The Physiological Response of Salix matsudana for Water Pollution by 2,4-Dinitrophenol
Abstract
1. Introduction
2. Materials and Methods
2.1. Experimental Material
2.2. Experimental Design
2.3. Experimental Method
2.3.1. Photosynthetic Parameters
2.3.2. Chlorophyll Fluorescence Parameters
2.3.3. Chlorophyll Content
2.3.4. Percentage Removal of 2,4-DNP
2.3.5. Antioxidant Enzyme Activity and MDA Content
2.3.6. Relative Electrical Conductivity (REC)
2.4. Data Analysis
3. Results
3.1. Photosynthetic Gas Exchange Parameters
3.2. Chlorophyll Fluorescence Parameters
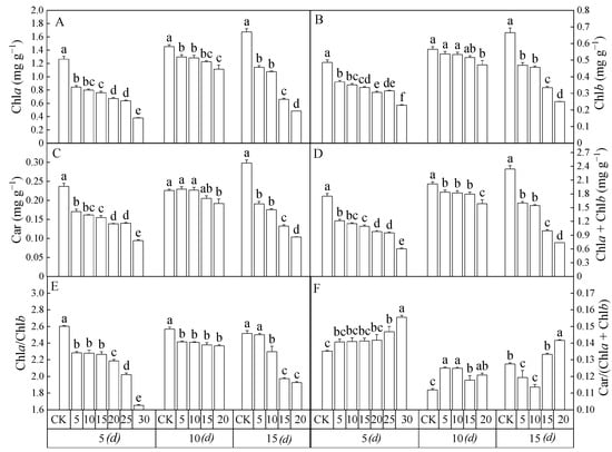
3.3. Chlorophyll Content
3.4. Level of Cell Membrane Damage
3.5. Antioxidant Enzyme Activity
3.6. Reactive Oxygen Species Level
3.7. 2,4-DNP Removal Effect
4. Discussion
5. Conclusions
Author Contributions
Funding
Institutional Review Board Statement
Informed Consent Statement
Data Availability Statement
Conflicts of Interest
Nomenclature
| Symbols | Name | Unit |
| PN | Net photosynthetic rate | μmol m−2 s−1 |
| Tr | Transpiration rate | mmol m−2 s−1 |
| Ca | Atmosphere CO2 concentration | μmol mol−1 |
| Ci | Intercellular CO2 concentration | μmol mol−1 |
| Gs | Stomatal conductance | mmol m−2 s−1 |
| Ls | Stomatal limitation value | % |
| WUE | Water-use efficiency | - |
| LUE | Light-energy-use efficiency | - |
| SOD | Superoxide dismutase | U g−1 FW |
| POD | Peroxidase | U g−1 min−1 |
| CAT | Catalase | U g−1 min−1 |
| MDA | Malonicdialdehyde | mmol g−1 |
| REC | Relative conductivity | % |
| LD | Leaf damage | % |
| Fo | Initial fluorescence | - |
| Fo′ | Minimum fluorescence under light | - |
| Fm | Maximal fluorescence | - |
| Fm′ | Variable fluorescence under light | - |
| Fv | Variable fluorescence | - |
| Fs | Steady-state fluorescence | - |
| Fv/Fm | Maximal quantum yield of PSII photochemistry | - |
| ΦPSII | Effective quantum yield of PSII photochemistry | - |
| qp | Photochemical quenching coefficient | - |
| NPQ | Nonphotochemical quenching | - |
| Chla | Chlorophyll a | mg g−1 |
| Chlb | Chlorophyll b | mg g−1 |
| Car | Carotenoids | mg g−1 |
| Chla + Chlb | Total chlorophyll content | mg g−1 |
| Chla/Chlb | Chlorophyll a/chlorophyll b | - |
| Car/(Chla + Chlb) | Carotenoids/total chlorophyll content | - |
| PT | Percentage removal of 2,4-DNP | % |
| Co | Initial concentration of 2,4-DNP | mg L−1 |
| Cf | Final concentration of 2,4-DNP | mg L−1 |
| O2−∙ | Superoxide radical | μmol min−1 g−1 FW |
| H2O2 | Hydrogen peroxide | μmol g−1 FW |
References
- Zhang, Y.X.; Liu, Z.L.; Tian, P.W. Research progress on plant effects of nitroaromatic compounds. J. Ecol. Environ. 2013, 22, 1079–1084. [Google Scholar] [CrossRef]
- Dehghanifard, E.; Jafari, A.J.; Kalantary, R.R.; Mahvi, A.H.; Faramarzim, A.; Esrafili, A. Biodegradation of 2,4-dinitrophenol with laccase immobilized on nano-porous silica beads. Iran. J. Environ. Healt. 2013, 10, 25. [Google Scholar] [CrossRef] [PubMed]
- Tang, T.; Yue, Z.; Wang, J.; Chen, T.H.; Qing, C.S. Goethite promoted biodegradation of 2,4-dinitrophenol under nitrate reduction condition. J. Hazard. Mater. 2017, 343, 176–180. [Google Scholar] [CrossRef] [PubMed]
- Rahmani, H.; Lakzian, A.; Karimi, A.; Halajnia, A. Efficient removal of 2,4-dinitrophenol from synthetic wastewater and contaminated soil samples using free and immobilized laccases. J. Environ. Manag. 2020, 256, 109740. [Google Scholar] [CrossRef]
- Jian, Y.; Wang, L.; Fu, P.P.; Yu, H. Photomutagenicity of 16 polycyclic aromatic hydrocarbons from the US EPA priority pollutant list. Mutat. Res.-Gen. Tox. En. 2004; 557, 99–108. [Google Scholar] [CrossRef]
- Chandanshive, V.V.; Kadam, S.K.; Khandare, R.V.; Kurade, M.B.; Jeon, B.H.; Jadhav, J.P.; Govindwar, S.P. In situ phytoremediation of dyes from textile wastewaterusing garden ornamental plants, effect on soil quality and plant growth. Chemosphere 2018, 210, 968–976. [Google Scholar] [CrossRef]
- Gerhardt, K.E.; Gerwing, P.D.; Greenberg, B.M. Opinion: Taking phytoremediation from proven technology to accepted practice. Plant Sci. 2017, 256, 170–185. [Google Scholar] [CrossRef]
- Jha, P.; Jobby, R.; Kudale, S.; Modi, N.; Dhaneshwar, A.; Desai, N. Biodegradation of phenol using hairy roots of Helianthus annuus L. Int. Biodeter. Biodegr. 2013, 77, 106–113. [Google Scholar] [CrossRef]
- Li, H.; Zhang, G.C.; Xie, H.C.; Xu, J.W.; Li, C.R.; Sun, J.W. The effects of the phenol concentrations on photosynthetic parameters of Salix babylonica L. Photosynthetica 2015, 53, 430–435. [Google Scholar] [CrossRef]
- Dong, X.L.; Feng, J.; Xie, S.L. Removal effect of low concentration phenol in water by Potamogeton crispus and Nasturium officinale. Sci. Technol. Innov. Her. 2013, 25, 90–92. [Google Scholar]
- Wang, X.H.; Wang, S.J.; Chen, Z.; Gong, B.; Wang, X.F.; Win, M.; Shi, Q.H.; Li, Y.; Yang, F.J. Effects of exogenous polyamines on nitrate tolerance in cucumber. Russ. J. Plant Physl. 2016, 63, 549–557. [Google Scholar] [CrossRef]
- Zhu, J.; Wang, P.; Ji, S.S.; Li, M.; Lui, M.J. Pb tolerance, enrichment, translocation and stress response of Salix matsudana seedlings (Salix matsudana kids). J. Environ. Sci. 2016, 36, 3876–3886. [Google Scholar] [CrossRef]
- Mohsin, M.; Kuittinen, S.; Salam, M.M.A.; Peraniemi, S.; Laine, S.; Pulkkinen, P.; Kaipiainen, E.; Vepsalainen, J.; Pappinen, A. Chelate-assisted phytoextraction: Growth and ecophysiological responses by Salix schwerinii E.L Wolf grown in artificially polluted soils. J. Associ. Explor. Geochem. 2019, 205, 106335. [Google Scholar] [CrossRef]
- Fu, G.L.; Yang, X.F.; Han, K.J.; Xie, H.C. Effects of exogenous selenium on physiological characteristics of Salix babylonica under 2,4-dinitrophenol stress. Pol. J. Environ. Stud. 2021, 6, 5541–5547. [Google Scholar] [CrossRef] [PubMed]
- Shi, X.; Leng, H.N.; Hu, Y.X.; Liu, Y.H.; Duan, H.P.; Sun, H.J.; Chen, Y.T. Removal of 2,4-dichlorophenol in hydroponic solution by four Salix matsudana clones. Ecotox. Environ. Safe. 2012, 86, 125–131. [Google Scholar] [CrossRef]
- Xie, H.; Zhe, W.; Han, K.; Zhang, T. Phytoremediation of Waste Water Containing Phenol by Salix Matsudana Seedlings and their Physiological Response. Glob. J. Bot. Sci. 2020, 8, 53–58. [Google Scholar] [CrossRef]
- Riches, M.; Lee, D.; Farmer, D.K. Simultaneous leaf-level measurement of trace gas emissions and photosynthesis with a portable photosynthesis system. Atmos. Meas. Tech. 2020, 13, 4123–4139. [Google Scholar] [CrossRef]
- Yan, F.; Wang, Q.L.; Guo, Y.Y.; Zhang, Y.J.; Hou, L.Y. Effect of NaCl stress on photosynthetic chlorophyll fluorescence characteristics of wild yellow rhizome leaves in Qilian Mountains. Northwest J. Botany 2016, 36, 1182–1189. [Google Scholar] [CrossRef]
- Ogunyemi, S.O.; Luo, J.; Abdallah, Y.; Yu, S.; Wang, X.; Alkhalifah, D.H.M.; Hozzein, W.N.; Wang, F.; Bi, J.; Yan, C.; et al. Copper oxide nanoparticles: An effective suppression tool against bacterial leaf blight of rice and its impacts on plants. Pest Manag. Sci. 2024, 80, 1279–1288. [Google Scholar] [CrossRef] [PubMed]
- Xue, X.; Wu, Y.E. Determination of chlorophyll content of wheat leaves and its relationship with SPAD value. Hubei Agr. Sci. 2010, 49, 2701–2751. [Google Scholar] [CrossRef]
- Thanuja, V.S.; Chandan, R.S.; Gurupadayya, B.M.; Prathyusha, W.; Indupriya, M. Spectrophotometric determination of le vetiracetam using 2, 4-dnp in pharmaceutical dosage form. Indo Am. J. Pharm. Res. 2014, 4, 5030–5034. [Google Scholar]
- Li, X.N.; Yang, Y.L.; Jia, L.Y.; Chen, H.J.; Wei, X. Zinc-induced oxidative damage, antioxidant enzyme response and proline metabolism in roots and leaves of wheat plants. Ecotox. Environ. Safe. 2013, 89, 150–157. [Google Scholar] [CrossRef] [PubMed]
- Ying, Y.Q.; Song, L.L.; Jacobs, D.F.; Mei, L.; Liu, P.; Jin, S.H.; Wu, J.H. Physiological response to drought stress in Camptotheca acuminata seedlings from two provenances. Front. Plant Sci. 2015, 6, 361. [Google Scholar] [CrossRef] [PubMed]
- Yu, S.J.; Yang, L.Y.; Gao, K.X.; Zhou, J.C.; Lan, X.; Xie, J.; Zhong, C.M. Dioscorea composita wrky5 positively regulates atsod1 and atabf2 to enhance drought and salt tolerances. Plant Cell Rep. 2023, 48, 1365–1378. [Google Scholar] [CrossRef]
- Zhong, J.Y.; Zhang, Y.L. Effect of low temperature on MDA content and electrical conductivity in branches of different apricot varieties. Tianjin Agr. Sci. 2013, 19, 93–96. [Google Scholar]
- Su, P.Y.; Zhang, M.J.; Wang, S.J.; Qiu, X.; Wang, J.X.; Du, Q.Q.; Guo, R.; Che, C.W. Water sources of riparian plants based on stable hydrogen and oxygen isotopes in Lanzhou section of the Yellow River, China. J. Appl. Ecol. 2020, 31, 1835–1843. [Google Scholar] [CrossRef]
- Liu, Y.; Miao, H.T.; Huang, Z.; Cui, Z.; He, H.H.; Zheng, J.Y.; Han, F.P.; Chang, X.F.; Wu, G.L. Soil water depletion patterns of artificial forest species and ages on the Loess Plateau (China). Forest Ecol. Manag. 2018, 417, 137–143. [Google Scholar] [CrossRef]
- Edward, G.A.; Forbes, R.; Johnston, J.E.; Archer, A.R. SRC willow as a bioremediation medium for a dairy farm effluent with high pollution potential. Biomass Bioenerg. 2017, 105, 174–189. [Google Scholar] [CrossRef]
- Zhou, J.H.; Cheng, K.; Zheng, J.Y.; Liu, Z.Q.; Shen, W.B.; Fan, H.B.; Jin, Z.N. Physiological and biochemical characteristics of cinnamomum camphora in response to Cu-and Cd-contaminated soil. Water Air Soil Poll. 2019, 230, 15. [Google Scholar] [CrossRef]
- Lavergne, A.; Voelker, S.; Csank, A.; Graven, H.; Boer, H.; Daux, V.; Robertson, L.; Dorado, I.; Sancho, E.; Battipaglia, G.; et al. Historical changes in the stomatal limitation of photosynthesis: Empirical support for optimality. New Phytol. 2020, 225, 2484–2497. [Google Scholar] [CrossRef]
- Pei, B. Effect of Soil Water Stress on Photosynthetic Physiological and Biochemical Properties of Sea Buckthorn. Master’s Thesis, Shandong Agricultural University, Taian, China, 2013. [Google Scholar]
- Alfonso, P.M.; Chiara, M.; Torres-Ruiz, J.M.; Jaume, F.; Fernández, J.E.; Luca, S.; Antonio, D.E. Regulation of photosynthesis and stomatal and mesophyll conductance under water stress and recovery in olive trees: Correlation with gene expression of carbonic anhydrase and aquaporins. J.Exp. Bot. 2014, 65, 3143–3156. [Google Scholar] [CrossRef]
- Vilyanen, D.; Pavlov, I.; Naydov, I.; Ivanov, B.; Kozuleva, M. Peculiarities of dnpint and dbmib as inhibitors of the photosynthetic electron transport. Photosynth. Res. 2024, 161, 79–92. [Google Scholar] [CrossRef] [PubMed]
- Jing, T.; Xie, H.C.; Sun, J.W.; Liu, H.D.; Li, H. Tolerance and phytoremediation capacity of sunflower exposed to aniline wastewater. Acta Ecol. Sin. 2017, 37, 6091–6098. [Google Scholar]
- Farquhar, G.D.; Sharkey, T.D. Stomatal conductance and photosynthesis. Annu. Rev. Plant Physiol. 1982, 33, 317–345. [Google Scholar] [CrossRef]
- Shin, Y.K.; Bhandari, S.R.; Jo, J.S.; Song, J.W.; Lee, J.G. Effect of drought stress on chlorophyll fluorescence parameters, phytochemical contents, and antioxidant activities in lettuce seedlings. Horticulturae 2021, 7, 238. [Google Scholar] [CrossRef]
- You, X.; Gong, J.R. The significance of chlorophyll fluorescence kinetic parameters and example analysis. Western Forestry Sci. 2012, 41, 90–94. [Google Scholar] [CrossRef]
- Zhang, G.S.; Hao, L.; Yan, Z.J.; Zhao, X.; Wang, Y.; Bai, Y.R.; Li, X.L. The responses of chlorophyll fluorescence kinetics parameters of six tree species to soil moisture changes. J. Ecol. 2017, 36, 3079–3085. [Google Scholar] [CrossRef]
- Khan, S.; Afzal, M.; Iqbal, S.; Khan, Q.M. Plant–bacteria PAR tnerships for the remedi-ation of hydrocarbon contaminatedsoils. Chemosphere 2013, 90, 1317–1332. [Google Scholar] [CrossRef]
- Yan, Q.Q.; Zang, J.S.; Dai, J.M.; Dou, Q.Q. Effect of betaine on photosynthesis and biomass accumulation of sea island cotton seedlings under salinity stress. J. Crop Sci. 2019, 45, 1128–1135. [Google Scholar] [CrossRef]
- Chen, H.X.; Chen, W.; Jiang, B.D.; Gao, H.Y.; Zou, Q. Effect of light-temperature cross-treatment on the activity and heat dissipation capacity of wheat violet yellows deoxygenase. J. Plant Ecol. 2008, 3, 1015–1022. [Google Scholar] [CrossRef]
- Fu, D.G.; Zhang, L.D.; Li, H.; Li, F.; Yue, Z.J.; Li, Y.B.; Cai, Q.C. Effects of the nitrogen form ratios on photosynthetic productivity of poplar under condition of phenolic acids. Int. J. Phytoremediat. 2023, 25, 1189–1198. [Google Scholar] [CrossRef]
- Yuan, L.; Ali, K.; Zhang, L.Q. Effects of NaCl stress on reactive oxygen metabolism and cell membrane stability in pistachio seedlings. Acta Phytoecol. Sin. 2005, 29, 985–991. [Google Scholar] [CrossRef][Green Version]
- Li, Y.M.; Guo, X.W.; Dai, H.P. Physiological response of seedlings of Niu Zhanzu to salinity stress and its salt tolerance threshold. Northwest J. Botany. 2014, 34, 1213–1219. [Google Scholar] [CrossRef]
- Mori, I.C. Reactive oxygen species activation of plant Ca2+ channels. A signaling mechanism in polar growth, hormone transduction, stress signaling, and hypothetically mechanotransduction. Plant Physiol. 2004, 135, 702–708. [Google Scholar] [CrossRef] [PubMed]
- Neto, W.A.F.; Dosselli, R.; Kennington, W.J.; Tomkins, J.L. Correlated responses to selection for different cell size inchlamydomonas reinhardtiiusing divergent evolutionary pathways. J. Appl. Phycol. 2023, 35, 1621–1634. [Google Scholar] [CrossRef]
- Zhang, Z.; Yu, Y.; Xi, H.; Zhou, Y. Single and joint inhibitory effect of nitrophenols on activated sludge. J. Environ. Manag. 2021, 294, 112945. [Google Scholar] [CrossRef]







| 2,4-DNP Concentration | MDA | REC | LD |
|---|---|---|---|
| CK | 11.70 ± 0.60 d | 8.94 ± 0.45 e | - |
| 5 | 16.61 ± 1.07 d | 15.57 ± 0.48 d | 7.28 ± 0.20 d |
| 10 | 24.21 ± 2.13 c | 23.67 ± 1.88 c | 16.18 ± 1.88 c |
| 15 | 40.20 ± 2.74 b | 50.03 ± 0.87 b | 45.11 ± 1.06 b |
| 20 | 55.62 ± 2.93 a | 63.51 ± 2.27 a | 59.93 ± 2.46 a |
| 25 | death | death | death |
| 30 | death | death | death |
| Time(d) | 2,4-DNP Concentration | POD | SOD | CAT |
|---|---|---|---|---|
| 5 | CK | 833 ± 88.2 d | 187.9 ± 14.3 c | 16.7 ± 1.53 e |
| 5 | 2100 ± 251.7 c | 616.8 ± 26.2 b | 30.0 ± 2.77 de | |
| 10 | 3367 ± 233.3 b | 813.6 ± 79.2 b | 53.3 ± 5.16 bc | |
| 15 | 5334 ± 185.6 a | 1427.5 ± 117.2 a | 66.7 ± 6.18 ab | |
| 20 | 5835 ± 189.1 a | 1393.7 ± 115.8 a | 76.7 ± 6.32 a | |
| 25 | 3829 ± 218.6 b | 839.9 ± 29.8 b | 50.0 ± 4.71 c | |
| 30 | 3331 ± 185.6 b | 621.5 ± 49.8 b | 43.3 ± 4.21 cd | |
| 10 | CK | 1200 ± 173.2 d | 159.6 ± 15.0 d | 20.0 ± 1.96 c |
| 5 | 2467 ± 193.0 c | 565.9 ± 60.6 c | 36.7 ± 3.46 bc | |
| 10 | 3600 ± 264.6 b | 744.2 ± 35.2 b | 60.0 ± 5.77 a | |
| 15 | 4633 ± 202.8 a | 1048.3 ± 53.7 a | 63.3 ± 5.83 a | |
| 20 | 4800 ± 264.6 a | 853.7 ± 55.9 b | 53.3 ± 4.82 ab | |
| 15 | CK | 1067 ± 88.2 c | 202.6 ± 13.2 c | 26.7 ± 2.19 c |
| 5 | 2700 ± 250.9 b | 664.0 ± 32.3 b | 46.7 ± 3.16 b | |
| 10 | 3967 ± 202.8 a | 888.8 ± 34.4 a | 63.3 ± 5.14 a | |
| 15 | 3733 ± 314.4 ab | 848.7 ± 48.0 a | 53.3 ± 4.18 ab | |
| 20 | 3667 ± 338.3 ab | 696.9 ± 19.7 b | 43.3 ± 3.09 b |
Disclaimer/Publisher’s Note: The statements, opinions and data contained in all publications are solely those of the individual author(s) and contributor(s) and not of MDPI and/or the editor(s). MDPI and/or the editor(s) disclaim responsibility for any injury to people or property resulting from any ideas, methods, instructions or products referred to in the content. |
© 2024 by the authors. Licensee MDPI, Basel, Switzerland. This article is an open access article distributed under the terms and conditions of the Creative Commons Attribution (CC BY) license (https://creativecommons.org/licenses/by/4.0/).
Share and Cite
Xie, H.; Fu, Y.; Fu, D.; Lin, D.; Zhou, H.; Fu, G.; Li, H.; Liu, J.; Zheng, X.; Li, K. The Physiological Response of Salix matsudana for Water Pollution by 2,4-Dinitrophenol. Toxics 2024, 12, 763. https://doi.org/10.3390/toxics12100763
Xie H, Fu Y, Fu D, Lin D, Zhou H, Fu G, Li H, Liu J, Zheng X, Li K. The Physiological Response of Salix matsudana for Water Pollution by 2,4-Dinitrophenol. Toxics. 2024; 12(10):763. https://doi.org/10.3390/toxics12100763
Chicago/Turabian StyleXie, Huicheng, Yikang Fu, Degang Fu, Dengfeng Lin, Huimin Zhou, Guilong Fu, Hui Li, Jinxin Liu, Xiuguo Zheng, and Kun Li. 2024. "The Physiological Response of Salix matsudana for Water Pollution by 2,4-Dinitrophenol" Toxics 12, no. 10: 763. https://doi.org/10.3390/toxics12100763
APA StyleXie, H., Fu, Y., Fu, D., Lin, D., Zhou, H., Fu, G., Li, H., Liu, J., Zheng, X., & Li, K. (2024). The Physiological Response of Salix matsudana for Water Pollution by 2,4-Dinitrophenol. Toxics, 12(10), 763. https://doi.org/10.3390/toxics12100763

