, K.; Lim, D.J.; Lee, J.M.; Chang, S.A.; Kang, M.I.; Kim, M.H. Association between Sleep Duration and Subclinical Thyroid Dysfunction Based on Nationally Representative Data. J. Clin. Med. 2019, 8, 2010. [Google Scholar] [CrossRef] [PubMed]
 - Han, L.; Wang, Q. Association between organophosphorus insecticides exposure and the prevalence of sleep problems in the US adults: An analysis based on the NHANES 2007-2018. Ecotoxicol. Environ. Saf. 2023, 255, 114803. [Google Scholar] [CrossRef] [PubMed]
 - Zamora, A.N.; Watkins, D.J.; Peterson, K.E.; Jansen, E.C. Association between pesticide exposure and sleep health among a representative sample of US adults: Evidence from NHANES 2009-2014. BMC Public Health 2021, 21, 2199. [Google Scholar] [CrossRef]
 - NCHS. About the National Health and Nutrition Examination Survey. Available online: https://www.cdc.gov/nchs/nhanes/about_nhanes.htm (accessed on 25 May 2023).
 - Silva, M.J.; Samandar, E.; Preau, J.L., Jr.; Reidy, J.A.; Needham, L.L.; Calafat, A.M. Quantification of 22 phthalate metabolites in human urine. J. Chromatogr. B Analyt. Technol. Biomed. Life Sci. 2007, 860, 106–112. [Google Scholar] [CrossRef] [PubMed]
 - NCHS. Lab Methods for 2,4-Dichlorophenol, 2,5-Dichlorophenol. Available online: https://wwwn.cdc.gov/nchs/data/nhanes/2011-2012/labmethods/pp_g_met.pdf (accessed on 25 May 2023).
 - NCHS. Lab Methods for Benzophenone-3, Bisphenol A, Methyl-, Ethyl-, Propyl-, and Butyl Parabens, Triclosan. Available online: https://wwwn.cdc.gov/nchs/data/nhanes/2011-2012/labmethods/eph_g_met.pdf (accessed on 25 May 2023).
 - NCHS. Lab Methods for Metabolites of Phthalates and Phthalate Alternatives. Available online: https://wwwn.cdc.gov/nchs/data/nhanes/2011-2012/labmethods/phthte_g_met.pdf (accessed on 25 May 2023).
 - NCHS. Laboratory Procedure Manual for Personal Care and Consumer Product Chemicals and Metabolites. Available online: https://wwwn.cdc.gov/nchs/data/nhanes/2013-2014/labmethods/EPHPP_H_MET.pdf (accessed on 25 May 2023).
 - NCHS. Laboratory Procedure Manual for Phthalates and Plasticizers Metabolites. Available online: https://wwwn.cdc.gov/nchs/data/nhanes/2013-2014/labmethods/PHTHTE_H_MET_Phthalates.pdf (accessed on 25 May 2023).
 - NCHS. Laboratory Procedure Manual for Personal Care and Consumer Product Chemicals and Metabolites. Available online: https://wwwn.cdc.gov/nchs/data/nhanes/2015-2016/labmethods/EPHPP_I_MET.pdf (accessed on 25 May 2023).
 - NCHS. Laboratory Procedure Manual for Phthalates and Phthalate Alternative Metabolites. Available online: https://wwwn.cdc.gov/nchs/data/nhanes/2015-2016/labmethods/PHTHTE_I_MET.pdf (accessed on 25 May 2023).
 - Shih, Y.-H.; Howe, C.G.; Scannell Bryan, M.; Shahriar, M.; Kibriya, M.G.; Jasmine, F.; Sarwar, G.; Graziano, J.H.; Persky, V.W.; Jackson, B.; et al. Exposure to metal mixtures in relation to blood pressure among children 5–7 years old: An observational study in Bangladesh. Environ. Epidemiol. 2021, 5, e135. [Google Scholar] [CrossRef] [PubMed]
 - Zhang, Y.; Dong, T.; Hu, W.; Wang, X.; Xu, B.; Lin, Z.; Hofer, T.; Stefanoff, P.; Chen, Y.; Wang, X.; et al. Association between exposure to a mixture of phenols, pesticides, and phthalates and obesity: Comparison of three statistical models. Environ. Int. 2019, 123, 325–336. [Google Scholar] [CrossRef] [PubMed]
 - Carrico, C.; Gennings, C.; Wheeler, D.C.; Factor-Litvak, P. Characterization of weighted quantile sum regression for highly correlated data in a risk analysis setting. J. Agric. Biol. Environ. Stat. 2015, 20, 100–120. [Google Scholar] [CrossRef] [PubMed]
 - Czarnota, J.; Gennings, C.; Colt, J.S.; De Roos, A.J.; Cerhan, J.R.; Severson, R.K.; Hartge, P.; Ward, M.H.; Wheeler, D.C. Analysis of Environmental Chemical Mixtures and Non-Hodgkin Lymphoma Risk in the NCI-SEER NHL Study. Environ. Health Perspect. 2015, 123, 965–970. [Google Scholar] [CrossRef]
 - Bobb, J.F.; Valeri, L.; Claus Henn, B.; Christiani, D.C.; Wright, R.O.; Mazumdar, M.; Godleski, J.J.; Coull, B.A. Bayesian kernel machine regression for estimating the health effects of multi-pollutant mixtures. Biostatistics 2015, 16, 493–508. [Google Scholar] [CrossRef] [PubMed]
 - Watanabe, M.; Kikuchi, H.; Tanaka, K.; Takahashi, M. Association of short sleep duration with weight gain and obesity at 1-year follow-up: A large-scale prospective study. Sleep 2010, 33, 161–167. [Google Scholar] [CrossRef] [PubMed]
 - Singh, M.; Drake, C.L.; Roehrs, T.; Hudgel, D.W.; Roth, T. The association between obesity and short sleep duration: A population-based study. J. Clin. Sleep Med. 2005, 1, 357–363. [Google Scholar] [CrossRef] [PubMed]
 - Dong, R.; Zhou, T.; Chen, J.; Zhang, M.; Zhang, H.; Wu, M.; Li, S.; Zhang, L.; Chen, B. Gender- and Age-Specific Relationships Between Phthalate Exposures and Obesity in Shanghai Adults. Arch. Environ. Contam. Toxicol. 2017, 73, 431–441. [Google Scholar] [CrossRef] [PubMed]
 - Chailurkit, L.O.; Aekplakorn, W.; Ongphiphadhanakul, B. The Association of Serum Bisphenol A with Thyroid Autoimmunity. Int. J. Environ. Res. Public Health 2016, 13, 1153. [Google Scholar] [CrossRef] [PubMed]
 - Skarha, J.; Mínguez-Alarcón, L.; Williams, P.L.; Korevaar, T.I.M.; de Poortere, R.A.; Broeren, M.A.C.; Ford, J.B.; Eliot, M.; Hauser, R.; Braun, J.M. Cross-sectional associations between urinary triclosan and serum thyroid function biomarker concentrations in women. Environ. Int. 2019, 122, 256–262. [Google Scholar] [CrossRef] [PubMed]
 - Mong, J.A.; Cusmano, D.M. Sex differences in sleep: Impact of biological sex and sex steroids. Philos. Trans. R. Soc. Lond. B Biol. Sci. 2016, 371, 20150110. [Google Scholar] [CrossRef]
 - Barrett-Connor, E.; Dam, T.T.; Stone, K.; Harrison, S.L.; Redline, S.; Orwoll, E. The association of testosterone levels with overall sleep quality, sleep architecture, and sleep-disordered breathing. J. Clin. Endocrinol. Metab. 2008, 93, 2602–2609. [Google Scholar] [CrossRef]
 - Bigambo, F.M.; Zhang, M.; Zhang, J.; Yang, X.; Yu, Q.; Wu, D.; Wang, X.; Xia, Y. Exposure to a mixture of personal care product and plasticizing chemicals in relation to reproductive hormones and menarche timing among 12–19 years old girls in NHANES 2013–2016. Food Chem. Toxicol. 2022, 170, 113463. [Google Scholar] [CrossRef] [PubMed]
 - Zimberg, I.Z.; Dâmaso, A.; Del Re, M.; Carneiro, A.M.; de Sá Souza, H.; de Lira, F.S.; Tufik, S.; de Mello, M.T. Short sleep duration and obesity: Mechanisms and future perspectives. Cell Biochem. Funct. 2012, 30, 524–529. [Google Scholar] [CrossRef] [PubMed]
 




| Overall (N = 3012) | Short Sleep (N = 1118) | Adequate Sleep (N = 1894) | p-Value | |
|---|---|---|---|---|
| Gender | 0.042 | |||
| Male | 1451 (48.2) | 566 (50.6) | 885 (46.7) | |
| Female | 1561 (51.8) | 552 (49.4) | 1009 (53.3) | |
| Age (Year) (mean (SD)) | 39.70 (11.79) | 40.44 (11.65) | 39.26 (11.85) | 0.008 | 
| Race (%) | <0.001 | |||
| Mexican | 413 (13.7) | 137 (12.3) | 276 (14.6) | |
| Hispanic | 329 (10.9) | 126 (11.3) | 203 (10.7) | |
| White | 1068 (35.5) | 355 (31.8) | 713 (37.6) | |
| Black | 690 (22.9) | 330 (29.5) | 360 (19.0) | |
| Asian | 395 (13.1) | 123 (11.0) | 272 (14.4) | |
| Multi-racial | 117 (3.9) | 47 (4.2) | 70 (3.7) | |
| Education (%) | 0.002 | |||
| Less than 9th grade | 180 (6.0) | 58 (5.2) | 122 (6.4) | |
| 9–11th grade | 360 (12.0) | 141 (12.6) | 219 (11.6) | |
| High school | 638 (21.2) | 248 (22.2) | 390 (20.6) | |
| College | 981 (32.6) | 396 (35.4) | 585 (30.9) | |
| Graduate or above | 853 (28.3) | 275 (24.6) | 578 (30.5) | |
| Marital status (%) | <0.001 | |||
| Married | 1837 (61.0) | 646 (57.8) | 1191 (62.9) | |
| Never married | 760 (25.2) | 281 (25.1) | 479 (25.3) | |
| Separated, widowed, divorced | 415 (13.8) | 191 (17.1) | 224 (11.8) | |
| PIR (%) | 0.479 | |||
| No poverty | 2318 (77.0) | 852 (76.2) | 1466 (77.4) | |
| Poverty | 694 (23.0) | 266 (23.8) | 428 (22.6) | |
| Food insecurity (%) | 0.547 | |||
| No | 2034 (67.5) | 747 (66.8) | 1287 (68.0) | |
| Yes | 978 (32.5) | 371 (33.2) | 607 (32.0) | |
| Waist circumference (mean (SD)) | 98.89 (17.08) | 100.64 (17.49) | 97.86 (16.75) | <0.001 | 
| Abdominal obesity (%) | 0.06 | |||
| No | 1375 (45.7) | 485 (43.4) | 890 (47.0) | |
| Yes | 1637 (54.3) | 633 (56.6) | 1004 (53.0) | |
| BMI (kg/m2) (mean (SD)) | 29.42 (7.13) | 30.09 (7.41) | 29.03 (6.93) | <0.001 | 
| General obesity (%) | 0.001 | |||
| No | 1826 (60.6) | 634 (56.7) | 1192 (62.9) | |
| Yes | 1186 (39.4) | 484 (43.3) | 702 (37.1) | |
| Physical activity (%) | <0.001 | |||
| Yes | 1168 (38.8) | 480 (42.9) | 688 (36.3) | |
| No | 1844 (61.2) | 638 (57.1) | 1206 (63.7) | |
| Cotinine (mean (SD)) | 61.67 (130.71) | 77.38 (148.56) | 52.40 (117.99) | <0.001 | 
| Creatinine (mean (SD)) | 131.66 (86.37) | 139.31 (88.89) | 127.14 (84.55) | <0.001 | 
| PCPPCs | Female (N = 1561) | Male (N = 1451) | ||
|---|---|---|---|---|
| OR (95% CI) | p-Value | OR (95% CI) | p-Value | |
| Phenols | ||||
| BZP | 0.98 (0.87, 1.10) | 0.734 | 1.04 (0.90, 1.20) | 0.631 | 
| BPA | 1.39 (1.04, 1.84) | 0.024 | 1.47 (1.11, 1.94) | 0.007 | 
| TCS | 1.18 (1.04, 1.35) | 0.012 | 1.02 (0.90, 1.17) | 0.728 | 
| 2, 5-DCP | 1.02 (0.90, 1.16) | 0.724 | 1.09 (0.96, 1.25) | 0.185 | 
| 2, 4-DCP | 1.12 (0.92, 1.36) | 0.246 | 1.04 (0.85, 1.28) | 0.679 | 
| Parabens | ||||
| MeP | 1.17 (0.99, 1.38) | 0.073 | 1.02 (0.87, 1.19) | 0.834 | 
| PrP | 1.03 (0.91, 1.17) | 0.650 | 0.98 (0.86, 1.11) | 0.748 | 
| Phthalate metabolites | ||||
| MCNP | 1.56 (1.18, 2.06) | 0.002 | 1.40 (1.07, 1.84) | 0.015 | 
| MCOP | 1.59 (1.30, 1.94) | <0.001 | 1.37 (1.13, 1.67) | 0.001 | 
| MECPP | 1.54 (1.14, 2.08) | 0.005 | 1.38 (1.02, 1.87) | 0.034 | 
| MnBP | 1.29 (0.96, 1.73) | 0.087 | 1.16 (0.86, 1.57) | 0.323 | 
| MCPP | 1.62 (1.31, 2.01) | <0.001 | 1.44 (1.17, 1.77) | 0.001 | 
| MEP | 1.01 (0.84, 1.22) | 0.903 | 1.12 (0.93, 1.35) | 0.218 | 
| MEHHP | 1.59 (1.20, 2.13) | 0.002 | 1.34 (1.00, 1.78) | 0.048 | 
| MiBP | 1.40 (1.02, 1.94) | 0.039 | 1.07 (0.79, 1.46) | 0.662 | 
| MEOHP | 1.57 (1.17, 2.13) | 0.003 | 1.50 (1.11, 2.03) | 0.009 | 
| MBzP | 1.56 (1.20, 2.04) | 0.001 | 1.17 (0.91, 1.51) | 0.207 | 
| PCPPCs | General Obesity a (N = 1186)  | No General Obesity a  (N = 1826)  | Abdominal Obesity b  (N = 1637)  | No Abdominal Obesity b (N = 1375) | ||||
|---|---|---|---|---|---|---|---|---|
| OR (95% CI) | p-Value | OR (95% CI) | p-Value | OR (95% CI) | p-Value | OR (95% CI) | p-Value | |
| Phenols | ||||||||
| BZP | 1.00 (0.86, 1.15) | 0.989 | 0.99 (0.88, 1.11) | 0.833 | 0.98 (0.87, 1.10) | 0.722 | 0.99 (0.86, 1.13) | 0.851 | 
| BPA | 1.33 (0.97, 1.80) | 0.072 | 1.45 (1.12, 1.89) | 0.005 | 1.44 (1.11, 1.86) | 0.006 | 1.37 (1.00, 1.87) | 0.047 | 
| TCS | 1.05 (0.91, 1.22) | 0.493 | 1.15 (1.02, 1.30) | 0.022 | 1.09 (0.96, 1.23) | 0.206 | 1.12 (0.98, 1.29) | 0.090 | 
| 2, 5-DCP | 1.08 (0.94, 1.24) | 0.273 | 1.03 (0.91, 1.16) | 0.682 | 1.06 (0.94, 1.19) | 0.341 | 1.04 (0.90, 1.20) | 0.612 | 
| 2, 4-DCP | 1.06 (0.86, 1.31) | 0.584 | 1.09 (0.91, 1.32) | 0.353 | 1.08 (0.91, 1.30) | 0.378 | 1.07 (0.85, 1.34) | 0.555 | 
| Parabens | ||||||||
| MeP | 1.01 (0.85, 1.20) | 0.883 | 1.06 (0.92, 1.22) | 0.402 | 1.11 (0.95, 1.28) | 0.180 | 0.98 (0.84, 1.14) | 0.751 | 
| PrP | 0.92 (0.81, 1.06) | 0.259 | 1.02 (0.92, 1.13) | 0.741 | 1.00 (0.89, 1.12) | 0.993 | 0.96 (0.85, 1.08) | 0.483 | 
| Phthalate metabolites | ||||||||
| MCNP | 1.65 (1.20, 2.26) | 0.002 | 1.32 (1.03, 1.69) | 0.027 | 1.56 (1.19, 2.04) | 0.001 | 1.38 (1.05, 1.83) | 0.023 | 
| MCOP | 1.59 (1.26, 2.00) | <0.001 | 1.38 (1.16, 1.64) | <0.001 | 1.62 (1.34, 1.97) | <0.001 | 1.31 (1.07, 1.61) | 0.008 | 
| MECPP | 1.48 (1.06, 2.08) | 0.020 | 1.38 (1.05, 1.81) | 0.023 | 1.50 (1.12, 2.01) | 0.006 | 1.41 (1.04, 1.93) | 0.029 | 
| MnBP | 1.38 (1.00, 1.91) | 0.054 | 1.06 (0.81, 1.37) | 0.677 | 1.29 (0.98, 1.70) | 0.065 | 1.08 (0.80, 1.46) | 0.623 | 
| MCPP | 1.76 (1.37, 2.27) | <0.001 | 1.39 (1.15, 1.67) | 0.001 | 1.83 (1.48, 2.27) | <0.001 | 1.26 (1.03, 1.56) | 0.026 | 
| MEP | 1.05 (0.86, 1.29) | 0.610 | 1.05 (0.87, 1.24) | 0.670 | 1.07 (0.90, 1.28) | 0.429 | 1.05 (0.86, 1.29) | 0.618 | 
| MEHHP | 1.41 (1.02, 1.94) | 0.036 | 1.46 (1.12, 1.89) | 0.005 | 1.46 (1.11, 1.93) | 0.008 | 1.48 (1.10, 1.99) | 0.010 | 
| MiBP | 1.32 (0.93, 1.87) | 0.119 | 1.09 (0.83, 1.45) | 0.533 | 1.42 (1.05, 1.93) | 0.022 | 0.98 (0.71, 1.34) | 0.895 | 
| MEOHP | 1.48 (1.06, 2.07) | 0.021 | 1.49 (1.13, 1.95) | 0.004 | 1.47 (1.10, 1.96) | 0.009 | 1.60 (1.17, 2.18) | 0.003 | 
| MBzP | 1.44 (1.09, 1.92) | 0.011 | 1.22 (0.97, 1.54) | 0.089 | 1.41 (1.11, 1.80) | 0.005 | 1.22 (0.94, 1.60) | 0.137 | 
| Variables | Model | OR (95%CI) | p-Value | 
|---|---|---|---|
| Female a | |||
| Model 1 | 1.44 (1.20, 1.72) | <0.001 | |
| Model 2 | 1.24 (1.02, 1.50) | 0.031 | |
| Model 3 | 1.55 (1.13, 2.11) | 0.006 | |
| Male a | |||
| Model 1 | 1.27 (1.06, 1.53) | 0.011 | |
| Model 2 | 1.24 (1.03, 1.50) | 0.026 | |
| Model 3 | 1.38 (1.03, 1.83) | 0.029 | |
| General obesity b | |||
| Model 1 | 1.36 (1.10, 1.68) | 0.005 | |
| Model 2 | 1.20 (0.96, 1.52) | 0.111 | |
| Model 3 | 1.40 (1.02, 1.92) | 0.037 | |
| No general obesity b | |||
| Model 1 | 1.28 (1.09, 1.52) | 0.003 | |
| Model 2 | 1.18 (1.00, 1.40) | 0.047 | |
| Model 3 | 1.36 (1.06, 1.75) | 0.015 | |
| Abdominal obesity c | |||
| Model 1 | 1.53 (1.28, 1.83) | <0.001 | |
| Model 2 | 1.40 (1.17, 1.69) | <0.001 | |
| Model 3 | 1.76 (1.33, 2.34) | <0.001 | |
| No abdominal obesity c | |||
| Model 1 | 1.06 (0.88, 1.27) | 0.546 | |
| Model 2 | 1.00 (0.82, 1.22) | 0.983 | |
| Model 3 | 1.30 (0.95, 1.78) | 0.106 | 
Disclaimer/Publisher’s Note: The statements, opinions and data contained in all publications are solely those of the individual author(s) and contributor(s) and not of MDPI and/or the editor(s). MDPI and/or the editor(s) disclaim responsibility for any injury to people or property resulting from any ideas, methods, instructions or products referred to in the content.  | 
© 2024 by the authors. Licensee MDPI, Basel, Switzerland. This article is an open access article distributed under the terms and conditions of the Creative Commons Attribution (CC BY) license (https://creativecommons.org/licenses/by/4.0/).
Share and Cite
Bigambo, F.M.; Sun, J.; Zhu, C.; Zheng, S.; Xu, Y.; Wu, D.; Xia, Y.; Wang, X. Gender- and Obesity-Specific Association of Co-Exposure to Personal Care Product and Plasticizing Chemicals and Short Sleep Duration among Adults: Evidence from the National Health and Nutrition Examination Survey 2011–2016. Toxics 2024, 12, 503. https://doi.org/10.3390/toxics12070503
Bigambo FM, Sun J, Zhu C, Zheng S, Xu Y, Wu D, Xia Y, Wang X. Gender- and Obesity-Specific Association of Co-Exposure to Personal Care Product and Plasticizing Chemicals and Short Sleep Duration among Adults: Evidence from the National Health and Nutrition Examination Survey 2011–2016. Toxics. 2024; 12(7):503. https://doi.org/10.3390/toxics12070503
Chicago/Turabian StyleBigambo, Francis Manyori, Jian Sun, Chun Zhu, Songshan Zheng, Yang Xu, Di Wu, Yankai Xia, and Xu Wang. 2024. "Gender- and Obesity-Specific Association of Co-Exposure to Personal Care Product and Plasticizing Chemicals and Short Sleep Duration among Adults: Evidence from the National Health and Nutrition Examination Survey 2011–2016" Toxics 12, no. 7: 503. https://doi.org/10.3390/toxics12070503
APA StyleBigambo, F. M., Sun, J., Zhu, C., Zheng, S., Xu, Y., Wu, D., Xia, Y., & Wang, X. (2024). Gender- and Obesity-Specific Association of Co-Exposure to Personal Care Product and Plasticizing Chemicals and Short Sleep Duration among Adults: Evidence from the National Health and Nutrition Examination Survey 2011–2016. Toxics, 12(7), 503. https://doi.org/10.3390/toxics12070503
        
