Neurotoxicity Assessment of Amicarbazone Using Larval Zebrafish
Abstract
1. Introduction
2. Materials and Methods
2.1. Materials
2.2. Zebrafish Lines and Developmental Toxicity Test
2.3. Transgenic Zebrafish Imaging
2.4. Behavior Analysis
2.5. RT-qPCR Analysis
2.6. Statistical Analysis
3. Results
3.1. Developmental Parameters
3.2. Locomotor Behavior of Zebrafish Larvae
3.3. Motor Axonopathy
3.4. Myelination
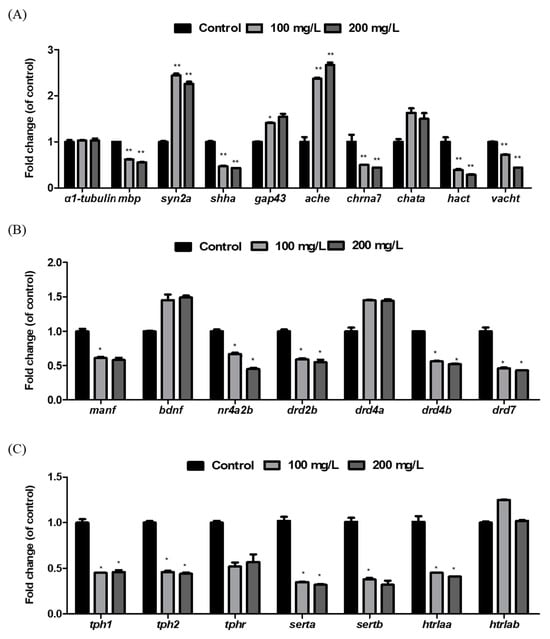
3.5. Changes in Gene Expression
4. Discussion
5. Conclusions
Supplementary Materials
Author Contributions
Funding
Institutional Review Board Statement
Informed Consent Statement
Data Availability Statement
Acknowledgments
Conflicts of Interest
References
- Kaur, M.; Butcher, R.J.; Jasinski, J.P.; Yathirajan, H.S.; Siddaraju, B.P. Amicarbazone. Acta Crystallogr. Sect. E Struct. Rep. Online 2013, 69, o603. [Google Scholar] [CrossRef] [PubMed]
- APVMA Public Release Summary on the Evaluation of the New Product Amitron 700WG Herbicide; Australian Pesticides and Veterinary Medicines Authority: Canberra, Australia, 2018.
- PPDB: Pesicide Properties Data Base; University of Hertfordshire: Hatfield, UK, 2020; Available online: http://sitem.herts.ac.uk/aeru/ppdb/ (accessed on 23 October 2024).
- USA EPA, Office of Prevention. Pesticides and Toxic Substances, Amicarbazone Draft Risk Assessment; DP Number 426602; USA EPA, Office of Prevention: Washington, DC, USA, 2015.
- USA EPA, Office of Prevention. Pesticides and Toxic Substances (7501c) Amicarbazone Pesticide Fact Sheet; USA EPA, Office of Prevention: Washington, DC, USA, 2005.
- Ceger, P.; Allen, D.; Blankinship, A.; Choksi, N.; Daniel, A.; Eckel, W.P.; Hamm, J.; Harwood, D.E.; Johnson, T.; Kleinstreuer, N.; et al. Evaluation of the fish acute toxicity test for pesticide registration. Regul Toxicol Pharmacol. 2023, 139, 105340. [Google Scholar] [CrossRef] [PubMed]
- Roper, C.; Tanguay, R.L. Zebrafish as a model for developmental biology and toxicology. In Handbook of Developmental Neurotoxicology; Elsevier: Amsterdam, The Netherlands, 2018; pp. 143–151. [Google Scholar]
- Hill, A.J.; Teraoka, H.; Heideman, W.; Peterson, R.E. Zebrafish as a model vertebrate for investigating chemical toxicity. Toxicol. Sci. 2005, 86, 6–19. [Google Scholar] [CrossRef]
- Rinkwitz, S.; Mourrain, P.; Becker, T.S. Zebrafish: An integrative system for neurogenomics and neurosciences. Prog. Neurobiol. 2011, 93, 231–243. [Google Scholar] [CrossRef]
- Chia, K.; Klingseisen, A.; Sieger, D.; Priller, J. Zebrafish as a model organism for neurodegenerative disease. Front. Mol. Neurosci. 2022, 15, 940484. [Google Scholar] [CrossRef]
- Jung, S.H.; Kim, S.; Chung, A.Y.; Kim, H.T.; So, J.H.; Ryu, J.; Park, H.C.; Kim, C.H. Visualization of myelination in GFP-transgenic zebrafish. Dev. Dyn. 2010, 239, 592–597. [Google Scholar] [CrossRef] [PubMed]
- Kucenas, S.; Takada, N.; Park, H.C.; Woodruff, E.; Broadie, K.; Appel, B. CNS-derived glia ensheath peripheral nerves and mediate motor root development. Nat. Neurosci. 2008, 11, 143–151. [Google Scholar] [CrossRef]
- Avdesh, A.; Chen, M.; Martin-Iverson, M.T.; Mondal, A.; Ong, D.; Rainey-Smith, S.; Taddei, K.; Lardelli, M.; Groth, D.M.; Verdile, G.; et al. Regular care and maintenance of a zebrafish (Danio rerio) laboratory: An introduction. J. Vis. Exp. 2012, 18, e4196. [Google Scholar] [CrossRef]
- Morrice, J.R.; Gregory-Evans, C.Y.; Shaw, C.A. Modeling Environmentally-Induced Motor Neuron Degeneration in Zebrafish. Sci. Rep. 2018, 8, 4890. [Google Scholar] [CrossRef] [PubMed]
- Jo, M.; Chung, A.Y.; Yachie, N.; Seo, M.; Jeon, H.; Nam, Y.; Seo, Y.; Kim, E.; Zhong, Q.; Vidal, M.; et al. Yeast genetic interaction screen of human genes associated with amyotrophic lateral sclerosis: Identification of MAP2K5 ki-nase as a potential drug target. Genome Res. 2017, 27, 1487–1500. [Google Scholar] [CrossRef]
- Adula, K.P.; Shorey, M.; Chauhan, V.; Nassman, K.; Chen, S.F.; Rolls, M.M.; Sagasti, A. The MAP3Ks DLK and LZK Direct Diverse Re-sponses to Axon Damage in Zebrafish Peripheral Neurons. J. Neurosci. 2022, 42, 6195–6210. [Google Scholar] [CrossRef] [PubMed]
- Kim, Y.; Kim, S.S.; Park, B.H.; Hwang, K.S.; Bae, M.A.; Cho, S.H.; Kim, S.; Park, H.C. Mechanism of bisphenol F affecting motor system and motor activity in zebrafish. Toxics 2023, 11, 477. [Google Scholar] [CrossRef] [PubMed]
- Filby, A.L.; Tyler, C.R. Appropriate ‘housekeeping’ genes for use in expression profiling the effects of environmental estrogens in fish. BMC Mol. Biol. 2007, 8, 10. [Google Scholar] [CrossRef] [PubMed]
- Livak, K.J.; Schmittgen, T.D. Analysis of relative gene expression data using real-time quantitative PCR and the 2(-Delta Delta C(T)) Method. Methods 2001, 25, 402–408. [Google Scholar] [CrossRef]
- Jiang, J.; Wang, L.; Zhang, C.; Zhao, X. Health risks of sulfentrazone exposure during zebrafish embryo-larvae development at environmental concentration. Chemosphere 2022, 288, 132632. [Google Scholar] [CrossRef]
- Selderslaghs, I.W.T.; Hooyberghs, J.; Blust, R.; Witters, H.E. Assessment of the developmental neurotoxicity of compounds by measuring locomotor activity in zebrafish embryos and larvae. Neurotoxicol. Teratol. 2013, 37, 44–56. [Google Scholar] [CrossRef]
- Yang, Q.; Deng, P.; Xing, D.; Liu, H.; Shi, F.; Hu, L.; Zou, X.; Nie, H.; Zuo, J.; Zhuang, Z.; et al. Developmental neurotoxicity of difenoconazole in zebrafish embryos. Toxics 2023, 11, 353. [Google Scholar] [CrossRef]
- Shi, Q.; Yang, H.; Chen, Y.; Zheng, N.; Li, X.; Wang, X.; Ding, W.; Zhang, B. Developmental neurotoxicity of trichlorfon in zebrafish larvae. Int. J. Mol. Sci. 2023, 24, 11099. [Google Scholar] [CrossRef] [PubMed]
- Shi, Q.; Wang, M.; Shi, F.; Yang, L.; Guo, Y.; Feng, C.; Liu, J.; Zhou, B. Developmental neurotoxicity of triphenyl phosphate in zebrafish larvae. Aquat. Toxicol. 2018, 203, 80–87. [Google Scholar] [CrossRef]
- Liu, Y.; Guo, J.; Liu, W.; Yang, F.; Deng, Y.; Meng, Y.; Cheng, B.; Fu, J.; Zhang, J.; Liao, X.; et al. Effects of haloxyfop-p-methyl on the developmental toxicity, neurotoxicity, and immunotoxicity in zebrafish. Fish Shellfish. Immunol. 2023, 132, 108466. [Google Scholar] [CrossRef]
- Ivantsova, E.; Konig, I.; Lopez-Scarim, V.; English, C.; Charnas, S.R.; Souders, C.L.; Martyniuk, C.J. Molecular and behavioral toxicity assessment of tiafenacil, a novel PPO-inhibiting herbicide, in zebrafish embryos/larvae. Environ. Toxicol. Pharmacol. 2023, 98, 104084. [Google Scholar] [CrossRef] [PubMed]
- Brenet, A.; Hassan-Abdi, R.; Soussi-Yanicostas, N. Bixafen, a succinate dehydrogenase inhibitor fungicide, causes microcephaly and motor neuron axon defects during development. Chemosphere 2021, 265, 128781. [Google Scholar] [CrossRef] [PubMed]
- Gu, J.; Guo, M.; Huang, C.; Wang, X.; Zhu, Y.; Wang, L.; Wang, Z.; Zhou, L.; Fan, D.; Shi, L.; et al. Titanium dioxide nanoparticle affects motor behavior, neurodevelopment and axonal growth in zebrafish (Danio rerio) larvae. Sci. Total Environ. 2021, 754, 142315. [Google Scholar] [CrossRef]
- Gibson, D.A.; Ma, L. Developmental regulation of axon branching in the vertebrate nervous system. Development 2011, 138, 183–195. [Google Scholar] [CrossRef]
- Herrmann, K.; Shatz, C.J. Blockade of action potential activity alters initial arborization of thalamic axons within cortical Layer 4. Proc. Natl. Acad. Sci. USA 1995, 92, 11244–11248. [Google Scholar] [CrossRef]
- Uesaka, N.; Hayano, Y.; Yamada, A.; Yamamoto, N. Interplay between laminar specificity and activity-dependent mechanisms of thalamocortical axon branching. J. Neurosci. 2007, 27, 5215–5223. [Google Scholar] [CrossRef]
- Jiang, F.; Liu, J.; Zeng, X.; Yu, L.; Liu, C.; Wang, J.T. Tris (2-butoxyethyl) phosphate affects motor behavior and axonal growth in zebrafish (Danio rerio) larvae. Aquat. Toxicol. 2018, 198, 215–223. [Google Scholar] [CrossRef]
- Hieber, V.; Dai, X.; Foreman, M.; Goldman, D. Induction of A1-tubulin gene expression during development and regeneration of the fish central nervous system. J. Neurobiol. 1998, 37, 429–440. [Google Scholar] [CrossRef]
- Brösamle, C.; Halpern, M.E. Characterization of myelination in the developing zebrafish. Glia 2002, 39, 47–57. [Google Scholar] [CrossRef]
- Garbarino, G.; Costa, S.; Pestarino, M.; Candiani, S. Differential expression of synapsin genes during early zebrafish development. Neuroscience 2014, 280, 351–367. [Google Scholar] [CrossRef]
- Wullimann, M.F.; Umeasalugo, K.E. Sonic hedgehog expression in zebrafish forebrain identifies the teleostean pallidal sig-naling center and shows preglomerular complex and posterior tubercular dopamine cells to arise from shh cells. J. Comp. Neurol. 2020, 528, 1321–1348. [Google Scholar] [CrossRef] [PubMed]
- Kaneda, M.; Nagashima, M.; Nunome, T.; Muramatsu, T.; Yamada, Y.; Kubo, M.; Muramoto, K.; Matsukawa, T.; Koriyama, Y.; Sugitani, K.; et al. Changes of phospho-growth-associated Protein 43 (phospho-GAP43) in the zebrafish retina after optic nerve injury: A long-term observation. Neurosci. Res. 2008, 61, 281–288. [Google Scholar] [CrossRef]
- Zheng, S.; Zhang, Q.; Wu, R.; Shi, X.; Peng, J.; Tan, W.; Huang, W.; Wu, K.; Liu, C. Behavioral changes and transcriptomic effects at embryonic and postembryonic stages reveal the toxic effects of 2, 2, 4′-Tetrabromodiphenyl Ether on Neurodevelopment in Zebrafish (Danio rerio). Ecotoxicol. Environ. Saf. 2022, 248, 114310. [Google Scholar] [CrossRef]
- Rima, M.; Lattouf, Y.; Younes, M.A.; Bullier, E.; Legendre, P.; Mangin, J.-M.; Hong, E. Dynamic regulation of the cholinergic system in the spinal central nervous system. Sci. Rep. 2020, 10, 15338. [Google Scholar] [CrossRef] [PubMed]
- Tiwari, P.; Dwivedi, S.; Singh, M.P.; Mishra, R.; Chandy, A. Basic and modern concepts on cholinergic receptor: A review. Asian Pac. J. Trop. Dis. 2013, 3, 413–420. [Google Scholar] [CrossRef]
- Pohanka, M. Alpha7 nicotinic acetylcholine receptor is a target in pharmacology and toxicology. Int. J. Mol. Sci. 2012, 13, 2219–2238. [Google Scholar] [CrossRef]
- Taylor, P.; Brown, J.H. Synthesis, storage and release of acetylcholine. In Basic Neurochemistry: Molecular, Cellular and Medical Aspects, 6th ed.; Lippincott-Raven: New York, NY, USA, 1999. [Google Scholar]
- Tayebati, S.K.; di Tullio, M.A.; Amenta, F. Vesicular acetylcholine transporter (VAChT) in the brain of spontaneously hyper-tensive rats (SHR): Effect of treatment with an acetylcholinesterase inhibitor. Clin. Exp. Hypertens. 2008, 30, 732–743. [Google Scholar] [CrossRef]
- Dobransky, T.; Rylett, R.J. Functional regulation of choline acetyltransferase by phosphorylation. Neurochem. Res. 2003, 28, 537–542. [Google Scholar] [CrossRef]
- Channer, B.; Matt, S.M.; Nickoloff-Bybel, E.A.; Pappa, V.; Agarwal, Y.; Wickman, J.; Gaskill, P.J. Dopamine, immunity, and disease. Pharmacol. Rev. 2023, 75, 62–158. [Google Scholar] [CrossRef]
- Wang, S.; Duan, M.; Guan, K.; Zhou, X.; Zheng, M.; Shi, X.; Ye, M.; Guan, W.; Kuver, A.; Huang, M.; et al. Developmental neurotoxicity of reserpine exposure in zebrafish larvae (Danio rerio). Comp. Biochem. Physiol. C Toxicol. Pharmacol. 2019, 223, 115–123. [Google Scholar] [CrossRef]
- Chen, Y.C.; Sundvik, M.; Rozov, S.; Priyadarshini, M.; Panula, P. MANF regulates dopaminergic neuron development in larval zebrafish. Dev. Biol. 2012, 370, 237–249. [Google Scholar] [CrossRef]
- Jia, M.; Teng, M.; Tian, S.; Yan, J.; Meng, Z.; Yan, S.; Li, R.; Zhou, Z.; Zhu, W. Developmental toxicity and neurotoxicity of penconazole enantiomers exposure on zebrafish (Danio rerio). Environ. Pollut. 2020, 267, 115450. [Google Scholar] [CrossRef] [PubMed]
- Liu, J.; Zhang, X.; Zhang, Q.; Wang, R.; Ma, J.; Bai, X.; Wang, D. Loxhd1b inhibits the hair cell development in zebrafish: Possible relation to the BDNF/TrkB/ERK pathway. Front. Cell. Neurosci. 2022, 16, 1065309. [Google Scholar] [CrossRef]
- Bhatia, A.; Lenchner, J.R.; Saadabadi, A. Biochemistry, Dopamine Receptors. In StatPearls [Internet]; StatPearls Publishing: St. Petersburg, FL, USA, 2019. [Google Scholar]
- Sarty, K.I.; Cowie, A.; Martyniuk, C.J. The Legacy pesticide dieldrin Acts as a Teratogen and Alters the Expression of dopamine transporter and dopamine Receptor 2a in zebrafish (Danio rerio) Embryos. Comp. Biochem. Physiol. C Toxicol. Pharmacol. 2017, 194, 37–47. [Google Scholar] [CrossRef] [PubMed]
- Thörnqvist, P.-O.; McCarrick, S.; Ericsson, M.; Roman, E.; Winberg, S. Bold zebrafish (Danio rerio) express higher levels of delta opioid and dopamine D2 receptors in the brain compared to shy fish. Behav. Brain Res. 2019, 359, 927–934. [Google Scholar] [CrossRef]
- Axling, J.; Jakobsson, H.; Frymus, N.; Thörnqvist, P.-O.; Petersson, E.; Winberg, S. Boldness in zebrafish larvae—Development and differences between a domesticated lab strain and offspring of wild-caught fish. Fishes 2022, 7, 197. [Google Scholar] [CrossRef]
- Bacqué-Cazenave, J.; Bharatiya, R.; Barrière, G.; Delbecque, J.-P.; Bouguiyoud, N.; di Giovanni, G.; Cattaert, D.; de Deurwaerdère, P. Serotonin in animal cognition and behavior. Int. J. Mol. Sci. 2020, 21, 1649. [Google Scholar] [CrossRef]
- Meltzer, C.C.; Smith, G.; DeKosky, S.T.; Pollock, B.G.; Mathis, C.A.; Moore, R.Y.; Kupfer, D.J.; Reynolds, C.F. Serotonin in aging, late-life depression, and Alzheimer’s disease: The emerging role of functional imaging. Neuropsychopharmacology 1998, 18, 407–430. [Google Scholar] [CrossRef]
- Lv, J.; Liu, F. The role of serotonin beyond the central nervous system during embryogenesis. Front. Cell. Neurosci. 2017, 11, 74. [Google Scholar] [CrossRef]
- Zhang, X.; Beaulieu, J.-M.; Sotnikova, T.D.; Gainetdinov, R.R.; Caron, M.G. Tryptophan Hydroxylase-2 controls brain serotonin synthesis. Science 2004, 305, 217. [Google Scholar] [CrossRef]
- Wang, Y.; Takai, R.; Yoshioka, H.; Shirabe, K. Characterization and expression of serotonin transporter genes in zebrafish. Tohoku J. Exp. Med. 2006, 208, 267–274. [Google Scholar] [CrossRef] [PubMed]
- Kalinichenko, L.S.; Kornhuber, J.; Sinning, S.; Haase, J.; Müller, C.P. Serotonin signaling through lipid membranes. ACS Chem. Neurosci. 2024, 15, 1298–1320. [Google Scholar] [CrossRef] [PubMed]
- Wang, X.; Yang, L.; Wang, Q.; Guo, Y.; Li, N.; Ma, M.; Zhou, B. The neurotoxicity of DE-71: Effects on neural development and impairment of serotonergic signaling in zebrafish larvae. J. Appl. Toxicol. 2016, 36, 1605–1613. [Google Scholar] [CrossRef] [PubMed]
- Organic Land Management and the Protection of Water Quality. Pesticides You 2013, 33, 11–14.
- Winchester, P.D.; Huskins, J.; Ying, J. Agrichemicals in surface water and birth defects in the United States. Acta Paediatr. 2009, 98, 664–669. [Google Scholar] [CrossRef]





| Gene Name | Sequence of the Primer (5′–3′) | Accession Number | |
|---|---|---|---|
| Forward | Reverse | ||
| Beta-actin | ACAGGGAAAAGATGACACAGATCA | CAGCCTGGATGGCAACGTA | NM_181601.5 |
| α1-tubulin | AATCACCAATGCTTGCTTCGAGCC | TTCACGTCTTTGGGTACCACGTCA | NM_194388 |
| Myelin basic Protein (mbp) | AATCAGCAGGTTCTTCGGAGGAGA | AAGAAATGCACGACAGGGTTGACG | AY860977 |
| Synapsin IIa (syn2a) | GTGACCATGCCAGCATTTC | TGGTTCTCCACTTTCACCTT | NM_001002597 |
| Sonic hedgehog a (shha) | GCAAGATAACGCGCAATTCGGAGA | TGCATCTCTGTGTCATGAGCCTGT | DRU30711 |
| gap43 | TGCTGCATCAGAAGAACTAA | CCTCCGGTTTGATTCCATC | NM_131341 |
| ache | CATACGCACAATACGCTGCC | TACACAGCACCATGCGAGTT | NM_131846 |
| chrna7 | CCGGCAACATCTGACTCTGT | CAGTTCAACAGCACCACACG | NM_201219 |
| chata | ACCGATGGTACGACAAACCC | AGAGTGTTCACAGACGACGC | NM_001130719 |
| hact | CTCTCGAACCCGGCTGTATC | TATCTTCCCAAGCCATGCGG | XM_021473914 |
| vacht | TACTGTATGAGTTCGCGGGC | AAGGGCTTGAGCACAGTCAG | NM_001077550 |
| manf | AGATGGAGAGTGTGAAGTCTGTGTG | CAATTGAGTCGCTGTCAAACTTG | NM_001076629 |
| bdnf | ATAGTAACGAACAGGATGG | GCTCAGTCATGGGAGTCC | NM_131595 |
| nr4a2b | AGGCTAGAGGATCTCCGTCC | GCACCGTGCGCTTAAAGAAT | NM_001002406 |
| drd2b | GATCTCCGTTGTTTGGGTGC | GCGGGGTTGGCAATTTCAC | NM_197936 |
| drd4a | TGTTCGGCATCAACAACGTC | ACATTCCGCAGTACAGGAGC | NM_001012616 |
| drd4b | AGCATCTCCTGTCATCTTCGG | CAGCATGAGCATAATGGGGC | NM_001012618 |
| drd7 | GATCTCCGTTGTTTGGGTGC | GCGGGGTTGGCAATTTCAC | NM_001113643 |
| tph1 | TCTGTGAACTCTACGTGTGG | CACTGGGAGCATCAGACG | AF548566 |
| tph2 | ATCCATCCTTGCTCTCCAAC | TCTGTGAACTCTACGTGTGG | NM_214795 |
| tphr | AGATCCCATACCACACGTAGAG | CGGTTCAGGAGTGTAAAGAGG | AB125219 |
| serta | ACCACCAGAGTCCTAAATGTTCCAG | CTCTTCCTTCATCTGTGTGCCTTCC | NM_001039972 |
| sertb | AACCCTAACAGCAGTCCTCA | GGCCTCACCGTCACACAATA | NM_001177459 |
| htrlaa | ATGAGGATGAGCGGGATGTAG | CAATCAGCCAGGACCACG | NM_001123321 |
| htrlab | CTGTGTCGCCTGCACTTTTC | TGATCTCCAAAGACTCGCCG | NM_001145766 |
| Amicarbazone (mg/L) | Survival Rate (%) | Hatching Rate (%) | Malformation Rate (%) | Heart Rate (Beats/30s) |
|---|---|---|---|---|
| 0 | 100 ± 0.0 | 100 ± 0.0 | 0.0 ± 0.0 | 65 ± 2.1 |
| 100 | 98.3 ± 0.6 | 100 ± 0.0 | 0.0 ± 0.0 | 65 ± 1.7 |
| 200 | 98.3 ± 0.6 | 100 ± 0.0 | 0.0 ± 0.0 | 65 ± 2.2 |
| 300 | 87.7 ± 6.5 | 94.7 ± 5.0 | 56.3 ± 5.5 | 56 ± 3.3 *** |
| 400 | 59.7 ± 3.5 ** | 96.7 ± 2.9 | 94.1 ± 2.7 ** | 24 ± 4.4 *** |
Disclaimer/Publisher’s Note: The statements, opinions and data contained in all publications are solely those of the individual author(s) and contributor(s) and not of MDPI and/or the editor(s). MDPI and/or the editor(s) disclaim responsibility for any injury to people or property resulting from any ideas, methods, instructions or products referred to in the content. |
© 2024 by the authors. Licensee MDPI, Basel, Switzerland. This article is an open access article distributed under the terms and conditions of the Creative Commons Attribution (CC BY) license (https://creativecommons.org/licenses/by/4.0/).
Share and Cite
Baek, S.-H.; Kim, Y.; Kim, S.; Park, H.-C. Neurotoxicity Assessment of Amicarbazone Using Larval Zebrafish. Toxics 2024, 12, 783. https://doi.org/10.3390/toxics12110783
Baek S-H, Kim Y, Kim S, Park H-C. Neurotoxicity Assessment of Amicarbazone Using Larval Zebrafish. Toxics. 2024; 12(11):783. https://doi.org/10.3390/toxics12110783
Chicago/Turabian StyleBaek, Seung-Hwa, Yeonhwa Kim, Suhyun Kim, and Hae-Chul Park. 2024. "Neurotoxicity Assessment of Amicarbazone Using Larval Zebrafish" Toxics 12, no. 11: 783. https://doi.org/10.3390/toxics12110783
APA StyleBaek, S.-H., Kim, Y., Kim, S., & Park, H.-C. (2024). Neurotoxicity Assessment of Amicarbazone Using Larval Zebrafish. Toxics, 12(11), 783. https://doi.org/10.3390/toxics12110783

